Intermittency and Critical Scaling in Annular Couette Flow
Abstract
1. Introduction
2. Set-Up and Methodology
2.1. Geometry of aCf
2.2. Governing Equations and Computational Methods
3. Statistics at the Onset of Transition
3.1. Global Stability and Coherent Structures Close to Onset
3.2. Data Binarization
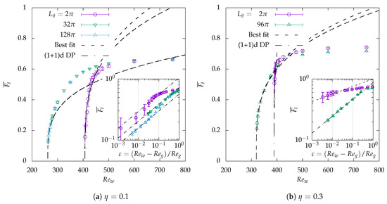
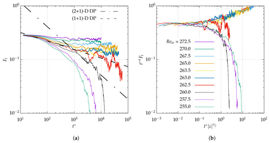
3.3. Intermittency Statistics
3.4. Dynamics of Localized Turbulent Patches
4. Conclusions
Supplementary Materials
Author Contributions
Funding
Acknowledgments
Conflicts of Interest
Abbreviations
| aCf | annular Couette flow |
| CDF | cumulative distribution function |
| DNS | direct numerical simulation |
| DP | direct percolation |
| pCf | plane Couette flow |
| pPf | plane Poiseuille flow |
| rms | root-mean-square value |
| STI | spatiotemporal intermittency |
References
- Pomeau, Y. Front motion, metastability and subcritical bifurcations in hydrodynamics. Phys. D Nonlinear Phenom. 1986, 23, 3–11. [Google Scholar] [CrossRef]
- Eckhardt, B. Transition to turbulence in shear flows. Phys. A Stat. Mech. Appl. 2018, 504, 121–129. [Google Scholar] [CrossRef]
- Grassberger, P. On phase transitions in Schlögl’s second model. Zeitschrift für Physik B Condensed Matter 1982, 47, 365–374. [Google Scholar] [CrossRef]
- Janssen, H.K. On the nonequilibrium phase transition in reaction-diffusion systems with an absorbing stationary state. Zeitschrift für Physik B Condensed Matter 1981, 42, 151–154. [Google Scholar] [CrossRef]
- Daviaud, F.; Dubois, M.; Bergé, P. Spatio-temporal intermittency in quasi one-dimensional Rayleigh-Bénard convection. EPL (Europhys. Lett.) 1989, 9, 441. [Google Scholar] [CrossRef]
- Chaté, H.; Manneville, P. Spatio-temporal intermittency in coupled map lattices. Phys. D Nonlinear Phenom. 1988, 32, 409–422. [Google Scholar] [CrossRef]
- Bohr, T.; van Hecke, M.; Mikkelsen, R.; Ipsen, M. Breakdown of universality in transitions to spatiotemporal chaos. Phys. Rev. Lett. 2001, 86, 5482. [Google Scholar] [CrossRef]
- Duguet, Y.; Maistrenko, Y.L. Loss of coherence among coupled oscillators: From defect states to phase turbulence. Chaos Interdiscip. J. Nonlinear Sci. 2019, 29, 121103. [Google Scholar] [CrossRef]
- Daviaud, F.; Bonetti, M.; Dubois, M. Transition to turbulence via spatiotemporal intermittency in one-dimensional Rayleigh-Bénard convection. Phys. Rev. A 1990, 42, 3388. [Google Scholar] [CrossRef]
- Kreilos, T.; Khapko, T.; Schlatter, P.; Duguet, Y.; Henningson, D.S.; Eckhardt, B. Bypass transition and spot nucleation in boundary layers. Phys. Rev. Fluids 2016, 1, 043602. [Google Scholar] [CrossRef]
- Takeuchi, K.A.; Kuroda, M.; Chaté, H.; Sano, M. Directed percolation criticality in turbulent liquid crystals. Phys. Rev. Lett. 2007, 99, 234503. [Google Scholar] [CrossRef] [PubMed]
- Lemoult, G.; Shi, L.; Avila, K.; Jalikop, S.V.; Avila, M.; Hof, B. Directed percolation phase transition to sustained turbulence in Couette flow. Nat. Phys. 2016, 12, 254–258. [Google Scholar] [CrossRef]
- Sano, M.; Tamai, K. A universal transition to turbulence in channel flow. Nat. Phys. 2016, 12, 249–253. [Google Scholar] [CrossRef]
- Avila, K. Shear Flow Experiments: Characterizing the Onset of Turbulence as a Phase Transition. Ph.D. Thesis, Niedersächsische Staats-und Universitätsbibliothek Göttingen, Göttingen, Germany, 2013. [Google Scholar]
- Hiruta, Y.; Toh, S. Subcritical laminar–turbulent transition as nonequilibrium phase transition in two-dimensional Kolmogorov flow. J. Phys. Soc. Jpn. 2020, 89, 044402. [Google Scholar] [CrossRef]
- Barkley, D. Theoretical perspective on the route to turbulence in a pipe. J. Fluid Mech. 2016, 803, P1. [Google Scholar] [CrossRef]
- Linga, G. Fluid Flows with Complex Interfaces: Modelling and Simulation from Pore to Pipe. Ph.D. Thesis, The Niels Bohr Institute, Faculty of Science, University of Copenhagen, København, Danmark, 2018. [Google Scholar]
- Shih, H.-Y.; Lemoult, G.; Vasudevan, M.; Lopez, J.; Shih, H.Y.; Linga, G.; Hof, B.; Mathiesen, J.; Goldenfeld, N.; Hof, B. Statistical model and universality class for interacting puffs in transitional turbulence. Bull. Am. Phys. Soc. 2020, 65, W25.00007. [Google Scholar]
- Mukund, V.; Hof, B. The critical point of the transition to turbulence in pipe flow. J. Fluid Mech. 2018, 839, 76–94. [Google Scholar] [CrossRef]
- Chantry, M.; Tuckerman, L.S.; Barkley, D. Universal continuous transition to turbulence in a planar shear flow. J. Fluid Mech. 2017, 824, R1. [Google Scholar] [CrossRef]
- Duguet, Y.; Schlatter, P.; Henningson, D.S. Formation of turbulent patterns near the onset of transition in plane Couette flow. J. Fluid Mech. 2010, 650, 119–129. [Google Scholar] [CrossRef]
- Tao, J.; Eckhardt, B.; Xiong, X. Extended localized structures and the onset of turbulence in channel flow. Phys. Rev. Fluids 2018, 3, 011902. [Google Scholar] [CrossRef]
- Shimizu, M.; Manneville, P. Bifurcations to turbulence in transitional channel flow. Phys. Rev. Fluids 2019, 4, 113903. [Google Scholar] [CrossRef]
- Kashyap, P.V.; Duguet, Y.; Dauchot, O. Flow statistics in the patterning regime of plane channel flow. Entropy 2020. submitted. [Google Scholar]
- Prigent, A.; Grégoire, G.; Chaté, H.; Dauchot, O.; van Saarloos, W. Large-scale finite-wavelength modulation within turbulent shear flows. Phys. Rev. Lett. 2002, 89, 014501. [Google Scholar] [CrossRef]
- Tsukahara, T.; Seki, Y.; Kawamura, H.; Tochio, D. DNS of turbulent channel flow at very low Reynolds numbers. In TSFP Digital Library Online; Begel House Inc.: Danbury, CT, USA, 2005; pp. 935–940. [Google Scholar]
- Brethouwer, G.; Duguet, Y.; Schlatter, P. Turbulent-laminar coexistence in wall flows with Coriolis, buoyancy or Lorentz forces. J. Fluid Mech. 2012, 704, 137–172. [Google Scholar] [CrossRef]
- Manneville, P. Transition to turbulence in wall-bounded flows: Where do we stand? Mech. Eng. Rev. 2016, 3. [Google Scholar] [CrossRef]
- Manneville, P. Laminar-turbulent patterning in transitional flows. Entropy 2017, 19, 316. [Google Scholar] [CrossRef]
- Tuckerman, L.S.; Chantry, M.; Barkley, D. Patterns in Wall-Bounded Shear Flows. Annu. Rev. Fluid Mech. 2020, 52, 343–367. [Google Scholar] [CrossRef]
- Chung, S.Y.; Rhee, G.H.; Sung, H.J. Direct numerical simulation of turbulent concentric annular pipe flow: Part 1: Flow field. Int. J. Heat Fluid Flow 2002, 23, 426–440. [Google Scholar] [CrossRef]
- Ishida, T.; Duguet, Y.; Tsukahara, T. Transitional structures in annular Poiseuille flow depending on radius ratio. J. Fluid Mech. 2016, 794, R2. [Google Scholar] [CrossRef]
- Ishida, T.; Duguet, Y.; Tsukahara, T. Turbulent bifurcations in intermittent shear flows: From puffs to oblique stripes. Phys. Rev. Fluids 2017, 2, 073902. [Google Scholar] [CrossRef]
- Fukuda, T.; Tsukahara, T. Heat transfer of transitional regime with helical turbulence in annular flow. Int. J. Heat Fluid Flow 2020, 82, 108555. [Google Scholar] [CrossRef]
- Frei, C.; Lüscher, P.; Wintermantel, E. Thread-annular flow in vertical pipes. J. Fluid Mech. 2000, 410, 185–210. [Google Scholar] [CrossRef]
- Kunii, K.; Ishida, T.; Duguet, Y.; Tsukahara, T. Laminar-turbulent coexistence in annular Couette flow. J. Fluid Mech. 2019, 879, 579–603. [Google Scholar] [CrossRef]
- Duguet, Y.; Schlatter, P. Oblique laminar-turbulent interfaces in plane shear flows. Phys. Rev. Lett. 2013, 110, 034502. [Google Scholar] [CrossRef]
- Abe, H.; Kawamura, H.; Matsuo, Y. Direct numerical simulation of a fully developed turbulent channel flow with respect to the Reynolds number dependence. J. Fluids Eng. 2001, 123, 382–393. [Google Scholar] [CrossRef]
- Prigent, A.; Dauchot, O. Transition to versus from turbulence in subcritical Couette flows. In IUTAM Symposium on Laminar-Turbulent Transition and Finite Amplitude Solutions; Springer: Dordrecht, The Netherlands, 2005; pp. 195–219. [Google Scholar]
- Moxey, D.; Barkley, D. Distinct large-scale turbulent-laminar states in transitional pipe flow. Proc. Natl. Acad. Sci. USA 2010, 107, 8091–8096. [Google Scholar] [CrossRef]
- Fukudome, K.; Tsukahara, T.; Ogami, Y. Heat and momentum transfer of turbulent stripe in transitional-regime plane Couette flow. Int. J. Adv. Eng. Sci. Appl. Math. 2018, 10, 291–298. [Google Scholar] [CrossRef]
- Avila, K.; Moxey, D.; de Lozar, A.; Avila, M.; Barkley, D.; Hof, B. The onset of turbulence in pipe flow. Science 2011, 333, 192–196. [Google Scholar] [CrossRef]
- Shimizu, M.; Manneville, P.; Duguet, Y.; Kawahara, G. Splitting of a turbulent puff in pipe flow. Fluid Dyn. Res. 2014, 46, 061403. [Google Scholar] [CrossRef]
- Shimizu, M.; Kanazawa, T.; Kawahara, G. Exponential growth of lifetime of localized turbulence with its extent in channel flow. Fluid Dyn. Res. 2019, 51, 011404. [Google Scholar] [CrossRef]
- Paranjape, C.S.; Duguet, Y.; Hof, B. Oblique stripe solutions of channel flow. J. Fluid Mech. 2020, 897. [Google Scholar] [CrossRef]
- Shi, L.; Avila, M.; Hof, B. Scale invariance at the onset of turbulence in Couette flow. Phys. Rev. Lett. 2013, 110, 204502. [Google Scholar] [CrossRef] [PubMed]
- Sreenivasan, K.; Ramshankar, R. Transition intermittency in open flows, and intermittency routes to chaos. Phys. D Nonlinear Phenom. 1986, 23, 246–258. [Google Scholar] [CrossRef]
- Avila, M.; Hof, B. Nature of laminar-turbulence intermittency in shear flows. Phys. Rev. E 2013, 87, 063012. [Google Scholar] [CrossRef] [PubMed]
- Ishida, T.; Brethouwer, G.; Duguet, Y.; Tsukahara, T. Laminar-turbulent patterns with rough walls. Phys. Rev. Fluids 2017, 2, 073901. [Google Scholar] [CrossRef]
- Tsukahara, T.; Tomioka, T.; Ishida, T.; Duguet, Y.; Brethouwer, G. Transverse turbulent bands in rough plane Couette flow. J. Fluid Sci. Technol. 2018, 13, JFST0019. [Google Scholar] [CrossRef]










| 0.1 | 0.15 | 0.2 | 0.3 | ||||
| 32 | 512 | 2048 | 2048 | 2048 | 64 | 2048 | |
| Fitting Range | ||||
|---|---|---|---|---|
| 0.10 | 407.5–460.0 | 406.9 | 0.31(3) | |
| 0.10 | 277.5–300.0 | 269.0 | 0.26(2) | |
| 0.10 | 263.0–270.0 | 261.7 | 0.28(2) | |
| 0.15 | — | 290.5 | — | |
| 0.20 | — | 303.5 | — | |
| 0.30 | 389.0–395.0 | 388.7 | 0.12(2) | |
| 0.30 | 320.5–375.0 | 319.0 | 0.28(1) | |
| (1 + 1)-D DP model | — | — | 0.276 | |
© 2020 by the authors. Licensee MDPI, Basel, Switzerland. This article is an open access article distributed under the terms and conditions of the Creative Commons Attribution (CC BY) license (http://creativecommons.org/licenses/by/4.0/).
Share and Cite
Takeda, K.; Duguet, Y.; Tsukahara, T. Intermittency and Critical Scaling in Annular Couette Flow. Entropy 2020, 22, 988. https://doi.org/10.3390/e22090988
Takeda K, Duguet Y, Tsukahara T. Intermittency and Critical Scaling in Annular Couette Flow. Entropy. 2020; 22(9):988. https://doi.org/10.3390/e22090988
Chicago/Turabian StyleTakeda, Kazuki, Yohann Duguet, and Takahiro Tsukahara. 2020. "Intermittency and Critical Scaling in Annular Couette Flow" Entropy 22, no. 9: 988. https://doi.org/10.3390/e22090988
APA StyleTakeda, K., Duguet, Y., & Tsukahara, T. (2020). Intermittency and Critical Scaling in Annular Couette Flow. Entropy, 22(9), 988. https://doi.org/10.3390/e22090988

