Interacting Particle Solutions of Fokker–Planck Equations Through Gradient–Log–Density Estimation
Abstract
1. Introduction
2. Deterministic Particle Dynamics for Fokker–Planck Equations
3. Variational Representation of Gradient–Log–Densities
4. Gradient–Log–Density Estimator
Estimating the Entropy Rate
5. Function Classes
5.1. Linear Models
5.2. Kernel Approaches
5.3. A Sparse Kernel Approximation
6. A Note on Expectations
7. Equilibrium Dynamics
7.1. Relative Entropy
7.2. Relation to Stein Variational Gradient Descent
7.3. Relation to Geometric Formulation of FPE Flow
8. Extension to General Diffusion Processes
9. Second Order Langevin Dynamics (Kramer’s Equation)
10. Simulating Accurate Fokker–Planck Solutions for Model Systems
10.1. Linear Conservative System with Additive Noise
10.2. Bi-Stable Nonlinear System with Additive Noise
10.3. Nonlinear System Perturbed by Multiplicative Noise
10.4. Performance in Higher Dimensions
10.5. Second order Langevin Systems
10.6. Nonconservative Chaotic System with Additive Noise (Lorenz Attractor)
11. Discussion and Outlook
Author Contributions
Funding
Acknowledgments
Conflicts of Interest
Appendix A. Simulated Systems
Appendix A.1. Two Dimensional Ornstein-Uhlenbeck Process
Appendix A.2. Bistable Nonlinear System
Appendix A.3. Multi-Dimensional Ornstein-Uhlenbeck Processes
Appendix A.4. Second Order Langevin Dynamics
Appendix A.5. Lorenz attractor
Appendix B. Computing Central Moment Trajectories for Linear Processes
Appendix C. Kullback–Leibler Divergence for Gaussian Distributions
Appendix D. Wasserstein Distance
Appendix E. Frobenious Norm
Appendix F. Influence of Hyperparameter Values on the Performance of the Gradient–Log–Density Estimator
- -
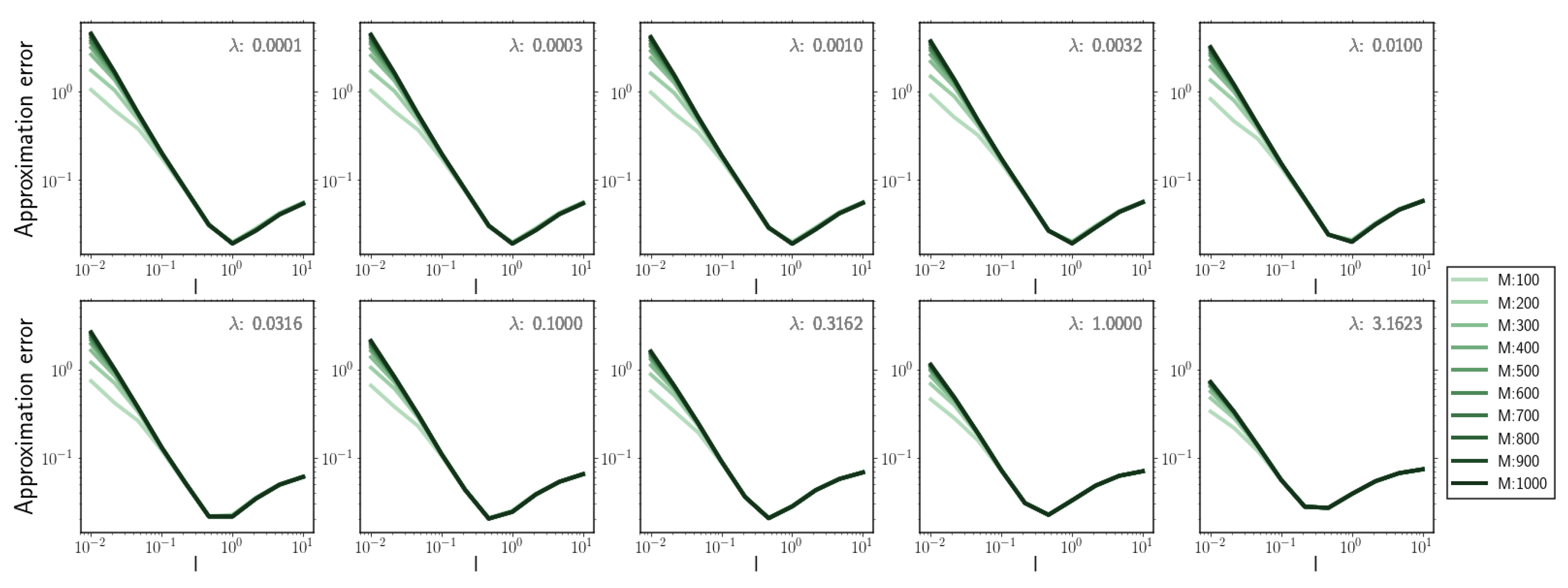
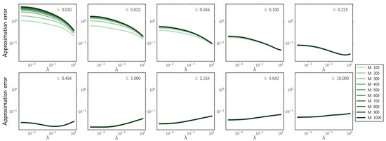
- The hyperparameter that strongly influences the approximation accuracy is the kernel length scale l (Figure A1).
- -
- Underestimation of kernel length scale l has stronger impact on approximation accuracy than overestimation (Figure A1).
- -
- -
- For overestimation of the kernel length scale l, the regularisation parameter and inducing point number M have nearly no effect on the resulting approximation error (Figure A1).
- -
- For underestimation of kernel length scale l, increasing the number of inducing points M in the estimator results in larger approximation errors (Figure A2 (upper left)).


Appendix G. Required Number of Particles for Accurate Fokker–Planck Solutions

Appendix H. Algorithm for Simulating Deterministic Particle System
| Algorithm A1: Gradient Log Density Estimator | |
| Input: X: state vector Z: inducing points vector d: dimension for gradient l: RBF Kernel length scale Output: G: vector for gradient-log-density at each position X in d dimension | |
| 1 | // |
| 2 | // |
| 3 | // |
| 4 | // |
| 5 | // |
| 6 | // |
| // | |
| Algorithm A2: Deterministic Particle Simulation |
![]() |
References
- Swain, P.S.; Elowitz, M.B.; Siggia, E.D. Intrinsic and extrinsic contributions to stochasticity in gene expression. Proc. Natl. Acad. Sci. USA 2002, 99, 12795–12800. [Google Scholar] [CrossRef] [PubMed]
- Pimentel, J.A.; Aldana, M.; Huepe, C.; Larralde, H. Intrinsic and extrinsic noise effects on phase transitions of network models with applications to swarming systems. Phys. Rev. E 2008, 77, 061138. [Google Scholar] [CrossRef] [PubMed]
- Hilfinger, A.; Paulsson, J. Separating intrinsic from extrinsic fluctuations in dynamic biological systems. Proc. Natl. Acad. Sci. USA 2011, 108, 12167–12172. [Google Scholar] [CrossRef] [PubMed]
- Elowitz, M.B.; Levine, A.J.; Siggia, E.D.; Swain, P.S. Stochastic gene expression in a single cell. Science 2002, 297, 1183–1186. [Google Scholar] [CrossRef]
- White, J.A.; Rubinstein, J.T.; Kay, A.R. Channel noise in neurons. Trends Neurosci. 2000, 23, 131–137. [Google Scholar] [CrossRef]
- Volfson, D.; Marciniak, J.; Blake, W.J.; Ostroff, N.; Tsimring, L.S.; Hasty, J. Origins of extrinsic variability in eukaryotic gene expression. Nature 2006, 439, 861–864. [Google Scholar] [CrossRef]
- Fellous, J.M.; Rudolph, M.; Destexhe, A.; Sejnowski, T.J. Synaptic background noise controls the input/output characteristics of single cells in an in vitro model of in vivo activity. Neuroscience 2003, 122, 811–829. [Google Scholar] [CrossRef]
- Schnoerr, D.; Sanguinetti, G.; Grima, R. Approximation and inference methods for stochastic biochemical kinetics—A tutorial review. J. Phys. Math. Theor. 2017, 50, 093001. [Google Scholar] [CrossRef]
- Van Kampen, N.G. The expansion of the master equation. Adv. Chem. Phys. 1976, 34, 245–309. [Google Scholar]
- Suzuki, M. Passage from an initial unstable state to a final stable state. Adv. Chem. Phys. 1981, 46, 195–278. [Google Scholar]
- Gammaitoni, L.; Hänggi, P.; Jung, P.; Marchesoni, F. Stochastic resonance. Rev. Mod. Phys. 1998, 70, 223. [Google Scholar] [CrossRef]
- Benzi, R.; Parisi, G.; Sutera, A.; Vulpiani, A. Stochastic resonance in climatic change. Tellus 1982, 34, 10–16. [Google Scholar] [CrossRef]
- Horsthemke, W. Noise induced transitions. In Non-Equilibrium Dynamics in Chemical Systems; Springer: Berlin/Heidelberg, Germany, 1984; pp. 150–160. [Google Scholar]
- Adorno, D.P.; Pizzolato, N.; Valenti, D.; Spagnolo, B. External noise effects in doped semiconductors operating under sub-THz signals. Rep. Math. Phys. 2012, 70, 171–179. [Google Scholar] [CrossRef]
- Assaf, M.; Roberts, E.; Luthey-Schulten, Z.; Goldenfeld, N. Extrinsic noise driven phenotype switching in a self-regulating gene. Phys. Rev. Lett. 2013, 111, 058102. [Google Scholar] [CrossRef] [PubMed]
- Balázsi, G.; van Oudenaarden, A.; Collins, J.J. Cellular decision making and biological noise: From microbes to mammals. Cell 2011, 144, 910–925. [Google Scholar] [CrossRef]
- Hughes, S.W.; Cope, D.W.; Toth, T.I.; Williams, S.R.; Crunelli, V. All thalamocortical neurones possess a T-type Ca2+ ‘window’current that enables the expression of bistability-mediated activities. J. Physiol. 1999, 517, 805–815. [Google Scholar] [CrossRef]
- Rose, J.E.; Brugge, J.F.; Anderson, D.J.; Hind, J.E. Phase-locked response to low-frequency tones in single auditory nerve fibers of the squirrel monkey. J. Neurophysiol. 1967, 30, 769–793. [Google Scholar] [CrossRef]
- Nicolis, C. Solar variability and stochastic effects on climate. Sol. Phys. 1981, 74, 473–478. [Google Scholar] [CrossRef]
- Nicolis, C. Stochastic aspects of climatic transitions–response to a periodic forcing. Tellus 1982, 34, 1–9. [Google Scholar] [CrossRef]
- Risken, H. Fokker-Planck equation. In The Fokker-Planck Equation; Springer: Berlin/Heidelberg, Germany, 1996; pp. 63–95. [Google Scholar]
- Wang, M.C.; Uhlenbeck, G.E. On the theory of the Brownian motion II. Rev. Mod. Phys. 1945, 17, 323. [Google Scholar] [CrossRef]
- Särkkä, S.; Solin, A. Applied Stochastic Differential Equations; Cambridge University Press: Cambridge, UK, 2019; Volume 10. [Google Scholar]
- Gillespie, D.T. The chemical Langevin equation. J. Chem. Phys. 2000, 113, 297–306. [Google Scholar] [CrossRef]
- Melykuti, B.; Burrage, K.; Zygalakis, K.C. Fast stochastic simulation of biochemical reaction systems by alternative formulations of the chemical Langevin equation. J. Chem. Phys. 2010, 132, 164109. [Google Scholar] [CrossRef] [PubMed]
- Schadschneider, A.; Chowdhury, D.; Nishinari, K. Stochastic Transport in Complex Systems: From Molecules to Vehicles; Elsevier: Amsterdam, The Netherlands, 2010. [Google Scholar]
- Kumar, P.; Narayanan, S. Solution of Fokker-Planck equation by finite element and finite difference methods for nonlinear systems. Sadhana 2006, 31, 445–461. [Google Scholar] [CrossRef]
- Brics, M.; Kaupuzs, J.; Mahnke, R. How to solve Fokker-Planck equation treating mixed eigenvalue spectrum? arXiv 2013, arXiv:1303.5211. [Google Scholar] [CrossRef]
- Chang, J.; Cooper, G. A practical difference scheme for Fokker-Planck equations. J. Comput. Phys. 1970, 6, 1–16. [Google Scholar] [CrossRef]
- Pichler, L.; Masud, A.; Bergman, L.A. Numerical solution of the Fokker–Planck equation by finite difference and finite element methods—A comparative study. In Computational Methods in Stochastic Dynamics; Springer: Berlin/Heidelberg, Germany, 2013; pp. 69–85. [Google Scholar]
- Harrison, G.W. Numerical solution of the Fokker Planck equation using moving finite elements. Numer. Methods Partial Differ. Equ. 1988, 4, 219–232. [Google Scholar] [CrossRef]
- Epperlein, E. Implicit and conservative difference scheme for the Fokker-Planck equation. J. Comput. Phys. 1994, 112, 291–297. [Google Scholar] [CrossRef]
- Leimkuhler, B.; Reich, S. Simulating Hamiltonian Dynamics; Cambridge University Press: Cambridge, UK, 2004; Volume 14. [Google Scholar]
- Chen, N.; Majda, A.J. Efficient statistically accurate algorithms for the Fokker–Planck equation in large dimensions. J. Comput. Phys. 2018, 354, 242–268. [Google Scholar] [CrossRef]
- Lin, Y.; Cai, G. Probabilistic Structural Dynamics: Advanced Theory and Applications; McGraw-Hill: New York, NY, USA, 1995. [Google Scholar]
- Roberts, J.B.; Spanos, P.D. Random Vibration and Statistical Linearization; Courier Corporation: Chelmsford, MA, USA, 2003. [Google Scholar]
- Proppe, C.; Pradlwarter, H.; Schuëller, G. Equivalent linearization and Monte Carlo simulation in stochastic dynamics. Probab. Eng. Mech. 2003, 18, 1–15. [Google Scholar] [CrossRef]
- Grigoriu, M. Stochastic Calculus: Applications in Science and Engineering; Springer Science & Business Media: Berlin/Heidelberg, Germany, 2013. [Google Scholar]
- ØKsendal, B. Stochastic Differential Equations; Springer: Berlin/Heidelberg, Germany, 2003. [Google Scholar]
- Kroese, D.P.; Taimre, T.; Botev, Z.I. Handbook of Monte Carlo Methods; John Wiley &; Sons: Hoboken, NJ, USA, 2013; Volume 706. [Google Scholar]
- Carrillo, J.; Craig, K.; Patacchini, F. A blob method for diffusion. Calc. Var. Partial Differ. Equ. 2019, 58, 1–53. [Google Scholar] [CrossRef]
- Pathiraja, S.; Reich, S. Discrete gradients for computational Bayesian inference. J. Comp. Dyn. 2019, 6, 236–251. [Google Scholar] [CrossRef]
- Reich, S.; Weissmann, S. Fokker-Planck particle systems for Bayesian inference: Computational approaches. arXiv 2019, arXiv:1911.10832. [Google Scholar]
- Liu, Q.; Lee, J.; Jordan, M. A kernelized Stein discrepancy for goodness-of-fit tests. In Proceedings of the International Conference on Machine Learning, New York, NY, USA, 19–24 June 2016; pp. 276–284. [Google Scholar]
- Taghvaei, A.; Mehta, P.G. Accelerated flow for probability distributions. arXiv 2019, arXiv:1901.03317. [Google Scholar]
- Velasco, R.M.; Scherer García-Colín, L.; Uribe, F.J. Entropy production: Its role in non-equilibrium thermodynamics. Entropy 2011, 13, 82–116. [Google Scholar] [CrossRef]
- Hyvärinen, A. Estimation of non-normalized statistical models by score matching. J. Mach. Learn. Res. 2005, 6, 695–709. [Google Scholar]
- Li, Y.; Turner, R.E. Gradient estimators for implicit models. arXiv 2017, arXiv:1705.07107. [Google Scholar]
- Shi, J.; Sun, S.; Zhu, J. A spectral approach to gradient estimation for implicit distributions. arXiv 2018, arXiv:1806.02925. [Google Scholar]
- Tomé, T.; De Oliveira, M.J. Stochastic Dynamics and Irreversibility; Springer: Berlin/Heidelberg, Germany, 2015. [Google Scholar]
- Shawe-Taylor, J.; Cristianini, N. Kernel Methods for Pattern Analysis; Cambridge University Press: Cambridge, UK, 2004. [Google Scholar]
- Scholkopf, B.; Smola, A.J. Learning with Kernels: Support Vector Machines, Regularization, Optimization, and Beyond; MIT Press: Cambridge, MA, USA, 2001. [Google Scholar]
- Sutherland, D.J.; Strathmann, H.; Arbel, M.; Gretton, A. Efficient and principled score estimation with Nyström kernel exponential families. arXiv 2017, arXiv:1705.08360. [Google Scholar]
- Rasmussen, C.E. Gaussian Processes in Machine Learning; Summer School on Machine Learning; Springer: Berlin/Heidelberg, Germany, 2003; pp. 63–71. [Google Scholar]
- Liu, Q.; Wang, D. Stein variational gradient descent: A general purpose Bayesian inference algorithm. In Proceedings of the Advances in Neural Information Processing Systems, Barcelona, Spain, 5–10 December 2016; pp. 2378–2386. [Google Scholar]
- Liu, Q. Stein variational gradient descent as gradient flow. In Proceedings of the Advances in Neural Information Processing Systems, Long Beach, CA, USA, 4–9 December 2017; pp. 3115–3123. [Google Scholar]
- Garbuno-Inigo, A.; Nüsken, N.; Reich, S. Affine invariant interacting Langevin dynamics for Bayesian inference. arXiv 2019, arXiv:1912.02859. [Google Scholar]
- Otto, F. The geometry of dissipative evolution equations: The porous medium equation. Commun. Partial Differ. Equ. 2001, 26, 101–174. [Google Scholar] [CrossRef]
- Villani, C. Optimal Transport: Old and New; Springer Science & Business Media: Berlin/Heidelberg, Germany, 2008. [Google Scholar]
- Frogner, C.; Poggio, T. Approximate inference with Wasserstein gradient flows. arXiv 2018, arXiv:1806.04542. [Google Scholar]
- Caluya, K.; Halder, A. Gradient flow algorithms for density propagation in stochastic systems. IEEE Trans. Autom. Control 2019. [Google Scholar] [CrossRef]
- Batz, P.; Ruttor, A.; Opper, M. Variational estimation of the drift for stochastic differential equations from the empirical density. J. Stat. Mech. Theory Exp. 2016, 2016, 083404. [Google Scholar] [CrossRef][Green Version]
- Milstein, G.; Tretyakov, M. Computing ergodic limits for Langevin equations. Phys. D Nonlinear Phenom. 2007, 229, 81–95. [Google Scholar] [CrossRef]
- Saremi, S.; Mehrjou, A.; Schölkopf, B.; Hyvärinen, A. Deep energy estimator networks. arXiv 2018, arXiv:1805.08306. [Google Scholar]
- Reich, S.; Cotter, C. Probabilistic Forecasting and Bayesian Data Assimilation; Cambridge University Press: Cambridge, UK, 2015. [Google Scholar]
- Lorenz, E.N. Deterministic nonperiodic flow. J. Atmos. Sci. 1963, 20, 130–141. [Google Scholar] [CrossRef]
- Bobkov, S.; Ledoux, M. One-Dimensional Empirical Measures, Order Statistics and Kantorovich Transport Distances; Amer Mathematical Society: Providence, RI, USA, 2014. [Google Scholar]









© 2020 by the authors. Licensee MDPI, Basel, Switzerland. This article is an open access article distributed under the terms and conditions of the Creative Commons Attribution (CC BY) license (http://creativecommons.org/licenses/by/4.0/).
Share and Cite
Maoutsa, D.; Reich, S.; Opper, M. Interacting Particle Solutions of Fokker–Planck Equations Through Gradient–Log–Density Estimation. Entropy 2020, 22, 802. https://doi.org/10.3390/e22080802
Maoutsa D, Reich S, Opper M. Interacting Particle Solutions of Fokker–Planck Equations Through Gradient–Log–Density Estimation. Entropy. 2020; 22(8):802. https://doi.org/10.3390/e22080802
Chicago/Turabian StyleMaoutsa, Dimitra, Sebastian Reich, and Manfred Opper. 2020. "Interacting Particle Solutions of Fokker–Planck Equations Through Gradient–Log–Density Estimation" Entropy 22, no. 8: 802. https://doi.org/10.3390/e22080802
APA StyleMaoutsa, D., Reich, S., & Opper, M. (2020). Interacting Particle Solutions of Fokker–Planck Equations Through Gradient–Log–Density Estimation. Entropy, 22(8), 802. https://doi.org/10.3390/e22080802


