Lattice Boltzmann Model for Gas Flow through Tight Porous Media with Multiple Mechanisms
Abstract
:1. Introduction
2. Generalized Model for Gas Flow in Tight Porous Media
2.1. Generalized Navier–Stokes Equations
2.2. Gas Slippage Effect
2.3. Stress Sensitivity of Permeability and Porosity
2.4. Generalized Navier–Stokes Equations for Tight Porous Media
3. Lattice Boltzmann Model
4. Simulation Results and Discussions
4.1. Flow in a Channel Filled with a Porous Medium
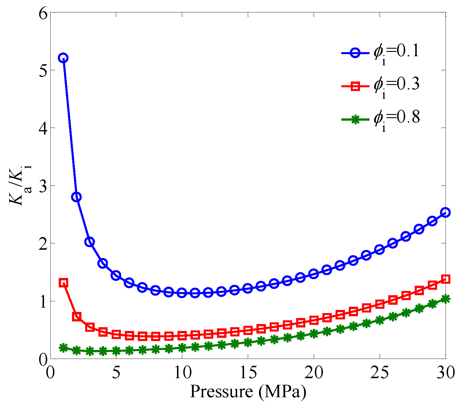
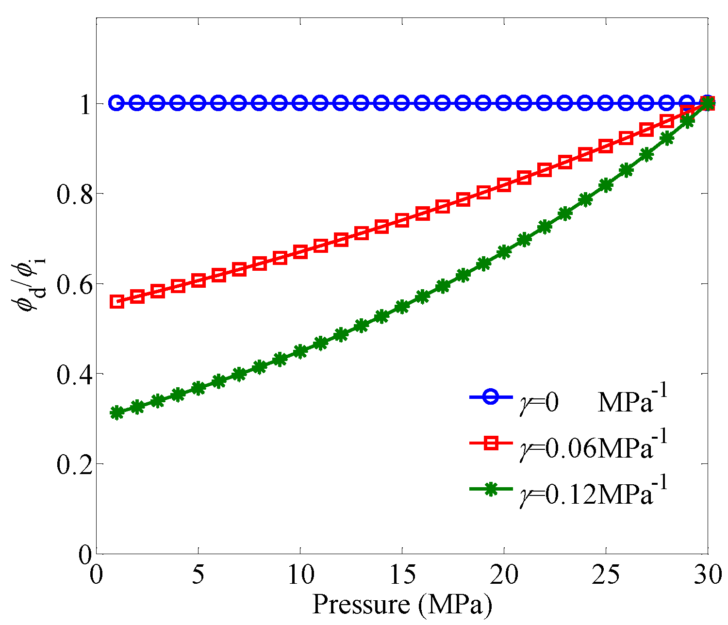
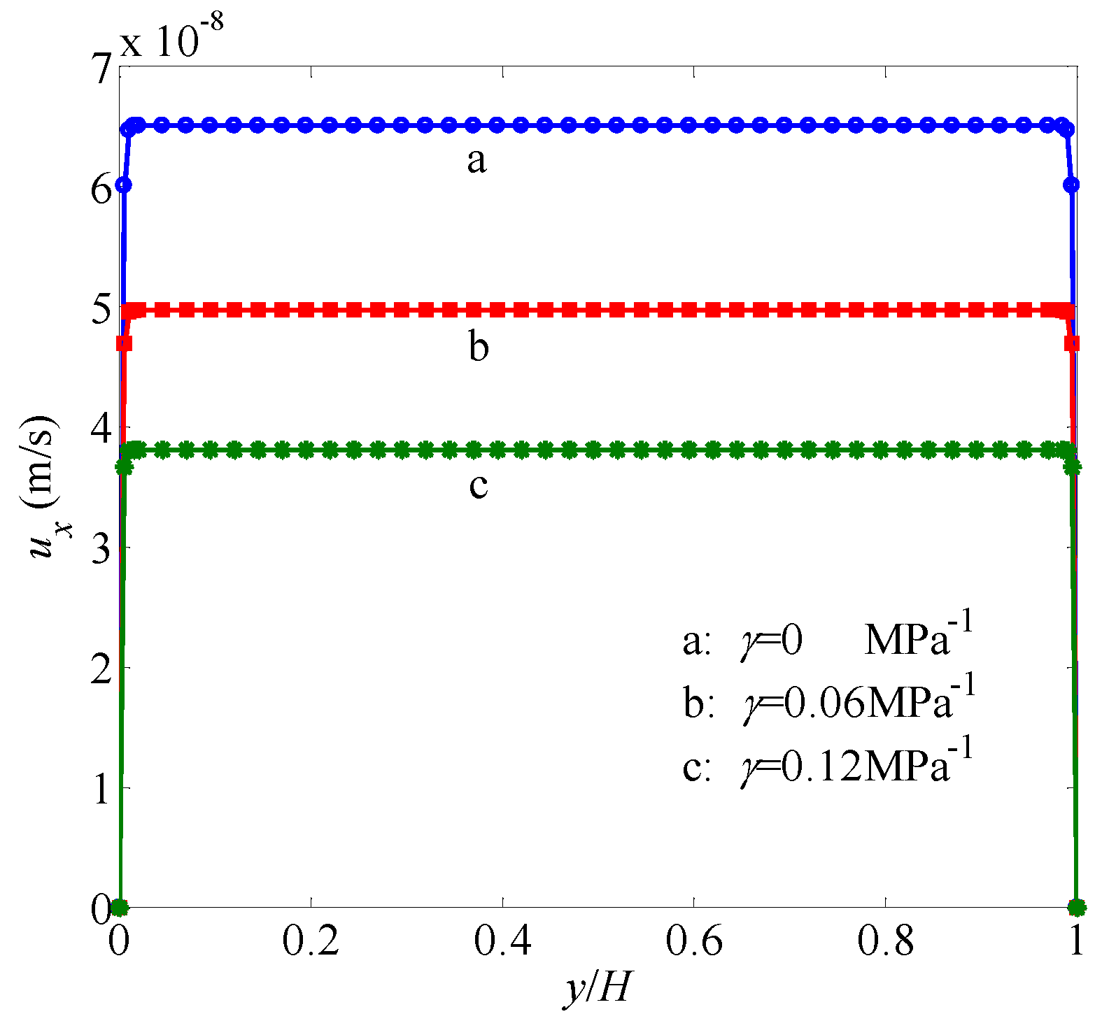
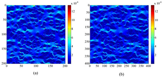
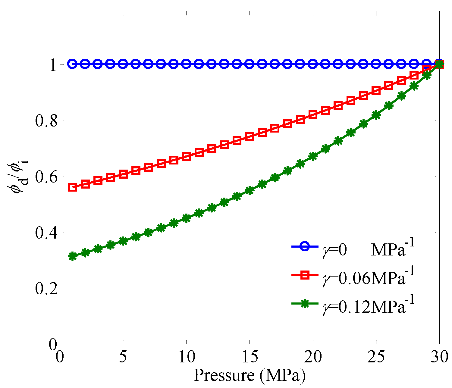
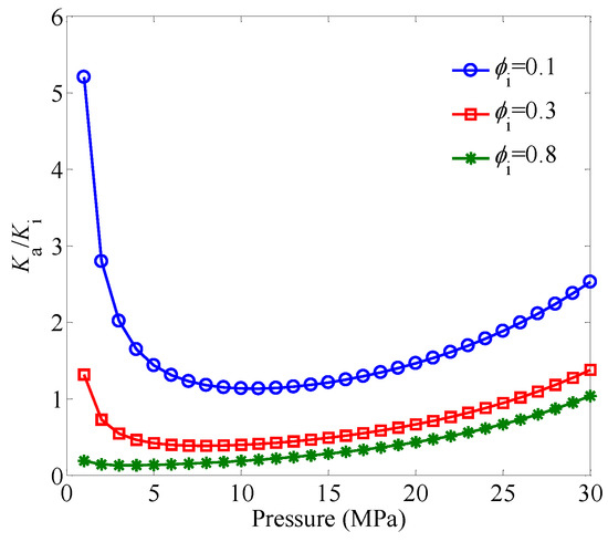
4.2. Flow in Tight Porous Media without Fractures
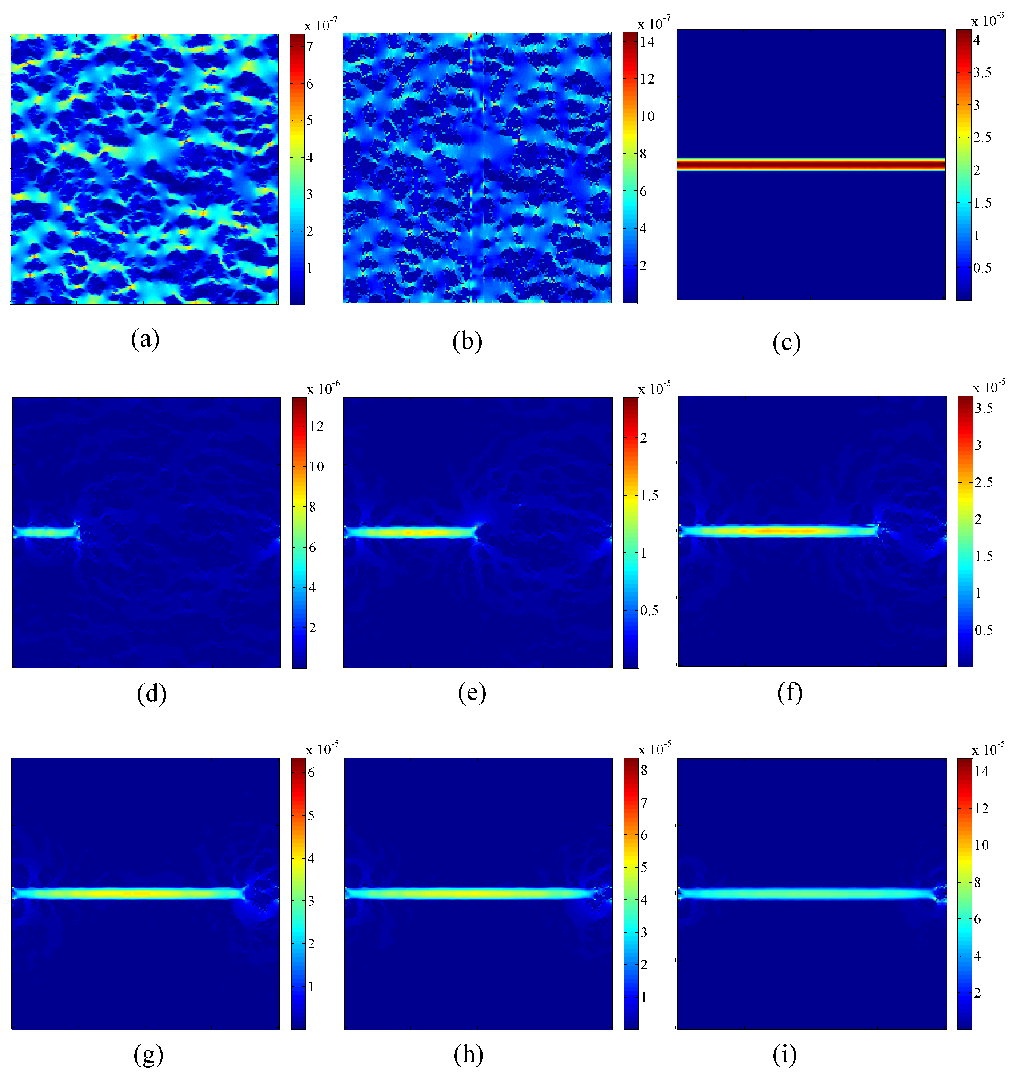
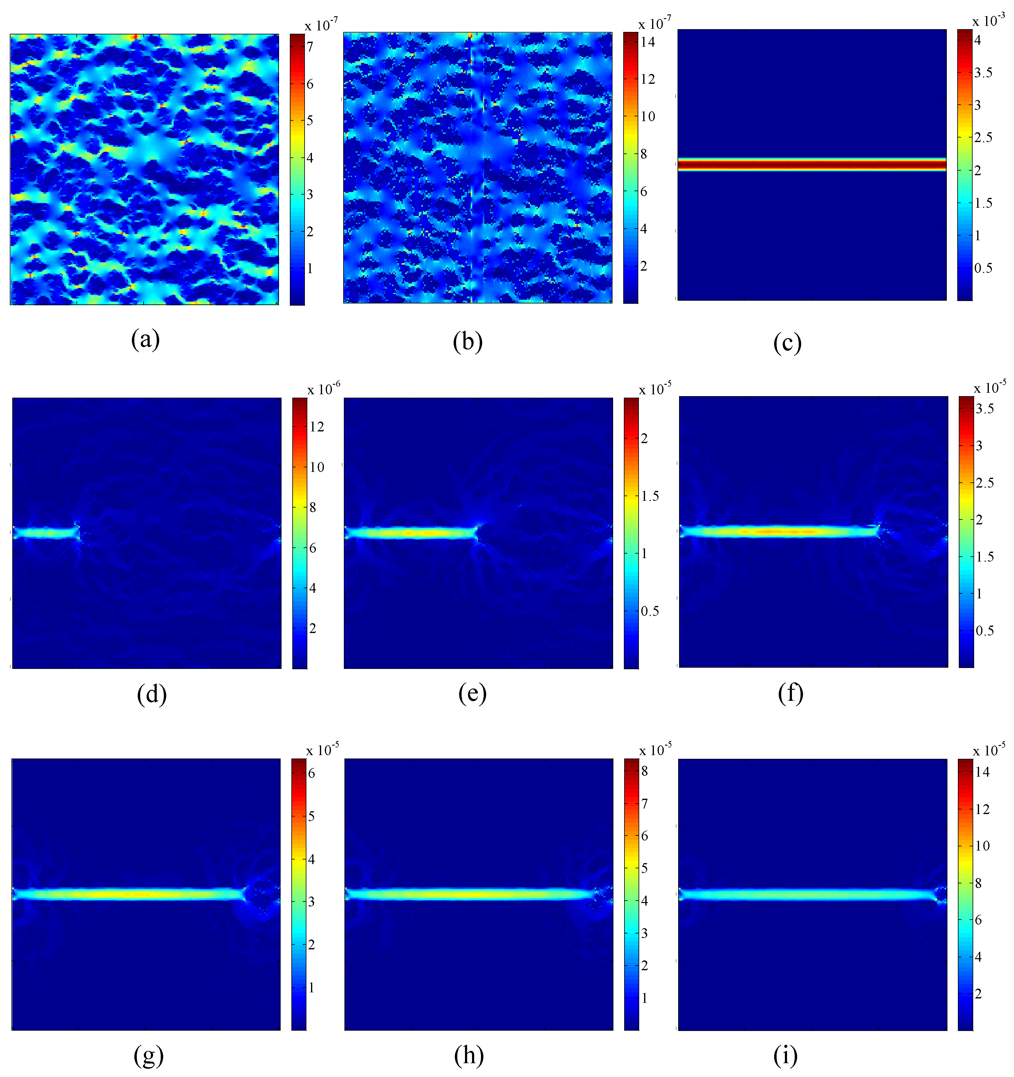
4.3. Flow in Tight Porous Media with Fractures
5. Conclusions
Author Contributions
Funding
Acknowledgments
Conflicts of Interest
References
- Zhang, X.; Liu, L.; Wu, Y. The Uniqueness of Positive Solution for a Fractional Order Model of Turbulent Flow in a Porous Medium. Appl. Math. Lett. 2014, 37, 26–33. [Google Scholar] [CrossRef]
- Liu, W.; Cui, J.; Xin, J. A Block-centered Finite Difference Method for an Unsteady Asymptotic Coupled Model in Fractured Media Aquifer System. J. Comput. Appl. Math. 2018, 337, 319–340. [Google Scholar] [CrossRef]
- Ren, J.; Guo, P. A Novel Semi-analytical Model for Finite-conductivity Multiple Fractured Horizontal Wells in Shale Gas Reservoirs. J. Nat. Gas. Sci. Eng. 2015, 24, 35–51. [Google Scholar] [CrossRef]
- Ren, J.; Guo, P. Anomalous Diffusion Performance of Multiple Fractured Horizontal Wells in Shale Gas Reservoirs. J. Nat. Gas. Sci. Eng. 2015, 26, 642–651. [Google Scholar] [CrossRef]
- Ren, J.; Guo, P. Performance of Vertical Fractured Wells with Multiple Finite-conductivity Fractures. J. Geophys. Eng. 2015, 12, 978–987. [Google Scholar] [CrossRef]
- Ren, J.; Guo, P. Nonlinear Flow Model of Multiple Fractured Horizontal Wells with Stimulated Reservoir Volume including the Quadratic Gradient Term. J. Hydrol. 2017, 554, 155–172. [Google Scholar] [CrossRef]
- Ren, J.; Guo, P. Nonlinear Seepage Model for Multiple Fractured Horizontal Wells with the Effect of the Quadratic Gradient Term. J. Porous Media 2018, 21, 223–239. [Google Scholar] [CrossRef]
- Ren, J.; Guo, P. A General Analytical Method for Transient Flow Rate with the Stress-sensitive Effect. J. Hydrol. 2018, 565, 262–275. [Google Scholar] [CrossRef]
- Ren, J.; Guo, P. Analytical Method for Transient Flow Rate with the Effect of the Quadratic Gradient Term. J. Pet. Sci. Eng. 2018, 162, 774–784. [Google Scholar] [CrossRef]
- Ren, J.; Guo, P.; Peng, S.; Ma, Z. Performance of Multi-stage Fractured Horizontal Wells with Stimulated Reservoir Volume in Tight Gas Reservoirs Considering Anomalous Diffusion. Environ. Earth Sci. 2018, 77, 768. [Google Scholar] [CrossRef]
- Wang, Z.; Tu, H.; Guo, P.; Zeng, F.; Sang, T.; Wang, Z. Fluid Behavior of Gas Condensate System with Water Vapor. Fluid Phase Equilib. 2017, 438, 67–75. [Google Scholar] [CrossRef]
- Wang, Z.; Li, Y.; Liu, H.; Zeng, F.; Guo, P.; Jiang, W. Study on the Adsorption, Diffusion and Permeation Selectivity of Shale Gas in Organics. Energies 2017, 10, 142. [Google Scholar] [CrossRef]
- Wang, Z.; Wang, Z.; Zeng, F.; Guo, P.; Xu, X.; Deng, D. The Material Balance Equation for Fractured Vuggy Gas Reservoirs with Bottom Water-drive Combining Stress and Gravity Effects. J. Nat. Gas. Sci. Eng. 2017, 44, 96–108. [Google Scholar] [CrossRef]
- Guo, Z.L.; Zhao, T.S. Lattice Boltzmann Model for Incompressible Flows through Porous Media. Phys. Rev. E 2002, 66, 036304. [Google Scholar] [CrossRef] [PubMed]
- Nithiarasu, P.; Seetharamu, K.N.; Sundararajan, T. Natural Convective Heat Transfer in a Fluid Saturated Variable Porosity Medium. Int. J. Heat Mass Transf. 1997, 40, 3955–3967. [Google Scholar] [CrossRef]
- Ferziger, J.H.; Perić, M. Computational Methods for Fluid Dynamics. Phys. Today 1997, 50, 80–84. [Google Scholar] [CrossRef]
- Ren, J.; Guo, P.; Guo, Z.; Wang, Z. A Lattice Boltzmann Model for simulating Gas Flow in Kerogen Pores. Transp. Porous Med. 2015, 106, 285–301. [Google Scholar] [CrossRef]
- Ren, J.; Guo, P.; Peng, S.; Yang, C. Investigation on Permeability of Shale Matrix using the Lattice Boltzmann Method. J. Nat. Gas Sci. Eng. 2016, 29, 169–175. [Google Scholar] [CrossRef]
- Ren, J.; Guo, P.; Guo, Z. Rectangular Lattice Boltzmann Equation for Gaseous Microscale Flow. Adv. Appl. Math. Mech. 2016, 8, 306–330. [Google Scholar] [CrossRef]
- Ren, J.; Guo, P. Lattice Boltzmann Simulation of Steady Flow in a Semi-Elliptical Cavity. Commun. Comput. Phys. 2017, 21, 692–717. [Google Scholar] [CrossRef]
- Ren, J.; Zheng, Q.; Guo, P.; Peng, S.; Wang, Z.; Du, J. Pore-scale Lattice Boltzmann Simulation of Two-component Shale Gas Flow. J. Nat. Gas. Sci. Eng. 2019, 61, 46–70. [Google Scholar] [CrossRef]
- Spaid, M.A.A.; Phelan, F.R. Lattice Boltzmann Methods for Modeling Microscale Flow in Fibrous Porous Media. Phys. Fluids 1997, 9, 2468–2474. [Google Scholar] [CrossRef]
- Dardis, O.; McCloskey, J. Lattice Boltzmann Scheme with Real Numbered Solid Density for the Simulation of Flow in Porous Media. Phys. Rev. E 1998, 57, 4834–4837. [Google Scholar] [CrossRef]
- Martys, N.S. Improved Approximation of the Brinkman Equation using a Lattice Boltzmann Method. Phys. Fluids 2001, 13, 1807–1810. [Google Scholar] [CrossRef]
- Guo, Z.L.; Zhao, T.S. A Lattice Boltzmann Model for Convection Heat Transfer in Porous Media. Numer. Heat Transf. B Fundam. 2005, 47, 157–177. [Google Scholar] [CrossRef]
- Rong, F.M.; Guo, Z.L.; Chai, Z.H.; Shi, B.C. A Lattice Boltzmann Model for Axisymmetric Thermal Flows through Porous Media. Int. J. Heat Mass Transf. 2010, 53, 5519–5527. [Google Scholar] [CrossRef]
- Chen, L.; Fang, W.Z.; Kang, Q.J.; Hyman, J.D.; Viswanathan, H.S.; Tao, W.Q. Generalized Lattice Boltzmann Model for Flow through Tight Porous Media with Klinkenberg’s Effect. Phys. Rev. E 2015, 91, 033004. [Google Scholar] [CrossRef] [PubMed]
- Wang, H.-X.; Wang, G.; Chen, Z.-X.; Wong, R.C.K. Deformational Characteristics of Rock in Low Permeable Reservoir and their Effect on Permeability. J. Pet. Sci. Eng. 2010, 75, 240–243. [Google Scholar] [CrossRef]
- Klinkenberg, L.J. The Permeability of Porous Media to Liquids and Gases. API Drill. Prod. Pract. 1941, 2, 200–213. [Google Scholar] [CrossRef]
- Vairogs, J.; Hearn, C.L.; Dareing, D.; Rhoades, V.W. Effect of Rock Stress on Gas Production from Low-permeability Reservoirs. J. Pet. Technol. 1971, 23, 1161–1167. [Google Scholar] [CrossRef]
- Ergun, S. Fluid Flow through Packed Columns. Chem. Eng. Prog. 1952, 48, 89–94. [Google Scholar]
- Luo, W.; Wang, X.; Feng, Y.; Tang, C.; Zhou, Y. Productivity Analysis for a Vertically Fractured Well under Non-Darcy Flow Condition. J. Pet. Sci. Eng. 2016, 146, 714–725. [Google Scholar] [CrossRef]
- Guppy, K.H.; Cinco-Ley, H.; Ramey, H.J., Jr. Pressure Buildup Analysis of Fractured Wells Producing at High Flow Rates. J. Pet. Technol. 1982, 34, 2656–2666. [Google Scholar] [CrossRef]
- Tang, G.H.; Tao, W.Q.; He, Y.L. Gas Slippage Effect on Microscale Porous Flow using the Lattice Boltzmann Method. Phys. Rev. E 2005, 72, 056301. [Google Scholar] [CrossRef] [PubMed]
- Beskok, A.; Karniadakis, G.E. A Model for Flows in Channels, Pipes, and Ducts at Micro and Nano Scales. Microsc. Therm. Eng. 1999, 3, 43–77. [Google Scholar]
- Civan, F. Effective Correlation of Apparent Gas Permeability in Tight Porous Media. Transp. Porous Med. 2010, 82, 375–384. [Google Scholar] [CrossRef]
- Cercignani, C. Mathematical Methods in Kinetic Theory; Plenum Press: New York, NY, USA, 1990. [Google Scholar]
- Ziarani, A.S.; Aguilera, R. Knudsen’s Permeability Correction for Tight Porous Media. Transp. Porous Med. 2012, 91, 239–260. [Google Scholar] [CrossRef]
- Heid, J.G.; McMahon, J.J.; Nielsen, R.F.; Yuster, S.T. Study of the Permeability of Rocks to Homogeneous Fluids; American Petroleum Institute: Washington, DC, USA, 1950. [Google Scholar]
- David, C.; Wong, T.-F.; Zhu, W.L.; Zhang, J.X. Laboratory Measurement of Compaction-induced Permeability Change in Porous Rocks: Implications for the Generation and Maintenance of Pore Pressure Excess in the Crust. Pure Appl. Geophys. 1994, 143, 425–456. [Google Scholar] [CrossRef]
- Prestininzi, P.; Montessori, A.; La Rocca, M.; Succi, S. Reassessing the Single Relaxation Time Lattice Boltzmann Method for the Simulation of Darcy’s Flows. Int. J. Mod. Phys. C 2016, 27, 1650037. [Google Scholar] [CrossRef]
- Dempsey, J.R. Computer Routine Treats Gas Viscosity as a Variable. Oil Gas J. 1965, 63, 141–143. [Google Scholar]
- Succi, S. The Lattice Boltzmann Equation for Fluid Dynamics and Beyond; Oxford University Press: New York, NY, USA, 2001. [Google Scholar]
- Guo, Z.L.; Zheng, C.G.; Shi, B.C. Non-equilibrium Extrapolation Method for Velocity and Boundary Conditions in the Lattice Boltzman Method. Chin. Phys. 2002, 11, 366–374. [Google Scholar]
- Wang, M.; Wang, J.; Pan, N.; Chen, S. Mesoscopic Predictions of the Effective Thermal Conductivity for Microscale Random Porous Media. Phys. Rev. E 2007, 75, 036702. [Google Scholar] [CrossRef] [PubMed]













| Parameter | |||
|---|---|---|---|
| Inorganic material | |||
| Inorganic material | |||
| Inorganic material | |||
| Inorganic material | 0.1663 | 0.2011 | 0.2715 |
| Inorganic material | 0.3 | 0.3 | 0.3 |
| Organic material | |||
| Organic material | |||
| Organic material | |||
| Organic material | 0.0307 | 0.0449 | 0.0819 |
| Organic material | 0.1 | 0.1 | 0.1 |
| Parameter | |||
|---|---|---|---|
| Inorganic material | |||
| Inorganic material | |||
| Inorganic material | |||
| Inorganic material | 0.1663 | 0.2011 | 0.2715 |
| Inorganic material | 0.3 | 0.3 | 0.3 |
| Organic material | |||
| Organic material | |||
| Organic material | |||
| Organic material | 0.0307 | 0.0449 | 0.0819 |
| Organic material | 0.1 | 0.1 | 0.1 |
| Pressure | |||
|---|---|---|---|
| 0.5 MPa | 16.0734 | 0.1621 | 4.4781 |
| 10 MPa | 1.8065 | 0.2897 | 0.6788 |
| 25 MPa | 1.4522 | 0.7319 | 1.1345 |
| Parameter | Physical Unit | Lattice Unit |
|---|---|---|
| Inorganic material | ||
| Inorganic material | ||
| Inorganic material | ||
| Inorganic material | 0.1663 | 0.1663 |
| Inorganic material | 0.3 | 0.3 |
| Organic material | ||
| Organic material | ||
| Organic material | ||
| Organic material | 0.0307 | 0.0307 |
| Organic material | 0.1 | 0.1 |
| Natural fracture | ||
| Natural fracture | ||
| Natural fracture | ||
| Natural fracture | 0.7371 | 0.7371 |
| Natural fracture | 0.99 | 0.99 |
| Structures of a Porous Medium with Fracture | The Ratio of Global Permeability with Fracture and Global Permeability without Fracture |
|---|---|
| Figure 12b | 1.4037 |
| Figure 12c | 938.2724 |
| Figure 12d | 2.6933 |
| Figure 12e | 5.0843 |
| Figure 12f | 7.6190 |
| Figure 12g | 11.1979 |
| Figure 12h | 13.4764 |
| Figure 12i | 18.1392 |
| Pressure | |||
|---|---|---|---|
| 0.5 MPa | 1.0226 | 0.5594 | 0.5797 |
| 10 MPa | 1.0014 | 0.6807 | 0.6820 |
| 25 MPa | 1.0008 | 0.9116 | 0.9123 |
© 2019 by the authors. Licensee MDPI, Basel, Switzerland. This article is an open access article distributed under the terms and conditions of the Creative Commons Attribution (CC BY) license (http://creativecommons.org/licenses/by/4.0/).
Share and Cite
Ren, J.; Zheng, Q.; Guo, P.; Zhao, C. Lattice Boltzmann Model for Gas Flow through Tight Porous Media with Multiple Mechanisms. Entropy 2019, 21, 133. https://doi.org/10.3390/e21020133
Ren J, Zheng Q, Guo P, Zhao C. Lattice Boltzmann Model for Gas Flow through Tight Porous Media with Multiple Mechanisms. Entropy. 2019; 21(2):133. https://doi.org/10.3390/e21020133
Chicago/Turabian StyleRen, Junjie, Qiao Zheng, Ping Guo, and Chunlan Zhao. 2019. "Lattice Boltzmann Model for Gas Flow through Tight Porous Media with Multiple Mechanisms" Entropy 21, no. 2: 133. https://doi.org/10.3390/e21020133
APA StyleRen, J., Zheng, Q., Guo, P., & Zhao, C. (2019). Lattice Boltzmann Model for Gas Flow through Tight Porous Media with Multiple Mechanisms. Entropy, 21(2), 133. https://doi.org/10.3390/e21020133
