Conjugate Heat Transfer Investigation on Swirl-Film Cooling at the Leading Edge of a Gas Turbine Vane
Abstract
1. Introduction
2. Numerical method
2.1. Geometrical Details
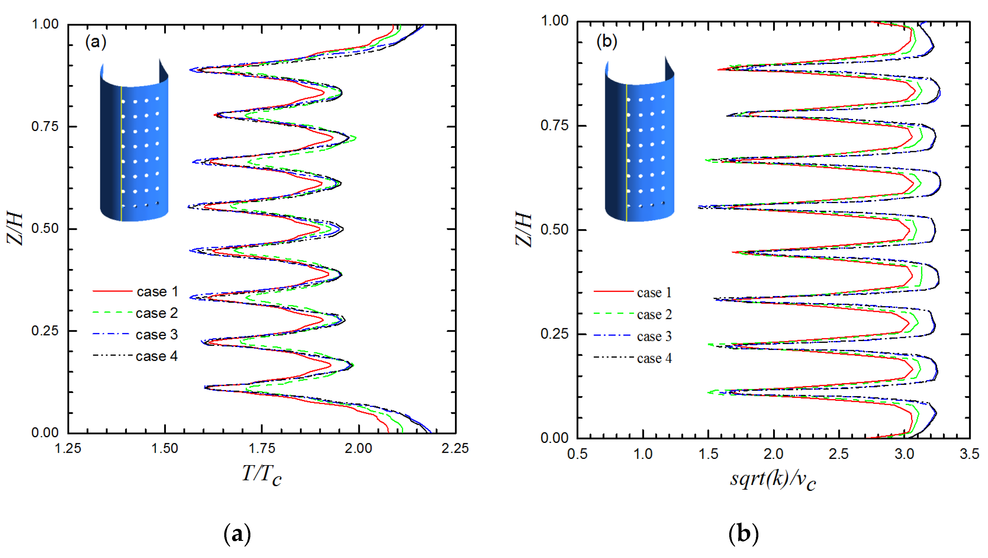
2.2. Computational Grids
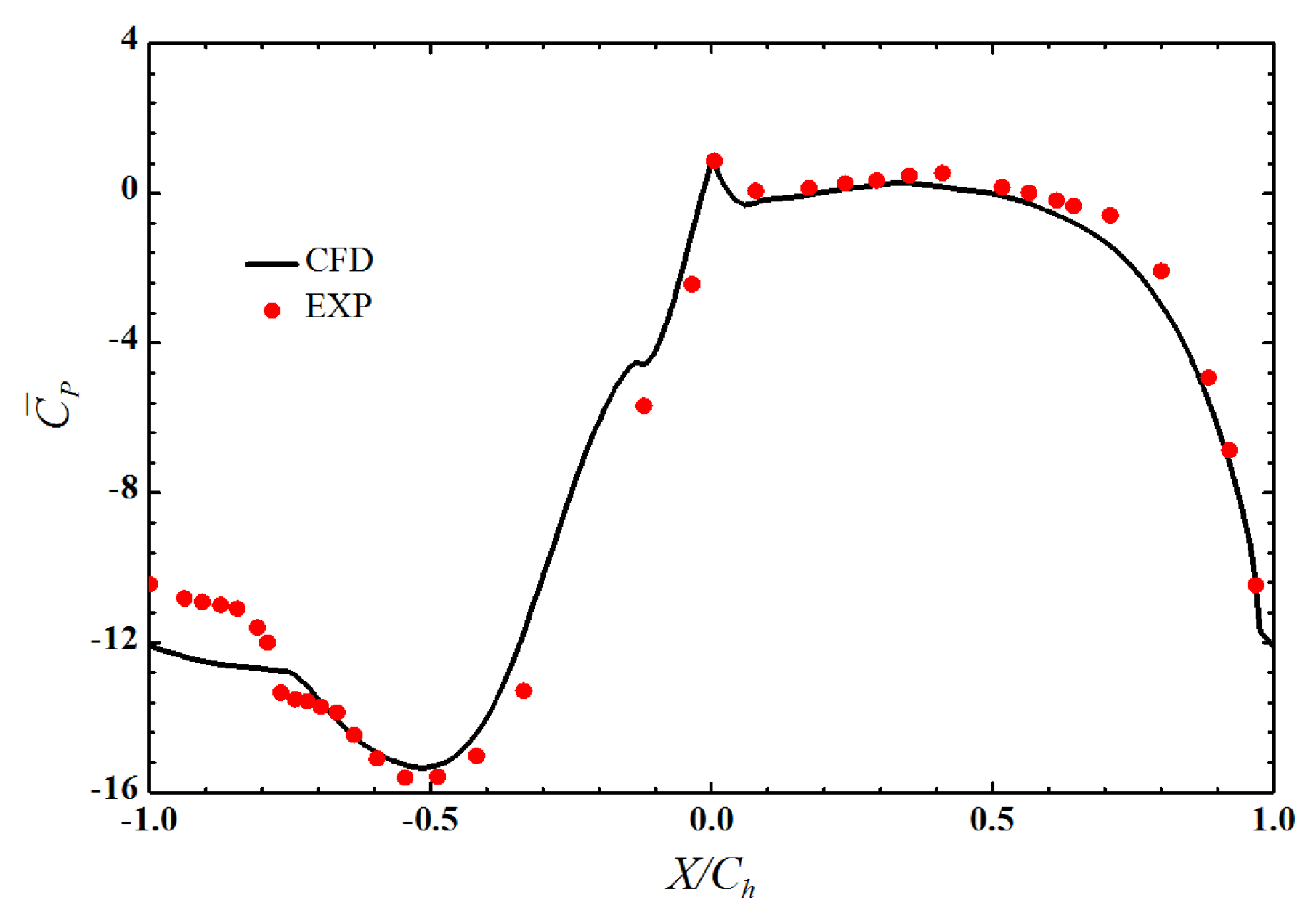
2.3. Validation and Boundary Conditions
3. Results and Discussion
3.1. Flow Distribution
3.2. Heat Transfer and Pressure Loss
4. Conclusions
Author Contributions
Funding
Acknowledgments
Conflicts of Interest
Nomenclature
| H | Vane height (m) |
| Ch | Chord length (m) |
| D | Diameter of the film hole (m) |
| b | Passage width (m) |
| d | Passage segment length (m) |
| l | Passage segment height (m) |
| CP | Coefficient of pressure, |
| Spanwise averaged coefficient of pressure | |
| K | Thermal coefficient (W/m2 K) |
| U | Velocity [m/s] |
| C | Specific heat capacity (J/(kg·K)) |
| T | Temperature (K) |
| P | Pressure (Pa) |
| m | Mass flow (kg/s) |
| q | Wall heat flux (W/m2) |
| h | Heat transfer coefficient (-) |
| MFR | Mass flow rate, (-) |
| Re | Reynolds number (-) |
| M | Blowing ratio, (-) |
| Z | The coordinate in the vane height direction (m) |
| X | The coordinate in the streamwise direction (m) |
| Greek Symbols | |
| μ | Dynamic viscosity (N·s/m2) |
| ρ | Density (kg/m3) |
| ϕ | Overall cooling effectiveness, (-) |
| Averaged overall cooling effectiveness (-) | |
| Area-averaged overall cooling effectiveness (-) | |
| Pressure loss coefficient (-) | |
| Subscripts | |
| w | Wall |
| c | Inlet coolant |
| ∞ | Mainstream |
| s | Solid |
References
- Han, J.C.; Dutta, S.; Ekkad, S. Gas Turbine Heat Transfer and Cooling Technology; CRC Press: New York, NY, USA, 2012. [Google Scholar]
- Mensch, A.; Thole, K.A. Overall effectiveness of a blade endwall with jet impingement and film cooling. J. Eng. Gas Turb. Power-Transact. ASME 2014, 136. [Google Scholar] [CrossRef]
- Song, L.M.; Zhu, P.Y.; Li, J.; Feng, Z.P. Effect of purge flow on endwall flow and heat transfer characteristics of a gas turbine blade. Appl. Therm. Eng. 2017, 110, 504–520. [Google Scholar] [CrossRef]
- Han, J.C. Turbine blade cooling studies at Texas A&M University: 1980–2004. J. Thermophysic. Heat Transf. 2006, 20, 161–187. [Google Scholar]
- Wang, W. Effectiveness study of a gas turbine guide vane with a newly designed combined cooling structure. Int. J. Heat Mass Transf. 2015, 80, 217–226. [Google Scholar] [CrossRef]
- Eckert, E.R.G. Gas-to-gas film cooling. J. Eng. Phys. 1970, 19, 1091–1101. [Google Scholar] [CrossRef]
- Lakehal, D.; Theodoridis, G.S.; Rodi, W. Three-dimensional flow and heat transfer calculations of film cooling at the leading edge of a symmetrical turbine blade model. Int. J. Heat Fluid Flow 2001, 22, 113–122. [Google Scholar] [CrossRef]
- Bunker, R.S. A review of shaped hole turbine film-cooling technology. J. Heat Transf. Transf. 2005, 127, 441–453. [Google Scholar] [CrossRef]
- Lee, K.D.; Kim, K.Y. Shape optimization of a fan-shaped hole to enhance film-cooling effectiveness. Int. J. Heat Mass Transf. 2010, 53, 2996–3005. [Google Scholar] [CrossRef]
- Lee, K.D.; Kim, K.Y. Performance evaluation of a novel film-cooling hole. J. Heat Transf. Transf. 2012, 134, 10. [Google Scholar] [CrossRef]
- Li, Y.F.; Zhang, Y.; Su, X.R.; Yuan, X. Experimental and numerical investigations of shaped hole film cooling with the influence of endwall cross flow. Int. J. Heat Mass Transf. 2018, 120, 42–55. [Google Scholar] [CrossRef]
- Park, S.; Chung, H.; Choi, S.M.; Kim, S.H.; Cho, H.H. Design of sister hole arrangements to reduce kidney vortex for film cooling enhancement. J. Mech. Sci. Technol. 2017, 31, 3981–3992. [Google Scholar] [CrossRef]
- Song, L.M.; Zhang, C.; Song, Y.J.; Li, J.; Feng, Z.P. Experimental investigations on the effects of inclination angle and blowing ratio on the flat-plate film cooling enhancement using the vortex generator downstream. Appl. Therm. Eng. 2017, 119, 573–584. [Google Scholar] [CrossRef]
- Zeng, L.Y.; Chen, P.T.; Li, X.Y.; Ren, J.; Jiang, H.D. Influence of simplifications of blade in gas turbine on film cooling performance. Appl. Therm. Eng. 2018, 128, 877–886. [Google Scholar] [CrossRef]
- Zheng, D.R.; Wang, X.J.; Zhang, F.; Yuan, Q. Numerical investigation on the effects of the divided steps on film cooling performance. Appl. Therm. Eng. 2017, 124, 652–662. [Google Scholar] [CrossRef]
- Hay, N.; West, P.D. Heat transfer in free swirling flow in a pipe. J. Heat Transf. 1975, 97, 411–416. [Google Scholar] [CrossRef]
- Bovand, M.; Valipour, M.S.; Eiamsa-ard, S.; Tamayol, A. Numerical analysis for curved vortex tube optimization. Int. Commun. Heat Mass Transf. 2014, 50, 98–107. [Google Scholar] [CrossRef]
- Bruschewski, M.; Scherhag, C.; Schiffer, H.P.; Grundmann, S. Influence of channel geometry and flow variables on cyclone cooling of turbine blades. J. Turbomach. 2016, 138. [Google Scholar] [CrossRef]
- Damavandi, M.D.; Mousavi, S.M.; Safikhani, H. Pareto optimal design of swirl cooling chambers with tangential injection using CFD, GMDH-type of ANN and NSGA-II algorithm. Int. J. Therm. Sci. 2017, 122, 102–114. [Google Scholar] [CrossRef]
- Liu, Z.; Li, J.; Feng, Z.P.; Simon, T. Numerical study on the effect of jet spacing on the Swirl flow and heat transfer in the turbine airfoil leading edge region. Numer. Heat Transf. Part A Appl. 2016, 70, 980–994. [Google Scholar] [CrossRef]
- Nanan, K.; Wongcharee, K.; Nuntadusit, C.; Eiamsa-ard, S. Forced convective heat transfer by swirling impinging jets issuing from nozzles equipped with twisted tapes. Int. Commun. Heat and Mass Transf. 2012, 39, 844–852. [Google Scholar] [CrossRef]
- Guo, H.F.; Chen, Z.Y.; Yu, C.W. Simulation of the effect of geometric parameters on tangentially injected swirling pipe airflow. Comput. Fluids 2009, 38, 1917–1924. [Google Scholar] [CrossRef]
- Liu, Z.; Li, J.; Feng, Z.P. Numerical study on the effect of jet slot height on flow and heat transfer of swirl cooling in leading edge model for gas turbine blade. ASME Turbo EXPO 2013, GT2013–94819. [Google Scholar] [CrossRef]
- Albert, J.E.; Bogard, D.G. Measurements of adiabatic film and overall cooling effectiveness on a turbine vane pressure side with a trench. J. Turbomach. 2013, 135. [Google Scholar] [CrossRef]
- Dees, J.E.; Bogard, D.G.; Ledezma, G.A.; Laskowski, G.M. Overall and adiabatic effectiveness values on a scaled up, simulated gas turbine vane. J. Turbomach. 2013, 135. [Google Scholar] [CrossRef]
- Nathan, M.L.; Dyson, T.E.; Bogard, D.G.; Bradshaw, S.D. Adiabatic and overall effectiveness for the showerhead film cooling of a turbine vane. J. Turbomach. 2014, 136. [Google Scholar] [CrossRef]
- Williams, R.P.; Dyson, T.E.; Bogard, D.G.; Bradshaw, S.D. Sensitivity of the overall effectiveness to film cooling and internal cooling on a turbine vane suction side. J. Turbomach. 2014, 136. [Google Scholar] [CrossRef]
- Mousavi, S.M.; Ghadimi, B.; Kowsary, F. Numerical study on the effects of multiple inlet slot configurations on swirl cooling of a gas turbine blade leading edge. Int. Commun. Heat Mass Transf. 2018, 90, 34–43. [Google Scholar] [CrossRef]
- Fan, X.J.; Du, C.H.; Li, L.; Li, S. Numerical simulation on effects of film hole geometry and mass flow on vortex cooling behavior for gas turbine blade leading edge. Appl. Therm. Eng. 2017, 112, 472–483. [Google Scholar] [CrossRef]
- Silieti, M.; Kassab, A.J.; Divo, E. Film cooling effectiveness: Comparison of adiabatic and conjugate heat transfer CFD models. Int. J. Therm. Sci. 2009, 48, 2237–2248. [Google Scholar] [CrossRef]
- Chandran, D.; Prasad, B.V.S. Conjugate heat transfer study of combined impingement and showerhead film cooling near NGV leading edge. Int. J. Rotat. Mach. 2015, 315036, 1–13. [Google Scholar] [CrossRef][Green Version]














| Parameter | Values (mm) | Parameter | Values (mm) |
|---|---|---|---|
| H | 76.2 | b | 2 |
| L | 117.73 | d | 2 |
| D | 2 | l | 5.47 |
| Grid Case | Fluid 1 | Solid | Fluid 2 | Total Number of Grids |
|---|---|---|---|---|
| 1 | 1,048,858 | 595,201 | 287,132 | 1,931,191 |
| 2 | 1,393,573 | 742,495 | 365,723 | 2,501,791 |
| 3 | 1,708,962 | 953,661 | 450,041 | 3,112,664 |
| 4 | 1,897,700 | 1,184,440 | 546,581 | 3,628,721 |
| C0 | C1 | C2 | ||
|---|---|---|---|---|
| Row 1 | -- | 10.26 | 12.66 | ![]() |
| Row 2 | 8.71 | 5.74 | 6.26 | |
| Row 3 | 31.96 | 25.81 | 25.16 | |
| Row 4 | 59.33 | 58.19 | 55.92 |
© 2019 by the authors. Licensee MDPI, Basel, Switzerland. This article is an open access article distributed under the terms and conditions of the Creative Commons Attribution (CC BY) license (http://creativecommons.org/licenses/by/4.0/).
Share and Cite
Du, H.; Mei, Z.; Zou, J.; Jiang, W.; Xie, D. Conjugate Heat Transfer Investigation on Swirl-Film Cooling at the Leading Edge of a Gas Turbine Vane. Entropy 2019, 21, 1007. https://doi.org/10.3390/e21101007
Du H, Mei Z, Zou J, Jiang W, Xie D. Conjugate Heat Transfer Investigation on Swirl-Film Cooling at the Leading Edge of a Gas Turbine Vane. Entropy. 2019; 21(10):1007. https://doi.org/10.3390/e21101007
Chicago/Turabian StyleDu, Haifen, Ziyue Mei, Jiayao Zou, Wei Jiang, and Danmei Xie. 2019. "Conjugate Heat Transfer Investigation on Swirl-Film Cooling at the Leading Edge of a Gas Turbine Vane" Entropy 21, no. 10: 1007. https://doi.org/10.3390/e21101007
APA StyleDu, H., Mei, Z., Zou, J., Jiang, W., & Xie, D. (2019). Conjugate Heat Transfer Investigation on Swirl-Film Cooling at the Leading Edge of a Gas Turbine Vane. Entropy, 21(10), 1007. https://doi.org/10.3390/e21101007

