Change-Point Detection Using the Conditional Entropy of Ordinal Patterns
Abstract
1. Introduction
2. Methods
2.1. Preliminaries
2.1.1. Ordinal Patterns
2.1.2. Stochastic Processes with Ordinal Change-Points
2.1.3. Conditional Entropy of Ordinal Patterns
2.2. A Statistic for Change-Point Detection Based on the Conditional Entropy of Ordinal Patterns
- characterize the process before the change;
- correspond to the transitional state;
- characterize the process after the change.
2.3. Algorithm for Change-Point Detection via the CEofOP Statistic
- :
- parts and of the sequence come from the same distribution;
- :
- parts and of the sequence come from different distributions.
| Algorithm 1 Detecting at most one change-point |
| Input: sequence of ordinal patterns of order d, nominal probability of false alarm Output: estimate of a change-point if change-point is detected, otherwise return 0.
|
- Step 1:
- preliminary estimation of boundaries of the stationary segments with a threshold computed for doubled nominal probability of false alarm (that is, with a higher risk of detecting false change-points).
- Step 2:
- verification of the boundaries and exclusion of false change-points: a change-point is searched for a merging of every two adjacent intervals.
| Algorithm 2 Detecting multiple change-points |
| Input: sequence of ordinal patterns of order d, nominal probability of false alarm. Output: estimates of the number of stationary segments and of their boundaries .
|
3. Numerical Simulations and Results
- The ordinal-patterns-based method for detecting change-points via the CMMD statistic [23,24]: A time series is split into windows of equal lengths , empirical probabilities of ordinal patterns are estimated in every window. If there is a ordinal change-point in the time series, then the empirical probabilities of ordinal patterns should be approximately constant before the change-point and after the change-point, but they change at the window with the change-point. To detect this change, the CMMD statistic was introduced. (Note that the definition of the CMMD statistic in [23] contains a mistake, which is corrected in [24]. The results of numerical experiments reported in [23] also do not comply with the actual definition of the CMMD statistic (see Section 4.2.1.1 and 4.5.1.1 in [22] for details). In the original papers [23,24], authors do not estimate change-points, but only the corresponding window numbers; for the algorithm of change-point estimation by means of the CMMD statistic, we refer to Section 4.5.1 in [22].
- Two versions of the classical Brodsky–Darkhovsky method [11]: the Brodsky–Darkhovsky method can be used for detecting changes in various characteristics of a time series , but the characteristic of interest should be selected in advance. In this paper, we consider detecting changes in mean, which is just the basic characteristic, and in correlation function which reflects relations between the future and the past of a time series and seems to be a natural choice for detecting ordinal change-points. Changes in mean are detected by the generalized version of the Kolmogorov–Smirnov statistic [11]:where the parameter regulates properties of the statistic, is basically used (see [11] for details). Changes in the correlation function are detected by the following statistic:
3.1. Estimation of the Position of a Single Change-Point
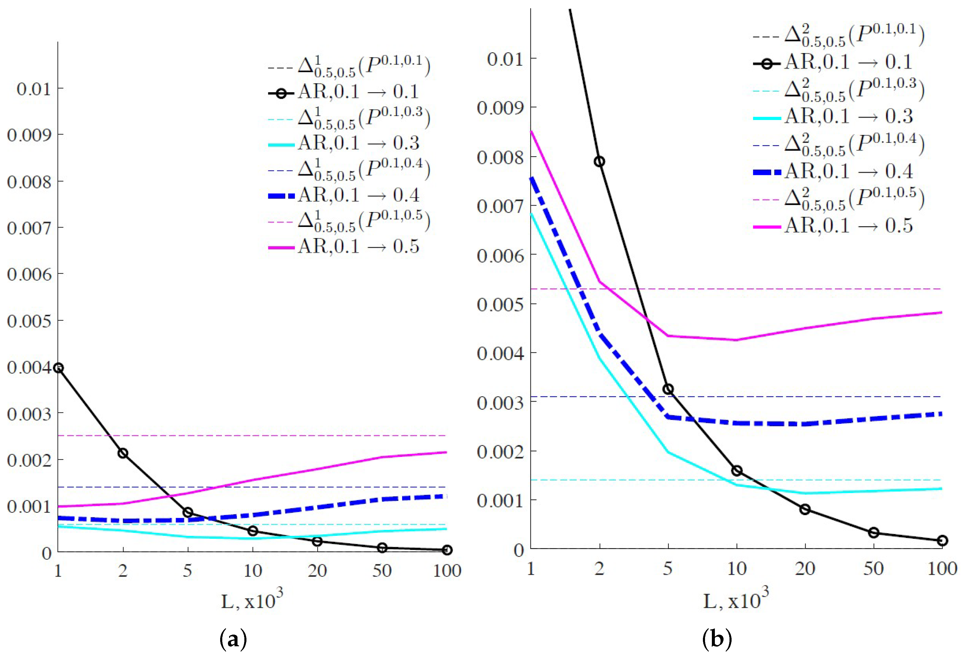
3.2. Estimating Position of a Single Change-Point for Different Lengths of Time Series
3.3. Detecting Multiple Change-Points
4. Conclusions and Open Points
- A method for computing a threshold h for the statistic without shuffling the original time series is of interest, since this procedure is rather time consuming. One possible solution is to utilize Theorem A1 (Appendix A.1) and to precompute thresholds using the values of . However, this approach requires further investigation.
- The binary segmentation procedure [43] is not the only possible method for detecting multiple change-points. In [8,55], an alternative approach is suggested: the number of stationary segments is estimated by optimizing a contrast function, then the positions of the change-points are adjusted. Likewise, one can consider a method for multiple change-point detection based on maximizing the following generalization of statistic:where is an estimate of number of stationary segments, , and are estimates of change-points. Further investigation in this direction could be of interest.
- As we have seen in Section 3.2, CEofOP statistic requires rather large sample sizes to provide reliable change-point detection. This is due to the necessity of the empirical conditional entropy estimation (see Section 2.3). In order to reduce the required sample size, one may consider more effective estimates of the conditional entropy—for instance, the Grassberger estimate (see [56] and also Section 3.4.1 in [22]). However, elaboration of this idea is beyond the scope of this paper.
- We did not use the full power of ordinal time series analysis, which often considers ordinal patterns taken from sequences of equidistant time points of some distance . This generalization of the case with successive points allows for addressing different scales and so to extract more information on the distribution of a time series [57], also being useful for change-point detection.
- In this paper, only one-dimensional time series are considered, though there is no principal limitation for applying ordinal-patterns-based methods to multivariate data (see [28]). Discussion of using ordinal-patterns-based methods for detecting change-point in multivariate data (for instance, in multichannel EEG) is therefore of interest.
- We have considered here only the “offline” detection of changes, which is used when the acquisition of a time series is completed. Meanwhile, in many applications, it is necessary to detect change-points “online”, based on a small number of observations after the change [1]. Development of online versions of ordinal-patterns-based methods for change-point detection may be an interesting direction of a future work.
Author Contributions
Funding
Conflicts of Interest
Appendix A. Theoretical Underpinnings of the CEofOP Statistic
Appendix A.1. Asymptotic Behavior of the CEofOP Statistic
| 0.00 | 0.10 | 0.20 | 0.30 | 0.40 | 0.50 | 0.60 | 0.70 | 0.80 | 0.90 | 0.99 | ||
|---|---|---|---|---|---|---|---|---|---|---|---|---|
| 0.00 | 0 | 0.02 | 0.07 | 0.15 | 0.26 | 0.40 | 0.56 | 0.74 | 0.95 | 1.18 | 1.44 | |
| 0.10 | 0.02 | 0 | 0.02 | 0.06 | 0.14 | 0.25 | 0.37 | 0.53 | 0.71 | 0.91 | 1.13 | |
| 0.20 | 0.07 | 0.02 | 0 | 0.02 | 0.06 | 0.13 | 0.23 | 0.36 | 0.51 | 0.68 | 0.88 | |
| 0.30 | 0.15 | 0.06 | 0.02 | 0 | 0.01 | 0.06 | 0.13 | 0.22 | 0.34 | 0.49 | 0.66 | |
| 0.40 | 0.26 | 0.14 | 0.06 | 0.01 | 0 | 0.01 | 0.06 | 0.12 | 0.22 | 0.33 | 0.48 | |
| 0.50 | 0.40 | 0.25 | 0.13 | 0.06 | 0.01 | 0 | 0.01 | 0.05 | 0.12 | 0.21 | 0.33 | |
| 0.60 | 0.56 | 0.37 | 0.23 | 0.13 | 0.06 | 0.01 | 0 | 0.01 | 0.05 | 0.12 | 0.21 | |
| 0.70 | 0.74 | 0.53 | 0.36 | 0.22 | 0.12 | 0.05 | 0.01 | 0 | 0.01 | 0.05 | 0.12 | |
| 0.80 | 0.95 | 0.71 | 0.51 | 0.34 | 0.22 | 0.12 | 0.05 | 0.01 | 0 | 0.01 | 0.05 | |
| 0.90 | 1.18 | 0.91 | 0.68 | 0.49 | 0.33 | 0.21 | 0.12 | 0.05 | 0.01 | 0 | 0.01 | |
| 0.99 | 1.44 | 1.13 | 0.88 | 0.66 | 0.48 | 0.33 | 0.21 | 0.12 | 0.05 | 0.01 | 0 | |
| 0.00 | 0.10 | 0.20 | 0.30 | 0.40 | 0.50 | 0.60 | 0.70 | 0.80 | 0.90 | 0.99 | ||
|---|---|---|---|---|---|---|---|---|---|---|---|---|
| 0.00 | 0 | 0.04 | 0.15 | 0.33 | 0.56 | 0.85 | 1.18 | 1.55 | 1.95 | 2.40 | 2.88 | |
| 0.10 | 0.04 | 0 | 0.04 | 0.14 | 0.31 | 0.53 | 0.80 | 1.12 | 1.48 | 1.89 | 2.34 | |
| 0.20 | 0.15 | 0.04 | 0 | 0.03 | 0.13 | 0.29 | 0.51 | 0.77 | 1.08 | 1.44 | 1.85 | |
| 0.30 | 0.33 | 0.14 | 0.03 | 0 | 0.03 | 0.13 | 0.28 | 0.49 | 0.75 | 1.06 | 1.43 | |
| 0.40 | 0.56 | 0.31 | 0.13 | 0.03 | 0 | 0.03 | 0.12 | 0.27 | 0.48 | 0.74 | 1.06 | |
| 0.50 | 0.85 | 0.53 | 0.29 | 0.13 | 0.03 | 0 | 0.03 | 0.12 | 0.27 | 0.48 | 0.74 | |
| 0.60 | 1.18 | 0.80 | 0.51 | 0.28 | 0.12 | 0.03 | 0 | 0.03 | 0.12 | 0.27 | 0.48 | |
| 0.70 | 1.55 | 1.12 | 0.77 | 0.49 | 0.27 | 0.12 | 0.03 | 0 | 0.03 | 0.12 | 0.28 | |
| 0.80 | 1.95 | 1.48 | 1.08 | 0.75 | 0.48 | 0.27 | 0.12 | 0.03 | 0 | 0.03 | 0.13 | |
| 0.90 | 2.40 | 1.89 | 1.44 | 1.06 | 0.74 | 0.48 | 0.27 | 0.12 | 0.03 | 0 | 0.03 | |
| 0.99 | 2.88 | 2.34 | 1.85 | 1.43 | 1.06 | 0.74 | 0.48 | 0.28 | 0.13 | 0.03 | 0 | |

Appendix A.2. CEofOP Statistic for a Sequence of Ordinal Patterns Forming a Markov Chain
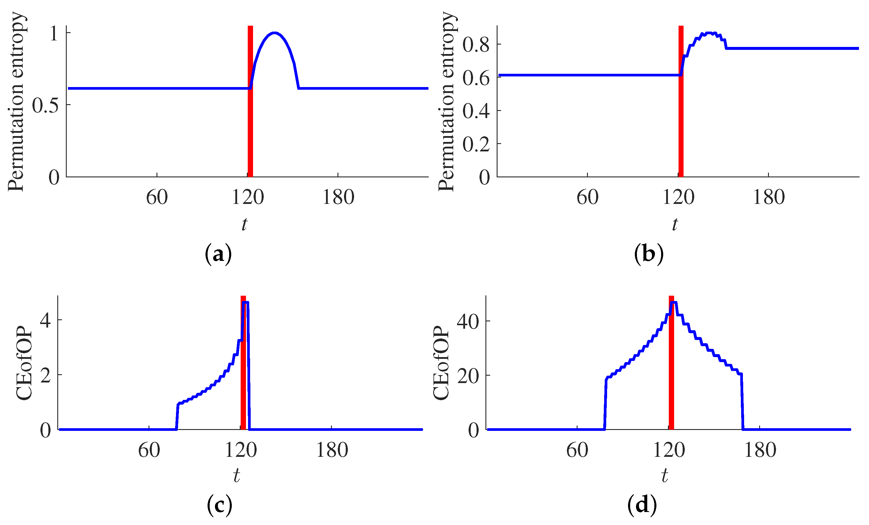
Appendix A.3. Change-Point Detection by the CEofOP Statistic and from Permutation Entropy Values

References
- Basseville, M.; Nikiforov, I.V. Detection of Abrupt Changes: Theory and Application; Prentice-Hall, Inc.: Upper Saddle River, NJ, USA, 1993. [Google Scholar]
- Amorèse, D. Applying a change-point detection method on frequency-magnitude distributions. Bull. Seismol. Soc. Am. 2007, 97, 1742–1749. [Google Scholar] [CrossRef]
- Perron, P.M.; Bai, J. Computation and Analysis of Multiple Structural Change Models. J. Appl. Econ. 2003, 18, 1–22. [Google Scholar]
- Walker, K.; Aranis, A.; Contreras-Reyes, J. Possible Criterion to Estimate the Juvenile Reference Length of Common Sardine (Strangomera bentincki) off Central-Southern Chile. J. Mar. Sci. Eng. 2018, 6, 82. [Google Scholar] [CrossRef]
- Brodsky, B.E.; Darkhovsky, B.S. Nonparametric Methods in Change-Point Problems; Kluwer Academic Publishers: Dordrecht, The Netherlands, 1993. [Google Scholar]
- Carlstein, E.; Muller, H.G.; Siegmund, D. Change-Point Problems; Institute of Mathematical Statistics: Hayward, CA, USA, 1994. [Google Scholar]
- Brodsky, B.E.; Darkhovsky, B.S. Non-Parametric Statistical Diagnosis. Problems and Methods; Kluwer Academic Publishers: Dordrecht, The Netherlands, 2000. [Google Scholar]
- Lavielle, M.; Teyssière, G. Adaptive Detection of Multiple Change-Points in Asset Price Volatility. In Long Memory in Economics; Teyssière, G., Kirman, A.P., Eds.; Springer: Berlin/Heidelberg, Germany, 2007; pp. 129–156. [Google Scholar]
- Davis, R.A.; Lee, T.C.M.; Rodriguez-Yam, G.A. Structural break estimation for nonstationary time series models. J. Am. Stat. Assoc. 2006, 101, 223–239. [Google Scholar] [CrossRef]
- Preuss, P.; Puchstein, R.; Dette, H. Detection of multiple structural breaks in multivariate time series. J. Am. Stat. Assoc. 2015, 110, 654–668. [Google Scholar] [CrossRef]
- Brodsky, B.E.; Darkhovsky, B.S.; Kaplan, A.Y.; Shishkin, S.L. A nonparametric method for the segmentation of the EEG. Comput. Methods Progr. Biomed. 1999, 60, 93–106. [Google Scholar] [CrossRef]
- Bandt, C.; Pompe, B. Permutation entropy: A natural complexity measure for time series. Phys. Rev. Lett. 2002, 88, 174102. [Google Scholar] [CrossRef] [PubMed]
- Bandt, C.; Shiha, F. Order patterns in time series. J. Time Ser. Anal. 2007, 28, 646–665. [Google Scholar] [CrossRef]
- Keller, K.; Sinn, M.; Emonds, J. Time series from the ordinal viewpoint. Stoch. Dyn. 2007, 7, 247–272. [Google Scholar] [CrossRef]
- Amigó, J.M. Permutation Complexity in Dynamical Systems. Ordinal Patterns, Permutation Entropy and All That; Springer: Berlin/Heidelberg, Germany, 2010. [Google Scholar]
- Pompe, B.; Runge, J. Momentary information transfer as a coupling measure of time series. Phys. Rev. E 2011, 83, 051122. [Google Scholar] [CrossRef] [PubMed]
- Unakafova, V.A.; Keller, K. Efficiently measuring complexity on the basis of real-world data. Entropy 2013, 15, 4392–4415. [Google Scholar] [CrossRef]
- Keller, K.; Unakafov, A.M.; Unakafova, V.A. Ordinal patterns, entropy, and EEG. Entropy 2014, 16, 6212–6239. [Google Scholar] [CrossRef]
- Antoniouk, A.; Keller, K.; Maksymenko, S. Kolmogorov–Sinai entropy via separation properties of order-generated σ-algebras. Discret. Contin. Dyn. Syst. A 2014, 34, 1793–1809. [Google Scholar]
- Keller, K.; Mangold, T.; Stolz, I.; Werner, J. Permutation Entropy: New Ideas and Challenges. Entropy 2017, 19, 134. [Google Scholar] [CrossRef]
- Unakafov, A.M.; Keller, K. Conditional entropy of ordinal patterns. Physica D 2014, 269, 94–102. [Google Scholar] [CrossRef]
- Unakafov, A.M. Ordinal-Patterns-Based Segmentation and Discrimination of Time Series with Applications to EEG Data. Ph.D. Thesis, University of Lübeck, Lübeck, Germany, 2015. [Google Scholar]
- Sinn, M.; Ghodsi, A.; Keller, K. Detecting Change-Points in Time Series by Maximum Mean Discrepancy of Ordinal Pattern Distributions. In Proceedings of the 28th Conference on Uncertainty in Artificial Intelligence, Catalina Island, CA, USA, 14–18 August 2012; pp. 786–794. [Google Scholar]
- Sinn, M.; Keller, K.; Chen, B. Segmentation and classification of time series using ordinal pattern distributions. Eur. Phys. J. Spec. Top. 2013, 222, 587–598. [Google Scholar] [CrossRef]
- Unakafov, A.M. Change-Point Detection Using the Conditional Entropy of Ordinal Patterns. 2017. Available online: https://mathworks.com/matlabcentral/fileexchange/62944-change-point-detection-using-the-conditional-entropy-of-ordinal-patterns (accessed on 13 September 2018).
- Stoffer, D.S. Frequency Domain Techniques in the Analysis of DNA Sequences. In Handbook of Statistics: Time Series Analysis: Methods and Applications; Rao, T.S., Rao, S.S., Rao, C.R., Eds.; Elsevier: New York, NY, USA, 2012; pp. 261–296. [Google Scholar]
- Bandt, C.; Keller, G.; Pompe, B. Entropy of interval maps via permutations. Nonlinearity 2002, 15, 1595–1602. [Google Scholar] [CrossRef]
- Keller, K. Permutations and the Kolmogorov–Sinai entropy. Discret. Contin. Dyn. Syst. 2012, 32, 891–900. [Google Scholar] [CrossRef]
- Pompe, B. The LE-statistic. Eur. Phys. J. Spec. Top. 2013, 222, 333–351. [Google Scholar] [CrossRef]
- Haruna, T.; Nakajima, K. Permutation complexity and coupling measures in hidden Markov models. Entropy 2013, 15, 3910–3930. [Google Scholar] [CrossRef]
- Sinn, M.; Keller, K. Estimation of ordinal pattern probabilities in Gaussian processes with stationary increments. Comput. Stat. Data Anal. 2011, 55, 1781–1790. [Google Scholar] [CrossRef]
- Amigó, J.M.; Keller, K. Permutation entropy: One concept, two approaches. Eur. Phys. J. Spec. Top. 2013, 222, 263–273. [Google Scholar] [CrossRef]
- Sinn, M.; Keller, K. Estimation of ordinal pattern probabilities in fractional Brownian motion. arXiv, 2008; arXiv:0801.1598. [Google Scholar]
- Bandt, C. Autocorrelation type functions for big and dirty data series. arXiv, 2003; arXiv:1411.3904. [Google Scholar]
- Elizalde, S.; Martinez, M. The frequency of pattern occurrence in random walks. arXiv, 2014; arXiv:1412.0692. [Google Scholar]
- Cao, Y.; Tung, W.; Gao, W.; Protopopescu, V.; Hively, L. Detecting dynamical changes in time series using the permutation entropy. Phys. Rev. E 2004, 70, 046217. [Google Scholar] [CrossRef] [PubMed]
- Yuan, Y.J.; Wang, X.; Huang, Z.T.; Sha, Z.C. Detection of Radio Transient Signal Based on Permutation Entropy and GLRT. In Wireless Personal Communications; Wesley, Addison Longman Incorporated: Boston, MA, USA, 2015; pp. 1–11. [Google Scholar]
- Schnurr, A.; Dehling, H. Testing for structural breaks via ordinal pattern dependence. arXiv, 2015; arXiv:1501.07858. [Google Scholar]
- Thunberg, H. Periodicity versus chaos in one-dimensional dynamics. SIAM Rev. 2001, 43, 3–30. [Google Scholar] [CrossRef]
- Lyubich, M. Forty years of unimodal dynamics: On the occasion of Artur Avila winning the Brin prize. J. Mod. Dyn. 2012, 6, 183–203. [Google Scholar] [CrossRef]
- Linz, S.; Lücke, M. Effect of additive and multiplicative noise on the first bifurcations of the logistic model. Phys. Rev. A 1986, 33, 2694. [Google Scholar] [CrossRef]
- Diks, C. Nonlinear Time series analysis: Methods and Applications; World Scientific: Singapore, 1999. [Google Scholar]
- Vostrikova, L.Y. Detecting disorder in multidimensional random processes. Sov. Math. Dokl. 1981, 24, 55–59. [Google Scholar]
- Han, T.S.; Kobayashi, K. Mathematics of Information and Coding; Translated from the Japanese by J. Suzuki; American Mathematical Society: Providence, RI, USA, 2002; p. 286. [Google Scholar]
- Theiler, J.; Eubank, S.; Longtin, A.; Galdrikian, B.; Farmer, J. Testing for nonlinearity in time series: The method of surrogate data. Phys. D Nonlinear Phenom. 1992, 58, 77–94. [Google Scholar] [CrossRef]
- Schreiber, T.; Schmitz, A. Improved surrogate data for nonlinearity tests. Phys. Rev. Lett. 1996, 77, 635. [Google Scholar] [CrossRef] [PubMed]
- Schreiber, T.; Schmitz, A. Surrogate time series. Phys. D Nonlinear Phenom. 2000, 142, 346–382. [Google Scholar] [CrossRef]
- Gautama, T. Surrogate Data. MATLAB Central File Exchange. 2005. Available online: https://www.mathworks.com/matlabcentral/fileexchange/4612-surrogate-data (accessed on 13 September 2018).
- Polansky, A.M. Detecting change-points in Markov chains. Comput. Stat. Data Anal. 2007, 51, 6013–6026. [Google Scholar] [CrossRef]
- Kim, A.Y.; Marzban, C.; Percival, D.B.; Stuetzle, W. Using labeled data to evaluate change detectors in a multivariate streaming environment. Signal Process. 2009, 89, 2529–2536. [Google Scholar] [CrossRef]
- Davison, A.C.; Hinkley, D.V. Bootstrap Methods and Their Applications; Cambridge University Press: Cambridge, UK, 1997. [Google Scholar]
- Lahiri, S.N. Resampling Methods for Dependent Data; Springer: New York, NY, USA, 2003. [Google Scholar]
- Härdle, W.; Horowitz, J.; Kreiss, J.P. Bootstrap methods for time series. Int. Stat. Rev. 2003, 71, 435–459. [Google Scholar] [CrossRef]
- Bühlmann, P. Bootstraps for time series. Stat. Sci. 2002, 17, 52–72. [Google Scholar] [CrossRef]
- Lavielle, M. Detection of multiple changes in a sequence of dependent variables. Stoch. Process. Their Appl. 1999, 83, 79–102. [Google Scholar] [CrossRef]
- Grassberger, P. Entropy estimates from insufficient samplings. arXiv, 2003; arXiv:physics/0307138. [Google Scholar]
- Riedl, M.; Müller, A.; Wessel, N. Practical considerations of permutation entropy. Eur. Phys. J. Spec. Top. 2013, 222, 249–262. [Google Scholar] [CrossRef]
- Anderson, T.W.; Goodman, L.A. Statistical inference about Markov chains. Ann. Math. Stat. 1957, 28, 89–110. [Google Scholar] [CrossRef]






| Short Name | Complete Designation |
|---|---|
| NL, , | |
| NL, , | |
| NL, , | |
| AR, | |
| AR, | |
| AR, |
| NL, | NL, | NL, | |||||||
|---|---|---|---|---|---|---|---|---|---|
| Statistic | |||||||||
| CMMD | 0.34 | 698 | 1653 | 0.50 | −51 | 306 | 0.68 | −13 | 206 |
| 0.46 | 147 | 1108 | 0.62 | −3 | 267 | 0.81 | 33 | 147 | |
| 0.61 | 53 | 397 | 0.65 | 1 | 256 | 0.88 | 20 | 99 | |
| 0.47 | −2 | 982 | 0.46 | −41 | 1162 | 0.83 | 2 | 130 | |
| 0.62 | 78 | 351 | 0.78 | −6 | 145 | 0.89 | 43 | 96 | |
| 0.44 | 85 | 656 | 0.71 | 13 | 202 | 0.77 | 43 | 189 | |
| Statistic | AR, | AR, | AR, | ||||||
|---|---|---|---|---|---|---|---|---|---|
| CMMD | 0.32 | 616 | 1626 | 0.54 | −14 | 368 | 0.68 | −48 | 184 |
| 0.42 | 74 | 1096 | 0.67 | 6 | 244 | 0.82 | 3 | 129 | |
| 0.39 | 126 | 1838 | 0.68 | 0 | 234 | 0.86 | 0 | 110 | |
| 0.08 | 1028 | 6623 | 0.46 | −176 | 1678 | 0.74 | −27 | 214 | |
| 0.00 | > | > | 0.00 | > | > | 0.00 | > | > | |
| 0.79 | 31 | 151 | 0.92 | 21 | 73 | 0.97 | 21 | 50 | |
| Statistic | Number of False Change-Points | Fraction of Satisfactory Estimates | |||
|---|---|---|---|---|---|
| 1st Change | 2nd Change | 3rd Change | Average | ||
| cMMD | 1.17 | 0.465 | 0.642 | 0.747 | 0.618 |
| 0.62 | 0.753 | 0.882 | 0.930 | 0.855 | |
| 1.34 | 0.296 | 0.737 | 0.751 | 0.595 | |
| Statistic | Number of False Change-Points | Fraction of Satisfactory Estimates | |||
|---|---|---|---|---|---|
| 1st Change | 2nd Change | 3rd Change | Average | ||
| CMMD | 1.17 | 0.340 | 0.640 | 0.334 | 0.438 |
| 1.12 | 0.368 | 0.834 | 0.517 | 0.573 | |
| 0.53 | 0.783 | 0.970 | 0.931 | 0.895 | |
© 2018 by the authors. Licensee MDPI, Basel, Switzerland. This article is an open access article distributed under the terms and conditions of the Creative Commons Attribution (CC BY) license (http://creativecommons.org/licenses/by/4.0/).
Share and Cite
Unakafov, A.M.; Keller, K. Change-Point Detection Using the Conditional Entropy of Ordinal Patterns. Entropy 2018, 20, 709. https://doi.org/10.3390/e20090709
Unakafov AM, Keller K. Change-Point Detection Using the Conditional Entropy of Ordinal Patterns. Entropy. 2018; 20(9):709. https://doi.org/10.3390/e20090709
Chicago/Turabian StyleUnakafov, Anton M., and Karsten Keller. 2018. "Change-Point Detection Using the Conditional Entropy of Ordinal Patterns" Entropy 20, no. 9: 709. https://doi.org/10.3390/e20090709
APA StyleUnakafov, A. M., & Keller, K. (2018). Change-Point Detection Using the Conditional Entropy of Ordinal Patterns. Entropy, 20(9), 709. https://doi.org/10.3390/e20090709

