Application of Entropy Ensemble Filter in Neural Network Forecasts of Tropical Pacific Sea Surface Temperatures
Abstract
1. Introduction
2. Methods
2.1. Entropy Ensemble Filter
2.2. Models
3. Data, Predictors, and Predictands
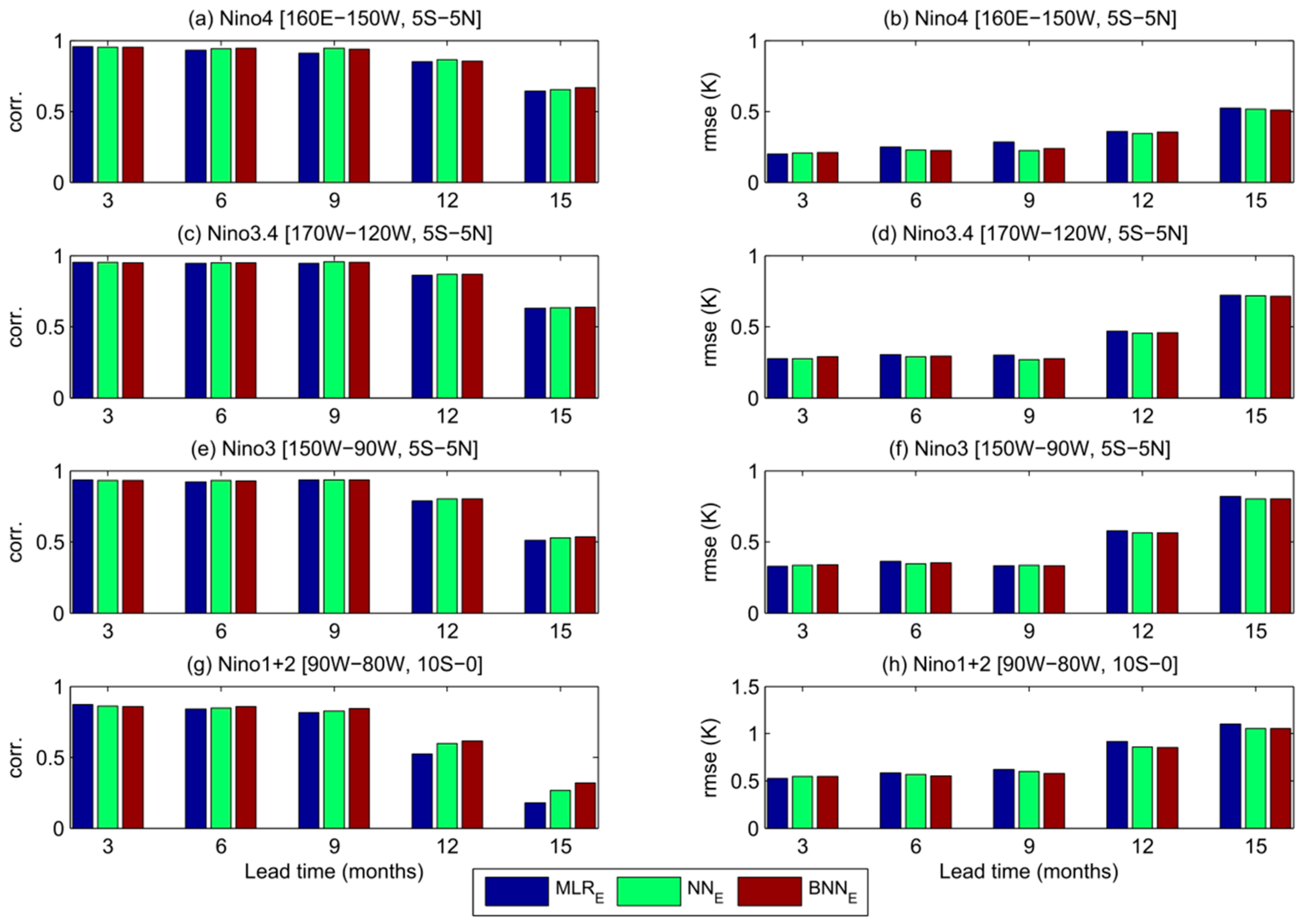
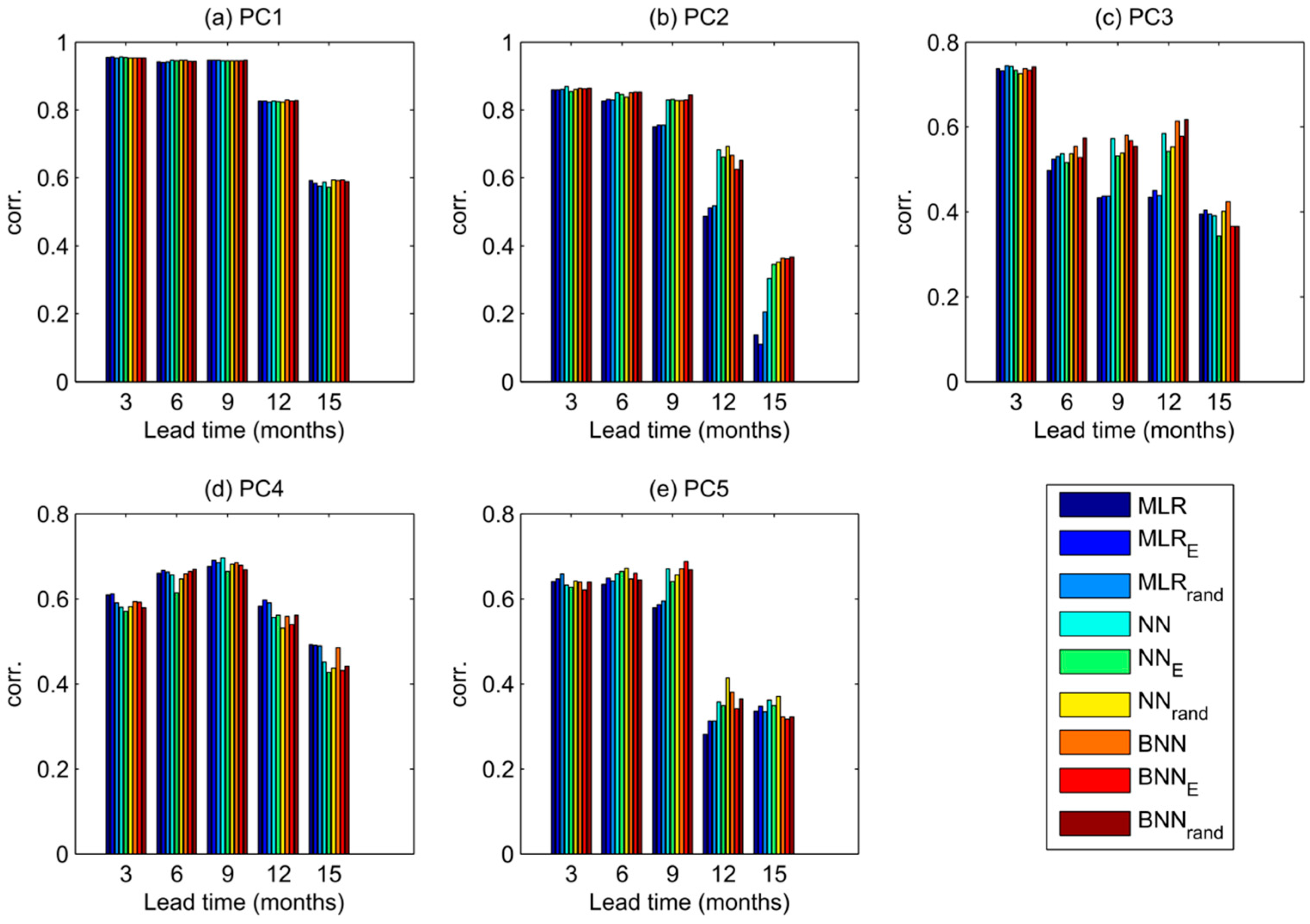
4. Results and Discussion
Regional Forecast
5. Conclusions
Acknowledgments
Author Contributions
Conflicts of Interest
Appendix A. Results of Regional Forecast


References
- Chau, K. Use of meta-heuristic techniques in rainfall-runoff modelling. Water 2017, 9, 186. [Google Scholar] [CrossRef]
- Hsieh, W.W. Machine Learning Methods in the Environmental Sciences: Neural Networks and Kernels; Cambridge University Press: Cambridge, UK, 2009. [Google Scholar]
- Lazebnik, S.; Raginsky, M. Supervised learning of quantizer codebooks by information loss minimization. IEEE Trans. Pattern Anal. Mach. Intell. 2009, 31, 1294. [Google Scholar] [CrossRef] [PubMed]
- Zaky, M.A.; Machado, J.A.T. On the formulation and numerical simulation of distributed-order fractional optimal control problems. Commun. Nonlinear Sci. Numer. Simul. 2017, 52, 177. [Google Scholar] [CrossRef]
- Ghahramani, A.; Karvigh, S.A.; Becerik-Gerber, B. HVAC system energy optimization using an adaptive hybrid metaheuristic. Energy Build. 2017, 152, 149. [Google Scholar] [CrossRef]
- Foroozand, H.; Afzali, S.H. A comparative study of honey-bee mating optimization algorithm and support vector regression system approach for river discharge prediction case study: Kashkan river basin. In Proceedings of the International Conference on Civil Engineering Architecture and Urban Infrastructure, Tabriz, Iran, 29–30 July 2015. [Google Scholar]
- Niazkar, M.; Afzali, S.H. Parameter estimation of an improved nonlinear muskingum model using a new hybrid method. Hydrol. Res. 2017, 48, 1253. [Google Scholar] [CrossRef]
- Sahraei, S.; Alizadeh, M.R.; Talebbeydokhti, N.; Dehghani, M. Bed material load estimation in channels using machine learning and meta-heuristic methods. J. Hydroinformatics 2018, 20, 100. [Google Scholar] [CrossRef]
- Nikoo, M.R.; Kerachian, R.; Alizadeh, M. A fuzzy KNN-based model for significant wave height prediction in large lakes. Oceanologia 2017. [Google Scholar] [CrossRef]
- Sivakumar, B.; Jayawardena, A.W.; Fernando, T.M.K.G. River flow forecasting: Use of phase-space reconstruction and artificial neural networks approaches. J. Hydrol. 2002, 265, 225. [Google Scholar] [CrossRef]
- Moosavian, N.; Lence, B.J. Nondominated sorting differential evolution algorithms for multiobjective optimization of water distribution systems. J. Water Resour. Plan. Manag. 2017, 143, 04016082. [Google Scholar] [CrossRef]
- Moosavian, N.; Jaefarzadeh, M.R. Hydraulic analysis of water distribution network using shuffled complex evolution. J. Fluid. 2014, 2014, 979706. [Google Scholar] [CrossRef]
- Chen, X.Y.; Chau, K.W. A hybrid double feedforward neural network for suspended sediment load estimation. Water Resour. Manag. 2016, 30, 2179. [Google Scholar] [CrossRef]
- Olyaie, E.; Banejad, H.; Chau, K.W.; Melesse, A.M. A comparison of various artificial intelligence approaches performance for estimating suspended sediment load of river systems: A case study in United States. Environ. Monit. Assess. 2015, 187, 189. [Google Scholar] [CrossRef] [PubMed]
- Wan, C.; Song, Y.; Xu, Z.; Yang, G.; Nielsen, A.H. Probabilistic wind power forecasting with hybrid artificial neural networks. Electr. Power Compon. Syst. 2016, 44, 1656. [Google Scholar] [CrossRef]
- Wang, K.; Chen, T.; Lau, R. Bagging for robust Non-Linear Multivariate Calibration of Spectroscopy. Chemom. Intell. Lab. Syst. 2011, 105, 1. [Google Scholar] [CrossRef]
- Kasiviswanathan, K.S.; Sudheer, K.P. Quantification of the predictive uncertainty of artificial neural network based river flow forecast models. Stoch. Environ. Res. Risk Assess. 2013, 27, 137. [Google Scholar] [CrossRef]
- Yu, J.; Chen, X.W. Bayesian neural network approaches to ovarian cancer identification from high-resolution mass spectrometry data. Bioinformatics 2005, 21, 487. [Google Scholar] [CrossRef] [PubMed]
- Foroozand, H.; Weijs, S.V. Entropy ensemble filter: A modified bootstrap aggregating (Bagging) procedure to improve efficiency in ensemble model simulation. Entropy 2017, 19, 520. [Google Scholar] [CrossRef]
- Wu, A.; Hsieh, W.W.; Tang, B. Neural network forecasts of the tropical Pacific sea surface temperatures. Neural Netw. 2006, 19, 145. [Google Scholar] [CrossRef] [PubMed]
- Aguilar-Martinez, S.; Hsieh, W.W. Forecasts of tropical Pacific sea surface temperatures by neural networks and support vector regression. Int. J. Oceanogr. 2009, 2009, 167239. [Google Scholar] [CrossRef]
- Wallace, J.M.; Rasmusson, E.M.; Mitchell, T.P.; Kousky, V.E.; Sarachik, E.S.; von Storch, H. On the structure and evolution of ENSO-related climate variability in the tropical Pacific: Lessons from TOGA. J. Geophys. Res. Oceans 1998, 103, 14241. [Google Scholar] [CrossRef]
- Hamlet, A.F.; Huppert, D.; Lettenmaier, D.P. Economic value of long-lead streamflow forecasts for columbia river hydropower. J. Water Resour. Plan. Manag. 2002, 128, 91. [Google Scholar] [CrossRef]
- Vu, T.M.; Mishra, A.K.; Konapala, G. Information entropy suggests stronger nonlinear associations between hydro-meteorological variables and ENSO. Entropy 2018, 20, 38. [Google Scholar] [CrossRef]
- Goddard, L.; Mason, S.J.; Zebiak, S.E.; Ropelewski, C.F.; Basher, R.; Cane, M.A. Current approaches to seasonal to interannual climate predictions. Int. J. Climatol. 2001, 21, 1111. [Google Scholar] [CrossRef]
- Barnston, A.G.; Tippett, M.K.; L’Heureux, M.L.; Li, S.; DeWitt, D.G. Skill of real-time seasonal ENSO model predictions during 2002–11: Is our capability increasing? Bull. Am. Meteorol. Soc. 2011, 93, 631. [Google Scholar] [CrossRef]
- Zhu, L.; Jin, J.; Cannon, A.J.; Hsieh, W.W. Bayesian neural networks based bootstrap aggregating for tropical cyclone tracks prediction in south China sea. In Proceedings of the 23rd International Conference ICONIP, Kyoto, Japan, 16–21 October 2016. [Google Scholar]
- Tangang, F.T.; Hsieh, W.W.; Tang, B. Forecasting the equatorial Pacific sea surface temperatures by neural network models. Clim. Dyn. 1997, 13, 135. [Google Scholar] [CrossRef]
- Cannon, A.J.; Hsieh, W.W. Robust nonlinear canonical correlation analysis: Application to seasonal climate forecasting. Nonlinear Process. Geophys. 2008, 15, 221. [Google Scholar] [CrossRef]
- Tang, B.; Hsieh, W.W.; Monahan, A.H.; Tangang, F.T. Skill comparisons between neural networks and canonical correlation analysis in predicting the equatorial Pacific sea surface temperatures. J. Clim. 2000, 13, 287. [Google Scholar] [CrossRef]
- Levenberg, K. A method for the solution of certain non-linear problems in least squares. Q. Appl. Math. 1944, 2, 164. [Google Scholar] [CrossRef]
- Marquardt, D. An algorithm for least-squares estimation of nonlinear parameters. J. Soc. Ind. Appl. Math. 1963, 11, 431. [Google Scholar] [CrossRef]
- Taormina, R.; Chau, K.W.; Sivakumar, B. Neural network river forecasting through baseflow separation and binary-coded swarm optimization. J. Hydrol. 2015, 529, 1788. [Google Scholar] [CrossRef]
- MacKay, D.J.C. Bayesian Interpolation. Neural Comput. 1992, 4, 415. [Google Scholar] [CrossRef]
- Liang, F.; Kim, J.; Song, Q. A bootstrap metropolis-hastings algorithm for Bayesian analysis of big data. Technometrics 2016, 58, 304. [Google Scholar] [CrossRef] [PubMed]
- Gianola, D.; Weigel, K.A.; Krämer, N.; Stella, A.; Schön, C.C. Enhancing genome-enabled prediction by bagging genomic BLUP. PLoS ONE 2014, 9, 91693. [Google Scholar] [CrossRef] [PubMed]
- Faridi, A.; Golian, A.; Mousavi, A.H.; France, J. Bootstrapped neural network models for analyzing the responses of broiler chicks to dietary protein and branched chain amino acids. Can. J. Anim. Sci. 2013, 94, 79. [Google Scholar] [CrossRef][Green Version]
- Mukherjee, A.; Zhang, J. A reliable multi-objective control strategy for batch processes based on bootstrap aggregated neural network models. J. Process Control 2008, 18, 720. [Google Scholar] [CrossRef]
- Rowley, H.A.; Baluja, S.; Kanade, T. Neural network-based face detection. IEEE Trans. Pattern Anal. Mach. Intell. 1998, 20, 23. [Google Scholar] [CrossRef]
- Shannon, C.E. A mathematical theory of communication. Bell Syst. Tech. J. 1948, 27, 379. [Google Scholar] [CrossRef]
- Singh, V.P.; Byrd, A.; Cui, H. Flow duration curve using entropy theory. J. Hydrol. Eng. 2014, 19, 1340. [Google Scholar] [CrossRef]
- Breiman, L. Bagging predictors. Mach. Learn. 1996, 24, 123. [Google Scholar] [CrossRef]
- Cover, T.M.; Thomas, J.A. Elements of Information Theory; Wiley-Interscience: Hoboken, NJ, USA, 2006. [Google Scholar]
- Shannon, C.E. Communication in the Presence of Noise. Proc. IRE 1949, 37, 10. [Google Scholar] [CrossRef]
- Weijs, S.V.; van de Giesen, N. An information-theoretical perspective on weighted ensemble forecasts. J. Hydrol. 2013, 498, 177. [Google Scholar] [CrossRef]
- Weijs, S.V.; van de Giesen, N.; Parlange, M.B. HydroZIP: How hydrological knowledge can be used to improve compression of hydrological data. Entropy 2013, 15, 1289–1310. [Google Scholar] [CrossRef]
- Cui, H.; Singh, V.P. Maximum entropy spectral analysis for streamflow forecasting. Phys. Stat. Mech. Its. Appl. 2016, 442, 91. [Google Scholar] [CrossRef]
- Hagan, M.T.; Menhaj, M.B. Training feedforward networks with the Marquardt algorithm. IEEE Trans. Neural Netw. 1994, 5, 989. [Google Scholar] [CrossRef] [PubMed]
- Dee, D.P.; Uppala, S.M.; Simmons, A.J.; Berrisford, P.; Poli, P.; Kobayashi, S.; Andrae, U.; Balmaseda, M.A.; Balsamo, G.; Bauer, P.; et al. The ERA-interim reanalysis: Configuration and performance of the data assimilation system. Q. J. R. Meteorol. Soc. 2011, 137, 553. [Google Scholar] [CrossRef]
- Steiger, J.H. Tests for comparing elements of a correlation matrix. Psychol. Bull. 1980, 87, 245. [Google Scholar] [CrossRef]






| Authors (Year) | Machine Learning Method * | Computational Efficiency of the Bagging Method |
|---|---|---|
| Wan et al. (2016) [15] | HANN and BBNN | The bootstrapped NN training process is extremely time-consuming. The HANN approach is nearly 200 times faster than the BBNN approach with 10 hours runtime. |
| Liang et al. (2016) [35] | BNN and BMH | The bootstrap sample cannot be very large for the reason of computational efficiency. |
| Zhu et al. (2016) [27] | BNN | The proposed improvement in accuracy comes at the cost of time-consumption during the network training. |
| Gianola et al. (2014) [36] | GBLUP | Bagging is computationally intensive when one searches for an optimum value of BLUP-ridge regression because of the simultaneous bootstrapping. |
| Faridi et al. (2013) [37] | ANN | Each individual network is trained on a bootstrap re-sampling replication of the original training data. |
| Wang et al. (2011) [16] | ANN and GPR | Subagging gives similar accuracy but requires less computation than bagging. This advantage is especially remarkable for GPR since its computation increases in cubic order with the increase of data. |
| Mukherjee and Zhang (2008) [38] | BBNN | Dividing the batch duration into fewer intervals will reduce the computation effort in network training and batch optimisation. However, this may reduce the achievable control performance … |
| Yu and Chen (2005) [18] | BNN, SVM, and MLE-GP | Fully Bayesian methods are much more time consuming than SVM and MLE- GP. |
| Rowley et al. (1998) [39] | ANN | To improve the speed of the system different methods have been discussed, but this work is preliminary and is not intended to be an exhaustive exploration of methods to optimize the execution time. |
© 2018 by the authors. Licensee MDPI, Basel, Switzerland. This article is an open access article distributed under the terms and conditions of the Creative Commons Attribution (CC BY) license (http://creativecommons.org/licenses/by/4.0/).
Share and Cite
Foroozand, H.; Radić, V.; Weijs, S.V. Application of Entropy Ensemble Filter in Neural Network Forecasts of Tropical Pacific Sea Surface Temperatures. Entropy 2018, 20, 207. https://doi.org/10.3390/e20030207
Foroozand H, Radić V, Weijs SV. Application of Entropy Ensemble Filter in Neural Network Forecasts of Tropical Pacific Sea Surface Temperatures. Entropy. 2018; 20(3):207. https://doi.org/10.3390/e20030207
Chicago/Turabian StyleForoozand, Hossein, Valentina Radić, and Steven V. Weijs. 2018. "Application of Entropy Ensemble Filter in Neural Network Forecasts of Tropical Pacific Sea Surface Temperatures" Entropy 20, no. 3: 207. https://doi.org/10.3390/e20030207
APA StyleForoozand, H., Radić, V., & Weijs, S. V. (2018). Application of Entropy Ensemble Filter in Neural Network Forecasts of Tropical Pacific Sea Surface Temperatures. Entropy, 20(3), 207. https://doi.org/10.3390/e20030207

