A New and Stable Estimation Method of Country Economic Fitness and Product Complexity
Abstract
1. Introduction
2. Metric Definition
2.1. The Original Metric
- Convergence issues: As stated in a recent paper dealing with the stability of calculating this metric [12]:
- If the belly of the matrix [] is outward, all the fitnesses and complexities converge to numbers greater than zero. If the belly is inward, some of the fitnesses will converge to zero.
- Since an inward belly is the rule rather than the exception, some countries will have zero fitness and as a result all the products exported by them get zero complexity (quality). This is mathematically acceptable, though it heavily underestimates the quality of such products: Even natural resources need the right know-how to be extracted so that their quality would be better represented by a positive quantity. To cure this issue one has to introduce the notion of “rank convergence” rather than absolute convergence, i.e., the fixed point is considered achieved when the ranking of countries stays unaltered step by step.
- Zero exports: The countries that do not export any good do have zero fitness independently from their finite capabilities.
- Specialized world: In an hypothetical world where each country would export only one product, different from all other products exported by other countries, this metric would assign a unity fitness and quality to all countries and products. Though mathematically acceptable, this solution does not take into account the intrinsic complexity of products.
- Equation symmetry: This is rather an aesthetic point, in that Equation (1) are not cast in a symmetric form.
2.2. The New Metric
3. Results
3.1. Dependence on the Non-Homogeneous Parameter
3.2. Analytic Approximate Solution
3.3. Country Inefficiency and Net-Efficiency
3.4. Local Convergence
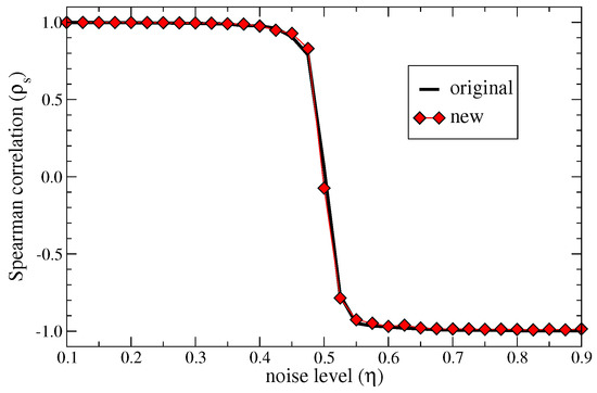
3.5. Robustness to Noise
4. Discussion
5. Materials and Methods
5.1. Construction of the M Matrix
Author Contributions
Funding
Acknowledgments
Conflicts of Interest
Appendix A. Second Order Expansion of Fitness and Qualities
Appendix B. Important Quantities Defined Throughout the Text
| , : | Total number of countries and products |
| : | Binary matrix with element if country c is a competitive country in exporting product p; otherwise; export competitiveness is estimated by means of export volumes |
| , : | Fitness of country c and quality (complexity) of product p at the fixed point |
| : | Inverse of the quality of product p; it is a sort of product “simplicity” () |
| : | Inhomogeneous parameter; this parameter is crucial in achieving a stable algorithm to evaluate the metrics; it will be eventually let go to 0 to get a parameter free metric |
| : | Rescaled versions of the corresponding un-tilded quantities: , ; these quantities do not depend on as soon as and are better suited to represent fitness and complexity rather than the un-tilded ones |
| : | Similar to the complexity above, but for the new metrics calculated with the inhomogeneous algorithm: |
| : | Coproduction matrix with element equal to the number of the same products exported by countries c and ; |
| : | Diversification of country c, i.e., the number of products the country c is competitive in exporting |
| : | Inefficiency of country c defined as ; it represents the fitness penalty resulting from exporting goods that are also exported by other countries |
| : | Net-efficiency of country c; it is a de-trended version of the inefficiency; in the dataset considered ; it represents how effectively a country diversifies its exported goods by focusing on products not exported by others, which are usually among the most complex ones |
References
- Tacchella, A.; Cristelli, M.; Caldarelli, G.; Gabrielli, A.; Pietronero, L. A New Metrics for Countries’ Fitness and Products’ Complexity. Sci. Rep. 2012, 2, 723. [Google Scholar] [CrossRef] [PubMed]
- Hidalgo, C.A.; Hausmann, R. The building blocks of economic complexity. Proc. Natl. Acad. Sci. USA 2009, 106, 10570–10575. [Google Scholar] [CrossRef] [PubMed]
- Tacchella, A.; Cristelli, M.; Caldarelli, G.; Gabrielli, A.; Pietronero, L. Economic complexity: conceptual grounding of a new metrics for global competitiveness. J. Econ. Dyn. Control 2013, 37, 1683–1691. [Google Scholar] [CrossRef]
- Cristelli, M.; Gabrielli, A.; Tacchella, A.; Caldarelli, G.; Pietronero, L. Measuring the intangibles: A metrics for the economic complexity of countries and products. PLoS ONE 2013, 8, e70726. [Google Scholar] [CrossRef] [PubMed]
- Zaccaria, A.; Cristelli, M.; Kupers, R.; Tacchella, A.; Pietronero, L. A case study for a new metrics for economic complexity: The Netherlands. J. Econ. Interact. Coor. 2016, 11, 151–169. [Google Scholar] [CrossRef]
- Saracco, F.; Di Clemente, R.; Gabrielli, A.; Squartini, T. Detecting early signs of the 2007–2008 crisis in the world trade. Sci. Rep. 2016, 6, 30286. [Google Scholar] [CrossRef] [PubMed]
- Cristelli, M.; Tacchella, A.; Cader, M.; Roster, K.; Pietronero, L. On the Predictability of Growth; Policy Research Working Paper 8117; The World Bank: Washington, DC, USA, 2017. [Google Scholar] [CrossRef]
- Tacchella, A.; Mazzilli, D.; Pietronero, L. A dynamical systems approach to gross domestic product forecasting. Nat. Phys. 2018, 14, 861. [Google Scholar] [CrossRef]
- Domínguez-García, V.; Muñoz, M.A. Ranking species in mutualistic networks. Sci. Rep. 2015, 5, 8182. [Google Scholar] [CrossRef] [PubMed]
- Cimini, G.; Gabrielli, A.; Sylos Labini, F. The Scientific Competitiveness of Nations. PLoS ONE 2014, 9, 1–11. [Google Scholar] [CrossRef] [PubMed]
- UN Comtrade—International Trade Statistics Database. Available online: http://comtrade.un.org/ (accessed on 8 October 2018).
- Pugliese, E.; Zaccaria, A.; Pietronero, L. On the convergence of the Fitness-Complexity algorithm. Eur. Phys. J. Spec. Top. 2016, 225, 1893–1911. [Google Scholar] [CrossRef]
- Mealy, P.; Doyne Farmer, J.; Teytelboym, A. A New Interpretation of the Economic Complexity Index. Available online: http://dx.doi.org/10.2139/ssrn.3075591 (accessed on 30 September 2018).
- Hasselblatt, B.; Katok, A. A First Course in Dynamics: With a Panorama of Recent Developments; Cambridge University Press: New York, NY, USA, 2003. [Google Scholar]
- Battiston, F.; Cristelli, M.; Tacchella, A.; Pietronero, L. How metrics for economic complexity are affected by noise. Complex. Econ. 2014, 3, 1–22. [Google Scholar]
- United Nations, Statistical Division. Overview of national compilation and dissemination practices. In International Merchandise Trade Statistics: Supplement to the Compliers Manual; United Nations publications: New York, NY, USA, 2008; Chapter 1; pp. 1–26. [Google Scholar]
- Balassa, B. Trade Liberalisation and “Revealed” Comparative Advantage. Manch. Sch. 1965, 33, 99–123. [Google Scholar] [CrossRef]








© 2018 by the authors. Licensee MDPI, Basel, Switzerland. This article is an open access article distributed under the terms and conditions of the Creative Commons Attribution (CC BY) license (http://creativecommons.org/licenses/by/4.0/).
Share and Cite
Servedio, V.D.P.; Buttà, P.; Mazzilli, D.; Tacchella, A.; Pietronero, L. A New and Stable Estimation Method of Country Economic Fitness and Product Complexity. Entropy 2018, 20, 783. https://doi.org/10.3390/e20100783
Servedio VDP, Buttà P, Mazzilli D, Tacchella A, Pietronero L. A New and Stable Estimation Method of Country Economic Fitness and Product Complexity. Entropy. 2018; 20(10):783. https://doi.org/10.3390/e20100783
Chicago/Turabian StyleServedio, Vito D. P., Paolo Buttà, Dario Mazzilli, Andrea Tacchella, and Luciano Pietronero. 2018. "A New and Stable Estimation Method of Country Economic Fitness and Product Complexity" Entropy 20, no. 10: 783. https://doi.org/10.3390/e20100783
APA StyleServedio, V. D. P., Buttà, P., Mazzilli, D., Tacchella, A., & Pietronero, L. (2018). A New and Stable Estimation Method of Country Economic Fitness and Product Complexity. Entropy, 20(10), 783. https://doi.org/10.3390/e20100783

