The Entropy of an Armco Iron under Irreversible Deformation
Abstract
:1. Introduction
2. The Entropy of the Defect Structure in Metals under Plastic Deformation
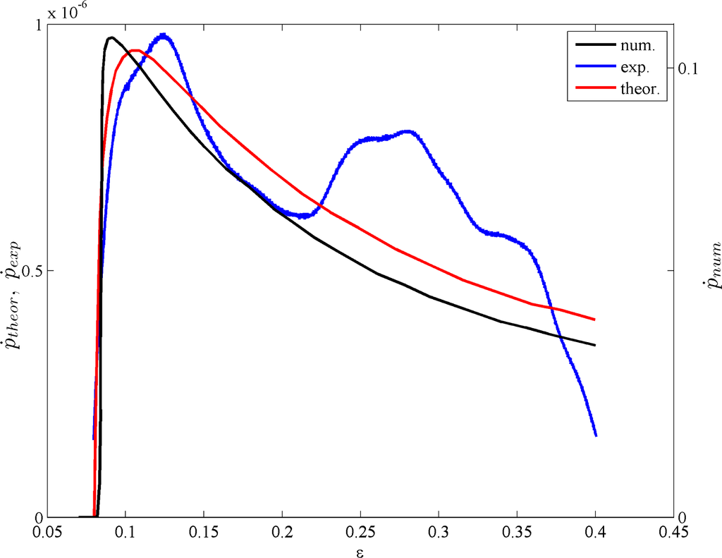
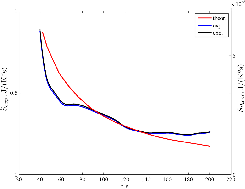
3. Calculation of the Entropy Evolution under Plastic Deformation
4. Calculation of the Structural Sensitivity Parameter Evolution under Plastic Deformation
4. Conclusions
Acknowledgments
Author Contributions
Conflicts of Interest
References
- Oliferuk, W.; Maj, M.; Raniecki, B. Experimental Analysis of Energy Storage Rate Components during Tensile Deformation of Polycrystals. Mater. Sci. Eng. A 2004, 374, 77–81. [Google Scholar]
- Dillon, O.W. Coupled Thermoplasticity. J. Mech. Phys. Solids 1963, 11, 21–33. [Google Scholar]
- Lee, E.H. Elastic-Plastic Deformation at Finite Strains. J. Appl. Mech. 1963, 36, 1–6. [Google Scholar]
- Mroz, Z.; Raniecki, B. On the uniqueness problem in coupled thermo-plasticiy. Int. J. Eng. Sci. 1976, 14, 211–221. [Google Scholar]
- Simo, J.C.; Miene, C. Associative coupled thermoplasticity at finite strains: Formulation, numerical analysis and implementation. Comput. Methods Appl. Mech. Eng. 1992, 98, 41–104. [Google Scholar]
- Bever, M.B.; Hilt, D.L.; Titchener, A.L. The stored energy of cold work. Prog. Mater. Sci. 1973, 17, 5–177. [Google Scholar]
- Farren, W.S.; Taylor, G.I. The Heat Developed during Plastic Extension of Metals. Proc. R. Soc. Lond. A 1925, 107, 422–451. [Google Scholar]
- Wallace, D.C. Irreversible thermodynamics of flow in solids. Phys. Rev. B 1980, 22, 1477–1486. [Google Scholar]
- Kapoor, R.; Nemat-Nasser, S. Determination of temperature rise during high strain rate deformation. Mech. Mater. 1998, 27, 1–12. [Google Scholar]
- Luong, M.P. Infrared thermographic scanning of fatigue in metals. Nucl. Eng. Des. 1995, 158, 363–376. [Google Scholar]
- Louche, H.; Chrysochoos, A. Thermal and dissipative effects accompanying Lüders band propagation. Mater. Sci. Eng. A 2001, 307, 15–22. [Google Scholar]
- Rosakis, P.; Rosakis, A.J.; Ravichandran, G.; Hodowany, J. A thermodynamic internal variable model for the partition of plastic work into heat and stored energy in metals. J. Mech. Phys. Solids 2000, 48, 581–607. [Google Scholar]
- Risitano, A.; Risitano, G. Cumulative damage evaluation of steel using infrared thermography. Theor. Appl. Fract. Mech. 2010, 54, 82–90. [Google Scholar]
- Kozlov, E.V.; Koneva, N.A.; Popova, N.A. Grain structure, geometrically necessary dislocations and second-phase particles in polycrystals of micro- and mesolevels. Phys. Mesomech. 2009, 12, 280–292. [Google Scholar]
- Teplyakova, L.A.; Bespalova, I.V.; Lychagin, D.V. Spatial organization of deformation in aluminum [1ī2] single crystals in compression. Phys. Mesomech. 2009, 12, 166–174. [Google Scholar]
- Grinberg, B.A.; Ivanov, M.A. Some Features of the Formation and Destruction of Dislocation Barriers in Intermetallic Compounds: I. Theory. Phys. Met. Metallogr. 2006, 102, 61–68. [Google Scholar]
- Plekhov, O.; Saintier, N.; Palin-Luc, T.; Uvarov, S.; Naimark, O. Theoretical analysis, infrared and structural investigation of energy dissipation in metals under quasi-static and cyclic loading. Mater. Sci. Eng. A 2007, 462, 367–370. [Google Scholar]
- Amiri, M.; Khonsari, M.M. On the Role of Entropy Generation in Processes Involving Fatigue. Entropy 2012, 14, 24–31. [Google Scholar]
- Naimark, O.B. Collective properties of defects ensemble and some nonlinear problems of plasticity and failure. Phys. Mesomech. 2003, 4, 45–72. [Google Scholar]
- Plekhov, O.A.; Naimark, O.B. Theoretical and experimental study of energy dissipation in the course of strain localization in iron. J. Appl. Mech. Tech. Phys. 2009, 50, 127–136. [Google Scholar]
- Klamecki, B.E. An entropy-based model of plastic deformation energy dissipation in sliding. Wear 1984, 96, 319–329. [Google Scholar]
- Zmitrowicz, A. A thermodynamical model of contact, friction and wear. Wear 1987, 114, 135–168. [Google Scholar]
- Song, Y.; Dai, Z.; Xue, Q. Entropy generation related to plastic deformation in fretting friction. Wear 2014, 315, 42–50. [Google Scholar]
- Bryant, M.; Khonsari, M.; Ling, F. On the thermodynamics of degradation. Proc. R. Soc. A 2008, 464, 2001–2014. [Google Scholar]
- Beghi, M. Measurement of the entropy production due to irreversible deformation of metals. Il Nuovo Cimento D 1982, 1, 778–788. [Google Scholar]
- Anand, L.; Gurtin, M.; Reddy, B. The stored energy of cold work, thermal annealing, and other thermodynamic issues in single crystal plasticity at small length scales. Int. J. Plast. 2015, 64, 1–25. [Google Scholar]
- Ziegler, H. An Introduction to Thermomechanics, 2nd ed.; North-Holland Press: Amsterdam, The Netherlands, 1983; p. 355. [Google Scholar]
- Lubliner, J. On the thermodynamic foundations of non-linear solid mechanics. J. Non-Linear Mech. 1972, 7, 237–254. [Google Scholar]
- Kostina, A.A.; Bayandin, Y.V.; Plekhov, O.A. Modeling of energy storage and dissipation under plastic deformation of metals. Phys. Mesomech. 2014, 17, 43–49, In Russian. [Google Scholar]
- Plekhov, O.A.; Santier, N.; Naimark, O. Experimental study of energy accumulation and dissipation in iron in an elastic-plastic transition. Tech. Phys. 2007, 52, 1236–1238. [Google Scholar]
- Johnson, N.L.; Kotz, S.; Balakrishnan, N. Continuous Univariate Distributions, 2nd ed.; Volume 1, Wiley Series in Probability and Mathematical Statistics; John Wiley & Sons: New York, NY, USA, 1994; p. 761. [Google Scholar]
- Kostina, A.; Iziumova, A.; Plekhov, O. Energy dissipation and storage in iron under plastic deformation (experimental study and numerical simulation). Fract. Struct. Integr. 2014, 27, 28–37. [Google Scholar]




© 2015 by the authors; licensee MDPI, Basel, Switzerland This article is an open access article distributed under the terms and conditions of the Creative Commons Attribution license (http://creativecommons.org/licenses/by/4.0/).
Share and Cite
Kostina, A.; Plekhov, O. The Entropy of an Armco Iron under Irreversible Deformation. Entropy 2015, 17, 264-276. https://doi.org/10.3390/e17010264
Kostina A, Plekhov O. The Entropy of an Armco Iron under Irreversible Deformation. Entropy. 2015; 17(1):264-276. https://doi.org/10.3390/e17010264
Chicago/Turabian StyleKostina, Anastasiia, and Oleg Plekhov. 2015. "The Entropy of an Armco Iron under Irreversible Deformation" Entropy 17, no. 1: 264-276. https://doi.org/10.3390/e17010264
APA StyleKostina, A., & Plekhov, O. (2015). The Entropy of an Armco Iron under Irreversible Deformation. Entropy, 17(1), 264-276. https://doi.org/10.3390/e17010264
