Enhanced Automatic Wavelet Independent Component Analysis for Electroencephalographic Artifact Removal
Abstract
:1. Introduction
2. Methodology: Enhanced Automatic Wavelet-ICA
2.1. EAWICA Description:
2.1.1. EEG Rhythm (Wavelet Components) Extraction Through DWT
2.1.2. Automatic Artifactual WCs Selection
2.1.3. Wavelet Independent Components Extraction
2.1.4. Automatic Artifactual WICs Selection
2.1.5. Artifactual Epochs Rejection
2.1.6. Reconstruction
2.2. EEG Data Description:
2.2.1. Semi-Simulated EEG
2.2.2. Real EEG
3. Method Optimization
4. Results
4.1. AWICA and EAWICA Optimization
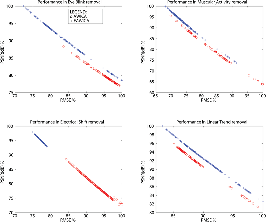
4.2. Test on Semi-Simulated EEG
4.3. Test on Real EEG
5. Conclusions
Acknowledgments
Author Contributions
Conflicts of Interest
References
- Srinivasan, R.; Nunez, P.L. Electric Fields of the Brain, The Neurophysics of EEG; Oxford University Press: New York, NY, USA, 2006. [Google Scholar]
- Karthik, G.V.S.; Fathima, S.Y.; Rahman, M.Z.U.; Ahamed, S.R.; Lay-Ekuakille, A. Efficient signal conditioning techniques for brain activity in remote health monitoring network. IEEE Sens. J 2013, 13, 3276–3283. [Google Scholar]
- Damon, C.; Liutkus, A.; Gramfort, A.; Essid, S. Non-negative matrix factorization for single-channel EEG artifact rejection. Proceedings of 2013 IEEE International Conference on Acoustics, Speech and Signal Processing (ICASSP), Vancouver, Canada, 26–31 May 2013; pp. 1177–1181.
- Kirkove, M.; Francois, C.; Verly, J. Comparative evaluation of existing and new methods for correcting ocular artifacts in electroencephalographic recordings. Signal Process 2014, 98, 102–120. [Google Scholar]
- Daly, I.; Nicolaou, N.; Nasuto, S.J.; Warwick, K. Automated artifact removal from the electroencephalogram: A comparative study. Clin. EEG Neurosci 2013, 44, 291–306. [Google Scholar]
- Daly, I.; Pichiorri, F.; Faller, J.; Kaiser, V.; Kreilinger, A.; Scherer, R.; Müller-Putz, G. What does clean EEG look like? Proceedings of the 34th Annual International Conference of the IEEE Engineering in Medicine and Biology Society, San Diego, CA, USA, 28 August–1 September 2012; pp. 3963–3966.
- Looney, D.; Goverdovsky, V.; Kidmose, P.; Mandic, D.P. Subspace denoising of EEG artefacts via multivariate EMD. Proceedings of 2014 IEEE International Conference on Acoustics, Speech and Signal Processing, Florence, Italy, 4–9 May 2014.
- Bedoya, C.; Estrada, D.; Trujillo, S.; Trujillo, N.; Pineda, D.; Lopez, J.D. Automatic component rejection based on fuzzy clustering for noise reduction in electroencephalographic signals. Proceedings of 2013 XVIII Symposium of Image, Signal Processing, and Artificial Vision (STSIVA), Bogota, Colombia, 11–13 September 2013; pp. 1–5.
- Mateo, J.; Torres, A.M. Eye interference reduction in electroencephalogram recordings using a radial basic function. Signal Process. IET 2013, 7, 565–576. [Google Scholar]
- Huang, K.-J.; Liao, J.-C.; Shih, W.-Y.; Feng, C.-W.; Chang, J.-C.; Chou, C.-C.; Fang, W.-C. A real-time processing flow for ICA based EEG acquisition system with eye blink artifact elimination. Proceedings of 2013 IEEE Workshop on Signal Processing Systems (SiPS), Taipei, Taiwan, 16–18 October 2013; pp. 237–240.
- Winkler, I.; Haufe, S.; Tangermann, M. Automatic classification of artifactual ICA-components for artifact removal in EEG signals. Behav. Brain Funct 2011, 7. [Google Scholar] [CrossRef]
- De Vos, M.; Deburchgraeve, W.; Cherian, P.J.; Matic, V.; Swarte, R.M.; Govaert, P.; Visser, G.H.; van Huffel, S. Automated artifact removal as preprocessing refines neonatal seizure detection. Clin. Neurophysiol 2011, 122, 2345–54. [Google Scholar]
- Bartels, G.; Shi, L.C.; Lu, B.L. Automatic artifact removal from EEG—A mixed approach based on double blind source separation and support vector machine. Proceedings of 2010 Annual International Conference of the IEEE Engineering in Medicine and Biology Society (EMBC 2010), Buenos Aires, Argentina, 31 August–4 September 2010; pp. 5383–5386.
- Sriyananda, M.G.S.; Joutsensalo, J.; Hämäläinen, T. Signal detection for ofdm and ds-cdma with gradient and blind source separation principles. WSEAS Trans. Signal Process 2012, 8, 100–110. [Google Scholar]
- Liao, J.-C.; Shih, W.-Y.; Huang, K.-J.; Fang, W.-C. An online recursive ICA based real-time multichannel EEG system on chip design with automatic eye blink artifact rejection. Proceedings of 2013 International Symposium on VLSI Design, Automation, and Test (VLSI-DAT), Hsinchu, Taiwan, 22–24 April 2013; pp. 1–4.
- Bagheri, H.M.; Chitravas, N.; Kaiboriboon, K.; Lhatoo, S.; Loparo, K. Automated removal of EKG artifact from EEG data using independent component analysis and continuous wavelet transformation. IEEE Trans. Biomed. Eng 2014, 61, 1634–1641. [Google Scholar]
- Grunwald, M.; Weiss, T.; Mueller, S.; Rall, L. EEG changes caused by spontaneous facial self-touch may represent emotion regulating processes and working memory maintenance. Brain Res 2014, 1557, 111–126. [Google Scholar]
- Akhtar, M.T.; Mitsuhashi, W.; James, C.J. Employing spatially constrained ICA and wavelet denoising, for automatic removal of artifacts from multichannel EEG data. Signal Process 2012, 92, 401–416. [Google Scholar]
- Zeng, H.; Song, A.; Yan, R.; Qin, H. EOG artifact correction from EEG recording using stationary subspace analysis and empirical mode decomposition. Sensors 2013, 13, 14839–14859. [Google Scholar]
- Bhattacharyya, S.; Biswas, A.; Mukherjee, J.; Majumdar, A.K.; Majumdar, B.; Mukherjee, S.; Singh, A.K. Detection of artifacts from high energy bursts in neonatal EEG. Comput. Biol. Med 2013, 43, 1804–1814. [Google Scholar]
- Betta, M.; Gemignani, A.; Landi, A.; Laurino, M.; Piaggi, P.; Menicucci, D. Detection and removal of ocular artifacts from EEG signals for an automated REM sleep analysis. Proceedings of IEEE Engineering in Medicine and Biology Society, Osaka, Japan, 3–7 July 2013; pp. 5079–5082.
- Mammone, N.; La Foresta, F.; Morabito, F.C. Automatic artifact rejection from multichannel scalp EEG by wavelet ICA. IEEE Sens. J 2012, 12, 533–542. [Google Scholar]
- Mammone, N.; Morabito, F.C. Enhanced automatic artifact detection based on Independent Component Analysis and Renyi’s entropy. Neural Netw 2008, 21, 1029–1040. [Google Scholar]
- Inuso, G.; La Foresta, F.; Mammone, N.; Morabito, F.C. Wavelet-ICA methodology for efficient artifact removal from electroencephalographic recordings. Proceedings of International Joint Conference on Neural Networks (IJCNN 2007), Orlando, FL, USA, 12–17 August 2007.
- Inuso, G.; La Foresta, F.; Mammone, N.; Morabito, F.C. Brain activity investigation by EEG processing: Wavelet analysis, kurtosis and Renyi’s entropy for artifact detection. Proceedings of IEEE ICIA 2007 Conference, Jeju Island, Korea, 8–11 July 2007.
- Mammone, N.; Inuso, G.; La Foresta, F.; Morabito, F.C. Multiresolution ICA for artifact identification from electroencephalographic recordings. In Knowledge-Based Intelligent Information and Engineering Systems, Proceedings of KES2007 11th International Conference on Knowledge-Based and Intelligent Information & Engineering Systems, in conjunction with WIRN 2007 XVII Italian Workshop on Neural Networks, Vietri sul Mare, Italy, 12–14 September 2007.Apolloni, B.; Howlett, R.J.; Jain, L. (Eds.) Lecture Notes in Computer Science; Volume 4692, Springer: Berlin/Heidelberg, Germany, 2007; pp. 680–687.
- Mammone, N.; Morabito, F.C. Independent Component Analysis and high-order statistics for automatic artifact rejection. Proceedings of 2005 International Joint Conference on Neural Networks, Montreal, Canada, 31 July–4 August 2005; pp. 2447–2452.
- Makeig, S.; Delorme, A.; Sejnowski, T. Enhanced detection of artifacts in EEG data using higher-order statistics and Independent Component Analysis. Neuroimage 2007, 34, 1443–1449. [Google Scholar]
- Principe, J.C.; Erdogmus, D.; Hild, K.E., II. Blind source separation using Renyi’s marginal entropies. Neurocomputing 2002, 49, 25–38. [Google Scholar]
- Lee, T.-W.; Makeig, S.; McKeown, M.; Iragui, V.; Sejnowski, T.J.; Jung, T.; Humphries, C. Extended ICA removes artifacts from electroencephalographic recordings. Adv. Neural Inf. Process. Syst 1998, 10, 894–900. [Google Scholar]
- Jung, T.; Sejnowski, T.J.; Makeig, S.; Bell, A.J. Independent Component Analysis of electroencephalographic data. Adv. Neural Inf. Process. Syst 1996, 8, 145–151. [Google Scholar]
- Lee, T.-W. Independent Component Analysis—Theory and Applications; Kluwer Academic Publishers: Norwell, MA, USA, 1998. [Google Scholar]
- Barbati, G.; Porcaro, C.; Zappasodi, F.; Rossini, P.M.; Tecchio, F. Optimization of an Independent Component Analysis approach for artifact identification and removal in magnetoencephalographic signals. Clin. Neurophysiol 2004, 115, 1220–1232. [Google Scholar]
- Principe, J.C.; Hild, K.E., II.; Erdogmus, D. An analysis of entropy estimators for blind source separation. Signal Process 2006, 86, 182–194. [Google Scholar]











© 2014 by the authors; licensee MDPI, Basel, Switzerland This article is an open access article distributed under the terms and conditions of the Creative Commons Attribution license (http://creativecommons.org/licenses/by/4.0/).
Share and Cite
Mammone, N.; Morabito, F.C. Enhanced Automatic Wavelet Independent Component Analysis for Electroencephalographic Artifact Removal. Entropy 2014, 16, 6553-6572. https://doi.org/10.3390/e16126553
Mammone N, Morabito FC. Enhanced Automatic Wavelet Independent Component Analysis for Electroencephalographic Artifact Removal. Entropy. 2014; 16(12):6553-6572. https://doi.org/10.3390/e16126553
Chicago/Turabian StyleMammone, Nadia, and Francesco C. Morabito. 2014. "Enhanced Automatic Wavelet Independent Component Analysis for Electroencephalographic Artifact Removal" Entropy 16, no. 12: 6553-6572. https://doi.org/10.3390/e16126553
APA StyleMammone, N., & Morabito, F. C. (2014). Enhanced Automatic Wavelet Independent Component Analysis for Electroencephalographic Artifact Removal. Entropy, 16(12), 6553-6572. https://doi.org/10.3390/e16126553
