Analysis of an Air Powered Engine System Using a Multi-Stage Radial Turbine
Abstract
:1. Introduction
2. Description of the System
- Mass flow: m = 1 kg/s.
- Ambient temperature: T0 = 293 K
- External heat source temperature: T6 = 293 K to 793 K
- Ambient pressure: P0 = 1 bar
- Inlet pressure: P0' = 70 bar

3. Analysis Methodology
3.1. Thermodynamic Analyses

3.2. Evaluation Criteria


3.3. Numerical Methodology

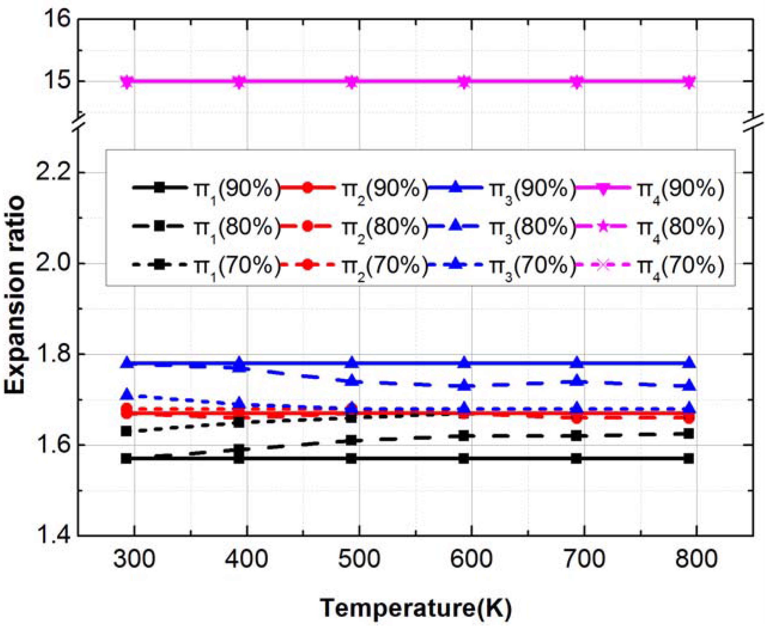
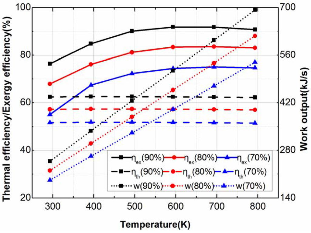
4. Results and Discussion
4.1. Maximum Thermal Efficiency


4.2. Maximum Exergy Efficiency


4.3. Maximum Power Output


5. Conclusions
- (1)
- It is found that the maximum thermal efficiency, maximum exergy efficiency and maximum work output of the four stage radial turbine with inter-heating are 62.6%, 91.9%, and 763.2 kJ/s, respectively. However, the thermal efficiency, exergy efficiency and work output are not equivalent.
- (2)
- At low working temperatures (below 500 K) both maximum exergy efficiency and maximum work output can be used as the design objective of the multi-stage radial turbine, however, only maximum work output can be used as the design objective of the turbine over the whole working temperature range in this work.
- (3)
- The maximum thermal efficiency can't be used as the design objective for the turbine.
Acknowledgments
Nomenclature:
| Ex(n-1)'-n | The variation of exergy during the heating process (n−1)'–n, kJ/s |
| Exs | The variation of exergy during the heating process of a single stage radial turbine, kJ/s |
| Extot | Total exergy input of the system, kJ/s |
| h | Specific enthalpy, kJ/kg |
| hid | Ideal specific enthalpy, kJ/kg |
| H | Enthalpy, kJ/s |
| m | Mass flow, kg/s |
| p | Pressure, bar |
| Q(n-1)'-n | Heat absorbed during the heating process (n−1)'–n, kJ/s |
| Qs | Heat absorbed during the heating process of a single stage radial turbine, kJ/s |
| s | Entropy, kJ/(kg) (K) |
| T | Temperature, K |
| T6 | External heat source temperature, K |
| w | Specific work, kJ/kg |
| W | Total work output of the turbine, kJ/s |
| Wac,n-n' | Actual Work output during the expansion process n–n', kJ/s |
| Wid,n-n' | Ideal Work output during the expansion process n–n', kJ/s |
| ηn-n' | Isentropic efficiency during the expansion process n–n' |
| ηex | Exergy efficiency |
| ηth | Thermal efficiency |
| πn | Expansion ratio of the nth stage |
Subscripts
| 0 | Ambient state |
| 0' | The state of air entering the system |
| 1 | The state of air entering the first stage radial turbine |
| 1' | The state of air leaving the first stage radial turbine |
| 2 | The state of air entering the second stage radial turbine |
| 2' | The state of air leaving the second stage radial turbine |
| 3 | The state of air entering the third stage radial turbine |
| 3' | The state of air leaving the third stage radial turbine |
| 4 | The state of air entering the fourth stage radial turbine |
| 4' | The state of air leaving the fourth stage radial turbine |
References
- Rodgers, C. The characteristics of radial turbines for small gas turbines. In Proceedings of ASME Turbo Expo 2003 Power for Land, Sea, and Air, Atlanta, GA, USA, 16–19 June 2003. GT2003–38026.
- Balje, O.E. Turbomachines, 1st ed.; John Wiley & Sons: New York, NY, USA, 1981; pp. 297–316. [Google Scholar]
- Whitfield, A. The preliminary design of radial inflow turbines. J. Turbomach. 1990, 112, 50–57. [Google Scholar] [CrossRef]
- Dambach, R.; Hodson, H.P.; Huntsman, I. An experimental study of tip clearance flow in a radial inflow turbine. J. Turbomach. 1999, 121, 644–670. [Google Scholar] [CrossRef]
- Bruno, J.C.; Ortega-lopez, V.; Coronas, A. Integration of absorption cooling sysytems into micro gas turbine trigeneration systems using biogas: Case study of sewage treatment plant. Appl. Energy 2009, 86, 837–847. [Google Scholar] [CrossRef]
- He, P.; Sun, Z.; Guo, B.; Tan, C. Numerical simulation of the backface clearance flow in a deeply scalloped radial turbine. J. Eng. Thermophys. 2011, 32, 1303–1306. [Google Scholar]
- Hung, T.C.; Shai, T.Y.; Wang, S.K. A review of organic Rankine cycles (ORCs) for the recovery of low-grade waste heat. Energy 1997, 22, 661–667. [Google Scholar] [CrossRef]
- Chow, T.T. A review on photovoltaic/thermal hybrid solar technology. Appl. Energy 2010, 87, 365–379. [Google Scholar] [CrossRef]
- Thirugnanasambandam, M.; Lniyan, S.; Goic, R. A review of solar thermal technologies. Renew. Sust. Energy Rew. 2010, 14, 312–322. [Google Scholar] [CrossRef]
- Kim, Y.M.; Favrat, D. Energy and exergy analysis of a micro-compressed air energy storage and air cycle heating and cooling system. Energy 2010, 35, 213–220. [Google Scholar] [CrossRef]
- Rodgers, C.; Geiser, R. Performance of a high-efficiency radial/axial turbine. J. Turbomach. 1987, 109, 151–154. [Google Scholar] [CrossRef]
- Chen, Y.; Xu, H.; Tao, G.; Wang, X.; Liu, H.; Jia, G. Research and progress of the compressed air vehicle. Chin. J. Mech. Eng. 2002, 38, 7–11. [Google Scholar] [CrossRef]
- Shen, Y.T.; Hwang, Y.T. Design and implementation of an air-powered motorcycles. Appl. Energy 2009, 86, 1105–1110. [Google Scholar] [CrossRef]
- Chen, H.; Ding, Y.; Li, Y.; Zhang, X.; Tan, C. Air fuelled zero emission road transportation: A comparative study. Appl. Energy 2011, 88, 337–342. [Google Scholar] [CrossRef]
- Chen, H.; Cong, T.N.; Yang, W.; Tan, C.; Li, Y.; Ding, Y. Progress in electrical energy storage system: A critical review. Prog. Nat. Sci. 2009, 19, 291–312. [Google Scholar] [CrossRef]
- Xu, Y.; Chen, H.; Liu, J.; Tan, C. Performance analysis on an integrated system of compressed air energy and electricity production with wind-solar complementary method. Proc. CSEE 2012, 32, 88–95. [Google Scholar]
- Chen, H.; Zhang, X.; Yan, X.; Meng, A.; Tan, C. A system of multi-stage radial turbine. Chinese Patent 201120130044.8; accessed on 28 April 2011,
- Chen, H.; Zhang, X.; Yan, X.; Meng, A.; Tan, C. A system of back-to-back multi-stage radial turbine. Chinese Patent 201220059417.1; accessed on 21 February 2012,
- Zhu, Z.; Yao, Y.; Yang, J.; Xiong, L.; Hou, Y.; Chen, C. The research development of cryogenic helium turboexpander. Chin. Low Temp. Speci. Gases 2003, 21, 1–6. [Google Scholar]
- Chen, H.; Baines, N.C. The aerodynamic loading of radial and mixed-flow turbines. Int. J. Mech. Sci. 1994, 36, 63–79. [Google Scholar] [CrossRef]
- Korakianitis, T.; Wilson, D. Models for predicting the performance of Brayton-cycle engines. J. Eng. Gas. Turb. Power 1994, 116, 381–388. [Google Scholar] [CrossRef]
- Chen, H.; Baines, N.C. Analytical optimization design of radial and mixed flow turbine. Proc. Instn. Mech. Engrs. Part. A: J. Power Energy 1992, 206, 177–187. [Google Scholar] [CrossRef]
© 2013 by the authors; licensee MDPI, Basel, Switzerland. This article is an open access article distributed under the terms and conditions of the Creative Commons Attribution license (http://creativecommons.org/licenses/by/3.0/).
Share and Cite
Zhang, X.; Chen, H.; Yan, X.; Zhang, X.; Tan, C. Analysis of an Air Powered Engine System Using a Multi-Stage Radial Turbine. Entropy 2013, 15, 1186-1201. https://doi.org/10.3390/e15041186
Zhang X, Chen H, Yan X, Zhang X, Tan C. Analysis of an Air Powered Engine System Using a Multi-Stage Radial Turbine. Entropy. 2013; 15(4):1186-1201. https://doi.org/10.3390/e15041186
Chicago/Turabian StyleZhang, Xuehui, Haisheng Chen, Xiaohui Yan, Xinjing Zhang, and Chunqing Tan. 2013. "Analysis of an Air Powered Engine System Using a Multi-Stage Radial Turbine" Entropy 15, no. 4: 1186-1201. https://doi.org/10.3390/e15041186
APA StyleZhang, X., Chen, H., Yan, X., Zhang, X., & Tan, C. (2013). Analysis of an Air Powered Engine System Using a Multi-Stage Radial Turbine. Entropy, 15(4), 1186-1201. https://doi.org/10.3390/e15041186
