Sign in to use this feature.

Years

Between: -

Subjects

remove_circle_outline
remove_circle_outline
remove_circle_outline
remove_circle_outline
remove_circle_outline
remove_circle_outline
remove_circle_outline
remove_circle_outline
remove_circle_outline

Journals

Article Types

Countries / Regions

remove_circle_outline
remove_circle_outline
remove_circle_outline
remove_circle_outline
remove_circle_outline

Search Results (354)

Search Parameters:
Keywords = zeolite imidazolate framework (ZIF-8)

Order results
Result details
Results per page
Select all
Export citation of selected articles as:
20 pages, 6970 KB  
Article
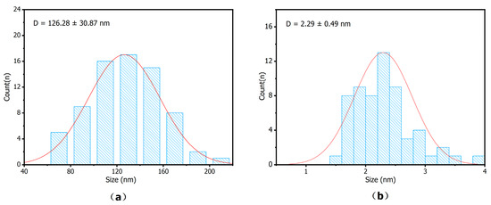
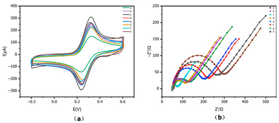
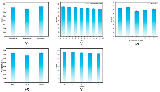
Electrochemical Immunosensor Based on CS@AuNPs/ZIF-8/rGO Composite for Detecting CA15-3 in Human Serum
by Yuanyue Lu, Yong Mei, Yingying Gu, Ye Tao, Yuhan Yang, Jiao Yu, Yang Zhang, Lin Liu and Xin Li
Sensors 2025, 25(24), 7462; https://doi.org/10.3390/s25247462 - 8 Dec 2025
Viewed by 244
Abstract
An electrochemical immunosensor was fabricated to identify CA15-3, a biomarker for breast cancer (BC). A composite sensor substrate made of “zeolitic imidazolate framework-8” (ZIF-8) and “reduced graphene oxide” (rGO) was chosen and its conductivity was further improved by the addition of chitosan (CS)-doped [...] Read more.
An electrochemical immunosensor was fabricated to identify CA15-3, a biomarker for breast cancer (BC). A composite sensor substrate made of “zeolitic imidazolate framework-8” (ZIF-8) and “reduced graphene oxide” (rGO) was chosen and its conductivity was further improved by the addition of chitosan (CS)-doped gold nanoparticles (AuNPs). The CS@AuNPs are able to conjugate with antibodies via the strong Au-S interaction, which offers multiple active sites for antibody immobilization and enhances the sensor performance. This immunosensor is capable of ultrasensitive detection of CA15-3 by specific antigen–antibody –interactions. In healthy people, normal serum CA15-3 is up to 25 U/mL. Under optimized experimental conditions, the alteration in the signal intensity measured by the sensor was related to the CA15-3 activity. The quantitative relationship was linear over 0.001–400 U/mL with a limit of detection (LOD) of 0.0031 U/mL at a “signal-to-noise ratio” (S/N) of 3 and a “correlation coefficient” (r2) of 0.9983. The developed immunosensor showed great accuracy, stability, and selectivity, and was able to detect CA15-3 in human serum samples. These results validate its potential as a reliable analytical platform for BC diagnosis and early clinical screening. Full article
Show Figures

Figure 1

14 pages, 2766 KB  
Article
Encapsulation of Snail Slime in Metal–Organic Framework ZIF-8
by Maria Cristina Cassani, Francesca Bonvicini, Maria Francesca Di Filippo, Barbara Ballarin, Silvia Panzavolta and Valentina Di Matteo
J. Funct. Biomater. 2025, 16(12), 443; https://doi.org/10.3390/jfb16120443 - 28 Nov 2025
Viewed by 640
Abstract
The literature consistently identifies Zeolitic Imidazolate Framework-8 (ZIF-8) as an excellent material for on-demand drug delivery. Its appeal results from its superior loading capacity, inherent stability within physiological environments, and the ability to fine-tune its drug release kinetics. In this work, we investigated [...] Read more.
The literature consistently identifies Zeolitic Imidazolate Framework-8 (ZIF-8) as an excellent material for on-demand drug delivery. Its appeal results from its superior loading capacity, inherent stability within physiological environments, and the ability to fine-tune its drug release kinetics. In this work, we investigated the encapsulation of snail slime extracted from Cornu aspersum mucus into ZIF-8. PXRD, SEM microscopy, ATR-FTIR spectroscopy, and fluorescence microscopy were used for a detailed characterization of the nanoparticles. The antibacterial potential of the ZIF-8-based biocomposite was assayed in vitro against Staphylococcus epidermidis. Overall, the results indicate that encapsulating the snail slime within ZIF-8 enhances its antibacterial activity, yielding a potent antimicrobial material. Full article
(This article belongs to the Section Bone Biomaterials)
Show Figures

Figure 1

16 pages, 5268 KB  
Article
Improved Wastewater Treatment and the Hydrogen Assessment on Ni-Doped ZIF-8 Metal-Organic Frameworks
by Abdelaziz M. Aboraia, Naglaa AbdelAll, Ghada A. Khouqeer, Ahmed Eldarder and Wael M. Mohammed
Catalysts 2025, 15(12), 1104; https://doi.org/10.3390/catal15121104 - 26 Nov 2025
Viewed by 410
Abstract
The development of efficient, highly stable photocatalysts is essential to address the two challenges of environmental remediation and renewable energy. Structurally strong Zeolitic Imidazolate Framework-8 (ZIF-8) has intrinsic drawbacks, including a large bandgap and fast charge-carrier recombination. This paper presents a highly efficient [...] Read more.
The development of efficient, highly stable photocatalysts is essential to address the two challenges of environmental remediation and renewable energy. Structurally strong Zeolitic Imidazolate Framework-8 (ZIF-8) has intrinsic drawbacks, including a large bandgap and fast charge-carrier recombination. This paper presents a highly efficient approach to designing the optoelectronic behaviour of ZIF-8 via controlled nickel doping. Ni(x)-ZIF-8 (0, 2.5, 5, 7.5, and 10 mol, x), and bimetallic metal–organic frameworks were prepared via a simple room-temperature process. Through adequate characterization, the incorporation of Ni2+ into the ZIF-8 lattice has been demonstrated to be successful, resulting in substantial structural and electronic changes. Framework integrity was confirmed using XRD and FTIR analysis, which revealed increased microstrain and the formation of Ni-N bonds. Most importantly, UV-Vis spectrophotometry and electrochemical studies indicated that the bandgap was systematically narrowed: a pristine ZIF-8 had a high bandgap of 3.65 eV, and a Ni(10)-ZIF-8 had a low bandgap of 3.23 eV, while charge-transfer resistance was reduced significantly. All these synergies led to high photocatalytic performance. The best Ni(2.5)-ZIF-8 catalyst achieved a desirable result, degrading methylene blue to more than 98.5%, which was far superior to that of the pure framework. Moreover, the hydrogen evolution reaction (HER) showed higher electrocatalytic activity, with a significantly lower overpotential and higher current density. This article defines Ni doping as an effective route to convert ZIF-8 into a high-performance, dual-functional photocatalyst. It opens the door to implementing solar-powered environmental remediation and hydrogen generation using ZIF-8. Full article
(This article belongs to the Special Issue Advanced Catalysis Technologies Using Metal-Organic Frameworks (MOFs))
Show Figures

Figure 1

17 pages, 8602 KB  
Article
A ZIF-8-Based High-Performance Glucose Electrochemical Detection Platform Constructed Using a Multi-Layer Interface Optimization Strategy
by Canjie Hu, Pengjia Qi, Lichao Liu, Yang Chen and Jijun Tong
Sensors 2025, 25(22), 7064; https://doi.org/10.3390/s25227064 - 19 Nov 2025
Viewed by 515
Abstract
To meet the demand for rapid and accurate glucose determination in clinical diagnostics, food testing, and related fields, this study developed a high-performance electrochemical glucose biosensor based on multi-walled carbon nanotubes/Prussian blue/zeolitic imidazolate framework-8@glucose oxidase/chitosan (MWCNTs/PB/ZIF-8@GOx/CS). The MWCNTs/PB conductive network significantly accelerated electron [...] Read more.
To meet the demand for rapid and accurate glucose determination in clinical diagnostics, food testing, and related fields, this study developed a high-performance electrochemical glucose biosensor based on multi-walled carbon nanotubes/Prussian blue/zeolitic imidazolate framework-8@glucose oxidase/chitosan (MWCNTs/PB/ZIF-8@GOx/CS). The MWCNTs/PB conductive network significantly accelerated electron transfer and catalytic activity, while the ZIF-8, with its regular pore structure and high specific surface area, provides an efficient microenvironment for the immobilization and conformational stabilization of glucose oxidase (GOx), thereby improving substrate diffusion and maintaining enzyme activity. The MWCNTs/PB/ZIF-8@GOx/CS sensor demonstrates excellent sensing performance, featuring a wide linear response to glucose concentrations ranging from 4.8 μM to 2.24 mM, a high sensitivity of 579.57 μA/mM/cm2, and a low detection limit of 0.55 μM (S/N = 3). In addition, the sensor performs excellent repeatability (RSD = 1.49%) and retained 86.23% of its initial response after 3 weeks of storage at 4 °C, highlighting its strong potential for practical application in glucose detection. Full article
(This article belongs to the Section Chemical Sensors)
Show Figures

Figure 1

20 pages, 2534 KB  
Article
Zeolitic Imidazolate Framework-8 (ZIF-8) as a Carrier for Kaempferol Delivery to Protect Against Gamma Radiation-Induced Mortality and Damage
by Gang Yang, Jing Wang, Rong Wang, Lu Han, Chunai Gong, Jiyuan Chen, Minyan Chen and Yongfang Yuan
Pharmaceutics 2025, 17(11), 1489; https://doi.org/10.3390/pharmaceutics17111489 - 18 Nov 2025
Viewed by 486
Abstract
Background/Objectives: Kaempferol (KAE) is used to treat gamma radiation-induced damage. However, poor water solubility of KAE restricts its application. Therefore, we developed a KAE-loaded zeolitic imidazolate framework-8 (KAE@ZIF-8) to improve the solubility and bioavailability of KAE, thereby enhancing the radioprotective effect against gamma [...] Read more.
Background/Objectives: Kaempferol (KAE) is used to treat gamma radiation-induced damage. However, poor water solubility of KAE restricts its application. Therefore, we developed a KAE-loaded zeolitic imidazolate framework-8 (KAE@ZIF-8) to improve the solubility and bioavailability of KAE, thereby enhancing the radioprotective effect against gamma radiation. Methods: The composite was characterized using scanning electron microscopy (SEM), nitrogen adsorption/desorption analysis, X-ray diffraction (XRD), differential scanning calorimetry (DSC), equilibrium solubility assessments, in vitro release studies, stability evaluations, and drug-loading capacity measurements. The cytotoxic effects of KAE@ZIF-8 on Caco-2 cells were assessed in vitro. Meanwhile, the bioavailability of the preparation was also investigated. Finally, the protective efficacy of KAE@ZIF-8 against total body irradiation was evaluated in C57BL/6 mice. Results: The results indicated that KAE@ZIF-8 was successfully constructed, exhibiting a uniform hexagonal crystal morphology, with KAE transitioning from a crystalline to an amorphous state. As a carrier, ZIF-8 significantly enhanced the solubility of KAE by 9.2-fold, and the cumulative release within 12 h reached approximately 89%. Meanwhile, ZIF-8 could significantly enhance the bioavailability of KAE and reduce its toxicity. We found that pretreatment with KAE@ZIF-8 prolonged mouse survival time after 9 Gy total body irradiation (TBI). Mice were scarified on the 7th day after 7 Gy TBI. Results showed that KAE@ZIF-8 exhibited an improvement of the radioprotective effects, including weight loss mitigation, spleen index increase, radiation-induced intestinal injury attenuation, and modulation expression of IL-1β, IL-6, TNF-α and TGF-β1 following radiation. Conclusions: These results suggest the potential effect of ZIF-8 as an oral drug delivery carrier for radioprotective drugs. Full article
(This article belongs to the Section Drug Delivery and Controlled Release)
Show Figures

Graphical abstract

12 pages, 4715 KB  
Article
Nitrogen-Doped Carbon Coated Zn0.17Co0.83P as a Highly Active and Stable Electrocatalyst for Hydrogen Evolution
by Guo-Ping Shen, Xiao-Mei Men, Si-Jia Guo, Na Xu and Bin Dong
Catalysts 2025, 15(11), 1071; https://doi.org/10.3390/catal15111071 - 12 Nov 2025
Viewed by 581
Abstract
Zeolitic imidazolate frameworks (ZIFs) can provide fascinating stereo morphology and tunable metal active sites, which plays an important role in the synthesis of various catalytic materials. However, it is still a problem to make use of these advantages to design efficient hydrogen evolution [...] Read more.
Zeolitic imidazolate frameworks (ZIFs) can provide fascinating stereo morphology and tunable metal active sites, which plays an important role in the synthesis of various catalytic materials. However, it is still a problem to make use of these advantages to design efficient hydrogen evolution reaction (HER) catalysts. Herein, we use covalent coordination strategy to synthesize bimetallic CoxZn1−x(2-MeIM)2 precursors with regular dodecahedral structures for providing uniform active sites and stable carbon skeleton. Furthermore, the ratio of Co and Zn atoms was optimized to balance the electron density and give full play to the synergistic catalytic effect. And then, the subsequent high temperature annealing process is used to construct the amorphous carbon layer, which can improve the overall stability of the material. The gas phase phosphating process realizes the transformation from ZIF material to metal phosphide resulting in enhanced hydrogen evolution activity. Finally, the optimized amorphous nitrogen-doped carbon (NC)-coated Zinc-doped cobalt phosphide (Zn0.17Co0.83P@NC) requires only 237.60 mV to reach the current density of 10 mA cm−2 in alkaline medium, which is 223.22 mV lower than that of CoP, and has a stability of up to 18 h. This work provides a reference for the rational design of efficient and stable compound electrocatalysts for alkaline hydrogen evolution based on the bimetallic ZIF as a precursor. Full article
(This article belongs to the Special Issue Non-Noble Metal Electrocatalytic Materials for Clean Energy)
Show Figures

Figure 1

15 pages, 3390 KB  
Article
Phytofabrication of ZIF-8 Using Mangrove Metabolites for Dual Action Against Drug-Resistant Microbes and Breast Cancer Cells
by Srinath Rajeswaran, Mithuna Shaji Kumarikrishna, Aneesh Giriprasath, Kandi Sridhar, Murugan Anbazhagan, Siva Vadivel and Maharshi Bhaswant
Biomimetics 2025, 10(11), 755; https://doi.org/10.3390/biomimetics10110755 - 8 Nov 2025
Viewed by 597
Abstract
Green nanotechnology offers a sustainable and eco-friendly approach for nanoframework synthesis. The present study intended to synthesize a novel eco-friendly encapsulated Zeolitic Imidazolate Framework-8 (ZIF-8) in a one-pot method using metabolites from the mangrove plant Conocarpus erectus (CE). Gas Chromatography–Mass Spectrometry (GC-MS) analysis [...] Read more.
Green nanotechnology offers a sustainable and eco-friendly approach for nanoframework synthesis. The present study intended to synthesize a novel eco-friendly encapsulated Zeolitic Imidazolate Framework-8 (ZIF-8) in a one-pot method using metabolites from the mangrove plant Conocarpus erectus (CE). Gas Chromatography–Mass Spectrometry (GC-MS) analysis of the extract revealed the presence of important bioactive metabolites. The synthesized material was evaluated by UV-Vis spectroscopy, X-ray diffraction (XRD), particle size analysis (PSA), zeta potential measurement, high-resolution transmission electron microscopy (HR-TEM), and Fourier transform infrared (FT-IR) spectroscopy studies. The environment-friendly mangrove metabolites aided by Zeolitic Imidazolate Framework-8 was found to be crystalline, rhombic dodecahedron structured, and size dispersed without agglomeration. The nanomaterial possessed a broad antimicrobial effect on drug-resistant microorganisms, including Candida krusei, Escherichia coli, Streptococcus Sp., Staphylococcus aureus, Enterococcus Sp., Pseudomonas aeruginosa, Klebsiella pneumoniae, C. propicalis, and C. albicans. Further, its cytotoxicity against MDA-MB-231 cells was found to be efficient. The morphological alterations exhibited by the antiproliferative impact on the breast cancer cell line were detected using DAPI and AO/EB staining. Therefore, ZIF-8 encapsulated mangrove metabolites could serve as an effective biomaterial with biomedical properties in the future. Full article
(This article belongs to the Section Biomimetics of Materials and Structures)
Show Figures

Graphical abstract

16 pages, 4751 KB  
Article
Photothermal Therapy Combined with Chemotherapy and Anti-Inflammation Therapy Weakens the Immunosuppression of Cervical Cancer
by Xiaojing Yang, Jie Fu, Yi Xu, Dejian Li and Hanru Ren
Pharmaceuticals 2025, 18(11), 1657; https://doi.org/10.3390/ph18111657 - 1 Nov 2025
Viewed by 498
Abstract
Background/Objectives: A non-toxic nano-platform which can increase drug-loading rate and synergistically increase antitumor effect is very ideal. This study provides the concept that a combination of photothermal therapy with chemotherapy and anti-inflammatory therapy will be achieved by ablation of the local tumor, robust [...] Read more.
Background/Objectives: A non-toxic nano-platform which can increase drug-loading rate and synergistically increase antitumor effect is very ideal. This study provides the concept that a combination of photothermal therapy with chemotherapy and anti-inflammatory therapy will be achieved by ablation of the local tumor, robust strategies for the suppression of distant tumors with enhanced antitumor therapy outcomes. Methods: In this study, the chemotherapeutic drug cisplatin (DDP) and the anti-inflammatory drug Aspirin-DL-Lysine (ADL) were loaded into a hollow porous nanomaterial zeolitic imidazolate framework-8 (ZIF-8), which was then coated with polydopamine, in order to form near-infrared absorption organic nanoparticles DDP-ADL@ZIF-8@PDA with excellent photothermal conversion efficiency. The antitumor efficacy of the nanodrug was evaluated through physicochemical characterization, cell biology studies, and animal experiments. Results: Photothermal therapy (PTT) of polydopamine combined with DDP and ADL can reduce inflammation and the immunosuppressive tumor microenvironment, and enhance antitumor effect. The results showed that the combined therapy could effectively eliminate the primary tumor, shrink the distant tumor, and inhibit the metastasis of the tumor. PTT in combination with chemotherapy and anti-inflammatory therapy can inhibit the expression of inflammatory factors, significantly reducing tumor immunosuppression by eliminating bone marrow-derived suppressor cells and increasing levels of cytotoxic T lymphocyte. Conclusions: This study successfully developed a DDP-ADL@ZIF-8@PDA nanomedicine for effective drug delivery, synergistic photothermal therapy, and anti-inflammatory attenuated immunotherapy to enhance treatment of human cervical cancer xenografts in mice. Overall, the combination of photothermal therapy with chemotherapy and anti-inflammatory therapy on a nano-platform has great potential for antitumor therapy applications. Full article
(This article belongs to the Section Pharmacology)
Show Figures

Graphical abstract

14 pages, 8853 KB  
Article
Pectin-Coated Zeolitic Imidazolate Framework-8 Nanoparticles: A Dual-Responsive System for Controlled Carbendazim Delivery
by Yan Chen, Ragab Abouzeid, Qinglin Wu, Cornelis F. de Hoop and Jinqiu Qi
Materials 2025, 18(21), 4961; https://doi.org/10.3390/ma18214961 - 30 Oct 2025
Viewed by 450
Abstract
The use of chemical fungicides in agriculture has led to the need for more efficient and sustainable solutions. Controlled-release nanomaterials offer a promising approach by improving fungicide delivery and reducing the need for frequent applications. This study investigates the synthesis of a dual-responsive [...] Read more.
The use of chemical fungicides in agriculture has led to the need for more efficient and sustainable solutions. Controlled-release nanomaterials offer a promising approach by improving fungicide delivery and reducing the need for frequent applications. This study investigates the synthesis of a dual-responsive nanofungicide through the loading of carbendazim (MBC) into zeolitic imidazolate framework-8 (ZIF-8), etching with tannic acid (TA) and the introduction of pectin (PT) to synthesize the MBC@ZTA-PT. The pectin, which was extracted from sweet potato peels, was applied as an eco-friendly, biodegradable additive that enhanced the stability and controlled-release properties of nanofungicide. Tannic acid etching significantly improved MBC loading efficiency. The cumulative release rates after 96 h under three different conditions were 33.12% at pH 7, 59.00% at pH 7 with the addition of pectinase, and 70.74% at pH 5 with the addition of pectinase, highlighting the strong responsiveness of the nanofungicide to pH and enzyme triggers. This dual-response system provided controlled release, thereby enhancing MBC utilization efficiency and minimizing the environmental hazards associated with fungicide applications. The findings suggest that MBC@ZTA-PT represents a promising, environmentally friendly strategy for sustainable plant disease management. Full article
(This article belongs to the Section Green Materials)
Show Figures

Figure 1

13 pages, 4131 KB  
Article
A Novel Strategy for Introducing Metal-Organic Frameworks into Carbon Fiber to Improve the Interfacial and Mechanical Properties of Carbon Fiber/Epoxy Composites
by Jin Yan, Hongyi Ma, Qiyu Deng, Hongyun Li and Lei Xiong
Materials 2025, 18(21), 4856; https://doi.org/10.3390/ma18214856 - 23 Oct 2025
Viewed by 533
Abstract
The interfacial properties in carbon fiber (CF)-reinforced polymer composites are substantially limited by the chemically inactive and smooth CF surfaces. In this study, zeolitic imidazolate framework 90 (ZIF90) was chemically grafted onto CF surfaces via polyethyleneimine (PEI) as a coupling agent to construct [...] Read more.
The interfacial properties in carbon fiber (CF)-reinforced polymer composites are substantially limited by the chemically inactive and smooth CF surfaces. In this study, zeolitic imidazolate framework 90 (ZIF90) was chemically grafted onto CF surfaces via polyethyleneimine (PEI) as a coupling agent to construct a hierarchical reinforcement interface in CF/epoxy composite. The successful synthesis of CF grafted with PEI and ZIF90 (CF-PEI-ZIF90) was systematically characterized by Fourier-transform infrared spectroscopy (FTIR), X-ray photoelectron spectroscopy (XPS), thermogravimetric analysis (TGA), scanning electron microscopy (SEM), and X-ray diffraction (XRD). The incorporation of ZIF90 nanocrystals and PEI molecules into CF surfaces effectively improved interfacial adhesion through mechanical interlocking and chemical interactions, thereby optimizing stress transfer efficiency at the fiber–matrix interface and improving the interfacial properties of the composite. Additionally, the resultant CF-PEI-ZIF90/epoxy composite demonstrated significant mechanical enhancement, with the tensile and bending strengths increasing by 33.5% and 21.4%, respectively, compared to unmodified CF/epoxy composites. This work provides a novel strategy for enhancing the interfacial performance of CF composites by leveraging the unique properties of metal-organic frameworks, which is critical for advancing high-performance structural materials in aerospace and automotive applications. Full article
Show Figures

Figure 1

18 pages, 4717 KB  
Article
Localized Surface Plasmon Resonance-Based Gas Sensor with a Metal–Organic-Framework-Modified Gold Nano-Urchin Substrate for Volatile Organic Compounds Visualization
by Cong Wang, Hao Guo, Bin Chen, Jia Yan, Fumihiro Sassa and Kenshi Hayashi
Sensors 2025, 25(21), 6522; https://doi.org/10.3390/s25216522 - 23 Oct 2025
Viewed by 745
Abstract
Volatile organic compound (VOC) monitoring is crucial for environmental safety and health, but conventional gas sensors often suffer from poor selectivity or lack spatial information. Here, we report a localized surface plasmon resonance (LSPR) gas sensor based on Au nano-urchins coated with a [...] Read more.
Volatile organic compound (VOC) monitoring is crucial for environmental safety and health, but conventional gas sensors often suffer from poor selectivity or lack spatial information. Here, we report a localized surface plasmon resonance (LSPR) gas sensor based on Au nano-urchins coated with a zeolitic imidazolate framework (ZIF-8) for both the quantitative detection and visualization of VOCs. Substrates were fabricated by immobilizing Au nano-urchins (~90 nm) on 3-aminopropyltriethoxysilane-modified glass and subsequently growing ZIF-8 crystals (~250 nm) for different durations. Scanning electron microscopy and optical analysis revealed that 90 min of ZIF-8 growth provided the optimal coverage and strongest plasmonic response. Using a spectrometer-based LSPR system, the optimized substrate exhibited clear, concentration-dependent responses to three representative VOCs, 2-pentanone, acetic acid, and ethyl acetate, over nine concentrations, with detection limits of 12.7, 14.5, and 36.3 ppm, respectively. Furthermore, a camera-based LSPR visualization platform enabled real-time imaging of gas plumes and evaporation-driven diffusion, with differential pseudo-color mapping providing intuitive spatial distributions and concentration dependence. These results demonstrate that ZIF-8-modified Au nano-urchin substrates enable sensitive and reproducible VOC detection and, importantly, transform plasmonic sensing into a visual modality, offering new opportunities for integrated LSPR–surface-enhanced Raman scattering dual-mode gas sensing in the future. Full article
(This article belongs to the Special Issue Nano/Micro-Structured Materials for Gas Sensor)
Show Figures

Figure 1

19 pages, 3633 KB  
Article
pH-Sensitive Naproxen Delivery via ZIF and Kaolin@ZIF Nanocarriers in 3D-Printed PLA–Gelatin Hydrogels
by Reyhan Çetin, Berna Ates, Ozgul Gok and Birgül Benli
Polymers 2025, 17(18), 2497; https://doi.org/10.3390/polym17182497 - 16 Sep 2025
Viewed by 697
Abstract
This study presents a pH-responsive drug delivery platform, created based on naproxen-loaded zeolitic imidazolate frameworks (ZIF) and kaolin-ZIF (Kao@ZIF) nanocarriers embedded in a 3D-printed polylactic acid (PLA) scaffold coated with a gelatin hydrogel. The PLA discs were designed as structural tissue models to [...] Read more.
This study presents a pH-responsive drug delivery platform, created based on naproxen-loaded zeolitic imidazolate frameworks (ZIF) and kaolin-ZIF (Kao@ZIF) nanocarriers embedded in a 3D-printed polylactic acid (PLA) scaffold coated with a gelatin hydrogel. The PLA discs were designed as structural tissue models to simulate localized drug release. Kaolin (Kao), a basic mineral in the kaolin group that includes halloysite, was selected as a chemically stable and biocompatible adsorbent to enhance ZIF integrity and system reliability. To address the concerns about the safety and reproducibility of nanoscale materials in biomedical applications, structurally stable ZIF and Kao@ZIF nanocarriers were synthesized and characterized using FT-IR, SEM-EDS, and LC-M/MS, measuring drug loading efficiencies over 90% for ZIF and slightly higher for Kao@ZIF. In vitro release profiles showed strong pH sensitivity, with greater naproxen release at acidic pH (5.4) and more sustained release from Kao@ZIF. Cytotoxicity assays using L929 fibroblasts demonstrated improved biocompatibility, with cell viabilities of approximately 75% for ZIF–naproxen, 82% for Kao@ZIF–naproxen, and 90% for gelatin-coated PLA–Kao@ZIF scaffolds, for 24 h incubation. Incorporating kaolin-stabilized ZIF nanocarriers into 3D-printed biodegradable scaffolds offers a promising and safer approach for pH-sensitive, tissue-targeted drug delivery, while laying the groundwork for future studies involving halloysite-derived nanotubular systems. Full article
Show Figures

Figure 1

21 pages, 5003 KB  
Article
Synthesis and CO2 Capture Properties of Co- and Nd-Modified ZIF-8 Materials Loaded onto Electrospun Polyacrylonitrile Fibers
by Daniela Vargas-Romero, Oscar Ovalle-Encinia, Elizabeth Rojas-García, Ana Marisela Maubert-Franco, Mónica Corea, Lucía Téllez-Jurado and José Ortiz-Landeros
Separations 2025, 12(9), 248; https://doi.org/10.3390/separations12090248 - 10 Sep 2025
Viewed by 914
Abstract
Zeolitic imidazolate framework (ZIF)-8 materials exhibiting zinc metal centers partially replaced by cobalt or neodymium were successfully synthesized via a convenient coprecipitation method. The resulting materials were structurally and microstructurally characterized by SEM, XRD, FT-IR, and TGA, among other techniques. Subsequently, ZIF-8 nanoparticles [...] Read more.
Zeolitic imidazolate framework (ZIF)-8 materials exhibiting zinc metal centers partially replaced by cobalt or neodymium were successfully synthesized via a convenient coprecipitation method. The resulting materials were structurally and microstructurally characterized by SEM, XRD, FT-IR, and TGA, among other techniques. Subsequently, ZIF-8 nanoparticles were integrated into polyacrylonitrile fibers (PAN) via the electrospinning technique, followed by a secondary growth step to increase the ZIF-8 loading on the fiber’s surface. Furthermore, the characterization and evaluation of the materials’ CO2 adsorption properties at low pressures revealed their volumetric CO2 uptake capacities. The samples containing ZIF-8 powders modified with Co cations exhibited the best CO2 capture performances of 26.48 and 8.08 cm3·g−1 (at STP) for the unsupported and PAN-anchored materials, respectively. The strategy of seeding followed by secondary growth to anchor ZIF-8 onto PAN fibers is proposed as a novel and practical approach for adsorbent processing. Full article
(This article belongs to the Special Issue Recent Advances in Gas Separation and Purification)
Show Figures

Graphical abstract

16 pages, 4501 KB  
Article
An Electrochemical Aptamer Sensor with ZIF-8 Loaded CuNPs Composites for Aflatoxin B1 Determination
by Juncheng Chen, Caizhang Wu, Zhike Zhao and Ruihao Xue
Chemosensors 2025, 13(9), 342; https://doi.org/10.3390/chemosensors13090342 - 6 Sep 2025
Cited by 1 | Viewed by 1002
Abstract
An electrochemical aptamer sensor for the sensitive detection of aflatoxin B1 (AFB1) in corn samples was developed using nanocomposites loaded with copper nanoparticles (CuNPs) on zeolitic imidazolate framework-8 (ZIF-8), which were modified on a glassy carbon electrode (GCE). The CuNPs@ZIF-8 [...] Read more.
An electrochemical aptamer sensor for the sensitive detection of aflatoxin B1 (AFB1) in corn samples was developed using nanocomposites loaded with copper nanoparticles (CuNPs) on zeolitic imidazolate framework-8 (ZIF-8), which were modified on a glassy carbon electrode (GCE). The CuNPs@ZIF-8 nanocomposites served as modifying materials for electrodes, exhibiting a high specific surface area and excellent compatibility with aptamers, thereby enhancing the electron transfer rate and increasing the aptamer loading and immobilization efficiency. The electrochemical properties before and after modification were investigated and validated using cyclic voltammetry (CV) and electrochemical impedance spectroscopy (EIS) techniques, while the sensor’s performance was analyzed through quantitative detection via differential pulse voltammetry (DPV). Furthermore, various conditions, including the volume of ZIF-8 dispersion, electrodeposition time of copper nanoparticles, aptamer concentration, and AFB1 incubation time, were optimized. The results indicated that the sensor exhibited a wide linear range (10.0 to 1.0 × 106 pg/mL), with a lower limit of detection (LOD) of 1.13 pg/mL under optimized conditions, outperforming other reported aptamer sensors. The spiked recoveries in corn samples ranged from 96.663% to 105.72%. In conclusion, this sensor presents a novel solution for low-cost and high-sensitivity detection of AFB1. Full article
(This article belongs to the Section (Bio)chemical Sensing)
Show Figures

Figure 1

14 pages, 3187 KB  
Article
Characterizations of Electrospun PVDF-Based Mixed Matrix Membranes with Nanomaterial Additives
by Haya Taleb, Venkatesh Gopal, Sofian Kanan, Raed Hashaikeh, Nidal Hilal and Naif Darwish
Nanomaterials 2025, 15(15), 1151; https://doi.org/10.3390/nano15151151 - 25 Jul 2025
Viewed by 1178
Abstract
Water scarcity poses a formidable challenge around the world, especially in arid regions where limited availability of freshwater resources threatens both human well-being and ecosystem sustainability. Membrane-based desalination technologies offer a viable solution to address this issue by providing access to clean water. [...] Read more.
Water scarcity poses a formidable challenge around the world, especially in arid regions where limited availability of freshwater resources threatens both human well-being and ecosystem sustainability. Membrane-based desalination technologies offer a viable solution to address this issue by providing access to clean water. This work ultimately aims to develop a novel permselective polymeric membrane material to be employed in an electrochemical desalination system. This part of the study addresses the optimization, preparation, and characterization of a polyvinylidene difluoride (PVDF) polymeric membrane using the electrospinning technique. The membranes produced in this work were fabricated under specific operational, environmental, and material parameters. Five different additives and nano-additives, i.e., graphene oxide (GO), carbon nanotubes (CNTs), zinc oxide (ZnO), activated carbon (AC), and a zeolitic imidazolate metal–organic framework (ZIF-8), were used to modify the functionality and selectivity of the prepared PVDF membranes. Each membrane was synthesized at two different levels of additive composition, i.e., 0.18 wt.% and 0.45 wt.% of the entire PVDF polymeric solution. The physiochemical properties of the prepared membranes were characterized by Fourier transform infrared spectroscopy (FTIR), scanning electron microscopy (SEM), zeta potential, contact angle, conductivity, porosity, and pore size distribution. Based on findings of this study, PVDF/GO membrane exhibited superior results, with an electrical conductivity of 5.611 mS/cm, an average pore size of 2.086 µm, and a surface charge of −38.33 mV. Full article
(This article belongs to the Section Synthesis, Interfaces and Nanostructures)
Show Figures

Figure 1

Back to TopTop