Sign in to use this feature.

Years

Between: -

Subjects

remove_circle_outline
remove_circle_outline
remove_circle_outline
remove_circle_outline
remove_circle_outline
remove_circle_outline
remove_circle_outline
remove_circle_outline
remove_circle_outline

Journals

remove_circle_outline
remove_circle_outline
remove_circle_outline
remove_circle_outline
remove_circle_outline
remove_circle_outline
remove_circle_outline
remove_circle_outline
remove_circle_outline
remove_circle_outline
remove_circle_outline
remove_circle_outline
remove_circle_outline
remove_circle_outline

Article Types

Countries / Regions

remove_circle_outline
remove_circle_outline
remove_circle_outline
remove_circle_outline
remove_circle_outline

Search Results (651)

Search Parameters:
Keywords = wire lead

Order results
Result details
Results per page
Select all
Export citation of selected articles as:
22 pages, 19590 KB  
Article
Effect of Interlayer Temperature-Controlled Thermal Cycling on the Microstructure and Mechanical Properties of Wire Arc Directed Energy Deposition H13 Steel
by Chuang Li, Hawke Suen, Yajin Yang, Liang Zhang, Qiuxia Chen, Tianlong Gao, Bo Yuan, Lyusha Cheng and Zhe Lv
Materials 2026, 19(1), 111; https://doi.org/10.3390/ma19010111 - 29 Dec 2025
Abstract
Wire arc directed energy deposition (WA-DED) is a cost-effective technique for fabricating large metallic components. However, the inherent layer-by-layer deposition process leads to substantial heat accumulation, which significantly influences the resulting microstructure and mechanical properties. In this study, the effects of thermal cycling [...] Read more.
Wire arc directed energy deposition (WA-DED) is a cost-effective technique for fabricating large metallic components. However, the inherent layer-by-layer deposition process leads to substantial heat accumulation, which significantly influences the resulting microstructure and mechanical properties. In this study, the effects of thermal cycling histories, at different interlayer temperatures, on the microstructural evolution and mechanical behavior of WA-DED fabricated H13 steel thin walls were systematically investigated, using an experimentally calibrated transient thermal model combined with experimental validation. Microstructural analysis revealed that at an interlayer temperature of 200 °C, the deposited material primarily consisted of coarse martensite with a low dislocation density and relatively large precipitates at a moderate volume fraction, resulting in an ultimate tensile strength of 1103 ± 28 MPa and an elongation of 14.6%. Increasing the interlayer temperature to 400 °C facilitated the formation of finer martensite with a higher dislocation density and smaller precipitates of slightly increased volume fraction. These microstructural refinements enhanced the tensile strength to 1549 ± 43 MPa, albeit at the expense of ductility, reducing elongation to 8.3%. When the interlayer temperature was further raised to 600 °C, fine martensite and a moderate dislocation density were retained; however, precipitate coarsening and a reduced volume fraction led to a decline in tensile strength to 1434 ± 33 MPa, accompanied by a slight recovery in elongation to 8.6%. Quantitative analysis based on classical strengthening models confirmed that dislocation strengthening is the dominant mechanism governing the variation in mechanical properties with changing interlayer temperature. Full article
(This article belongs to the Special Issue The Additive Manufacturing of Metallic Alloys (Second Edition))
Show Figures

Figure 1

14 pages, 6014 KB  
Article
Distributed Optical Fiber Sensing of Temperature Rise During 110 kV Conductor–Ground Wire Ice-Shedding Discharge
by Yanpeng Hao, Zijian Wu, Lei Huang, Yashuang Zheng, Qi Yang, Yao Zhong and Huan Huang
Micromachines 2026, 17(1), 32; https://doi.org/10.3390/mi17010032 - 27 Dec 2025
Viewed by 113
Abstract
Ice-shedding on overhead transmission lines can easily lead to jump discharge and subsequent line tripping, and effective monitoring methods are still lacking. To address this problem, this study proposes a distributed optical fiber sensing approach based on Brillouin optical time-domain reflectometry (BOTDR) for [...] Read more.
Ice-shedding on overhead transmission lines can easily lead to jump discharge and subsequent line tripping, and effective monitoring methods are still lacking. To address this problem, this study proposes a distributed optical fiber sensing approach based on Brillouin optical time-domain reflectometry (BOTDR) for detecting ice-shedding discharge on 110 kV conductor–ground wire. The optical fibers embedded in an optical fiber composite overhead ground wire (OPGW) are used as sensing elements. Through simulated ice-shedding discharge experiments under different icing conditions, the Brillouin frequency shift (BFS) characteristics along the OPGW fiber are investigated, and the relationship between the BFS increment caused by the discharge-induced temperature rise and the discharge parameters is revealed. The experimental results show that ice-shedding discharge produces a localized temperature-rise region in the OPGW fiber, with an axial extent of 20–40 cm and a duration of 2–4 s. The maximum BFS increment due to the discharge temperature rise, ΔvTm, is strongly dependent on the icing condition. Under conditions of no icing, light rime, and glaze ice on the conductor only, ΔvTm remains within 5.43–7.94 MHz, whereas when both the conductor and ground wire are covered with glaze ice, ΔvTm decreases significantly to 2.91–3.76 MHz. Further analysis indicates that, to satisfy the requirements for detecting ice-shedding discharge, the BOTDR must achieve a spatial resolution better than 0.1 m and a temporal sampling rate of no less than 5 Hz. These findings verify the feasibility of using distributed optical fiber sensing technology to detect ice-shedding discharge and provide experimental support for studies on the associated discharge mechanisms. Full article
Show Figures

Figure 1

13 pages, 14285 KB  
Article
Effect of Sc Addition on the Microstructure and Mechanical Properties of Wire-Arc Directed Energy Deposition Al–Cu Alloys
by Ziqiang Wei, Yunhao Xia, Bolun Dong, Xiaoyu Cai, Sanbao Lin and Cheng Li
Crystals 2026, 16(1), 17; https://doi.org/10.3390/cryst16010017 (registering DOI) - 26 Dec 2025
Viewed by 56
Abstract
The refined microstructure and enhanced mechanical properties of wire-arc directed energy deposition (WA-DED) Al-Cu alloys have attracted a great deal of attention in various industries. Despite numerous strengthening strategies developed to enhance the performance of Al-Cu alloys, the effect of scandium (Sc) in [...] Read more.
The refined microstructure and enhanced mechanical properties of wire-arc directed energy deposition (WA-DED) Al-Cu alloys have attracted a great deal of attention in various industries. Despite numerous strengthening strategies developed to enhance the performance of Al-Cu alloys, the effect of scandium (Sc) in their as-deposited state has received limited attention. In this work, Al-Cu-Sc alloy samples with different Sc contents were designed and prepared by WA-DED technology with interlayer powder coating. The microstructural characteristics and mechanical properties of Al-Cu alloys with varying Sc contents were systematically compared by applying an alcohol-based solution with different Sc concentrations. The experimental results demonstrate that the addition of Sc promotes the columnar-to-equiaxed transition (CET). Moreover, compared to the Al-Cu-Sc alloy with lower Sc content (0.15%, average grain size: 128.35 μm), the alloy with higher Sc content (0.32%) exhibited a finer average grain size of 95.81 μm. The increased Sc content was also beneficial in suppressing the formation of solidification shrinkage pores. As the Sc content increases, the interconnected θ′-Al2Cu phase breaks up, leading to its more uniform dispersion in the aluminum matrix. In terms of mechanical properties, the sample with higher Sc content demonstrated superior tensile properties, exhibiting an ultimate tensile strength (UTS) and elongation (EL) of 265.89 MPa and 12.29%, respectively, compared to 240.67 MPa and 9.05% for the Sc-L sample. In contrast, the yield strength (YS) and microhardness showed no significant variation with the change in Sc content. Full article
(This article belongs to the Section Crystalline Metals and Alloys)
Show Figures

Figure 1

21 pages, 3370 KB  
Article
The Improvement of the Mathematical Model of a Calculable Voltage Standard with a Single Junction Thermal Voltage Converter
by Michał Pecyna, Krzysztof Kubiczek and Marian Kampik
Energies 2026, 19(1), 62; https://doi.org/10.3390/en19010062 - 22 Dec 2025
Viewed by 129
Abstract
This paper presents the modification and experimental validation of a mathematical model for a single junction thermal voltage converter (SJTC) designed for high-precision alternating current (AC) voltage transfer. The original model is severely constrained by two main issues: (1) computational instability above 50 [...] Read more.
This paper presents the modification and experimental validation of a mathematical model for a single junction thermal voltage converter (SJTC) designed for high-precision alternating current (AC) voltage transfer. The original model is severely constrained by two main issues: (1) computational instability above 50 MHz due to the limitations of the housing impedance approximation, and (2) insufficient accuracy above 1 MHz due to the neglect of high-frequency skin effect and magnetic core effects in the Dumet wire leads. Significant refinements are subsequently implemented to extend the calculable frequency range of the standard from 1 to 100 MHz. This required re-evaluation of the Dumet wire leads’ frequency-dependent resistance and inductance using finite element method (FEM) simulations, which accounted for the skin effect and the magnetic permeability of the FeNi42 core. Additionally, the housing impedance calculation is stabilized using a formulation based on scaled modified Bessel functions, and the electrical conductivity of the input N-type connector pin is explicitly modeled. The improved model is validated against a reference calorimetric thermal voltage converter (CTVC) using 3 and 5 V nominal voltage standards. The results indicated excellent agreement between the calculated and measured AC-direct current (DC) transfer differences up to 10 MHz. In the extended frequency regime, the model correctly predicted the transition to negative transfer differences observed above 2 MHz for the 5 V standard. The largest discrepancies between the measured and calculated values occurred at 100 MHz. The measured transfer difference reached −15,090 (µV/V) with an expanded uncertainty (k = 2) of 190 (µV/V), whereas the calculated value is −12,500 (µV/V) with an expanded uncertainty of 3900 (µV/V). Although the deviation between the model and measurement increased above 30 MHz, the results remained consistent within the expanded measurement uncertainties across the entire 10 kHz to 100 MHz range, demonstrating the model’s suitability for providing traceability in high-frequency voltage metrology. Full article
(This article belongs to the Special Issue Stationary Energy Storage Systems for Renewable Energies)
Show Figures

Figure 1

49 pages, 13896 KB  
Review
A Review on In-Situ Monitoring in Wire Arc Additive Manufacturing: Technologies, Applications, Challenges, and Needs
by Mohammad Arjomandi, Jackson Motley, Quang Ngo, Yoosuf Anees, Muhammad Ayaan Afzal and Tuhin Mukherjee
Machines 2026, 14(1), 19; https://doi.org/10.3390/machines14010019 - 22 Dec 2025
Viewed by 417
Abstract
Wire Arc Additive Manufacturing (WAAM), also known as Wire Arc Directed Energy Deposition, is used for fabricating large metallic components with high deposition rates. However, the process often leads to residual stress, distortion, defects, undesirable microstructure, and inconsistent bead geometry. These challenges necessitate [...] Read more.
Wire Arc Additive Manufacturing (WAAM), also known as Wire Arc Directed Energy Deposition, is used for fabricating large metallic components with high deposition rates. However, the process often leads to residual stress, distortion, defects, undesirable microstructure, and inconsistent bead geometry. These challenges necessitate reliable in-situ monitoring for process understanding, quality assurance, and control. While several reviews exist on in-situ monitoring in other additive manufacturing processes, systematic coverage of sensing methods specifically tailored for WAAM remains limited. This review fills that gap by providing a comprehensive analysis of existing in-situ monitoring approaches in WAAM, including thermal, optical, acoustic, electrical, force, and geometric sensing. It compares the relative maturity and applicability of each technique, highlights the challenges posed by arc light, spatter, and large melt pool dynamics, and discusses recent advances in real-time defect detection and control, process monitoring, microstructure and property prediction, and minimization of residual stress and distortion. Apart from providing a synthesis of the existing literature, the review also provides research needs, including the standardization of monitoring methodologies, the development of scalable sensing systems, integration of advanced AI-driven data analytics, coupling of real-time monitoring with multi-physics modeling, exploration of quantum sensing, and the transition of current research from laboratory demonstrations to industrial-scale WAAM implementation. Full article
(This article belongs to the Special Issue In Situ Monitoring of Manufacturing Processes)
Show Figures

Figure 1

21 pages, 4072 KB  
Article
A Novel Approach for Denoising Magnetic Flux Leakage Signals of Steel Wire Ropes via Synchrosqueezing Wavelet Transform and Dynamic Time–Frequency Masking
by Fengyu Wu, Maoqian Hu, Zihao Fu, Xiaoxu Hu, Wen-Xie Bu and Zongxi Zhang
Processes 2026, 14(1), 12; https://doi.org/10.3390/pr14010012 - 19 Dec 2025
Viewed by 168
Abstract
Magnetic flux leakage (MFL) signals in steel wire rope defect detection are often corrupted by structural noise and environmental interference, leading to reduced defect recognition accuracy. This study proposes a denoising approach combining synchrosqueezing wavelet transform (SST) with dynamic time–frequency masking to enhance [...] Read more.
Magnetic flux leakage (MFL) signals in steel wire rope defect detection are often corrupted by structural noise and environmental interference, leading to reduced defect recognition accuracy. This study proposes a denoising approach combining synchrosqueezing wavelet transform (SST) with dynamic time–frequency masking to enhance signal quality. The method first employs SST to redistribute time–frequency coefficients, improving resolution and highlighting defect-related energy concentrations. A dynamic masking strategy is then introduced to adaptively suppress noise by leveraging local energy statistics. Experimental results on a constructed dataset show that the proposed method achieves a signal-to-noise ratio (SNR) improvement compared to traditional wavelet denoising. This approach provides an effective solution for real-time monitoring of wire rope defects in industrial applications. Full article
(This article belongs to the Section Energy Systems)
Show Figures

Figure 1

59 pages, 4699 KB  
Review
A Benchmark Model for Earthquake-Resistant Earthen Houses in Rural Afghanistan
by Mojeeburahman Mashal and Alejandro Jiménez Rios
Buildings 2026, 16(1), 11; https://doi.org/10.3390/buildings16010011 - 19 Dec 2025
Viewed by 751
Abstract
Afghanistan experiences frequent damaging earthquakes, and the widespread use of unreinforced adobe and Pakhsa construction leads to high casualty rates and severe housing losses. Traditional earthen buildings exhibit low tensile capacity, rapid stiffness degradation, and brittle failure, often collapsing at drift levels below [...] Read more.
Afghanistan experiences frequent damaging earthquakes, and the widespread use of unreinforced adobe and Pakhsa construction leads to high casualty rates and severe housing losses. Traditional earthen buildings exhibit low tensile capacity, rapid stiffness degradation, and brittle failure, often collapsing at drift levels below 0.5–0.6% or at modest ground motions. Reinforcement techniques evaluated in international experimental studies—such as timber confinement, flexible steel wire mesh, geogrids, and high-quality plastic fencing—have demonstrated measurable improvements, including 30–200% increases in lateral strength, three- to seven-fold increases in ductility, and out-of-plane capacity enhancements of more than two-fold when properly anchored. This study synthesises research findings and global earthen building codes and guidelines to develop a practical, context-appropriate benchmark house model for Afghanistan. The proposed model integrates representative wall geometries, concentrated flat-roof loading, and realistic construction capabilities observed across the country. Three reinforcement alternatives are presented, each designed to be low-cost, compatible with locally available materials, and constructible without specialised equipment. By linking quantitative performance evidence with context-specific construction constraints, the study provides a technically grounded and implementable pathway for improving the seismic safety of rural earthen dwellings in Afghanistan. The proposed benchmark model offers a robust foundation for future national guidelines and for the design and retrofitting of safer, more resilient housing. Full article
(This article belongs to the Special Issue Seismic Resilience and Structural Performance of Masonry Structures)
Show Figures

Figure 1

25 pages, 12574 KB  
Article
Features of the Structural Design of Welded Joints of Superelastic Nitinol Wires
by Viktor Kvasnytskyi, Anastasiia Zvorykina, Leonid Zvorykin, Constantine Zvorykin and Yevgenia Chvertko
Materials 2026, 19(1), 7; https://doi.org/10.3390/ma19010007 - 19 Dec 2025
Viewed by 190
Abstract
The object of the study is a permanent joint of thin wires made of nitinol alloy. The problem of ensuring the formation of a joint of wires made of nitinol alloy was solved based on minimising changes in the structure of the welded [...] Read more.
The object of the study is a permanent joint of thin wires made of nitinol alloy. The problem of ensuring the formation of a joint of wires made of nitinol alloy was solved based on minimising changes in the structure of the welded joint material relative to the materials being joined. The properties of the welded joint material of the nitinol were studied using scanning electron microscopy and micro-X-ray spectral analysis. The studied permanent joint was obtained by TIG, microplasma (PAW) and capacitor discharge (CDW) welding. It was found that TIG welding can ensure the proximity of the microstructures of the wire and welded joint materials under conditions of sufficient protection in an argon atmosphere. Such TiNi welded joints have a welded joint material that retains its superelastic properties (within the limits of the shape memory effect). Capacitor discharge welding allows the joint to be brought closer to the required level of microstructure of the weld material. The results of mechanical tests demonstrated the limited capabilities of joints made of thin nitinol wires. At the same time, the appearance of only newly formed TiNi + TiNi3 eutectics in the weld material and a sufficient level of restoration of the welded joint shape give reason to consider capacitor discharge welding promising for joining thin nitinol wires. PAW leads to the formation of a significant amount of oxides in the weld and an increase in the number of Ti2Ni inclusions, which leads to brittle fracture of the welded joint even at low degrees of deformation. The results of the study can be used, in particular, for the manufacture of nitinol wire joints in medical devices. Full article
(This article belongs to the Section Metals and Alloys)
Show Figures

Figure 1

33 pages, 4350 KB  
Review
Laser Processing Methods in Precision Silicon Carbide Wafer Exfoliation: A Review
by Tuğrul Özel and Faik Derya Ince
J. Manuf. Mater. Process. 2026, 10(1), 2; https://doi.org/10.3390/jmmp10010002 - 19 Dec 2025
Viewed by 377
Abstract
The rapid advancement of high-performance electronics has intensified the demand for wide-bandgap semiconductor materials capable of operating under high-power and high-temperature conditions. Among these, silicon carbide (SiC) has emerged as a leading candidate due to its superior thermal conductivity, chemical stability, and mechanical [...] Read more.
The rapid advancement of high-performance electronics has intensified the demand for wide-bandgap semiconductor materials capable of operating under high-power and high-temperature conditions. Among these, silicon carbide (SiC) has emerged as a leading candidate due to its superior thermal conductivity, chemical stability, and mechanical strength. However, the high cost and complexity of SiC wafer fabrication, particularly in slicing and exfoliation, remain significant barriers to its widespread adoption. Conventional methods such as wire sawing suffer from considerable kerf loss, surface damage, and residual stress, reducing material yield and compromising wafer quality. Additionally, techniques like smart-cut ion implantation, though capable of enabling thin-layer transfer, are limited by long thermal annealing durations and implantation-induced defects. To overcome these limitations, ultrafast laser-based processing methods, including laser slicing and stealth dicing (SD), have gained prominence as non-contact, high-precision alternatives for SiC wafer exfoliation. This review presents the current state of the art and recent advances in laser-based precision SiC wafer exfoliation processes. Laser slicing involves focusing femtosecond or picosecond pulses at a controlled depth parallel to the beam path, creating internal damage layers that facilitate kerf-free wafer separation. In contrast, stealth dicing employs laser-induced damage tracks perpendicular to the laser propagation direction for chip separation. These techniques significantly reduce material waste and enable precise control over wafer thickness. The review also reports that recent studies have further elucidated the mechanisms of laser–SiC interaction, revealing that femtosecond pulses offer high machining accuracy due to localized energy deposition, while picosecond lasers provide greater processing efficiency through multipoint refocusing but at the cost of increased amorphous defect formation. The review identifies multiphoton ionization, internal phase explosion, and thermal diffusion key phenomena that play critical roles in microcrack formation and structural modification during precision SiC wafer laser processing. Typical ultrafast-laser operating ranges include pulse durations from 120–450 fs (and up to 10 ps), pulse energies spanning 5–50 µJ, focal depths of 100–350 µm below the surface, scan speeds ranging from 0.05–10 mm/s, and track pitches commonly between 5–20 µm. In addition, the review provides quantitative anchors including representative wafer thicknesses (250–350 µm), typical laser-induced crack or modified-layer depths (10–40 µm and extending up to 400–488 µm for deep subsurface focusing), and slicing efficiencies derived from multi-layer scanning. The review concludes that these advancements, combined with ongoing progress in ultrafast laser technology, represent research opportunities and challenges in transformative shifts in SiC wafer fabrication, offering pathways to high-throughput, low-damage, and cost-effective production. This review highlights the comparative advantages of laser-based methods, identifies the research gaps, and outlines the challenges and opportunities for future research in laser processing for semiconductor applications. Full article
Show Figures

Figure 1

21 pages, 16491 KB  
Article
Glue Strips Measurement and Breakage Detection Based on YOLOv11 and Pixel Geometric Analysis
by Yukai Lu, Xihang Li, Jingran Kang, Shusheng Xiong and Shaopeng Zhu
Sensors 2025, 25(24), 7624; https://doi.org/10.3390/s25247624 - 16 Dec 2025
Viewed by 255
Abstract
With the rapid development of the new energy vehicle industry, the quality control of battery pack glue application processes has become a critical factor in ensuring the sealing, insulation, and structural stability of the battery. However, existing detection methods face numerous challenges in [...] Read more.
With the rapid development of the new energy vehicle industry, the quality control of battery pack glue application processes has become a critical factor in ensuring the sealing, insulation, and structural stability of the battery. However, existing detection methods face numerous challenges in complex industrial environments, such as metal reflections, interference from heating film grids, inconsistent orientations of glue strips, and the difficulty of accurately segmenting elongated targets, leading to insufficient precision and robustness in glue dimension measurement and glue break detection. To address these challenges, this paper proposes a battery pack glue application detection method that integrates the YOLOv11 deep learning model with pixel-level geometric analysis. The method first uses YOLOv11 to precisely extract the glue region and identify and block the heating film interference area. Glue strips orientation correction and image normalization are performed through adaptive binarization and Hough transformation. Next, high-precision pixel-level measurement of glue strip width and length is achieved by combining connected component analysis and multi-line statistical strategies. Finally, glue break and wire drawing defects are reliably detected based on image slicing and pixel ratio analysis. Experimental results show that the average measurement errors in glue strip width and length are only 1.5% and 2.3%, respectively, with a 100% accuracy rate in glue break detection, significantly outperforming traditional vision methods and mainstream instance segmentation models. Ablation experiments further validate the effectiveness and synergy of the modules. This study provides a high-precision and robust automated detection solution for glue application processes in complex industrial scenarios, with significant engineering application value. Full article
(This article belongs to the Section Sensing and Imaging)
Show Figures

Figure 1

21 pages, 6216 KB  
Article
Extraction, Segmentation, and 3D Reconstruction of Wire Harnesses from Point Clouds for Robot Motion Planning
by Saki Komoriya and Hiroshi Masuda
Sensors 2025, 25(24), 7542; https://doi.org/10.3390/s25247542 - 11 Dec 2025
Viewed by 370
Abstract
Accurate collision detection in off-line robot simulation is essential for ensuring safety in modern manufacturing. However, current simulation environments often neglect flexible components such as wire harnesses, which are attached to articulated robots with irregular slack to accommodate motion. Because these components are [...] Read more.
Accurate collision detection in off-line robot simulation is essential for ensuring safety in modern manufacturing. However, current simulation environments often neglect flexible components such as wire harnesses, which are attached to articulated robots with irregular slack to accommodate motion. Because these components are rarely modeled in CAD, the absence of accurate 3D harness models leads to discrepancies between simulated and actual robot behavior, which sometimes result in physical interference or damage. This paper addresses this limitation by introducing a fully automated framework for extracting, segmenting, and reconstructing 3D wire-harness models directly from dense, partially occluded point clouds captured by terrestrial laser scanners. The key contribution lies in a motion-aware segmentation strategy that classifies harnesses into static and dynamic parts based on their physical attachment to robot links, enabling realistic motion simulation. To reconstruct complex geometries from incomplete data, we further propose a dual reconstruction scheme: an OBB-tree-based method for robust centerline recovery of unbranched cables and a Reeb-graph-based method for preserving topological consistency in branched structures. The experimental results on multiple industrial robots demonstrate that the proposed approach can generate high-fidelity 3D harness models suitable for collision detection and digital-twin simulation, even under severe data occlusions. These findings close a long-standing gap between geometric sensing and physics-based robot simulation in real factory environments. Full article
(This article belongs to the Section Sensors and Robotics)
Show Figures

Figure 1

21 pages, 24003 KB  
Article
On the Heterogeneity of Deformation and Fracture in Bimetallic Specimens of the C11000-Inconel 625 System
by Kseniya Osipovich, Vyacheslav Semenchuk, Andrey Chumaevskii, Alexander M. Korsunsky, Yuri Kushnarev, Evgeny Moskvichev, Alihan Amirov, Denis Gurianov, Sergei Tarasov and Evgeny Kolubaev
Materials 2025, 18(23), 5450; https://doi.org/10.3390/ma18235450 - 3 Dec 2025
Viewed by 309
Abstract
In this work, bimetallic specimens of the copper C11000-Inconel 625 system were fabricated using multi-wire electron beam additive technology. Three different sequences of component deposition were employed to produce the bimetallic specimens for investigation: Type A—nickel and pure copper were deposited side by [...] Read more.
In this work, bimetallic specimens of the copper C11000-Inconel 625 system were fabricated using multi-wire electron beam additive technology. Three different sequences of component deposition were employed to produce the bimetallic specimens for investigation: Type A—nickel and pure copper were deposited side by side in parallel; Type B—layers of nickel-based superalloy were printed first, followed by the deposition of copper on top; Type C—copper layers were printed first, with nickel-based superalloy subsequently deposited on top. The influence of additive manufacturing conditions and sequence on the microstructure, static and fatigue strength, and impact toughness of the test pieces was studied. The results indicate the formation of a complex anisotropic structure in bimetals of various types during printing, driven by directional heat dissipation toward the substrate. The microstructure comprising large primary grains or dendrites elongated along the heat flow direction leads to significant differences in material properties along the printing (scanning) direction, the build (growth) direction, and at intermediate angles. Studies of the copper C11000-Inconel 625 bimetallic samples have shown that the interface between components does not exhibit inherent weakness compared to the base materials: pure copper or nickel superalloy. Tensile testing consistently reveals that fracture occurs by the adhesive mechanism in the weaker constituent, rather than at the interface. Full article
(This article belongs to the Section Metals and Alloys)
Show Figures

Figure 1

20 pages, 7671 KB  
Article
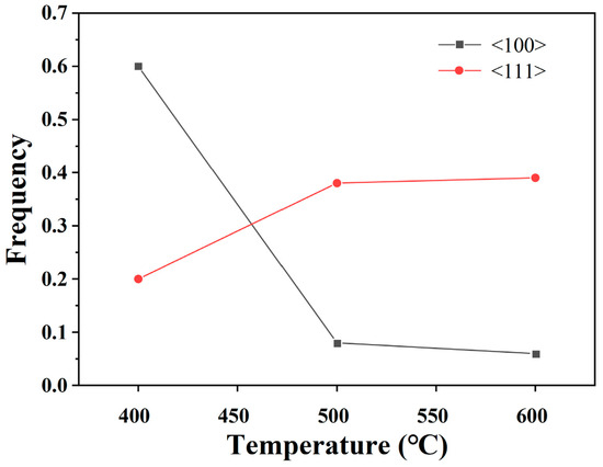
Study on the Secondary Recrystallization Process and Influencing Factors of 4N Pure Copper Wires
by Hao Xu, Xin Dong, Tianle Li, Zhixiang Qi and Guang Chen
Materials 2025, 18(23), 5431; https://doi.org/10.3390/ma18235431 - 2 Dec 2025
Viewed by 194
Abstract
The transverse grain boundaries in pure copper wires increase resistivity, generating capacitance and inductance effects, leading to a decrease in the electrical conductivity of pure copper wires. Directional heat treatment technology can eliminate transverse grain boundaries in pure copper conductors, which is of [...] Read more.
The transverse grain boundaries in pure copper wires increase resistivity, generating capacitance and inductance effects, leading to a decrease in the electrical conductivity of pure copper wires. Directional heat treatment technology can eliminate transverse grain boundaries in pure copper conductors, which is of great significance for improving electrical conductivity. Directional heat treatment is essentially a secondary recrystallization process, with influencing factors involving microstructure, texture, etc. This study systematically investigated the effects of cold-drawing deformation rate and heat treatment processes on secondary recrystallization microstructure, grain boundary structure, and crystallographic texture in pure copper wires. The results demonstrate that higher deformation levels (≥89%) facilitate secondary recrystallization and enhance <100> texture development. Moreover, the heat treatment temperature exerts a more significant influence on secondary recrystallization than the heat treatment duration. The grain coarsening temperature for pure copper wires with a deformation degree of 89% was determined to be 400 °C. These findings provide a fundamental basis for formulating directed heat treatment processes for pure copper wires. Full article
Show Figures

Figure 1

19 pages, 6268 KB  
Article
Research on Arc Characteristics and Microstructure of 6061 Aluminum Alloy Multi-Pulse Composite Arc Welding
by Guangshun Zhang, Xin Ye, Fang Li, Yonggang Du, Guangcai Chang and Peng Xia
Metals 2025, 15(12), 1294; https://doi.org/10.3390/met15121294 - 25 Nov 2025
Viewed by 359
Abstract
To mitigate welding defects and optimize the microstructure of aluminum alloys, this study introduces a multi-pulse hybrid arc welding process. A comparative investigation was carried out between this novel process (AC/DC composite 1 kHz pulsed welding) and conventional methods (AC pulsed, AC/DC pulsed) [...] Read more.
To mitigate welding defects and optimize the microstructure of aluminum alloys, this study introduces a multi-pulse hybrid arc welding process. A comparative investigation was carried out between this novel process (AC/DC composite 1 kHz pulsed welding) and conventional methods (AC pulsed, AC/DC pulsed) during wire-fed overlay welding of 6061 aluminum alloy. Analyses were conducted on electrical signals, arc morphology, joint microstructure, and hardness. The results indicate that the AC/DC hybrid 1 kHz pulsed process combines the characteristics of both AC and DC pulsed signals with full-cross-section frequency pulse superposition, thereby optimizing arc welding process control. The frequency pulses induce a magnetoelectric effect, leading to significant arc constriction, which enhances arc energy density and arc pressure. This intensifies the fluid flow in the molten pool and accelerates cooling, thereby suppressing the growth of columnar grains and promoting the formation of fine equiaxed grains and an increased proportion of high-angle grain boundaries. Meanwhile, this process effectively reduces the number, area fraction, and overall porosity, and facilitates the distribution of a large amount of Al–Si eutectic structure along grain boundaries, enhancing the impediment to dislocation motion. The microstructural optimization significantly improves the hardness at the weld center to 73.1 HV, leading to enhanced mechanical properties. Full article
(This article belongs to the Special Issue Processing, Microstructure and Properties of Aluminium Alloys)
Show Figures

Figure 1

21 pages, 8710 KB  
Article
The Impact of Ce on the Microstructure and Properties of Weld Metal in Corrosion-Resistant Steel
by Yuwei Wang, Jun Qiu, Qiuming Wang and Qingfeng Wang
Metals 2025, 15(12), 1289; https://doi.org/10.3390/met15121289 - 25 Nov 2025
Viewed by 288
Abstract
In this study, two types of submerged arc welding (SAW) wires were prepared—one without cerium (Ce) and another containing 0.14 wt.% Ce. Deposition experiments were carried out on corrosion-resistant crude oil storage tank steel plates using a multi-layer, multi-pass welding process. Through a [...] Read more.
In this study, two types of submerged arc welding (SAW) wires were prepared—one without cerium (Ce) and another containing 0.14 wt.% Ce. Deposition experiments were carried out on corrosion-resistant crude oil storage tank steel plates using a multi-layer, multi-pass welding process. Through a combination of microstructural characterization techniques, including optical microscopy (OM), scanning electron microscopy (SEM), energy-dispersive spectroscopy (EDS), electron backscatter diffraction (EBSD), and transmission electron microscopy (TEM), along with mechanical property testing, a systematic investigation was conducted to evaluate the influence of Ce on the weld metal microstructure and its impact toughness at −20 °C. The results reveal that Ce introduced via the welding wire into the weld seam refines and disperses inclusions, leading to the formation of composite inclusions primarily composed of Ce2O3, Ce2O2S, and CeS. These Ce-enriched inclusions serve as heterogeneous nucleation sites, increasing the area fraction of acicular ferrite (AF) within the weld columnar grain region from 52% to 83%, and within the heat-affected zone from 20% to 37%. Correspondingly, the proportions of blocky and polygonal ferrite decrease, while the size of martensite/austenite (M/A) constituents is reduced. The addition of Ce thus diminishes the size of hard phase inclusions and M/A constituents in the weld metal, enhancing the critical fracture stress and increasing the energy required for crack initiation. Meanwhile, the higher proportion of AF elevates the density of high-angle grain boundaries, thereby improving crack propagation resistance. These combined effects raise the −20 °C impact energy of the weld metal from 117 J to 197 J. Full article
Show Figures

Figure 1

Back to TopTop