Sign in to use this feature.

Years

Between: -

Subjects

remove_circle_outline
remove_circle_outline
remove_circle_outline
remove_circle_outline
remove_circle_outline
remove_circle_outline
remove_circle_outline
remove_circle_outline
remove_circle_outline

Journals

remove_circle_outline
remove_circle_outline
remove_circle_outline
remove_circle_outline
remove_circle_outline
remove_circle_outline

Article Types

Countries / Regions

remove_circle_outline
remove_circle_outline
remove_circle_outline
remove_circle_outline

Search Results (718)

Search Parameters:
Keywords = wing optimization

Order results
Result details
Results per page
Select all
Export citation of selected articles as:
38 pages, 7794 KB  
Article
Design and Performance Study of Small Multirotor UAVs with Adjunctive Folding-Wing Range Extender
by Ronghao Zhang, Yang Lu, Xice Xu, Heyang Zhang and Kai Guan
Drones 2025, 9(12), 877; https://doi.org/10.3390/drones9120877 - 18 Dec 2025
Abstract
Small multi-rotor UAVs face endurance limitations during long-range missions due to high rotor energy consumption and limited battery capacity. This paper proposes a folding-wing range extender integrating a sliding-rotating two-degree-of-freedom folding wing—which, when deployed, quadruples the fuselage length yet folds within its profile—and [...] Read more.
Small multi-rotor UAVs face endurance limitations during long-range missions due to high rotor energy consumption and limited battery capacity. This paper proposes a folding-wing range extender integrating a sliding-rotating two-degree-of-freedom folding wing—which, when deployed, quadruples the fuselage length yet folds within its profile—and a tail-thrust propeller. The device can be rapidly installed on host small multi-rotor UAVs. During cruise, it utilizes wing unloading and incoming horizontal airflow to reduce rotor power consumption, significantly extending range while minimally impacting portability, operational convenience, and maneuverability. To evaluate its performance, a 1-kg-class quadrotor test platform and matching folding-wing extender were developed. An energy consumption model was established using Blade Element Momentum Theory, followed by simulation analysis of three flight conditions. Results show that after installation, the required rotor power decreases substantially with increasing speed, while total system power growth slows noticeably. Although the added weight and drag increase low-speed power consumption, net range extension emerges near 15 m/s and intensifies with speed. Subsequent parametric sensitivity analysis and mission profile analysis indicate that weight reduction and aerodynamic optimization can effectively enhance the device’s performance. Furthermore, computational fluid dynamics (CFD) analysis confirms the effectiveness of the dihedral wing design in mitigating mutual interference between the rotor and the wing. Flight tests covering five conditions validated the extender’s effectiveness, demonstrating at 20 m/s cruise: 20% reduction in total power, 25% improvement in endurance/range, 34% lower specific power, and 52% higher equivalent lift-to-drag ratio compared to the baseline UAV. Full article
(This article belongs to the Section Drone Design and Development)
Show Figures

Figure 1

9 pages, 1157 KB  
Proceeding Paper
Reduction in the Estimation Error in Load Inversion Problems: Application to an Aerostructure
by George Panou, Sotiris G. Panagiotopoulos and Konstantinos Anyfantis
Eng. Proc. 2025, 119(1), 15; https://doi.org/10.3390/engproc2025119015 - 15 Dec 2025
Viewed by 94
Abstract
The present work focuses on the inverse identification of loads acting on wing-like geometries, through strain measurements. These loads are considered quasi-static and considered acting at discrete stations across the span of the wing. A demonstrative case study is investigated, focusing on a [...] Read more.
The present work focuses on the inverse identification of loads acting on wing-like geometries, through strain measurements. These loads are considered quasi-static and considered acting at discrete stations across the span of the wing. A demonstrative case study is investigated, focusing on a complex composite structure, an Unmanned Aerial Vehicle (UAV) fin. To achieve this, a high-fidelity Finite Element model is developed, with “virtual” strain data generated through simulations. The technical challenge of optimal sensor placement is addressed with D-optimal designs, which promise sensor networks (sensor locations and strain components) that produce minimal uncertainty propagation from strain measurements to load estimates. These designs are obtained through the implementation of Genetic Algorithms. Different sensor networks with an increasing number of sensors are evaluated in order to identify a further reduction in epistemic uncertainty posed by the problem’s ill-conditioned nature. Full article
Show Figures

Figure 1

31 pages, 2903 KB  
Article
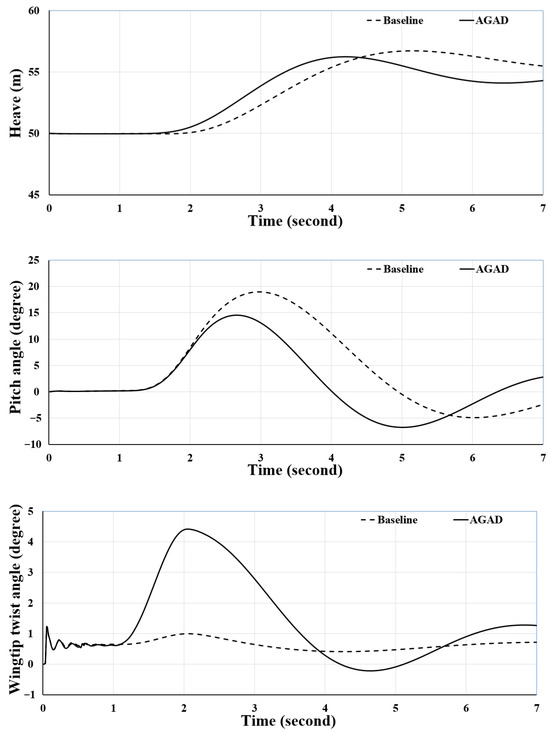
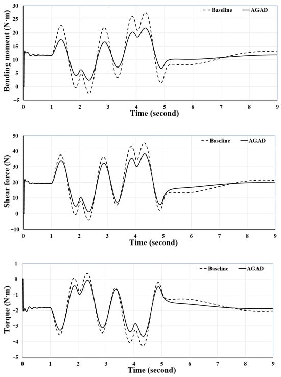
Optimal Control of a Small Flexible Aircraft Using an Active Gust Alleviation Device
by Yanxuan Wu, Yifan Fu, Hao Li, Xudong Luo and Haonan Sun
Mathematics 2025, 13(24), 3986; https://doi.org/10.3390/math13243986 - 14 Dec 2025
Viewed by 103
Abstract
Small flexible-wing aircraft are vulnerable to gusts due to their low inertia and operating regime at low-Reynolds-number regimes, compromising flight stability and mission reliability. This paper introduces a novel active gust alleviation device (AGAD) installed at the wingtip, which works in concert with [...] Read more.
Small flexible-wing aircraft are vulnerable to gusts due to their low inertia and operating regime at low-Reynolds-number regimes, compromising flight stability and mission reliability. This paper introduces a novel active gust alleviation device (AGAD) installed at the wingtip, which works in concert with the conventional tail-plane to form a multi-surface control system. To coordinate these surfaces optimally, a quasi-static aeroelastic aircraft model is established, and a linear–quadratic regulator (LQR) controller is designed. A key innovation is the integration of an extended state observer (ESO) to estimate the unmeasurable, gust-induced angle of attack in real time, allowing the LQR to effectively counteract unsteady disturbances. Comparative simulations against a baseline (tail-plane-only control) demonstrate the superiority of the combined AGAD-tail strategy: the peak gust responses in pitch angle and normal acceleration are reduced by over 57% and 20%, respectively, while structural loads at the wing root are also significantly attenuated. Furthermore, the AGAD enhances maneuverability, reducing climb time by 20% during a specified maneuver. This study confirms that the integrated AGAD and LQR-ESO framework provides a practical and effective solution for enhancing both the stability and agility of small flexible aircraft in gusty environments, with direct benefits for applications like precision inspection and monitoring. Full article
Show Figures

Figure 1

22 pages, 3283 KB  
Article
Sensitivity Analysis and Optimization of High-Aspect-Ratio Wings with Respect to Mass and Stiffness Distributions
by Eisuke Nakagawa, Natsuki Tsushima, Takahira Aoki and Tomohiro Yokozeki
Aerospace 2025, 12(12), 1090; https://doi.org/10.3390/aerospace12121090 - 8 Dec 2025
Viewed by 196
Abstract
High-aspect-ratio wings improve aerodynamic efficiency but suffer from greater gust-induced loads, requiring innovative design methods for gust load alleviation (GLA). This study develops a reduced-order aeroelastic model to enable efficient sensitivity analysis and optimization of structural properties for passive GLA in the early [...] Read more.
High-aspect-ratio wings improve aerodynamic efficiency but suffer from greater gust-induced loads, requiring innovative design methods for gust load alleviation (GLA). This study develops a reduced-order aeroelastic model to enable efficient sensitivity analysis and optimization of structural properties for passive GLA in the early design stage. A beam-based structural model was coupled with unsteady potential-flow aerodynamics in the frequency domain. The formulation, implemented in JAX, exploits automatic differentiation (AD) to compute gradients of gust responses with respect to spanwise mass and stiffness distributions. Validation was performed against MSC Nastran results. The model reproduced static and dynamic aeroelastic responses within ~10% error rate compared to MSC Nastran. Sensitivity analyses revealed that the influence of structural properties strongly depends on the chosen objective function, with mass and elastic axis location showing notable but sometimes conflicting trends. Gradient-based optimization demonstrated improved load alleviation but highlighted risks of overfitting to specific gust profiles. The proposed framework enables scalable, differentiable optimization of gust responses, bridging microstructural design and aeroelastic performance. These findings indicate that the proposed differentiable framework constitutes a valuable methodology for early-stage design, offering an efficient means to couple aeroelastic performance with structural optimization. Full article
(This article belongs to the Section Aeronautics)
Show Figures

Figure 1

21 pages, 10508 KB  
Article
Global Aero-Structural Optimization of Composite Forward-Swept Wings Considering Natural Laminar Flow
by Kai Wang, Xiaoguang Wang, Xiujie Han, Bo Xiao, Zhiyuan Shan, Jie Ding and Tao Wu
Aerospace 2025, 12(12), 1076; https://doi.org/10.3390/aerospace12121076 - 2 Dec 2025
Viewed by 113
Abstract
Forward-swept wings are more suitable for natural laminar flow than backward-swept wings. However, in order to reduce the difficulty of optimization, most aero-structural optimization studies of forward-swept wings do not consider the automatic laminar–turbulent transition, discrete variables, or large-scale constraints, which may result [...] Read more.
Forward-swept wings are more suitable for natural laminar flow than backward-swept wings. However, in order to reduce the difficulty of optimization, most aero-structural optimization studies of forward-swept wings do not consider the automatic laminar–turbulent transition, discrete variables, or large-scale constraints, which may result in undesirable optimization results. In this article, an efficient aero-structural optimization method for the composite forward-swept natural laminar flow (FSNLF) wing is proposed, which can solve MDO problems with those issues. Reynolds-averaged Navier–Stokes (RANS) equations coupled with the dual eN transition method are used to simulate subsonic viscous flows. A surrogate-based optimization (SBO) algorithm combining a discrete variable handling method is developed to solve the multidisciplinary design optimization (MDO) problem involving many discrete ply thickness variables of predefined angles (0°/±45°/90°). The Kreisselmeier–Steinhauser (KS) method is employed to handle large-scale geometric constraints, ply fraction constraints and material failure constraints. To verify the effectiveness of the proposed method, we perform the aero-structural optimization of an A320-class composite FSNLF wing. Results show that the proposed method offers great potential in the aero-structural optimization of the composite FSNLF wing. It can handle 32 discrete variables and 11,089 constraints, the drag coefficient and mass of the wing are reduced significantly, and the area of the laminar flow region on the wing upper surface is increased by 24.3% compared with the baseline. Full article
Show Figures

Figure 1

20 pages, 2356 KB  
Article
Effects of 2,2′-Azobis(2-amidinopropane) dihydrochloride (AAPH) on Functional Properties and Structure of Winged Bean Protein
by Wei Fang, Jianglin Li, Zhaoxia Qu, Jiabin Hu, Dongming Chen and Xingjian Huang
Foods 2025, 14(23), 4120; https://doi.org/10.3390/foods14234120 - 1 Dec 2025
Viewed by 358
Abstract
Background: The impact and regulation of protein oxidative modification on protein functional properties is a research hotspot in food processing. This study aimed to clarify the mechanism of free radical oxidation on the structure and function of winged bean protein. Methods: Winged bean [...] Read more.
Background: The impact and regulation of protein oxidative modification on protein functional properties is a research hotspot in food processing. This study aimed to clarify the mechanism of free radical oxidation on the structure and function of winged bean protein. Methods: Winged bean protein was treated with different concentrations of AAPH (0.04 mmol/L, 0.20 mmol/L, 1.00 mmol/L). The functional properties (solubility, surface hydrophobicity, zeta potential), oxidation degree indicators, and secondary and tertiary structures of winged bean protein were tested and characterized under different oxidation conditions. Results: Low-concentration (0.04 mmol/L) AAPH led to the decomposition of winged bean protein, with decreased particle size and increased surface hydrophobicity and solubility; medium-concentration (0.20 mmol/L) AAPH caused significant aggregation of winged bean protein, with decreased surface hydrophobicity and solubility; high-concentration (1.00 mmol/L) AAPH led to the rearrangement of winged bean protein aggregates, forming more soluble aggregates and increasing solubility. With the gradual increase in AAPH addition, the α-helix and random coil structures of winged bean protein showed a trend of first increasing and then decreasing, while the β-sheet structure showed a trend of first decreasing and then increasing, and the β-turn structure remained almost unchanged. Conclusions: Under mild oxidation conditions (AAPH = 0.04 mmol/L), the functional properties of winged bean protein could be optimized. However, under relatively strong oxidation conditions (AAPH > 0.20 mmol/L), the structural integrity and functionality of winged bean protein would be compromised. This study helps deepen our understanding of the oxidative modification mechanism of winged bean protein. Full article
Show Figures

Figure 1

17 pages, 955 KB  
Article
Blanching of Two Commercial Norwegian Brown Algae for Reduction of Iodine and Other Compounds of Importance for Food Safety and Quality
by Maria Stavnes Sletta, Cecilie Bay Wirenfeldt, Maren Sæther, Øystein Arlov, Petra Ložnjak Švarc, Synnøve Strand Jacobsen, Finn Lillelund Aachmann, Håvard Sletta, Susan Løvstad Holdt, Inga Marie Aasen and Turid Rustad
Foods 2025, 14(23), 4113; https://doi.org/10.3390/foods14234113 - 1 Dec 2025
Viewed by 352
Abstract
Two commercially utilized kelp species, winged kelp (Alaria esculenta) and sugar kelp (Saccharina latissima), can accumulate high amounts of iodine and thereby pose a health concern if consumed in excess. Water blanching is used industrially to reduce the iodine [...] Read more.
Two commercially utilized kelp species, winged kelp (Alaria esculenta) and sugar kelp (Saccharina latissima), can accumulate high amounts of iodine and thereby pose a health concern if consumed in excess. Water blanching is used industrially to reduce the iodine content. This study aimed to optimize the blanching conditions to reduce the energy consumption and environmental impact by investigating the parameters of temperature, duration, use of sea or fresh water, biomass-to-water ratio, and recycling of water. The study investigated the impact of the blanching conditions on composition of the biomass, including nutrient content and potential toxic elements. The iodine content was reduced to 5% of the initial content for S. latissima and to 8% for A. esculenta at the optimal conditions in the present study, which was blanching in seawater at 80 °C for 2 min. Using tap water at the same conditions resulted in a reduction to 7 and 11% of the initial content. The content of arsenic in blanched winged kelp was reduced to levels below the maximum allowed content in feed, whereas the content in blanched sugar kelp remained above this level. This study provides a comprehensive set of data on blanching of the two kelp species, with high relevance for the industrial scale-up of kelp processing. Full article
(This article belongs to the Section Food Quality and Safety)
Show Figures

Figure 1

16 pages, 2162 KB  
Article
Parametric FEM-Based Analysis on Adaptive Vein Morphology of Dragonfly Wings Toward Material Efficiency
by Guanqi Zhu, Fred Fialho Teixeira and Paul Loh
Biomimetics 2025, 10(12), 799; https://doi.org/10.3390/biomimetics10120799 - 27 Nov 2025
Viewed by 419
Abstract
This study explores how the morphological adaptations of dragonfly wing veins contribute to structural efficiency and material economy to inspire lightweight architectural design strategies. Through digital modelling and finite element analysis (FEA), six parametric models of wing structures were developed with variations in [...] Read more.
This study explores how the morphological adaptations of dragonfly wing veins contribute to structural efficiency and material economy to inspire lightweight architectural design strategies. Through digital modelling and finite element analysis (FEA), six parametric models of wing structures were developed with variations in their vein diameter, cross-sectional profile, and thickness. Implemented through parametric software, these models were analyzed under simulated loading conditions to assess their structural performance. The results demonstrate that hollow, tapering, and adaptively shaped veins can reduce material weight by up to 80% while maintaining structural integrity. The highest material efficiency was observed in models incorporating both diameter and thickness variation, validating the role of adaptive morphology in response to local stress. These findings provide a quantifiable foundation for translating the biomimetic principles of dragonfly wings into a structural optimization algorithm and open pathways for their application in lightweight cantilevered structural design. Full article
(This article belongs to the Special Issue Functional Morphology and Biomimetics: Learning from Insects)
Show Figures

Figure 1

13 pages, 811 KB  
Article
Communication-Constrained UAV Pickup and Delivery for Continuous Operations
by Jun-Pyo Hong, Jaeho Im, Joon-Seok Kim, Kyeongjun Ko and Seung-Chan Lim
Electronics 2025, 14(23), 4638; https://doi.org/10.3390/electronics14234638 - 25 Nov 2025
Viewed by 246
Abstract
This paper investigates a communication-constrained unmanned aerial vehicle (UAV) pickup and delivery system for continuous multi-period operations. To ensure real-time control updates between UAVs and the ground server, a minimum communication rate requirement is imposed throughout each mission. The objective is to minimize [...] Read more.
This paper investigates a communication-constrained unmanned aerial vehicle (UAV) pickup and delivery system for continuous multi-period operations. To ensure real-time control updates between UAVs and the ground server, a minimum communication rate requirement is imposed throughout each mission. The objective is to minimize the average mission completion time of multiple rotary-wing UAVs while satisfying mobility, payload, safety, and communication constraints. The resulting mixed-integer nonlinear programming problem, involving binary pickup/drop-off decisions, trajectories, and variable time-slot durations, is mathematically intractable. To address this, a successive convex approximation framework combined with a penalty convex–concave procedure is developed, enabling iterative convex reformulation and convergence to a near-optimal binary-feasible solution. Simulation results demonstrate that the proposed algorithm efficiently generates collision-free trajectories and adaptive flight paths that maintain reliable communication links, outperforming baseline strategies in terms of completion time and coordination efficiency under communication constraints. Full article
(This article belongs to the Special Issue Edge-Intelligent Sustainable Cyber-Physical Systems)
Show Figures

Figure 1

29 pages, 5606 KB  
Article
Robust Offshore Wind Speed Forecasting via Quantum-Oppositional BKA-Optimized Adaptive Neuro-Fuzzy Inference System and Adaptive VMD Denoising
by Yingjie Liu and Fahui Miao
J. Mar. Sci. Eng. 2025, 13(12), 2229; https://doi.org/10.3390/jmse13122229 - 22 Nov 2025
Viewed by 212
Abstract
Accurate offshore wind speed forecasting is crucial for ensuring stable energy production and safe offshore operations. However, the strong nonlinearity, non-stationarity, and chaotic behavior of offshore wind speed series make precise prediction extremely difficult. To overcome these difficulties, a two-stage synergistic prediction framework [...] Read more.
Accurate offshore wind speed forecasting is crucial for ensuring stable energy production and safe offshore operations. However, the strong nonlinearity, non-stationarity, and chaotic behavior of offshore wind speed series make precise prediction extremely difficult. To overcome these difficulties, a two-stage synergistic prediction framework is proposed. In the first stage, a multi-strategy Black-winged Kite Algorithm (MBKA) is designed, incorporating quantum population initialization, improved migration behavior, and oppositional–mutual learning to reinforce global optimization performance under complex coastal conditions. On this basis, an entropy-driven adaptive Variational Mode Decomposition (VMD) method is implemented, where MBKA optimizes decomposition parameters using envelope entropy as the objective function, thereby improving decomposition robustness and mitigating parameter sensitivity. In the second stage, the denoised intrinsic mode functions are used to train an adaptive Neuro-Fuzzy Inference System (ANFIS), whose membership function parameters are optimized by MBKA to enhance nonlinear modeling capability and prediction generalization. Finally, the proposed framework is evaluated using offshore wind speed data from two coastal regions in Shanghai and Fujian, China. Experimental comparisons with multiple state-of-the-art models demonstrate that the MBKA–VMD–ANFIS framework yields notable performance improvements, reducing RMSE by 57.14% and 30.68% for the Fujian and Shanghai datasets, respectively. These results confirm the effectiveness of the proposed method in delivering superior accuracy and robustness for offshore wind speed forecasting. Full article
(This article belongs to the Section Marine Energy)
Show Figures

Figure 1

15 pages, 1121 KB  
Article
Comprehensive Assessment of Silver Bioaccumulation and DNA Damage Effects in Coturnix coturnix japonica via Blood, Feather, and Egg Using Two Different Sources
by Hanan Al-Khalaifah, Nudrat Fatima, Shabana Naz, Babar Maqbool, Rifat Ullah Khan, Ankqash Ayyub, Muhammad Usama, Swaira Ashfaq, Hifza Shehzadi, Sania Satti, Ala Abudabos and Ibrahim A. Alhidary
Animals 2025, 15(23), 3370; https://doi.org/10.3390/ani15233370 - 21 Nov 2025
Viewed by 332
Abstract
This study examined the effects of Ag-NPs and AgNO3 on silver accumulation in the blood, feathers, eggshells, and egg contents of Japanese quails, as well as their potential to cause DNA damage. A total of 480 (fourteen-day-old) quails were divided into five [...] Read more.
This study examined the effects of Ag-NPs and AgNO3 on silver accumulation in the blood, feathers, eggshells, and egg contents of Japanese quails, as well as their potential to cause DNA damage. A total of 480 (fourteen-day-old) quails were divided into five groups of 96 birds each, arranged into six replicates of sixteen birds with a sex ratio of four males to twelve females. Birds were housed in cages measuring 120 × 60 × 50 cm, and the trial lasted for 65 days. At the end of the trial, six birds per replicate (36 birds per group) were randomly selected and slaughtered for sample collection. Blood was collected via wing vein puncture, feathers were plucked from the breast region, and eggs were collected daily for analysis of eggshell and internal contents. The first group served as a control and was fed a basal diet, while the second and third groups received Ag-NPs at doses of 10 mg/kg and 20 mg/kg, respectively. The fourth and fifth groups were given AgNO3 at the same concentrations. The results showed that the highest silver accumulation occurred in all tissues in quails fed the higher dose of Ag-NPs. The greatest accumulation was observed in the eggshells, likely due to their porous structure, which facilitates metal deposition. Both Ag-NPs (20 mg/kg) and AgNO3 (10 and 20 mg/kg) induced DNA damage, although the damage was more severe in the groups exposed to Ag-NO3. A positive correlation was observed between treatment groups and comet assay parameters, indicating increased DNA fragmentation in exposed birds. In conclusion, the study demonstrated that although Ag-NPs resulted in higher silver accumulation, they caused less DNA damage compared to silver nitrate. These findings highlight that nanoparticulate silver may present a less genotoxic alternative to ionic silver forms for use in poultry systems. Future studies should focus on long-term exposure effects, molecular pathways of oxidative stress and DNA repair, and the safe threshold levels of Ag-NPs to optimize their use in animal nutrition. Full article
(This article belongs to the Collection Nanotechnology in Animal Science)
Show Figures

Figure 1

23 pages, 7435 KB  
Article
Composite Biomimetic Multi-Subsoiler for Drag Reduction and Wear Resistance Simulation and Experimental Validation
by Xiaoyang Wang, Jinguang Li, Junyan Liu, Le Yang, Fancheng Dai, Chanjuan Long and Lijun Zhao
Biomimetics 2025, 10(12), 793; https://doi.org/10.3390/biomimetics10120793 - 21 Nov 2025
Viewed by 461
Abstract
In the process of operating subsoiling implements on sloping red soil in Southwest China, the subsoiler tip faces significant challenges due to strong soil adhesion and severe compaction. By employing engineering bionics, integrating bionic geometric structures and surfaces, this study focuses on the [...] Read more.
In the process of operating subsoiling implements on sloping red soil in Southwest China, the subsoiler tip faces significant challenges due to strong soil adhesion and severe compaction. By employing engineering bionics, integrating bionic geometric structures and surfaces, this study focuses on the subsoiler tip and designs four types of bionic geometric surface structures: bionic convex hull, bionic micro-spike convex hull, bionic scales, and bionic micro-spike scales. Finite element force analysis and discrete element simulation experiments reveal that bionic surfaces and geometric structures exhibit significant advantages in terms of total deformation, equivalent elastic strain, and stress. These structures are less prone to deformation and fracture under loads, demonstrating a stronger bearing capacity. A discrete element simulation analysis indicates interference phenomena among the subsoilers during multi-subsoiler operations. Based on bionic multi-subsoiler implements, optimized designs were developed through discrete element simulations and soil bin tests. The optimized bionic multi-subsoiler implement features a micro-spike convex hull surface, with micro-spike scale surfaces arranged equidistantly along the edge corners of the shovel face: six on each side wing and three in the middle. The optimal operating parameters were a subsoiling speed of 1.25 m/s, an entry angle of 23.917°, and an entry depth of 280.167 mm. The relative errors between the simulated and experimental values for the soil looseness and soil disturbance coefficients were 19.7% and 18.1%, respectively. The soil bin test results showed soil looseness and soil disturbance coefficients of 19.5% and 17.6%, respectively. At this point, the resistance reduction and wear resistance performance were optimal. This study proposes a bionic design approach for reducing resistance and enhancing wear resistance during the subsoiling process in the viscous red soil of Southwest China, providing a reference for the design and development of new equipment for working in this soil environment. This study is the first to implement a composite biomimetic surface—combining crayfish-like micro-spike convex hulls and sandfish-like micro-scale scales—on multi-shank subsoiler tips, and to validate it using FEA, DEM, and soil tank testing. Under an optimized configuration and operating conditions, the mean particle disturbance velocity increased from 1.52 m/s to 2.399 m/s (+57.8%), and the simulation/experiment relative errors for the soil loosening and disturbance coefficients were approximately 1.03% and 2.84%, respectively. These results demonstrate an engineering-acceptable trade-off between disturbance efficiency and wear resistance and indicate a clear potential for industrial application. Full article
(This article belongs to the Section Biomimetic Design, Constructions and Devices)
Show Figures

Figure 1

18 pages, 5815 KB  
Article
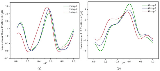
Dual-Objective Pareto Optimization Method of Flapping Hydrofoil Propulsion Performance Based on MLP and Double DQN
by Jingling Zhang, Xuchen Qiu, Wenyu Chen, Ertian Hua and Yajie Shen
Water 2025, 17(22), 3290; https://doi.org/10.3390/w17223290 - 18 Nov 2025
Viewed by 353
Abstract
To address the inherent complexities of underwater operating environments and achieve the design of a highly efficient, energy-saving flapping hydrofoil, this paper proposes an intelligent agent-based model for real-time parametric optimization. A non-parametric surrogate model based on a Multilayer Perceptron (MLP) is established [...] Read more.
To address the inherent complexities of underwater operating environments and achieve the design of a highly efficient, energy-saving flapping hydrofoil, this paper proposes an intelligent agent-based model for real-time parametric optimization. A non-parametric surrogate model based on a Multilayer Perceptron (MLP) is established using data samples of multi-dimensional flapping hydrofoil geometric parameters obtained through Computational Fluid Dynamics (CFD) simulations. An improved Double Deep Q-Network (DDQN) algorithm incorporating Pareto frontier information is deployed within the surrogate model to obtain the Pareto optimal solution set for propulsion efficiency and average input power, and a set of propulsion parameter combinations with error ranges between 0.24% and 1.27% across continuous intervals was obtained. Experimental results demonstrate that the proposed MLP-DDQN method is capable of learning the domain-wide optimal solution within the experimental environment, satisfying the Pareto optimality between propulsion efficiency and average input power. Further analysis of the flow field around the flapping hydrofoil under the obtained optimal parameter combination revealed that the presence of stable and continuously attached vortex structures on the wing surface is the intrinsic mechanism responsible for its superior propulsion performance. Full article
Show Figures

Figure 1

28 pages, 5368 KB  
Article
Dynamic Estimation of Formation Wake Flow Fields Based on On-Board Sensing
by Tianhui Guo, Tielin Ma, Haiqiao Liu, Jingcheng Fu, Bingchen Cheng and Lulu Tao
Drones 2025, 9(11), 798; https://doi.org/10.3390/drones9110798 - 17 Nov 2025
Viewed by 482
Abstract
Close formation flight is a practical strategy for fixed-wing unmanned aerial vehicle (UAV) swarms. Maintaining UAVs at aerodynamically optimal positions is essential for efficient formation flight. However, aerodynamic optimization methods based on computational fluid dynamics (CFD) are computationally intensive and difficult to apply [...] Read more.
Close formation flight is a practical strategy for fixed-wing unmanned aerial vehicle (UAV) swarms. Maintaining UAVs at aerodynamically optimal positions is essential for efficient formation flight. However, aerodynamic optimization methods based on computational fluid dynamics (CFD) are computationally intensive and difficult to apply in real time for large-scale formations. Inspired by bio-formation flight, this study proposes an on-board sensing-based method for wake flow field estimation, with potential for extension to complex formations. The method is based on a parameter identification-induced velocity model (PI-Model), which uses only onboard sensors, including two lateral air data systems (ADS), to sample the wake field. By minimizing the residual of the induced velocity, the model identifies key parameters of the wake and provides a dynamic estimation of the wake velocity field. Comparisons between the PI-Model and CFD simulations show that it achieves higher accuracy than the widely used single horseshoe vortex model in both wake velocity and aerodynamic effects. Applied to a two-UAV formation scenario, CFD validation confirms that the trailing UAV achieves a 15–25% drag reduction. These results verify the effectiveness of the proposed method for formation flight and demonstrate its potential for application in complex, dynamic multi-UAV formations. Full article
Show Figures

Figure 1

26 pages, 1764 KB  
Article
IBKA-MSM: A Novel Multimodal Fake News Detection Model Based on Improved Swarm Intelligence Optimization Algorithm, Loop-Verified Semantic Alignment and Confidence-Aware Fusion
by Guangyu Mu, Jiaxiu Dai, Chengguo Li and Jiaxue Li
Biomimetics 2025, 10(11), 782; https://doi.org/10.3390/biomimetics10110782 - 17 Nov 2025
Viewed by 687
Abstract
With the proliferation of social media platforms, misinformation has evolved toward more diverse modalities and complex cross-semantic correlations. Accurately detecting such content, particularly under conditions of semantic inconsistency and uneven modality dependency, remains a critical challenge. To address this issue, we propose a [...] Read more.
With the proliferation of social media platforms, misinformation has evolved toward more diverse modalities and complex cross-semantic correlations. Accurately detecting such content, particularly under conditions of semantic inconsistency and uneven modality dependency, remains a critical challenge. To address this issue, we propose a multimodal semantic representation framework named IBKA-MSM, which integrates swarm-intelligence-based optimization with deep neural modeling. The framework first employs an Improved Black-Winged Kite Algorithm (IBKA) for discriminative feature selection, incorporating adaptive step-size control, an elite-memory mechanism enhanced by opposition perturbation, Gaussian-based local exploitation, and population diversity regulation through reinitialization. In addition, a Modality-Generated Loop Verification (MGLV) mechanism is designed to enhance semantic alignment, and a Semantic Confidence Matrix with Modality-Coupled Interaction (SCM-MCI) is introduced to achieve adaptive multimodal fusion. Experimental results demonstrate that IBKA-MSM achieves an accuracy of 95.80%, outperforming mainstream hybrid models. The F1 score is improved by approximately 2.8% compared to PSO and by 1.6% compared to BKA, validating the robustness and strong capability of the proposed framework in maintaining multimodal semantic consistency for fake news detection. Full article
(This article belongs to the Special Issue Advances in Biological and Bio-Inspired Algorithms)
Show Figures

Figure 1

Back to TopTop