Sign in to use this feature.

Years

Between: -

Subjects

remove_circle_outline
remove_circle_outline
remove_circle_outline
remove_circle_outline
remove_circle_outline
remove_circle_outline
remove_circle_outline
remove_circle_outline
remove_circle_outline

Journals

Article Types

Countries / Regions

Search Results (12)

Search Parameters:
Keywords = wine box base

Order results
Result details
Results per page
Select all
Export citation of selected articles as:
19 pages, 1546 KB  
Article
Optimization of Plum Wine Brewing Process and Effects of Different Clarifying Agents on Its Quality and Stability
by Juan Chen, Sijie Zhu, Jia Deng, Hongmin Li, Lu Fang, Xin Hu, Xueting Zhang and Xudong Liu
Foods 2025, 14(18), 3214; https://doi.org/10.3390/foods14183214 - 16 Sep 2025
Cited by 2 | Viewed by 1742
Abstract
Traditional plum wine brewing mostly relies on experience, with problems such as lack of standardized production parameters and easy formation of sediment after fermentation. This study systematically optimized the key production processes. Based on the results of a single-factor experiment, the Box–Behnken design [...] Read more.
Traditional plum wine brewing mostly relies on experience, with problems such as lack of standardized production parameters and easy formation of sediment after fermentation. This study systematically optimized the key production processes. Based on the results of a single-factor experiment, the Box–Behnken design of the response surface method (RSM) was employed to determine the optimal fermentation parameters, which included a fermentation temperature of 31 °C, fermentation duration of 12 days, yeast inoculation rate of 0.86%, initial pH of 3.5, and sugar content of 28.5%. Under these conditions, the alcohol content reached 13.7%vol. On this basis, emphasis was placed on evaluating the effects of various clarification techniques (clarifying agents, heat treatment, membrane filtration, static clarification at different temperatures) on optimized base wine clarity, stability and quality. The results showed that chitosan exhibited excellent overall performance, not only obtaining the highest light transmittance (89.8%) but also the best effect in enhancing the iron stability (88.6%) and oxidative stability (88.9%) of the wine. Additionally, while membrane filtration, heat treatment, and freezing treatment all served to clarify and stabilize the wine, they significantly reduced the polyphenol content, thereby diminishing the wine’s quality. Therefore, the clarification process needs to be selected in practical production by considering the clarification effect and functional ingredient retention in conjunction with the production cost. This study provides key process parameters for the production of high-quality plum wine and theoretical guidance for reductions in sediment formation. Full article
(This article belongs to the Section Drinks and Liquid Nutrition)
Show Figures

Figure 1

19 pages, 3481 KB  
Article
Holocellulose from a Winemaking By-Product to Develop a Biopolymeric System for Bacterial Immobilization: Adsorption of Ochratoxin A in Wine Model Solutions (Box–Behnken Design)
by Verónica Carrasco-Sánchez, V. Felipe Laurie, Marcelo Muñoz-Vera and Ricardo Ignacio Castro
Toxins 2025, 17(1), 26; https://doi.org/10.3390/toxins17010026 - 6 Jan 2025
Cited by 1 | Viewed by 1789
Abstract
Significant agro-industrial waste is produced during the winemaking process, including grape stalks, which are a rich source of the valuable biopolymer holocellulose that can be utilized for biotechnological processes. The purpose of this study was to delignify grape stalks in order to extract [...] Read more.
Significant agro-industrial waste is produced during the winemaking process, including grape stalks, which are a rich source of the valuable biopolymer holocellulose that can be utilized for biotechnological processes. The purpose of this study was to delignify grape stalks in order to extract holocellulose. Then Lactobacillus plantarum (LP) was immobilized in the interstitial spaces of holocellulose and then coated with natural polymers (chitosan, Ch; and alginate, Al) to create the Holo-LP/Ch/Al complex. A physicochemical analysis of the system revealed strong bacterial immobilization and stability. The efficiency of the complex in adsorbing ochratoxin A (OTA) from wine model solutions was assessed using a Box–Behnken design under various pH, time, and concentration conditions. The results showed that at pH 3.0, 75.39 min, and a complex concentration of 43.82 mg mL−1, the best OTA removal (53.68%) took place. Because of its physicochemical interactions, the complex showed improved OTA adsorption in acidic environments. This study demonstrates the potential of biopolymeric systems based on holocellulose for reducing mycotoxin contamination in beverages and stabilizing bacterial cells. These results offer a viable way to increase food safety and value winemaking by-products. Full article
(This article belongs to the Special Issue Mitigation and Detoxification Strategies of Mycotoxins)
Show Figures

Figure 1

18 pages, 7516 KB  
Article
Parameter Calibration of Discrete Element Model of Wine Lees Particles
by Xiaoyuan Zhang, Rui Wang, Baoan Wang, Jie Chen and Xiaoguo Wang
Appl. Sci. 2024, 14(12), 5281; https://doi.org/10.3390/app14125281 - 18 Jun 2024
Cited by 5 | Viewed by 1423
Abstract
In order to investigate the contact characteristics of the mechanical parts of the brewing robot with wine lees particles, it is essential to calibrate the parameters of the discrete elemental model of wine lees particles. This paper proposes a method based on tests [...] Read more.
In order to investigate the contact characteristics of the mechanical parts of the brewing robot with wine lees particles, it is essential to calibrate the parameters of the discrete elemental model of wine lees particles. This paper proposes a method based on tests of the angle of repose. The simulation test is conducted to establish a regression model and combined with physical tests to find optimization. The contact model used in simulation modeling is Hertz-Mindlin with Johnson-Kendall-Roberts. Not all discrete element model parameters of wine lees particles have a significant impact on the angle of repose, so screening through Plackett-Burman Design is performed. The results indicate that the restitution coefficient between wine lees particles and restitution coefficient between wine lees particle and steel plate have a significant impact on angle of repose. Additionally, another parameter that is difficult to obtain, namely surface energy (JKR), also plays a crucial role. The optimal value interval for these three parameters is determined by the steepest ascent test, and a linear regression model for angle of repose is built through Box-Behnken Design. The optimal values obtained are as follows: restitution coefficient between wine lees particles—0.603; restitution coefficient between wine lees particle and steel plate—0.595; JKR—0.083. Finally, in order to verify the accuracy of calibrated parameters, simulation verification tests are carried out which show that there is only a relative error rate at 0.18% between simulated angle of repose and actual angle of repose, indicating that accurate calibration parameters were achieved. This study can provide reference for selecting discrete element model parameters for wine lees particles in future research endeavors. Full article
(This article belongs to the Special Issue Chemical and Physical Properties in Food Processing)
Show Figures

Figure 1

20 pages, 1602 KB  
Article
Enhancing Anthocyanin Extraction from Wine Lees: A Comprehensive Ultrasound-Assisted Optimization Study
by Marcelo A. Umsza-Guez, Mercedes Vázquez-Espinosa, Nuria Chinchilla, María José Aliaño-González, Carolina Oliveira de Souza, Kodjovi Ayena, Gerardo Fernández Barbero, Miguel Palma and Ceferino Carrera
Antioxidants 2023, 12(12), 2074; https://doi.org/10.3390/antiox12122074 - 5 Dec 2023
Cited by 11 | Viewed by 2829
Abstract
Wine lees, an important by-product of the wine industry, pose a major environmental problem due to the enormous quantities of solid–liquid waste that are discarded annually without defined applications. In this study, the optimization of a method based on a Box–Behnken design with [...] Read more.
Wine lees, an important by-product of the wine industry, pose a major environmental problem due to the enormous quantities of solid–liquid waste that are discarded annually without defined applications. In this study, the optimization of a method based on a Box–Behnken design with surface response has been carried out to obtain extracts with high anthocyanin content and potent antioxidant activity. Six variables have been considered: %EtOH, temperature, amplitude, cycle, pH, and ratio. The developed method exhibited important repeatability properties and intermediate precision, with less than 5% CV being achieved. Furthermore, these novel methods were successfully applied to diverse wine lees samples sourced from Cabernet Sauvignon and Syrah varieties (Vitis vinifera), resulting in extracts enriched with significant anthocyanin content and noteworthy antioxidant activity. Additionally, this study evaluated the influence of grape variety, fermentation type (alcoholic or malolactic), and sample treatment on anthocyanin content and antioxidant activity, providing valuable insights for further research and application in various sectors. The potential applications of these high-quality extracts extend beyond the winemaking industry, holding promise for fields like medicine, pharmaceuticals, and nutraceuticals, thus promoting a circular economy and mitigating environmental contamination. Full article
(This article belongs to the Special Issue New Techniques for Extraction, Assay, and Imaging of Antioxidants)
Show Figures

Figure 1

15 pages, 2622 KB  
Article
Use of Plackett–Burman and Box–Behnken Designs to Optimize Bioelectricity Production from Winery Residues
by Rosa Devesa-Rey, Elena Arce, Alberto Cartelle and Andrés Suárez-García
Water 2023, 15(17), 3051; https://doi.org/10.3390/w15173051 - 25 Aug 2023
Cited by 19 | Viewed by 4703
Abstract
This study aimed to estimate the bioelectricity production process using a vinasse solution through the application of Plackett–Burman and Box–Behnken designs. An electrochemical cell was constructed using Arduino to measure the potential difference between an anode and cathode immersed in a vinasse solution, [...] Read more.
This study aimed to estimate the bioelectricity production process using a vinasse solution through the application of Plackett–Burman and Box–Behnken designs. An electrochemical cell was constructed using Arduino to measure the potential difference between an anode and cathode immersed in a vinasse solution, which is a byproduct of wine production containing organic compounds and ions that undergo redox reactions. The Plackett–Burman design identified the most influential variables among eight previously selected (concentration of the electrolyte, pH, temperature, stirring, addition of NaCl, yeast dose and electrode:solution ratio). The results showed that the most influencing variables were the vinasse concentration and stirring and a peak of 306 mV could be observed for a 100 mL experiment. The third most influential variable regarding the process was NaCl addition, which showed its high influence at larger times. Based on these results, the Box–Behnken design was used to determine the possible ranges of variation of the independent variables (vinasse concentration, stirring and NaCl dose) to maximize the bioelectricity production. Therefore, with the combination of the intermediate concentrated vinasse (1:3 v/v ratio) and stirring, a peak of 431.1 mV could be observed when adding 2% NaCl after 15 min of the experiment. In what concerns the instant bioelectricity, measured after 1 min of the experiment, values up to 437.9 mV could be observed although yeast and/or NaCl are necessary at short times. This study provides insights into the bioelectricity production process from vinasse, contributing to the understanding and potential for sustainable energy generation. Full article
(This article belongs to the Special Issue Wastewater and Bioelectricity Generation)
Show Figures

Figure 1

16 pages, 5681 KB  
Article
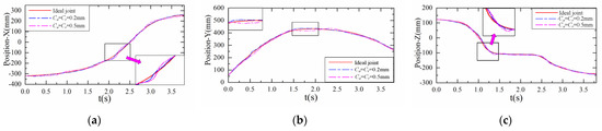
Dynamic Characteristics Analysis of an Assembly Robot for a Wine Box Base Considering Radial and Axial Clearances in a 3D Revolute Joint
by Yuan Wang, Ruiqin Li, Juan Liu, Zengyu Jia and Hailong Liang
Appl. Sci. 2023, 13(4), 2211; https://doi.org/10.3390/app13042211 - 9 Feb 2023
Cited by 5 | Viewed by 2397
Abstract
Precisely fitting the bottom sticker of the wine box base to the base model with glue is an important process of the wine box base production line. The influence of joint clearance in the assembly robot on the assembly precision of wine box [...] Read more.
Precisely fitting the bottom sticker of the wine box base to the base model with glue is an important process of the wine box base production line. The influence of joint clearance in the assembly robot on the assembly precision of wine box bases is investigated. We analyze the axial clearance and radial clearance in a 3D revolute joint of the assembly robot and present 12 possible contact forms between bearings and journals, as well as three modes of free flight mode, continuous contact mode, and pseudo penetration mode between them under the different contact forms. The contact force models of normal and tangential force between bearings and journals are established using the Lankarani–Nikravesh contact model and modified Coulomb friction law, respectively. Taking the joint clearance of one joint of the wine box base assembly robot as an example, the dynamic equations of the joint with clearance are established, and the dynamic characteristics of the robot caused by the joint clearance are analyzed. The results show that, the larger the clearance, the more easily the dynamic characteristics of the robot end effector are influenced. Full article
(This article belongs to the Section Mechanical Engineering)
Show Figures

Figure 1

22 pages, 5032 KB  
Article
Treatment of Winery Wastewater by Combined Almond Skin Coagulant and Sulfate Radicals: Assessment of HSO5 Activators
by Nuno Jorge, Ana R. Teixeira, Lisete Fernandes, Sílvia Afonso, Ivo Oliveira, Berta Gonçalves, Marco S. Lucas and José A. Peres
Int. J. Environ. Res. Public Health 2023, 20(3), 2486; https://doi.org/10.3390/ijerph20032486 - 30 Jan 2023
Cited by 9 | Viewed by 2841
Abstract
The large production of wine and almonds leads to the generation of sub-products, such as winery wastewater (WW) and almond skin. WW is characterized by its high content of recalcitrant organic matter (biodegradability index < 0.30). Therefore, the aim of this work was [...] Read more.
The large production of wine and almonds leads to the generation of sub-products, such as winery wastewater (WW) and almond skin. WW is characterized by its high content of recalcitrant organic matter (biodegradability index < 0.30). Therefore, the aim of this work was to (1) apply the coagulation–flocculation–decantation (CFD) process with an organic coagulant based on almond skin extract (ASE), (2) treat the organic recalcitrant matter through sulfate radical advanced oxidation processes (SR-AOPs) and (3) evaluate the efficiency of combined CFD with UV-A, UV-C and ultrasound (US) reactors. The CFD process was applied with variation in the ASE concentration vs. pH, with results showing a chemical oxygen demand (COD) removal of 61.2% (0.5 g/L ASE, pH = 3.0). After CFD, the germination index (GI) of cucumber and corn seeds was ≥80%; thus, the sludge can be recycled as fertilizer. The SR-AOP initial conditions were achieved by the application of a Box–Behnken response surface methodology, which described the relationship between three independent variables (peroxymonosulfate (PMS) concentration, cobalt (Co2+) concentration and UV-A radiation intensity). Afterwards, the SR-AOPs were optimized by varying the pH, temperature, catalyst type and reagent addition manner. With the application of CFD as a pre-treatment followed by SR-AOP under optimal conditions (pH = 6.0, [PMS] = 5.88 mM, [Co2+] = 5 mM, T = 343 K, reaction time 240 min), the COD removal increased to 85.9, 82.6 and 80.2%, respectively, for UV-A, UV-C and US reactors. All treated wastewater met the Portuguese legislation for discharge in a municipal sewage network (COD ≤ 1000 mg O2/L). As a final remark, the combination of CFD with SR-AOPs is a sustainable, safe and clean strategy for WW treatment and subproduct valorization. Full article
(This article belongs to the Topic Advanced Oxidation Process: Applications and Prospects)
Show Figures

Figure 1

13 pages, 642 KB  
Article
Thinking Inside the Box: A Novel Approach to Smoke Taint Mitigation Trials
by Colleen Szeto, Renata Ristic and Kerry Wilkinson
Molecules 2022, 27(5), 1667; https://doi.org/10.3390/molecules27051667 - 3 Mar 2022
Cited by 10 | Viewed by 3119
Abstract
When bushfires occur near wine regions, grapevine exposure to smoke can taint grapes due to the uptake of smoke-derived volatile compounds that can subsequently impart unpleasant smoky, medicinal, burnt rubber and ashy characters to wine. Whereas early research sought to understand the effects [...] Read more.
When bushfires occur near wine regions, grapevine exposure to smoke can taint grapes due to the uptake of smoke-derived volatile compounds that can subsequently impart unpleasant smoky, medicinal, burnt rubber and ashy characters to wine. Whereas early research sought to understand the effects of smoke on grapevine physiology, and grape and wine chemistry, research efforts have shifted towards the strategic imperative for effective mitigation strategies. This study evaluated the extent to which excised grape bunches could be reproducibly tainted during smoke exposure in a purpose-built ‘smoke box’. The volatile phenol composition of grapes exposed to smoke for 30 min was similar to that of smoke-affected grapes from field trials involving grapevine exposure to smoke. Some variation was observed between replicate smoke treatments, but implementing appropriate controls and experimental replication enabled the smoke box to be used to successfully evaluate the efficacy of several agrochemical sprays and protective coverings as methods for mitigating the smoke exposure of grapes. Whereas the agrochemical sprays did not provide effective protection from smoke, enclosing grape bunches in activated carbon fabric prevented the uptake of up to 98% of the smoke-derived volatile phenols observed in smoke-affected grapes. As such, the study demonstrated not only a convenient, efficient approach to smoke taint research that overcomes the constraints associated with vineyard-based field trials, but also a promising new strategy for preventing smoke taint. Full article
(This article belongs to the Special Issue Smoke Taint in Grapes and Wine)
Show Figures

Figure 1

12 pages, 1370 KB  
Article
Characterization of Musts, Wines, and Sparkling Wines Based on Their Elemental Composition Determined by ICP-OES and ICP-MS
by Biel Granell, Anaïs Izquierdo-Llopart, Àngels Sahuquillo, José F. López-Sánchez and Javier Saurina
Beverages 2022, 8(1), 3; https://doi.org/10.3390/beverages8010003 - 4 Jan 2022
Cited by 16 | Viewed by 6434
Abstract
Samples from the different processing stages in the elaboration of sparkling wine (cava)—including must, base wine, and sparkling wine—of Pinot Noir and Xarel·lo grape varieties from different vineyard qualities (A, B, C, D) have been analyzed by inductively coupled plasma (ICP) techniques to [...] Read more.
Samples from the different processing stages in the elaboration of sparkling wine (cava)—including must, base wine, and sparkling wine—of Pinot Noir and Xarel·lo grape varieties from different vineyard qualities (A, B, C, D) have been analyzed by inductively coupled plasma (ICP) techniques to determine their elemental composition. The resulting data has been used to characterize these products according to oenological features and product qualities. For this purpose, box plot diagrams, bar charts, and principal components analysis (PCA) have been used. The study of the behavior of each given species has pointed out the relevance of some elements as markers or descriptors of winemaking processes. Among others, Cu and K are abundant in musts and their concentrations progressively decrease through the cava production process. S levels suddenly increase at the base wine step (and further decay) due to the addition of sulfites as preserving agents. Finally, concentrations of Na, Ca, Fe, and Mg increase from the first fermentation due to the addition of clarifying agents such as bentonite. PCA has been applied to try to extract solid and global conclusions on trends and chemical markers within the groups of samples more easily and efficiently than more conventional approaches. Full article
(This article belongs to the Section Wine, Spirits and Oenological Products)
Show Figures

Graphical abstract

2 pages, 206 KB  
Abstract
Characterization of Musts, Wines and Sparkling Wines Based on Their Elemental Composition Determined by ICP-OES and ICP-MS
by Biel Granell, Anaïs Izquierdo-Llopart, Àngels Sahuquillo, Javier Saurina and Jose Fermín López-Sánchez
Biol. Life Sci. Forum 2021, 6(1), 11; https://doi.org/10.3390/Foods2021-10928 - 13 Oct 2021
Viewed by 1354
Abstract
The control of the composition of food products with protected designation of origin, such as wines and sparkling wines, is essential to prevent fraudulent practices and adulterations. A wide range of compounds can be used as tentative biomarkers for the characterization and authentication [...] Read more.
The control of the composition of food products with protected designation of origin, such as wines and sparkling wines, is essential to prevent fraudulent practices and adulterations. A wide range of compounds can be used as tentative biomarkers for the characterization and authentication purposes, with elemental composition being one of the most successful sources of information, especially for dealing with geographical origin and varietal issues. Currently, Inductively Coupled Plasma with Optical Emission Spectrometry (ICP-OES) and Inductively Coupled Plasma Mass Spectrometry (ICP-MS) are the techniques of choice to carry out multi-elemental analysis of these kinds of beverages in a rapid and simple way. In our study, samples from the different processing stages in the elaboration of sparkling wine (cava)—including must, base wine and sparkling wine—of Pinot Noir and Xarel·lo grape varieties have been analyzed by ICP techniques to determine the elemental composition. The resulting data have been used to classify these products according to oenological practices and product qualities. For this purpose, principal components analysis, box plot diagrams and bar charts have been used. Different markers and sample patterns have been found to deal with changes resulting from the different steps of the production process of cava wines. Results have revealed the relevance of some elements as descriptors of winemaking processes. For instance, Cu and K are abundant in must and their concentrations progressively decrease through the cava production process. S levels suddenly increase at the base wine step (and further decay) of the addition of sulphites as preserving species. Finally, concentrations of Na, Ca, Fe and Mg increase from the first fermentation due to the addition of clarifying agents such as bentonite. Full article
12 pages, 323 KB  
Article
The Drivers of the Sustainability of Spanish Wineries: Resources and Capabilities
by María Carmen García-Cortijo, Juan R. Ferrer, Juan Sebastián Castillo-Valero and Vicente Pinilla
Sustainability 2021, 13(18), 10171; https://doi.org/10.3390/su131810171 - 11 Sep 2021
Cited by 28 | Viewed by 3979
Abstract
This article aims to determine which of a firm’s resources are drivers of its decisions on sustainability policies. For this purpose, it analyses four of the resources that the literature has linked with sustainability: (1) marketing resources, (2) technological resources, (3) innovation resources [...] Read more.
This article aims to determine which of a firm’s resources are drivers of its decisions on sustainability policies. For this purpose, it analyses four of the resources that the literature has linked with sustainability: (1) marketing resources, (2) technological resources, (3) innovation resources and (4) financial resources. The study focuses on Spain, which has the largest surface area under vine in the world. The database for the empirical analysis was drawn up from a survey among wineries carried out during 2020 and 2021. A total of 411 observations were valid. From the quantitative analysis, based on Box–Cox models, it can be concluded that adopting sustainability policies requires placing stress on innovation and on the capacity for communicating such innovations so that consumers perceive them as a change for the better; having greater technological or financial resources seems to be insufficient and of little importance. The results indicate that promoting funding and resource availability as basic tools should be reviewed in sustainability policies for wine firms. Full article
(This article belongs to the Special Issue Sustainable Wine Industry and Wine Economics)
17 pages, 1621 KB  
Article
SPME Method Optimized by Box-Behnken Design for Impact Odorants in Reduced Alcohol Wines
by Bithika Saha, Rocco Longo, Peter Torley, Anthony Saliba and Leigh Schmidtke
Foods 2018, 7(8), 127; https://doi.org/10.3390/foods7080127 - 10 Aug 2018
Cited by 18 | Viewed by 7421
Abstract
The important sampling parameters of a headspace solid-phase microextraction-gas chromatography-mass spectrometry (HS-SPME-GC-MS) procedure such as the extraction temperature, extraction time, and sample volume were optimized to quantify 23 important impact odorants in reduced alcohol red and white wines. A three-factor design of Box-Behnken [...] Read more.
The important sampling parameters of a headspace solid-phase microextraction-gas chromatography-mass spectrometry (HS-SPME-GC-MS) procedure such as the extraction temperature, extraction time, and sample volume were optimized to quantify 23 important impact odorants in reduced alcohol red and white wines. A three-factor design of Box-Behnken experiments was used to determine the optimized sampling conditions for each analyte, and a global optimized condition at every ethanol concentration of interest determined using a desirability function that accounts for a low signal response for compounds. Shiraz and Chardonnay wines were dealcoholized from 13.7 and 12.2% v/v ethanol respectively, to 8 and 5% v/v, using a commercially available membrane-based technology. A sample set of the reduced alcohol wines were also reconstituted to their natural ethanol level to evaluate the effect of the ethanol content reduction on volatile composition. The three-factor Box-Behnken experiment ensured an accurate determination of the headspace concentration of each compound at each ethanol concentration, allowing comparisons between wines at varying ethanol levels to be made. Overall, the results showed that the main effect of extraction temperature was considered the most critical factor when studying the equilibrium of reduced alcohol wine impact odorants. The impact of ethanol reduction upon the concentration of volatile compounds clearly resulted in losses of impact odorants from the wines. The concentration of most analytes decreased with dealcoholization compared to that of the natural samples. Significant differences were also found between the reconstituted volatile composition and 5% v/v reduced alcohol wines, revealing that the dealcoholization effect is the result of a combination between the type of dealcoholization treatment and reduction in wine ethanol content. Full article
(This article belongs to the Special Issue Wine Composition and Quality Analysis)
Show Figures

Figure 1

Back to TopTop