error_outline You can access the new MDPI.com website here. Explore and share your feedback with us.
 
 
Sign in to use this feature.

Years

Between: -

Subjects

remove_circle_outline
remove_circle_outline
remove_circle_outline
remove_circle_outline
remove_circle_outline
remove_circle_outline
remove_circle_outline
remove_circle_outline
remove_circle_outline

Journals

remove_circle_outline
remove_circle_outline
remove_circle_outline
remove_circle_outline
remove_circle_outline
remove_circle_outline
remove_circle_outline
remove_circle_outline
remove_circle_outline
remove_circle_outline
remove_circle_outline
remove_circle_outline
remove_circle_outline
remove_circle_outline
remove_circle_outline
remove_circle_outline
remove_circle_outline
remove_circle_outline
remove_circle_outline
remove_circle_outline

Article Types

Countries / Regions

remove_circle_outline
remove_circle_outline
remove_circle_outline
remove_circle_outline
remove_circle_outline
remove_circle_outline

Search Results (1,641)

Search Parameters:
Keywords = window regions

Order results
Result details
Results per page
Select all
Export citation of selected articles as:
14 pages, 4201 KB  
Article
Under the Heat of Tradition: Thermal Comfort During Summer Correfocs in Catalonia (1950–2023)
by Jon Xavier Olano Pozo, Anna Boqué-Ciurana and Òscar Saladié
Climate 2026, 14(1), 15; https://doi.org/10.3390/cli14010015 - 8 Jan 2026
Abstract
Cultural practices such as Catalonia’s correfocs (fire parades) represent a vibrant expression of intangible heritage. Outdoor activities are conditioned by weather and threatened by climate change. This study analyses the long-term evolution of night-time thermal conditions during correfoc festivals performed in six Catalan [...] Read more.
Cultural practices such as Catalonia’s correfocs (fire parades) represent a vibrant expression of intangible heritage. Outdoor activities are conditioned by weather and threatened by climate change. This study analyses the long-term evolution of night-time thermal conditions during correfoc festivals performed in six Catalan towns located on the coast and in the pre-coastal region from 1950 to 2023, using reanalysis-based indicators of air temperature, humidity, and perceived heat as a first exploratory step prior to incorporating in situ meteorological records. Specifically, the Heat Index (HI) and the Universal Thermal Climate Index (UTCI) were computed for the typical event window (21:00–23:00 local time) to assess changes in human thermal comfort. Results reveal a clear and statistically significant warming trend in most pre-coastal locations—particularly Reus, El Vendrell, and Vilafranca—while coastal cities such as Barcelona exhibit weaker or non-significant changes, likely due to maritime moderation. The frequency and intensity of positive temperature anomalies have increased since the 1990s, with a growing proportion of events falling into “caution” or “moderate heat stress” categories under HI and UTCI classifications. These findings demonstrate that correfocs are now celebrated under markedly warmer night-time conditions than in the mid-twentieth century, implying a tangible rise in thermal discomfort and potential safety risks for participants. By integrating climatic and cultural perspectives, this research shows that rising night-time heat can constrain attendance, participation conditions, and event scheduling for correfocs, thereby directly exposing weather-sensitive form of intangible cultural heritage to climate risks. It therefore underscores the need for climate adaptation frameworks and to promote context-specific strategies to sustain these community-based traditions under ongoing Mediterranean warming. Full article
Show Figures

Figure 1

29 pages, 12832 KB  
Article
PLB-GPT: Potato Late Blight Prediction with Generative Pretrained Transformer and Optimizing
by Peisen Yuan, Ye Xia, Mengjian Dong, Cheng He, Dingfei Liu, Yixi Tan and Suomeng Dong
Mathematics 2026, 14(2), 225; https://doi.org/10.3390/math14020225 - 7 Jan 2026
Abstract
Potato late blight is a devastating disease and threatening global potato production, necessitating accurate early prediction for effective management and yield enhancement.This paper presents the PLB-GPT, a novel generative pre-trained transformer-based model built on GPT-2 architecture, designed to forecast late blight outbreaks using [...] Read more.
Potato late blight is a devastating disease and threatening global potato production, necessitating accurate early prediction for effective management and yield enhancement.This paper presents the PLB-GPT, a novel generative pre-trained transformer-based model built on GPT-2 architecture, designed to forecast late blight outbreaks using meteorological data. Our method is trained and evaluated on a real-world dataset encompassing temperature, humidity, atmospheric pressure, and other climatic variables from diverse regions of China; PLB-GPT demonstrates state-of-the-art performance. The framework of PLB-GPT employs advanced fine-tuning strategies, including Linear Probing, Full Fine-Tuning, and a novel two-stage method, effectively applied across different time windows (1-day, 3-day, 5-day, 7-day). The model achieves an accuracy of 0.8746, a precision of 0.8915, and an F1 score of 0.8472 in the 5-day prediction window, surpassing baseline methods such as CARAH, ARIMA, LSTM, and Informer. These results highlight PLB-GPT as a robust tool for early disease outbreak prediction, with significant implications for agricultural disease management. Full article
(This article belongs to the Special Issue Computational Intelligence for Bioinformatics)
Show Figures

Figure 1

24 pages, 4739 KB  
Article
Dynamics of Key Meteorological Variables and Their Impacts on Staple Crop Yields Across Large-Scale Farms in Heilongjiang, China
by Jingyang Li, Huanhuan Li, Xin Liu, Qiuju Wang, Qingying Meng, Jiahe Zou, Yifei Luo, Shuangchao Wang and Long Tan
Agriculture 2026, 16(2), 143; https://doi.org/10.3390/agriculture16020143 - 6 Jan 2026
Abstract
Against the backdrop of global warming and a reshaped hydrothermal regime, the albic soil belt of the Sanjiang Plain, a major grain base, requires farm-scale evidence of how meteorological variability couples with staple-crop yields. Using meteorological and yield records from 2000 to 2023 [...] Read more.
Against the backdrop of global warming and a reshaped hydrothermal regime, the albic soil belt of the Sanjiang Plain, a major grain base, requires farm-scale evidence of how meteorological variability couples with staple-crop yields. Using meteorological and yield records from 2000 to 2023 at three large farms (859, 850, and 852), this study applied the Mann–Kendall test, wavelet and cross-wavelet coherence, Pearson correlation, gray relational analysis, and principal component analysis to track the evolution of air temperature, precipitation, evaporation, sunshine duration, relative humidity, and surface temperature, and to assess their multi-scale impacts on rice, corn, and soybean yields. The region warmed and became wetter overall, with dominant periodicities near 21a and 8a. Across the three farms, yields were significantly and positively associated with precipitation and air temperature (R > 0.60). Rice yield correlated strongly and negatively with evaporation at Farm 850 (R = −0.61) and at Farm 852 (R = −0.503). At Farm 859, gray relational analysis ranked precipitation highest for rice, corn, and soybean (γ = 0.853, 0.844, and 0.826), followed by air temperature. The first two principal components explained 67.66% of the variance; PC1 (41.80%) loaded positively for air temperature, and PC2 (25.86%) for precipitation and relative humidity. Cross-wavelet coherence indicated stable coupling between yields and hydrothermal variables, with the strongest coupling for rice with precipitation and air temperature, prominent coupling for corn with air temperature and sunshine duration, and stage-dependent responses of soybean to precipitation and evaporation. These results show that long-term trends together with phase-specific oscillations jointly shape yield variability. The findings support translating phase identification and sensitive windows into crop-specific rules for sowing or transplanting arrangements, irrigation timing, and early warning, providing a quantitative basis for climate-adaptive management on the study farms and, where soils, management, and microclimate are comparable, for the wider Sanjiang Plain. Full article
(This article belongs to the Section Ecosystem, Environment and Climate Change in Agriculture)
Show Figures

Figure 1

13 pages, 737 KB  
Review
Seed Dormancy and Germination Ecology of Three Morningglory Species: Ipomoea lacunosa, I. hederacea, and I. purpurea
by Hailey Haddock and Fernando Hugo Oreja
Seeds 2026, 5(1), 3; https://doi.org/10.3390/seeds5010003 - 6 Jan 2026
Abstract
Morningglories (Ipomoea lacunosa, I. hederacea, and I. purpurea) are persistent, problematic weeds in summer row crops throughout warm-temperate regions. Their vining growth habit and enduring seedbanks lead to recurring infestations and harvest interferences. This review synthesizes current knowledge on [...] Read more.
Morningglories (Ipomoea lacunosa, I. hederacea, and I. purpurea) are persistent, problematic weeds in summer row crops throughout warm-temperate regions. Their vining growth habit and enduring seedbanks lead to recurring infestations and harvest interferences. This review synthesizes current knowledge on the seed ecology of these species to clarify how dormancy, germination, and emergence processes contribute to their persistence. Published anatomical and ecological studies were examined to summarize dormancy mechanisms, environmental signals regulating dormancy release, germination requirements, and seasonal emergence patterns. Morningglories exhibit a dormancy system dominated by physical dormancy, occasionally combined with a transient physiological component. Dormancy release is promoted by warm and fluctuating temperatures, hydration–dehydration cycles, and long-term seed-coat weathering. Once permeable, seeds germinate across broad temperature ranges, vary in sensitivity to water potential, and show limited dependence on light. Field studies indicate extended emergence windows from late spring through midsummer, especially in no-till systems where surface seeds experience strong thermal and moisture fluctuations. Despite substantial progress, significant gaps remain concerning maternal environmental effects, population-level variation, seedbank persistence under modern management, and the absence of mechanistic emergence models. An improved understanding of these processes will support the development of more predictive and ecologically informed management strategies. Full article
Show Figures

Figure 1

28 pages, 4978 KB  
Article
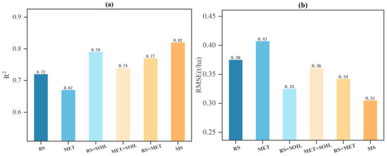
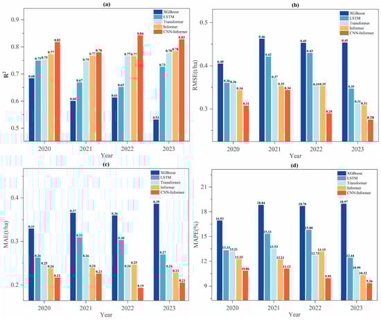
Oilseed Flax Yield Prediction in Arid Gansu, China Using a CNN–Informer Model and Multi-Source Spatio-Temporal Data
by Xingyu Li, Yue Li, Bin Yan, Yuhong Gao, Shunchang Su, Hui Zhou, Lianghe Kang, Huan Liu and Yongbiao Li
Remote Sens. 2026, 18(1), 181; https://doi.org/10.3390/rs18010181 - 5 Jan 2026
Viewed by 80
Abstract
Oilseed flax (Linum usitatissimum, L.) is an important specialty oilseed crop cultivated in arid and semi-arid regions, where timely, accurate yield prediction is crucial for regional oilseed security and agricultural decision-making. To address the lack of robust county-level yield prediction models [...] Read more.
Oilseed flax (Linum usitatissimum, L.) is an important specialty oilseed crop cultivated in arid and semi-arid regions, where timely, accurate yield prediction is crucial for regional oilseed security and agricultural decision-making. To address the lack of robust county-level yield prediction models for oilseed flax, this study proposes a CNN–Informer hybrid framework that integrates convolutional neural networks (CNNs) with the Informer architecture to model multi-source spatio-temporal data. Unlike conventional Transformer-based approaches, the proposed framework combines CNN-based local temporal feature extraction with the ProbSparse attention mechanism of Informer, enabling the efficient modeling of long-range temporal dependencies across multiple years while reducing the computational burden of attention-based time-series modeling. The model incorporates multi-source inputs, including remote sensing indices (NDVI, EVI, SAVI, KNDVI), TerraClimate meteorological variables, soil properties, and historical yield records. Comprehensive experiments conducted at the county level in Gansu Province, China, demonstrate that the CNN–Informer model consistently outperforms representative machine learning and deep learning baselines (Transformer, Informer, LSTM, and XGBoost), achieving an average performance of R2 = 0.82, RMSE = 0.31 t/ha, MAE = 0.21 t/ha, and MAPE = 10.33%. Results from feature ablation and historical yield window analyses reveal that a three-year historical yield window yields optimal performance, with remote sensing features contributing most strongly to predictive accuracy, while meteorological and soil variables enhance spatial adaptability under heterogeneous environmental conditions. Model robustness was further verified through fivefold county-based spatial cross-validation, indicating stable performance and strong generalization capability in unseen regions. Overall, the proposed CNN–Informer framework provides a reliable and interpretable solution for county-level oilseed flax yield prediction and offers practical insights for precision management of specialty crops in arid and semi-arid regions. Full article
Show Figures

Figure 1

10 pages, 1788 KB  
Article
Toward Octave-Spanning Mid-Infrared Supercontinuum Laser Generation Using Cascaded Germania-Doped Fiber and Fluorotellurite Fiber
by Xuan Wang, Yahui Zhang, Chuanfei Yao, Linjing Yang, Yunhao Zhu and Pingxue Li
Photonics 2026, 13(1), 50; https://doi.org/10.3390/photonics13010050 - 5 Jan 2026
Viewed by 60
Abstract
Mid-infrared (MIR) supercontinuum (SC) sources are critical for spectroscopy, biomedical imaging, and environmental monitoring. However, conventional generation methods based on free-space experiments using optical parametric amplifiers (OPAs) and difference frequency generation (DFG) lasers suffer from narrow bandwidth and low power distribution in the [...] Read more.
Mid-infrared (MIR) supercontinuum (SC) sources are critical for spectroscopy, biomedical imaging, and environmental monitoring. However, conventional generation methods based on free-space experiments using optical parametric amplifiers (OPAs) and difference frequency generation (DFG) lasers suffer from narrow bandwidth and low power distribution in the MIR region. This paper presents a cascaded pumping technique using two soft-glass fibers. A picosecond thulium-doped fiber amplifier (TDFA) pumps a Germania-doped fiber (GDF) to generate an intermediate broadband spectrum, which then pumps a fluorotellurite fiber (TBY) with higher nonlinearity and a wider transmission window. Using this configuration, we achieved an Octave-Spanning SC generation covering 1–4 μm with 7.20 W output power. Notably, 32.8% of total power lies above 3.0 μm, with 11.2% beyond 3.5 μm, demonstrating excellent long-wavelength performance. In addition, we applied numerical simulation methods to investigate SC generation in GDF and TBY by solving the nonlinear Schrödinger equation. The close match between simulated and experimental results facilitates theoretical examination of how SC broadening occurs. This cascaded approach offers a feasible solution in terms of spectral band matching, material compatibility, and system integration potential. Full article
(This article belongs to the Special Issue Advanced Lasers and Their Applications, 3rd Edition)
Show Figures

Figure 1

19 pages, 3367 KB  
Article
Low-Emissivity Cavity Treatment for Enhancing Thermal Performance of Existing Window Frames
by Maohua Xiong, Jihoon Kweon and Soobong Kim
Sustainability 2026, 18(1), 525; https://doi.org/10.3390/su18010525 - 5 Jan 2026
Viewed by 131
Abstract
Windows contribute 40–50% of envelope heat loss despite occupying only 1/8–1/6 of the surface area. Conventional frame retrofits rely on geometry optimization or cavity insulation yet remain limited by cost and invasiveness. This study introduces electrochemical polishing to reduce cavity surface emissivity of [...] Read more.
Windows contribute 40–50% of envelope heat loss despite occupying only 1/8–1/6 of the surface area. Conventional frame retrofits rely on geometry optimization or cavity insulation yet remain limited by cost and invasiveness. This study introduces electrochemical polishing to reduce cavity surface emissivity of multi-cavity broken-bridge aluminum window frames to suppress radiative heat transfer, offering a non-invasive, low-cost retrofit strategy for existing building windows. Using a typical 75-series casement window, finite element analysis (MQMC) reveals that reducing cavity surface emissivity from 0.9 to 0.05 lowers frame U-values by 12.39–30.38% and whole-window U-values by 2.72–9.69%, with full-cavity treatment outperforming insulating-cavity-only by an average of 0.29 W/(m2·K). EnergyPlus simulations across multiple climate zones show 0.74–2.26% annual heating and cooling energy savings (with max reduction of 8.99 MJ/m2·yr) in severe cold and cold regions (e.g., Harbin, Beijing), but 1.25–3.04% penalties in mild and hot-summer zones due to impeded nighttime heat rejection. At an incremental cost of 62.5 CNY/window (6.6–7.4% increase), the static payback period is 4.1 years in Harbin. The approach mitigates thermal bridging more effectively than foam-filled frames in whole-window performance. This scalable, minimal-intervention technology aligns with low-carbon retrofit imperatives for existing aging windows, particularly in heating-dominated climates. Full article
Show Figures

Figure 1

23 pages, 3943 KB  
Article
High-Rise Building Area Extraction Based on Prior-Embedded Dual-Branch Neural Network
by Qiliang Si, Liwei Li and Gang Cheng
Remote Sens. 2026, 18(1), 167; https://doi.org/10.3390/rs18010167 - 4 Jan 2026
Viewed by 189
Abstract
High-rise building areas (HRBs) play a crucial role in providing social and environmental services during the process of modern urbanization. Their large-scale, long-term spatial distribution characteristics have significant implications for fields such as urban planning and regional climate analysis. However, existing studies are [...] Read more.
High-rise building areas (HRBs) play a crucial role in providing social and environmental services during the process of modern urbanization. Their large-scale, long-term spatial distribution characteristics have significant implications for fields such as urban planning and regional climate analysis. However, existing studies are largely limited to local regions and fixed-time-phase images. These studies are also influenced by differences in remote sensing image acquisition, such as regional architectural styles, lighting conditions, seasons, and sensor variations. This makes it challenging to achieve robust extraction across time and regions. To address these challenges, we propose an improved method for extracting HRBs that uses a Prior-Embedded Dual-Branch Neural Network (PEDNet). The dual-path design balances global features with local details. More importantly, we employ a window attention mechanism to introduce diverse prior information as embedded features. By integrating these features, our method becomes more robust against HRB image feature variations. We conducted extensive experiments using Sentinel-2 data from four typical cities. The results demonstrate that our method outperforms traditional models, such as FCN and U-Net, as well as more recent high-performance segmentation models, including DeepLabV3+ and BuildFormer. It effectively captures HRB features in remote sensing images, adapts to complex conditions, and provides a reliable tool for wide geographic span, cross-timestamp urban monitoring. It has practical applications for optimizing urban planning and improving the efficiency of resource management. Full article
Show Figures

Figure 1

20 pages, 1694 KB  
Article
The Impact of Smoothing Techniques on Vegetation Phenology Extraction: A Case Study of Inner Mongolia Grasslands
by Mengna Liu, Baocheng Wei and Xu Jia
Agronomy 2026, 16(1), 126; https://doi.org/10.3390/agronomy16010126 - 4 Jan 2026
Viewed by 226
Abstract
The selection of data smoothing methods is one of the key steps in extracting land surface phenology parameters from time-series remote sensing data. However, existing studies often use default parameters for denoising the time-series data, neglecting the sensitivity of phenology extraction to different [...] Read more.
The selection of data smoothing methods is one of the key steps in extracting land surface phenology parameters from time-series remote sensing data. However, existing studies often use default parameters for denoising the time-series data, neglecting the sensitivity of phenology extraction to different combinations of smoothing parameters. Therefore, this study systematically evaluated three parametric smoothing methods—Savitzky–Golay (SG), Whittaker Smoother (WS), and Harmonic Analysis of Time-Series (HANTS)—and two non-parametric methods—Asymmetric Gaussian (AG) and Double-Logistic (DL)—on the accuracy of Start of Season (SOS) and End of Season (EOS) extraction at eight ground phenology observation sites in Inner Mongolia, based on time-series MOD13Q1- Normalized Difference Vegetation Index data and using the derivative method as the background for phenology parameter extraction at the site scale. The results showed that (1) DL and HANTS yielded similar accuracy for phenology extraction in desert steppe, while parametric smoothing methods outperformed non-parametric methods in phenology simulation in typical and meadow steppe regions. (2) We proposed the optimal phenology parameter combination for different steppe types in Inner Mongolia. For desert steppe, DL or HANTS was recommended. For SOS extraction in typical steppe ecosystems, the WS parameter combination was used. For EOS and phenology in meadow steppe, the HANTS parameter combination yielded better simulation results. (3) In desert and meadow steppes, the window radius in SG contributed more to phenology accuracy than polynomial order. The opposite was true for typical steppe. In WS, the contribution of the differential order to SOS and EOS extraction in desert and typical steppes was higher than that of the smoothing factor. The opposite was observed in meadow steppe. In HANTS, the fitting tolerance error was the key factor controlling phenology extraction accuracy. (4) Based on the optimal phenology extraction scheme, the smallest extraction error occurred in meadow steppe at the site scale. This was followed by typical steppe. Desert steppe showed relatively larger errors. This study overcomes the reliance on default parameters in previous studies and proposes a practical framework for phenology extraction for different grassland ecosystems. The findings provide new empirical evidence for method selection and parameter setting in remote sensing phenology monitoring. Full article
(This article belongs to the Section Grassland and Pasture Science)
Show Figures

Figure 1

14 pages, 1308 KB  
Article
A Selective RAG-Enhanced Hybrid ML-LLM Framework for Efficient and Explainable Fatigue Prediction Using Wearable Sensor Data
by Soonho Ha, Taeyoung Lee, Hyungjun Seo, Sujung Yoon and Hwamin Lee
Bioengineering 2026, 13(1), 58; https://doi.org/10.3390/bioengineering13010058 - 3 Jan 2026
Viewed by 174
Abstract
Fatigue is a multifactorial phenomenon affecting both physical and psychological performance, particularly in high-stress occupations. Although wearable sensors enable continuous monitoring, conventional machine-learning (ML) models can produce unstable, weakly calibrated, and opaque predictions in real-world settings. To improve reliability and interpretability, we developed [...] Read more.
Fatigue is a multifactorial phenomenon affecting both physical and psychological performance, particularly in high-stress occupations. Although wearable sensors enable continuous monitoring, conventional machine-learning (ML) models can produce unstable, weakly calibrated, and opaque predictions in real-world settings. To improve reliability and interpretability, we developed a selective Retrieval-Augmented Generation (RAG)–enhanced hybrid ML–LLM framework that integrates the efficiency of ML with the reasoning capability of large language models (LLMs). Using wearable and ecological momentary assessment data from 297 emergency responders (9543 seven-day windows), logistic regression, XGBoost, and LSTM models were trained to classify fatigue levels dichotomized by the median of daily tiredness scores. The LLM was selectively activated only for borderline ML outputs (0.45 ≤ p ≤ 0.55), using symbolic rules and retrieved analog examples. In the uncertainty region, performance improved from 0.556/0.684/0.635/0.659 to 0.617/0.703/0.748/0.725 (accuracy/precision/recall/F1). On the full test set, performance similarly improved from 0.707/0.739/0.918/0.819 to 0.718/0.741/0.937/0.827, with gains confirmed by McNemar’s paired comparison test (p < 0.05). SHAP-based ML interpretation and LLM reasoning analyses independently identified short-term sleep duration and heart-rate variability as dominant predictors, providing transparent explanations for model behavior. This framework enhances classification robustness, interpretability, and efficiency, offering a scalable solution for real-world fatigue monitoring. Full article
Show Figures

Graphical abstract

30 pages, 8173 KB  
Article
A Recurrent Neural Network for Forecasting Dead Fuel Moisture Content with Inputs from Numerical Weather Models
by Jonathon Hirschi, Jan Mandel, Kyle Hilburn and Angel Farguell
Fire 2026, 9(1), 26; https://doi.org/10.3390/fire9010026 - 3 Jan 2026
Viewed by 140
Abstract
This paper proposes a recurrent neural network (RNN) model of dead 10 h fuel moisture content (FMC) for real-time forecasting. Weather inputs to the RNN are forecasts from the High-Resolution Rapid Refresh (HRRR), a numerical weather model. Geographic predictors include longitude, latitude, and [...] Read more.
This paper proposes a recurrent neural network (RNN) model of dead 10 h fuel moisture content (FMC) for real-time forecasting. Weather inputs to the RNN are forecasts from the High-Resolution Rapid Refresh (HRRR), a numerical weather model. Geographic predictors include longitude, latitude, and elevation. Forecast accuracy is estimated in a study that utilizes a spatiotemporal cross-validation scheme. The RNN is trained on HRRR forecasts and observed FMC from weather station sensors within the Rocky Mountain region in 2023, then used to forecast FMC at new locations for all of 2024. The model is evaluated using a 48 h forecast window. The forecasts are compared to observed data from FMC sensors that were not included in training. The accuracy of the RNN is compared to several common baseline methods, including a physics-based ordinary differential equation, an XGBoost machine learning model, and hourly climatology. The RNN shows substantial forecasting accuracy improvements over the baseline methods. Full article
Show Figures

Figure 1

29 pages, 4367 KB  
Article
SARIMA vs. Prophet: Comparative Efficacy in Forecasting Traffic Accidents Across Ecuadorian Provinces
by Wilson Chango, Ana Salguero, Tatiana Landivar, Roberto Vásconez, Geovanny Silva, Pedro Peñafiel-Arcos, Lucía Núñez and Homero Velasteguí-Izurieta
Computation 2026, 14(1), 5; https://doi.org/10.3390/computation14010005 - 31 Dec 2025
Viewed by 217
Abstract
This study aimed to evaluate the comparative predictive efficacy of the SARIMA statistical model and the Prophet machine learning model for forecasting monthly traffic accidents across the 24 provinces of Ecuador, addressing a critical research gap in model selection for geographically and socioeconomically [...] Read more.
This study aimed to evaluate the comparative predictive efficacy of the SARIMA statistical model and the Prophet machine learning model for forecasting monthly traffic accidents across the 24 provinces of Ecuador, addressing a critical research gap in model selection for geographically and socioeconomically heterogeneous regions. By integrating classical time series modeling with algorithmic decomposition techniques, the research sought to determine whether a universally superior model exists or if predictive performance is inherently context-dependent. Monthly accident data from January 2013 to June 2025 were analyzed using a rolling-window evaluation framework. Model accuracy was assessed through Mean Absolute Percentage Error (MAPE) and Root Mean Square Error (RMSE) metrics to ensure consistency and comparability across provinces. The results revealed a global tie, with 12 provinces favoring SARIMA and 12 favoring Prophet, indicating the absence of a single dominant model. However, regional patterns of superiority emerged: Prophet achieved exceptional precision in coastal and urban provinces with stationary and high-volume time series—such as Guayas, which recorded the lowest MAPE (4.91%)—while SARIMA outperformed Prophet in the Andean highlands, particularly in non-stationary, medium-to-high-volume provinces such as Tungurahua (MAPE 6.07%) and Pichincha (MAPE 13.38%). Computational instability in MAPE was noted for provinces with extremely low accident counts (e.g., Galápagos, Carchi), though RMSE values remained low, indicating a metric rather than model limitation. Overall, the findings invalidate the notion of a universally optimal model and underscore the necessity of adopting adaptive, region-specific modeling frameworks that account for local geographic, demographic, and structural factors in predictive road safety analytics. Full article
Show Figures

Graphical abstract

16 pages, 1260 KB  
Article
DAR-Swin: Dual-Attention Revamped Swin Transformer for Intelligent Vehicle Perception Under NVH Disturbances
by Xinglong Zhang, Zhiguo Zhang, Huihui Zuo, Chaotan Xue, Zhenjiang Wu, Zhiyu Cheng and Yan Wang
Machines 2026, 14(1), 51; https://doi.org/10.3390/machines14010051 - 31 Dec 2025
Viewed by 183
Abstract
In recent years, deep learning-based image classification has made significant progress, especially in safety-critical perception fields such as intelligent vehicles. Factors such as vibrations caused by NVH (noise, vibration, and harshness), sensor noise, and road surface roughness pose challenges to robustness and real-time [...] Read more.
In recent years, deep learning-based image classification has made significant progress, especially in safety-critical perception fields such as intelligent vehicles. Factors such as vibrations caused by NVH (noise, vibration, and harshness), sensor noise, and road surface roughness pose challenges to robustness and real-time deployment. The Transformer architecture has become a fundamental component of high-performance models. However, in complex visual environments, shifted window attention mechanisms exhibit inherent limitations: although computationally efficient, local window constraints impede cross-region semantic integration, while deep feature processing obstructs robust representation learning. To address these challenges, we propose DAR-Swin (Dual-Attention Revamped Swin Transformer), enhancing the framework through two complementary attention mechanisms. First, Scalable Self-Attention universally substitutes the standard Window-based Multi-head Self-Attention via sub-quadratic complexity operators. These operators decouple spatial positions from feature associations, enabling position-adaptive receptive fields for comprehensive contextual modeling. Second, Latent Proxy Attention integrated before the classification head adopts a learnable spatial proxy to integrate global semantic information into a fixed-size representation, while preserving relational semantics and achieving linear computational complexity through efficient proxy interactions. Extensive experiments demonstrate significant improvements over Swin Transformer Base, achieving 87.3% top-1 accuracy on CIFAR-100 (+1.5% absolute improvement) and 57.0% mAP on COCO2017 (+1.3% absolute improvement). These characteristics are particularly important for the active and passive safety features of intelligent vehicles. Full article
Show Figures

Figure 1

21 pages, 625 KB  
Review
The Otoacoustic Emissions in the Universal Neonatal Hearing Screening: An Update on Selected Asian States (2005 to 2025)
by Stavros Hatzopoulos, Ludovica Cardinali, Piotr Henryk Skarzynski and Giovanna Zimatore
Children 2026, 13(1), 60; https://doi.org/10.3390/children13010060 - 31 Dec 2025
Viewed by 227
Abstract
Background: Although significant progress has been made in Neonatal Hearing Screening (NHS) over the past two decades, the available data on Universal Neonatal Hearing Screening (UNHS) practices across Asia remain limited. The aim of this scoping review was therefore twofold: (a) to [...] Read more.
Background: Although significant progress has been made in Neonatal Hearing Screening (NHS) over the past two decades, the available data on Universal Neonatal Hearing Screening (UNHS) practices across Asia remain limited. The aim of this scoping review was therefore twofold: (a) to identify and synthesize the most recent literature (within the past 20 years) concerning NHS/UNHS programs in Asian states, and (b) to summarize evidence on screening procedures, the intervention strategies, and the estimated prevalence of congenital hearing loss (HL), with particular attention to cases of bilateral impairment. Methods: In line with previous reports from our group on the screening practices in Europe and in Africa, queries were conducted via the PubMed, Scopus and Google Scholar databases for the time window of 2005–2025. The Mesh terms used were “Otoacoustic Emissions (OAE)”, “Universal Neonatal Hearing Screening”, “congenital hearing loss”, “well babies” and “ASIA”, as well as all 50 Asian state names. Only research articles and review papers were considered as good candidates. The standard English language filter was used. Results: To maintain homogeneity in terms of state area and population, the studies conducted in China and India were excluded from this report and will be the focus of a dedicated paper. Data from 31 papers were considered, reflecting the neonatal hearing practices of 17 Asian states, of which in 12, UNHS programs are considered mandatory. Conclusions: The information on the Asian NHS is limited to a low percentage of Asian states. The available data strongly suggest that audiologists and other hearing professionals, involved in regional or national screening initiatives, should collect systematically and disseminate the screening information through peer-reviewed scientific publications. The latter will contribute to a broader understanding of program effectiveness and will facilitate international benchmarking. Full article
(This article belongs to the Special Issue Hearing Loss in Children: The Present and a Challenge for Future)
Show Figures

Figure 1

21 pages, 2619 KB  
Article
Energy Consumption Analysis and Energy-Saving Renovation Research on the Building Envelope Structure of Existing Thermal Power Plants in China’s Hot Summer and Cold Winter Regions
by Li Qin, Ji Qi, Yunpeng Qi and Wei Shi
Buildings 2026, 16(1), 169; https://doi.org/10.3390/buildings16010169 - 30 Dec 2025
Viewed by 234
Abstract
This study focuses on the operational energy consumption of existing thermal power plant buildings in China’s hot-summer, cold-winter regions. Unlike conventional civil buildings, thermal power plant structures feature intense internal heat sources, large spatial dimensions, specialized ventilation requirements, and year-round industrial waste heat. [...] Read more.
This study focuses on the operational energy consumption of existing thermal power plant buildings in China’s hot-summer, cold-winter regions. Unlike conventional civil buildings, thermal power plant structures feature intense internal heat sources, large spatial dimensions, specialized ventilation requirements, and year-round industrial waste heat. Consequently, the energy consumption characteristics and energy-saving logic of their building envelopes remain understudied. This paper innovatively employs a combined experimental approach of field monitoring and energy consumption simulation to quantify the actual thermal performance of building envelopes (particularly exterior walls, doors, and windows) under current operating conditions, identifying key components for energy-saving retrofits of the main plant building envelope. Due to the fact that most thermal power plants were designed relatively early, their envelope structures generally have problems such as poor insulation performance and insufficient air tightness, resulting in severe energy loss under extreme weather conditions. An energy consumption simulation model was established using GBSEARE software. By focusing on heat transfer coefficients of exterior walls and windows as key parameters, a design scheme for energy-saving retrofits of building envelopes in thermal power plants located in hot-summer, cold-winter regions was proposed. The results show that there is a temperature gradient along the height direction inside the main plant, and the personnel activity area in the middle activity level of the steam engine room is the most unfavorable area of the thermal environment of the steam engine room. The heat transfer coefficient of the envelope structure does not meet the current code requirements. The over-standard rate of the exterior walls is 414.55%, and that of the exterior windows is 177.06%. An energy-saving renovation plan is proposed by adopting a composite color compression panel for the external wall, selecting 50 mm flame-retardant polystyrene EPS foam board for the heat preservation layer, adopting 6 high-transmittance Low-E + 12 air + 6 plastic double-cavity for the external windows, and adding movable shutter sunshade. The energy-saving rate of the building reached 55.32% after the renovation. This study provides guidance for energy-efficient retrofitting of existing thermal power plants and for establishing energy-efficient design standards and specifications for future new power plant construction. Full article
(This article belongs to the Special Issue Building Energy-Saving Technology—3rd Edition)
Show Figures

Figure 1

Back to TopTop