Dynamics of Key Meteorological Variables and Their Impacts on Staple Crop Yields Across Large-Scale Farms in Heilongjiang, China
Abstract
1. Introduction
2. Materials and Methods
2.1. Study Area
2.2. Data Source
2.3. Research Methods
2.3.1. Experimental Design
2.3.2. Measurement Items and Methods
2.3.3. Wavelet Analysis
2.3.4. Cross-Wavelet Transform
3. Results
3.1. Multi-Scale Dynamics of Meteorological Variables
3.1.1. Variability Across Time Scales of Meteorological Variables
3.1.2. Evolutionary Patterns of Meteorological Elements Across Periodic Scales
3.2. Dynamics of Yield per Unit Area for Different Crops
3.2.1. Comparison of Cropping Structure
3.2.2. Temporal Dynamic Characteristics of Different Crops
3.2.3. Evolutionary Patterns of Crop Cycles Across Different Crops
3.3. Association Analysis Between Crop Yields and Meteorological Variables
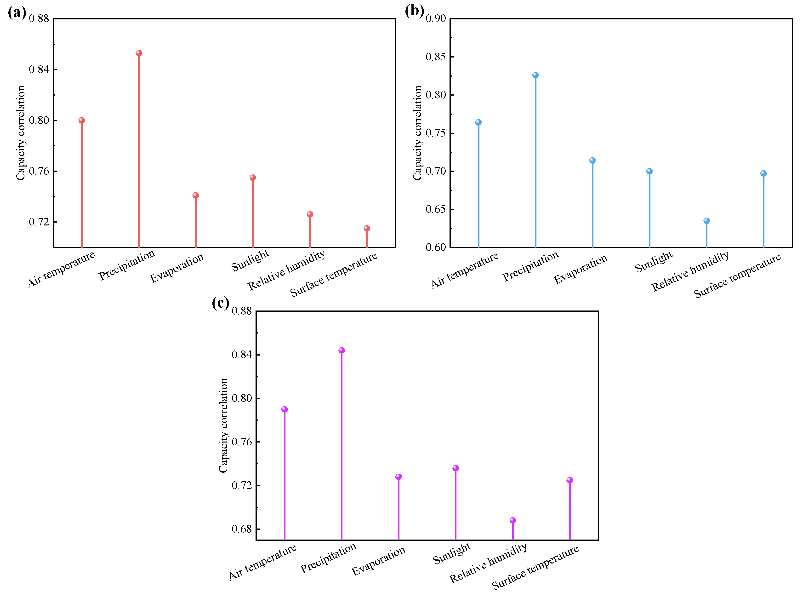
3.3.1. Correlation Analysis
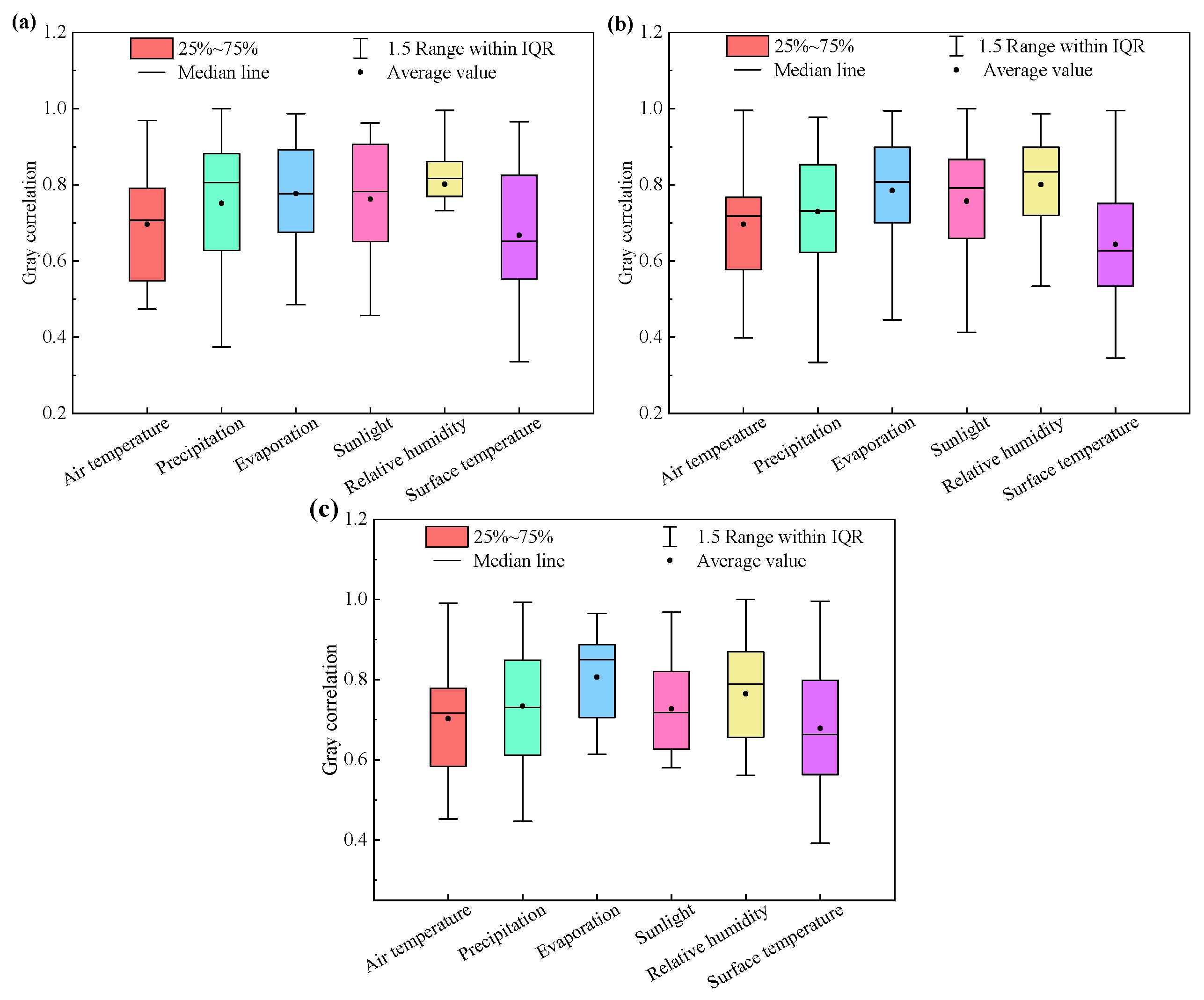
3.3.2. Gray Relational Analysis
3.3.3. Coordinated Response Between Crop Yield and Meteorological Variability
3.4. Mechanisms Underlying Crop Yield Responses to Climate Change
3.4.1. Quantification of Key Meteorological Factors
3.4.2. Time–Frequency Coupling Relationship Between Crop Yield and Meteorological Factors
4. Discussion
5. Conclusions
- (1)
- Regional climate change exhibits a clear warming and wetting trend with stable multi-timescale periodicity. During the study period, air temperature increased at all three farms, for example, at Farm 859 from 2.6 °C to 4.3 °C (Z = 1.013, p = 0.032), and precipitation generally increased (for example, at Farm 859 from 642.8 mm to 750.1 mm, p < 0.01), indicating concurrent enhancement of thermal and water resources. Morlet wavelet analysis shows dominant periods clustered at around 22a for air temperature and precipitation, reflecting interdecadal resonance in regional climate change. This evolution not only affects the stability of the crop-growing environment but also provides a long-term climatic backdrop for adjustments in cropping structure and yield improvement.
- (2)
- Yield trajectories of the three major grain crops diverge markedly, revealing distinct climate-response mechanisms and periodic drivers. At Farms 859 and 850, rice and corn yields increased significantly and persistently (for example, at Farm 859, rice Z = 3.051 and corn Z = 3.200, both p < 0.01), indicating strong stability and adaptability. At Farm 852, soybean shows a clear declining trend (Z = −1.796, p = 0.044), exposing high sensitivity to climate and weaker risk tolerance. At Farm 859, wavelet variance indicates that rice and corn yields are dominated by a 22a-long period, whereas soybean is governed by oscillations within about 6 years, with larger variability and lower stability. Differences in cropping structure among farms also act as important modulators of yield fluctuations.
- (3)
- Pearson correlation confirms that air temperature and precipitation are the core meteorological drivers of yield variability, yet response structures differ by crop. Gray relational analysis and cross-wavelet diagnostics show that rice is most sensitive to precipitation (γ = 0.853). Corn is strongly influenced by the dual control of light and temperature, with pronounced dependence on air temperature and sunlight (temperature γ = 0.790, sunlight γ = 0.736), forming a light- and heat-dominated pattern. Soybean is jointly affected by precipitation, air temperature, and evaporation, but exhibits lower stability and higher susceptibility to extreme weather.
- (4)
- Principal component analysis clarified the overall multi-factor hierarchy. The first two principal components had a cumulative explained variance of 67.66%. PC1 explained 41.80% and was dominated by positive loadings on air temperature with a secondary negative loading on relative humidity. PC2 explained 25.86% and was dominated jointly by precipitation and relative humidity. Yields and meteorological variables exhibited pronounced coupling in the time and frequency domains, underscoring the lagged effects of climate change and the phase-dependent driving mechanisms in crop production.
Author Contributions
Funding
Data Availability Statement
Acknowledgments
Conflicts of Interest
References
- Liang, S.; Liu, W.; Lu, M.; Xia, L.; You, L.; Liu, Y.; Liu, Z.; Zha, Y.; Tang, H.; Yang, P. Climate adaptation through rice northward expansion aggravated groundwater overexploitation in Northeast China. Commun. Earth Environ. 2025, 6, 516. [Google Scholar] [CrossRef]
- Xu, Q.; Liang, H.; Wei, Z.; Zhang, Y.; Lu, X.; Li, F.; Wei, N.; Zhang, S.; Yuan, H.; Liu, S.; et al. Assessing climate change impacts on crop yields and exploring adaptation strategies in Northeast China. Earths Future 2024, 12, e2023EF004063. [Google Scholar] [CrossRef]
- Huang, P.; Xie, H.; Li, D.; Hu, X.; Liu, C.; Kurshid, B.; Xu, Y.; Song, C.; Dai, C.; Khan, S.; et al. Projected high-resolution ETo spatiotemporal variation under future climate change and paddy area expansion in the Sanjiang Plain. J. Hydrol. Reg. Stud. 2023, 50, 101574. [Google Scholar] [CrossRef]
- Liu, D.; Chen, W.; Li, L. Disentangling climate and human impacts on paddy expansion in the northern Sanjiang Plain. Ecol. Indic. 2023, 154, 110543. [Google Scholar] [CrossRef]
- Yue, Y.; Liu, H.; Mu, X.; Qin, M.; Wang, T.; Wang, Q.; Yan, Y. Spatial and temporal characteristics of drought and its correlation with climate indices in Northeast China. PLoS ONE 2021, 16, e0259774. [Google Scholar] [CrossRef]
- Yu, X.; Ma, Y. Spatial and temporal analysis of extreme climate events over Northeast China. Atmosphere 2022, 13, 1197. [Google Scholar] [CrossRef]
- Ghaderpour, E.; Zaghloul, M.S.; Dastour, H.; Gupta, A.; Achari, G.; Hassan, Q.K. Least-squares triple cross-wavelet and multivariate regression analyses of climate and river flow. J. Hydromet. 2023, 24, 1883–1900. [Google Scholar] [CrossRef]
- Xiao, D.; Yang, X.; Bai, H.; Tang, J.; Tao, F. Trends and climate response in the yield of staple crops across Northeast China. Front. Sustain. Food Syst. 2024, 7, 1246347. [Google Scholar] [CrossRef]
- Lu, M.; Grafton, R.Q.; Yu, D.; Zuo, J.; Sun, Z.; Gao, C.; Li, Y.; Ding, H.; Zhang, J.; Liu, Z.; et al. Spatial and temporal variations in rainfall seasonality and underlying climatic causes in the eastern China monsoon region (1981–2022). Water 2025, 17, 522. [Google Scholar]
- Zhou, W.; Song, C.; Liu, C.; Fu, Q.; An, T.; Wang, Y.; Sun, X.; Wen, N.; Tang, H.; Wang, Q. A prediction model of maize field yield based on the fusion of multitemporal and multimodal UAV data: A case study in Northeast China. Remote Sens. 2023, 15, 3483. [Google Scholar] [CrossRef]
- Müller, C.; Jägermeyr, J.; Franke, J.A.; Ruane, A.C.; Balkovic, J.; Ciais, P.; Dury, M.; Falloon, P.; Folberth, C.; Hank, T.; et al. Substantial differences in crop yield sensitivities between models call for functionality-based model evaluation. Earths Future 2024, 12, e2023EF003773. [Google Scholar] [CrossRef]
- Wang, X.; Peng, H. On the optimal design of field significance tests for precipitation trends. Geophys. Res. Lett. 2021, 48, e2021GL092831. [Google Scholar] [CrossRef]
- Yan, S.; Chen, H.; He, S. Increasing frequency of warm-dry climate-year type in Northeast China: A major contributor to maize yield shocks. Atmos. Res. 2025, 321, 108084. [Google Scholar] [CrossRef]
- Koimbori, J.K.; Wang, S.; Pan, J.; Guo, L.; Li, K. Yield response of spring maize under future climate and the effects of adaptation measures in Northeast China. Plants 2022, 11, 1634. [Google Scholar] [CrossRef]
- Iizumi, T.; Takaya, Y.; Kim, W.-S.; Nakaegawa, T.; Maeda, S. Global within-season yield anomaly prediction for major crops derived using seasonal forecasts of large-scale climate indices and regional temperature and precipitation. Weather Forecast. 2021, 36, 285–299. [Google Scholar] [CrossRef]
- Wei, Y.; Huang, W.; Zhu, S. Characterization of the propagation of two types of meteorological drought events into hydrology and agriculture. J. Hydrol. 2025, 650, 132555. [Google Scholar] [CrossRef]
- He, Y.; Zhao, Y.; Duan, Y.; Hu, X.; Fang, J. Projected increase in compound drought and hot days within the maize-growing season. Water 2024, 16, 621. [Google Scholar] [CrossRef]
- Dong, X.; Zhang, T.; Yang, X.; Li, T.; Li, X. Rice yield benefits from historical climate warming to be negated by extreme heat in Northeast China. Int. J. Biometeorol. 2023, 67, 835–846. [Google Scholar] [CrossRef]
- Dong, M.; Zhao, J.; Li, E.; Liu, Z.; Guo, S.; Zhang, Z.; Cui, W.; Yang, X. Effects of changing climate extremes on maize grain yield in Northeast China. Agronomy 2023, 13, 1050. [Google Scholar] [CrossRef]
- Li, X.; Lyu, Y.; Zhu, B.; Liu, L.; Song, K. Maize yield estimation in Northeast China’s black soil region using a deep learning model with attention mechanism and remote sensing. Sci. Rep. 2025, 15, 12927. [Google Scholar] [CrossRef] [PubMed]
- Knight, C.; Khouakhi, A.; Waine, T.W. The impact of weather patterns on inter-annual crop yield variability. Sci. Total Environ. 2024, 955, 177181. [Google Scholar] [CrossRef]
- Lu, C.; Leng, G.; Liao, X.; Tu, H.; Qiu, J.; Li, J.; Huang, S.; Peng, J. In-season maize yield prediction in Northeast China: The phase-dependent benefits of assimilating climate forecast and satellite observations. Agric. For. Meteorol. 2024, 358, 110242. [Google Scholar] [CrossRef]
- Miao, L.; Zou, Y.; Cui, X.; Kattel, G.R.; Shang, Y.; Zhu, J. Predicting China’s maize yield using multi-source data and machine learning. Remote Sens. 2024, 16, 2417. [Google Scholar] [CrossRef]
- Shi, J.; Deng, Y.; Shao, Z.; Li, K.; Zhang, Y.; Wang, Z.; Sun, B.; Zhang, H.; Wang, Y. Study on spatiotemporal changes of wetlands based on PLS-SEM and PLUS model: The case of the Sanjiang Plain. Ecol. Indic. 2024, 169, 111269. [Google Scholar] [CrossRef]
- Zhang, Q.; Sun, J.; Dai, C.; Zhang, G.; Wu, Y. Sustainable development of groundwater resources under the large-scale conversion of dry land into rice fields. Agric. Water Manag. 2024, 298, 108851. [Google Scholar] [CrossRef]
- Ling, Z.; Shu, L.; Wang, D.; Liu, B. Characteristics of groundwater drought and its propagation dynamics with meteorological drought in the Sanjiang Plain, China: Irrigated versus nonirrigated areas. J. Hydrol. Reg. Stud. 2024, 54, 101911. [Google Scholar] [CrossRef]
- Li, J.; Li, H.; Wang, Q.; Meng, Q.; Zou, J.; Jiang, Y.; Zhou, C. Dynamic characteristics of key meteorological elements and their impacts on major crop yields in albic soil region of Sanjiang Plain in China. Atmosphere 2025, 16, 984. [Google Scholar] [CrossRef]
- Zhao, H.J.; Luo, C.; Kong, D.P.; Yu, Y.F.; Zang, D.Q.; Wang, F. Spatial and temporal variations in soil organic matter and their influencing factors in the Songnen and Sanjiang Plains of China (1984–2021). Land 2024, 13, 1447. [Google Scholar] [CrossRef]
- Liu, H.W.; Wang, J.J.; Sun, X.; McLaughlin, N.B.; Jia, S.X.; Liang, A.Z.; Zhang, S.X. The driving mechanism of soil organic carbonbiodegradability in the black soil region of Northeast China. Sci. Total Environ. 2023, 884, 163835. [Google Scholar] [CrossRef]
- Ning, X.; Li, H.; Liu, R. Characterizing changes in paddy rice flooding time over the Sanjiang Plain using Moderate-Resolution Imaging Spectroradiometer time series. Remote Sens. 2024, 16, 4683. [Google Scholar] [CrossRef]
- Wang, S.Z.; Wang, M.Y.; Gao, X.; Zhao, W.Q.; Miao, P.W.; Liu, Y.N.; Zhang, R.T.; Wang, X.; Sui, X.; Li, M.H. The diversity and composition of soil microbial communities differ in three land use types of the Sanjiang Plain, Northeastern China. Microorganisms 2024, 12, 780. [Google Scholar] [CrossRef] [PubMed]
- Wu, J.H.; Deng, H.B.; Sun, R. Analysis of spatiotemporal variation in precipitation on the Loess Plateau from 1961 to 2016. Sustainability 2025, 16, 11119. [Google Scholar] [CrossRef]
- Zhang, J.; Sun, H.; Gao, D.; Chen, X. Detection of canopy chlorophyll content of corn based on continuous wavelet transform analysis. Remote Sens. 2020, 12, 2741. [Google Scholar] [CrossRef]
- Gu, X.F.; Jamshidi, S.; Gu, L.L.; Li, Y.Y. Drought dynamics in California and Mississippi: A wavelet analysis of meteorological to agricultural drought transition. J. Environ. Manag. 2024, 370, 122883. [Google Scholar] [CrossRef] [PubMed]
- Zhou, Y.; Zhang, Q.L.; Bai, G.Y.; Liu, H.X. Groundwater dynamics clustering and prediction based on grey relational analysis and LSTM model: A case study in Beijing Plain, China. J. Hydrol. Reg. Stud. 2024, 56, 102011. [Google Scholar] [CrossRef]
- Sun, C.; Feng, L.; Guo, M.; Ju, X. Using the Taguchi method and grey relational analysis to optimize ventilation systems for rural outdoor toilets in the post-pandemic era. Buildings 2024, 14, 2692. [Google Scholar] [CrossRef]
- Parding, K.M.; Benestad, R.E.; Dyrrdal, A.V.; Haugen, J.E. A principal-component-based strategy for regionalisation of precipitation intensity–duration–frequency (IDF) statistics. Hydrol. Earth Syst. Sci. 2023, 27, 719–3732. [Google Scholar] [CrossRef]
- Song, S.H.; Li, H.H.; Yang, M.; Zhang, T.X. Study on response process and time delay effect of groundwater dynamic in northeastern margin of Tibetan Plateau. Water 2023, 15, 2838. [Google Scholar] [CrossRef]
- Meng, F.; Xie, K.; Liu, P.; Chen, H.; Wang, Y.; Shi, H. Extreme precipitation trends in Northeast China based on a non-stationary generalized extreme value model. Geosci. Lett. 2024, 11, 8. [Google Scholar] [CrossRef]
- Sun, Y.; Wu, Y.; Sun, Y.; Luo, Y.; Guo, C.; Li, B.; Li, F.; Xing, M.; Yang, Z.; Ma, J. Effects of water and nitrogen on grain filling characteristics, canopy microclimate with chalkiness of directly seeded rice. Agriculture 2022, 12, 122. [Google Scholar] [CrossRef]
- Zhai, L.; Zhang, L.; Yao, H.; Zheng, M.; Ming, B.; Xie, R.; Zhang, J.; Jia, X.; Ji, J. The optimal cultivar × sowing date × plant density for grain yield and resource use efficiency of summer maize in the Northern Huang–Huai–Hai Plain of China. Agriculture 2022, 12, 7. [Google Scholar] [CrossRef]
- Qiao, S.; Liu, Z.; Zhang, Z.; Su, Z.; Yang, X. The heat stress during anthesis and the grain-filling period of spring maize in Northeast China is projected to increase toward the mid-21st century. J. Sci. Food Agric. 2023, 103, 7612–7620. [Google Scholar] [CrossRef] [PubMed]
- Zhao, J.; Wang, Y.; Zhao, M.; Rodriguez, D.; de Voil, P.; Tan, Z.; Chu, Q. Anticipated changes in soybean drought stress and yield stability under future climates in Northeast China. npj Sustain. Agric. 2025, 3, 14. [Google Scholar] [CrossRef]
















| Meteorological Elements | 859 | 850 | 852 | |||
|---|---|---|---|---|---|---|
| Z-Value | p-Value | Z-Value | p-Value | Z-Value | p-Value | |
| Air temperature | 1.013 | 0.032 | 1.120 | 0.038 | 1.256 | 0.051 |
| Precipitation | 0.352 | 0.001 | 0.482 | 0.001 | 0.571 | 0.001 |
| Evaporation | 0.426 | 0.043 | −1.017 | 0.064 | −0.967 | 0.053 |
| Sunlight | 0.853 | 0.024 | 0.664 | 0.035 | −0.906 | 0.060 |
| Relative humidity | 0.384 | 0.065 | 0.409 | 0.035 | 0.422 | 0.055 |
| Surface temperature | 2.548 | 0.087 | 2.458 | 0.069 | 2.307 | 0.100 |
| Meteorological Elements | Main Period/a | ||
|---|---|---|---|
| 859 | 850 | 852 | |
| Air temperature | 21,12 | 21,12 | 22,12 |
| Precipitation | 21,8 | 21,9 | 21,8 |
| Evaporation | 23,12 | 24,12 | 23,11 |
| Sunlight | 21,8 | 22,8 | 21,9 |
| Relative humidity | 22,8 | 21,8 | 22,8 |
| Surface temperature | 12,8 | 12,9 | 12,8 |
| Crop | Testing Statistic | 859 | 850 | 852 |
|---|---|---|---|---|
| Rice | Z-value | 3.051 | 2.902 | 2.257 |
| p-value | 0.002 | 0.002 | 0.335 | |
| Soybean | Z-value | 0.918 | −1.612 | −1.796 |
| p-value | 0.557 | 0.067 | 0.044 | |
| Corn | Z-value | 3.200 | 2.952 | −0.739 |
| p-value | 0.000 | 0.001 | 0.277 |
| Meteorological Elements | Rice | Ranking | Soybean | Ranking | Corn | Ranking |
|---|---|---|---|---|---|---|
| Air temperature | 0.800 | 2 | 0.764 | 2 | 0.790 | 2 |
| Precipitation | 0.853 | 1 | 0.826 | 1 | 0.844 | 1 |
| Evaporation | 0.741 | 4 | 0.714 | 3 | 0.728 | 4 |
| Sunlight | 0.755 | 3 | 0.700 | 4 | 0.736 | 3 |
| Relative humidity | 0.726 | 5 | 0.635 | 6 | 0.688 | 6 |
| Surface temperature | 0.715 | 6 | 0.697 | 5 | 0.725 | 5 |
| Factor | Eigenvalue | Extraction of Principal Components After Rotation | ||||
|---|---|---|---|---|---|---|
| Eigenvalue | Variance Explanation Ratio % | Cumulative % | Eigenvalue | Variance Explanation Ratio % | Cumulative % | |
| 1 | 2.959 | 49.315 | 49.315 | 2.508 | 41.798 | 41.798 |
| 2 | 1.101 | 18.342 | 67.657 | 1.552 | 25.859 | 67.657 |
| 3 | 0.779 | 12.979 | 80.636 | |||
| 4 | 0.574 | 9.575 | 90.21 | |||
| 5 | 0.366 | 6.106 | 96.317 | |||
| 6 | 0.221 | 3.683 | 100 | |||
| Factor | Factor 1 | Factor 2 |
|---|---|---|
| Air temperature | 0.703 | 0.390 |
| Precipitation | 0.235 | 0.421 |
| Evaporation | −0.299 | −0.042 |
| Sunlight | 0.059 | −0.040 |
| Relative humidity | −0.340 | 0.311 |
| Surface temperature | 0.188 | 0.156 |
Disclaimer/Publisher’s Note: The statements, opinions and data contained in all publications are solely those of the individual author(s) and contributor(s) and not of MDPI and/or the editor(s). MDPI and/or the editor(s) disclaim responsibility for any injury to people or property resulting from any ideas, methods, instructions or products referred to in the content. |
© 2026 by the authors. Licensee MDPI, Basel, Switzerland. This article is an open access article distributed under the terms and conditions of the Creative Commons Attribution (CC BY) license.
Share and Cite
Li, J.; Li, H.; Liu, X.; Wang, Q.; Meng, Q.; Zou, J.; Luo, Y.; Wang, S.; Tan, L. Dynamics of Key Meteorological Variables and Their Impacts on Staple Crop Yields Across Large-Scale Farms in Heilongjiang, China. Agriculture 2026, 16, 143. https://doi.org/10.3390/agriculture16020143
Li J, Li H, Liu X, Wang Q, Meng Q, Zou J, Luo Y, Wang S, Tan L. Dynamics of Key Meteorological Variables and Their Impacts on Staple Crop Yields Across Large-Scale Farms in Heilongjiang, China. Agriculture. 2026; 16(2):143. https://doi.org/10.3390/agriculture16020143
Chicago/Turabian StyleLi, Jingyang, Huanhuan Li, Xin Liu, Qiuju Wang, Qingying Meng, Jiahe Zou, Yifei Luo, Shuangchao Wang, and Long Tan. 2026. "Dynamics of Key Meteorological Variables and Their Impacts on Staple Crop Yields Across Large-Scale Farms in Heilongjiang, China" Agriculture 16, no. 2: 143. https://doi.org/10.3390/agriculture16020143
APA StyleLi, J., Li, H., Liu, X., Wang, Q., Meng, Q., Zou, J., Luo, Y., Wang, S., & Tan, L. (2026). Dynamics of Key Meteorological Variables and Their Impacts on Staple Crop Yields Across Large-Scale Farms in Heilongjiang, China. Agriculture, 16(2), 143. https://doi.org/10.3390/agriculture16020143

