Sign in to use this feature.

Years

Between: -

Subjects

remove_circle_outline
remove_circle_outline
remove_circle_outline
remove_circle_outline
remove_circle_outline
remove_circle_outline
remove_circle_outline

Journals

Article Types

Countries / Regions

Search Results (22)

Search Parameters:
Keywords = wheel flat detection

Order results
Result details
Results per page
Select all
Export citation of selected articles as:
21 pages, 4199 KB  
Article
Research on Wheel Flat Recognition Based on Wayside Wheel–Rail Force
by Xinyu Peng, Jing Zeng, Longfei Yue, Qunsheng Wang, Yixuan Shi, Chaokun Ma and Long Zhang
Appl. Sci. 2025, 15(14), 7962; https://doi.org/10.3390/app15147962 - 17 Jul 2025
Viewed by 464
Abstract
A wheel flat is the most common fault of a railway freight car, a type of complex transport equipment. A wheel flat will cause continuous regular impact on the rail, damage the rail and the railway structure, affecting the safety and stability of [...] Read more.
A wheel flat is the most common fault of a railway freight car, a type of complex transport equipment. A wheel flat will cause continuous regular impact on the rail, damage the rail and the railway structure, affecting the safety and stability of rail transport. This article studied the relationship between wheel flats and wheel–rail impacts using multi-body dynamics simulation through SIMPACK and, through a field test, validates the detection of a flat wheel. The results show that using the simulation method can obtain similar data to the measured wheel–rail force in the wayside detection device. The simulation data show that the data collected by 14 shear vertical force acquisition channels can completely cover the wheel surface of the heavy-duty railway 840 mm diameter wheel. According to the flat length-speed-impact diagram, the mapping relationship can be fitted using polynomial regression. Based on the measured wheel–rail impact forces, the size of wheel flats can then be deduced from this established mapping relationship. Through a field test, the detection method has been validated. Full article
Show Figures

Figure 1

12 pages, 2790 KB  
Article
An Optical Sensor for Measuring In-Plane Linear and Rotational Displacement
by Suhana Jamil Ahamed, Michael Aaron McGeehan and Keat Ghee Ong
Sensors 2025, 25(13), 3996; https://doi.org/10.3390/s25133996 - 26 Jun 2025
Viewed by 464
Abstract
We developed an optoelectronic sensor capable of quantifying in-plane rotational and linear displacements between two parallel surfaces. The sensor utilizes a photo detector to capture the intensity of red (R), green (G), blue (B), and clear (C, broad visible spectrum) light reflected from [...] Read more.
We developed an optoelectronic sensor capable of quantifying in-plane rotational and linear displacements between two parallel surfaces. The sensor utilizes a photo detector to capture the intensity of red (R), green (G), blue (B), and clear (C, broad visible spectrum) light reflected from a color gradient wheel on the opposing surface. Variations in reflected R, G, B and C light intensities, caused by displacements, were used to predict linear and rotational motion via a polynomial regression algorithm. To train and validate this model, we employed a custom-built positioning stage that produced controlled displacement and rotation while recording corresponding changes in light intensity. The reliability of the predicted linear and rotational displacement results was evaluated using two different color gradient wheels: a wheel with changing color hue, and another wheel with changing color hue and saturation. Benchtop experiments demonstrated high predictive accuracy, with coefficients of determination (R2) exceeding 0.94 for the hue-only wheel and 0.92 for the hue-and-saturation wheel. These results highlight the sensor’s potential for detecting shear displacement and rotation in footwear and wearable medical devices, such as orthotics and prostheses, enabling the detection of slippage, overfitting, or underfitting. This capability is particularly relevant to clinical conditions, including diabetic neuropathy, flat feet, and limb amputations. Full article
Show Figures

Figure 1

20 pages, 10400 KB  
Article
A Methodology of Condition Monitoring System Utilizing Supervised and Semi-Supervised Learning in Railway
by Jaeseok Shim, Jeongseo Koo and Yongwoon Park
Sensors 2023, 23(22), 9075; https://doi.org/10.3390/s23229075 - 9 Nov 2023
Cited by 6 | Viewed by 2034
Abstract
In this paper, research was conducted on anomaly detection of wheel flats. In the railway sector, conducting tests with actual railway vehicles is challenging due to safety concerns for passengers and maintenance issues as it is a public industry. Therefore, dynamics software was [...] Read more.
In this paper, research was conducted on anomaly detection of wheel flats. In the railway sector, conducting tests with actual railway vehicles is challenging due to safety concerns for passengers and maintenance issues as it is a public industry. Therefore, dynamics software was utilized. Next, STFT (short-time Fourier transform) was performed to create spectrogram images. In the case of railway vehicles, control, monitoring, and communication are performed through TCMS, but complex analysis and data processing are difficult because there are no devices such as GPUs. Furthermore, there are memory limitations. Therefore, in this paper, the relatively lightweight models LeNet-5, ResNet-20, and MobileNet-V3 were selected for deep learning experiments. At this time, the LeNet-5 and MobileNet-V3 models were modified from the basic architecture. Since railway vehicles are given preventive maintenance, it is difficult to obtain fault data. Therefore, semi-supervised learning was also performed. At this time, the Deep One Class Classification paper was referenced. The evaluation results indicated that the modified LeNet-5 and MobileNet-V3 models achieved approximately 97% and 96% accuracy, respectively. At this point, the LeNet-5 model showed a training time of 12 min faster than the MobileNet-V3 model. In addition, the semi-supervised learning results showed a significant outcome of approximately 94% accuracy when considering the railway maintenance environment. In conclusion, considering the railway vehicle maintenance environment and device specifications, it was inferred that the relatively simple and lightweight LeNet-5 model can be effectively utilized while using small images. Full article
(This article belongs to the Section Fault Diagnosis & Sensors)
Show Figures

Figure 1

19 pages, 5055 KB  
Article
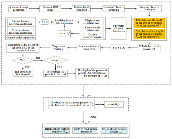
VIDAR-Based Road-Surface-Pothole-Detection Method
by Yi Xu, Teng Sun, Shaohong Ding, Jinxin Yu, Xiangcun Kong, Juan Ni and Shuyue Shi
Sensors 2023, 23(17), 7468; https://doi.org/10.3390/s23177468 - 28 Aug 2023
Cited by 7 | Viewed by 2924
Abstract
This paper presents a VIDAR (a Vision-IMU based detection and ranging method)-based approach to road-surface pothole detection. Most potholes on the road surface are caused by the further erosion of cracks in the road surface, and tires, wheels and bearings of vehicles are [...] Read more.
This paper presents a VIDAR (a Vision-IMU based detection and ranging method)-based approach to road-surface pothole detection. Most potholes on the road surface are caused by the further erosion of cracks in the road surface, and tires, wheels and bearings of vehicles are damaged to some extent as they pass through the potholes. To ensure the safety and stability of vehicle driving, we propose a VIDAR-based pothole-detection method. The method combines vision with IMU to filter, mark and frame potholes on flat pavements using MSER to calculate the width, length and depth of potholes. By comparing it with the classical method and using the confusion matrix to judge the correctness, recall and accuracy of the method proposed in this paper, it is verified that the method proposed in this paper can improve the accuracy of monocular vision in detecting potholes in road surfaces. Full article
(This article belongs to the Section Vehicular Sensing)
Show Figures

Figure 1

15 pages, 4066 KB  
Communication
Wheel Defect Detection Using a Hybrid Deep Learning Approach
by Khurram Shaikh, Imtiaz Hussain and Bhawani Shankar Chowdhry
Sensors 2023, 23(14), 6248; https://doi.org/10.3390/s23146248 - 8 Jul 2023
Cited by 12 | Viewed by 5216
Abstract
Defective wheels pose a significant challenge in railway transportation, impacting operational performance and safety. Excessive traction and braking forces give rise to deviations from the intended conical tread shape, resulting in amplified vibrations and noise. Moreover, these deviations contribute to the accelerated damage [...] Read more.
Defective wheels pose a significant challenge in railway transportation, impacting operational performance and safety. Excessive traction and braking forces give rise to deviations from the intended conical tread shape, resulting in amplified vibrations and noise. Moreover, these deviations contribute to the accelerated damage of track components. Detecting wheel defects at an early stage is crucial to ensure safe and comfortable operation, as well as to minimize maintenance costs. However, the presence of various vibrations, such as those induced by the track, traction motors, and other rolling stock subsystems, poses a significant challenge for onboard detection techniques. These vibrations create difficulties in accurately identifying wheel defects in real-time during operational activities, often resulting in false alarms. This research paper aims to address this issue by using a hybrid deep learning-based approach for the accurate detection of various types of wheel defects using accelerometer data. The proposed approach aims to enhance wheel defect detection accuracy while considering onboard techniques’ cost-effectiveness and efficiency. A realistic simulation model of the railway wheelset is developed to generate a comprehensive dataset. To generate vibration data in various scenarios, the model is simulated for 20 s under different conditions, including one non-faulty scenario and six faulty scenarios. The simulations are conducted at different speeds and track conditions to capture a wide range of operating conditions. Within each simulation iteration, a total of 200,000 data points are generated, providing a comprehensive dataset for analysis and evaluation. The generated data are then utilized to train and evaluate a hybrid deep learning model, employing a multi-layer perceptron (MLP) as a feature extractor and multiple machine learning models (support vector machine, random forest, decision tree, and k-nearest neighbors) for performance comparison. The results demonstrate that the MLP-RF (multi-layer perceptron with random forest) model achieved an accuracy of 99%, while the MLP-DT (multi-layer perceptron with decision tree) model achieved an accuracy of 98%. These high accuracy values indicate the effectiveness of the models in accurately classifying and predicting the outcomes. The contributions of this research work include the development of a realistic simulation model, the evaluation of sensor layout effectiveness, and the application of deep learning techniques for improved wheel flat detections. Full article
(This article belongs to the Special Issue Sensing and Imaging for Defect Detection)
Show Figures

Figure 1

24 pages, 13613 KB  
Article
An Adaptive Parameterized Domain Mapping Method and Its Application in Wheel–Rail Coupled Fault Diagnosis for Rail Vehicles
by Zihang Xu, Jianwei Yang, Dechen Yao, Jinhai Wang and Minghui Wei
Sensors 2023, 23(12), 5486; https://doi.org/10.3390/s23125486 - 10 Jun 2023
Cited by 1 | Viewed by 1808
Abstract
The rapid development of cities in recent years has increased the operational pressure of rail vehicles, and due to the characteristics of rail vehicles, including harsh operating environment, frequent starting and braking, resulting in rails and wheels being prone to rail corrugation, polygons, [...] Read more.
The rapid development of cities in recent years has increased the operational pressure of rail vehicles, and due to the characteristics of rail vehicles, including harsh operating environment, frequent starting and braking, resulting in rails and wheels being prone to rail corrugation, polygons, flat scars and other faults. These faults are coupled in actual operation, leading to the deterioration of the wheel–rail contact relationship and causing harm to driving safety. Hence, the accurate detection of wheel–rail coupled faults will improve the safety of rail vehicles’ operation. The dynamic modeling of rail vehicles is carried out to establish the character models of wheel–rail faults including rail corrugation, polygonization and flat scars to explore the coupling relationship and characteristics under variable speed conditions and to obtain the vertical acceleration of the axle box. An APDM time–frequency analysis method is proposed in this paper based on the PDMF adopting Rényi entropy as the evaluation index and employing a WOA to optimize the parameter set. The number of iterations of the WOA adopted in this paper is decreased by 26% and 23%, respectively, compared with PSO and SSA, which means that the WOA performs at faster convergence speed and with a more accurate Rényi entropy value. Additionally, TFR obtained using APDM realizes the localization and extraction of the coupled fault characteristics under rail vehicles’ variable speed working conditions with higher energy concentration and stronger noise resistance corresponding to prominent ability of fault diagnosis. Finally, the effectiveness of the proposed method is verified using simulation and experimental results that prove the engineering application value of the proposed method. Full article
Show Figures

Figure 1

17 pages, 3721 KB  
Review
Recent Advances in Wayside Railway Wheel Flat Detection Techniques: A Review
by Wenjie Fu, Qixin He, Qibo Feng, Jiakun Li, Fajia Zheng and Bin Zhang
Sensors 2023, 23(8), 3916; https://doi.org/10.3390/s23083916 - 12 Apr 2023
Cited by 11 | Viewed by 5839
Abstract
Wheel flats are amongst the most common local surface defect in railway wheels, which can result in repetitive high wheel–rail contact forces and thus lead to rapid deterioration and possible failure of wheels and rails if not detected at an early stage. The [...] Read more.
Wheel flats are amongst the most common local surface defect in railway wheels, which can result in repetitive high wheel–rail contact forces and thus lead to rapid deterioration and possible failure of wheels and rails if not detected at an early stage. The timely and accurate detection of wheel flats is of great significance to ensure the safety of train operation and reduce maintenance costs. In recent years, with the increase of train speed and load capacity, wheel flat detection is facing greater challenges. This paper focuses on the review of wheel flat detection techniques and flat signal processing methods based on wayside deployment in recent years. Commonly used wheel flat detection methods, including sound-based methods, image-based methods, and stress-based methods are introduced and summarized. The advantages and disadvantages of these methods are discussed and concluded. In addition, the flat signal processing methods corresponding to different wheel flat detection techniques are also summarized and discussed. According to the review, we believe that the development direction of the wheel flat detection system is gradually moving towards device simplification, multi-sensor fusion, high algorithm accuracy, and operational intelligence. With continuous development of machine learning algorithms and constant perfection of railway databases, wheel flat detection based on machine learning algorithms will be the development trend in the future. Full article
Show Figures

Figure 1

21 pages, 5019 KB  
Article
Wheel Out-of-Roundness Detection Using an Envelope Spectrum Analysis
by Vítor Gonçalves, Araliya Mosleh, Cecília Vale and Pedro Aires Montenegro
Sensors 2023, 23(4), 2138; https://doi.org/10.3390/s23042138 - 14 Feb 2023
Cited by 10 | Viewed by 3820
Abstract
This paper aims to detect railway vehicle wheel flats and polygonized wheels using an envelope spectrum analysis. First, a brief explanation of railway vehicle wheel problems is presented, focusing particularly on wheel flats and polygonal wheels. Then, three types of wheel flat profiles [...] Read more.
This paper aims to detect railway vehicle wheel flats and polygonized wheels using an envelope spectrum analysis. First, a brief explanation of railway vehicle wheel problems is presented, focusing particularly on wheel flats and polygonal wheels. Then, three types of wheel flat profiles and three periodic out-of-roundness (OOR) harmonic order ranges for the polygonal wheels are evaluated in the simulations, along with analyses implemented using only healthy wheels for comparison. Moreover, the simulation implements track irregularity profiles modelled based on the US Federal Railroad Administration (FRA). From the numerical calculations, the dynamic responses of several strain gauges (SGs) and accelerometer sensors located on the rail between sleepers are evaluated. Regarding defective wheels, only the right wheel of the first wheelset is considered as a defective wheel, but the detection methodology works for various damaged wheels located in any position. The results from the application of the methodology show that the envelope spectrum analysis successfully distinguishes a healthy wheel from a defective one. Full article
(This article belongs to the Section Fault Diagnosis & Sensors)
Show Figures

Figure 1

27 pages, 8636 KB  
Article
An Unsupervised Learning Approach for Wayside Train Wheel Flat Detection
by Mohammadreza Mohammadi, Araliya Mosleh, Cecilia Vale, Diogo Ribeiro, Pedro Montenegro and Andreia Meixedo
Sensors 2023, 23(4), 1910; https://doi.org/10.3390/s23041910 - 8 Feb 2023
Cited by 28 | Viewed by 4073
Abstract
One of the most common types of wheel damage is flats which can cause high maintenance costs and enhance the probability of failure and damage to the track components. This study aims to compare the performance of four feature extraction methods, namely, auto-regressive [...] Read more.
One of the most common types of wheel damage is flats which can cause high maintenance costs and enhance the probability of failure and damage to the track components. This study aims to compare the performance of four feature extraction methods, namely, auto-regressive (AR), auto-regressive exogenous (ARX), principal component analysis (PCA), and continuous wavelet transform (CWT) capable of automatically distinguishing a defective wheel from a healthy one. The rail acceleration for the passage of freight vehicles is used as a reference measurement to perform this study which comprises four steps: (i) feature extraction from acquired responses using the specific feature extraction methods; (ii) feature normalization based on a latent variable method; (iii) data fusion to enhance the sensitivity to recognize defective wheels; and (iv) damage detection by performing an outlier analysis. The results of this research show that AR and ARX extraction methods are more efficient techniques than CWT and PCA for wheel flat damage detection. Furthermore, in almost every feature, a single sensor on the rail is sufficient to identify a defective wheel. Additionally, AR and ARX methods demonstrated the potential to distinguish a defective wheel on the left and right sides. Lastly, the ARX method demonstrated robustness to detect the wheel flat with accelerometers placed only in the sleepers. Full article
(This article belongs to the Special Issue Advances in Condition Monitoring of Railway Infrastructures)
Show Figures

Figure 1

21 pages, 16692 KB  
Article
Anomaly Detection Method in Railway Using Signal Processing and Deep Learning
by Jaeseok Shim, Jeongseo Koo, Yongwoon Park and Jaehoon Kim
Appl. Sci. 2022, 12(24), 12901; https://doi.org/10.3390/app122412901 - 15 Dec 2022
Cited by 15 | Viewed by 4292
Abstract
In this paper, anomaly detection of wheel flats based on signal processing and deep learning techniques is analyzed. Wheel flats mostly affect running stability and ride comfort. Currently, domestic railway companies visually inspect wheel flats one by one with their eyes after railway [...] Read more.
In this paper, anomaly detection of wheel flats based on signal processing and deep learning techniques is analyzed. Wheel flats mostly affect running stability and ride comfort. Currently, domestic railway companies visually inspect wheel flats one by one with their eyes after railway vehicles enter the railway depots for maintenance. Therefore, CBM (Condition-Based Maintenance) is required for wheel flats resolution. Anomaly detection for wheel flat signals of railway vehicles using Order analysis and STFT (Short Time Fourier Transform) is studied in this paper. In the case of railway vehicles, it is not easy to obtain actual failure data through running vehicles in a university laboratory due to safety and cost issues. Therefore, vibration-induced acceleration was obtained using a multibody dynamics simulation software, SIMPACK. This method is also proved in the other paper by rig tests. In addition, since the noise signal was not included in the simulated vibration, the noise signal obtained from the Seoul Metro Subway Line 7 vehicle was overlapped with the simulated one. Finally, to improve the performance of both detection rate and real-time of characteristics based on existing LeNet-5 architectures, spectrogram images transformed from time domain data were proceeded with the LeNet deep learning model modified with the pooling method and activation function. As a result, it is validated that the method using the spectrogram with a deep learning approach yields higher accuracy than the time domain data. Full article
(This article belongs to the Special Issue AI, Machine Learning and Deep Learning in Signal Processing)
Show Figures

Figure 1

34 pages, 20787 KB  
Article
A Coupling Model of High-Speed Train-Axle Box Bearing and the Vibration Characteristics of Bearing with Defects under Wheel Rail Excitation
by Qiaoying Ma, Yongqiang Liu, Shaopu Yang, Yingying Liao and Baosen Wang
Machines 2022, 10(11), 1024; https://doi.org/10.3390/machines10111024 - 4 Nov 2022
Cited by 22 | Viewed by 5765
Abstract
A three-dimensional vehicle-axle box bearing coupling model is established. The model can calculate the contact force in three directions and obtain the dynamic response of axle box bearing under the real vehicle running environment. The load distribution on the double row tapered roller [...] Read more.
A three-dimensional vehicle-axle box bearing coupling model is established. The model can calculate the contact force in three directions and obtain the dynamic response of axle box bearing under the real vehicle running environment. The load distribution on the double row tapered roller bearing and the vehicle is analyzed, and the co-simulation is conducted by comprehensively considering the force transmission between vehicle and bearing. Taking into account the great impact of defects on the bearing, three different types of bearing defects are added into the model, respectively. The simulation results verify the effectiveness of the model. The model is also verified by using the rolling and vibrating test rig of single wheelset. It is concluded that the simulation results show good agreement with experimental results. The influence of track irregularity on the system motion state is studied by using axis trajectory and vibration RMS (Root Mean Square value). The results show that the influence of track irregularity and wheel flat scar on axle box bearing cannot be ignored. The RMS of acceleration will change greatly due to the existence of defects. Wheel flat scar will greatly interfere with the extraction of bearing defect, but it can be selected at high speed and low frequency to monitor the existence of wheel flat scar, and select low speed and high frequency to monitor the existence of bearing defect. The research results are helpful to the detection of wheel flat scar and axle box bearing defect. Full article
(This article belongs to the Section Vehicle Engineering)
Show Figures

Figure 1

18 pages, 13297 KB  
Article
Automatically Annotated Dataset of a Ground Mobile Robot in Natural Environments via Gazebo Simulations
by Manuel Sánchez, Jesús Morales, Jorge L. Martínez, J. J. Fernández-Lozano and Alfonso García-Cerezo
Sensors 2022, 22(15), 5599; https://doi.org/10.3390/s22155599 - 26 Jul 2022
Cited by 17 | Viewed by 5238
Abstract
This paper presents a new synthetic dataset obtained from Gazebo simulations of an Unmanned Ground Vehicle (UGV) moving on different natural environments. To this end, a Husky mobile robot equipped with a tridimensional (3D) Light Detection and Ranging (LiDAR) sensor, a stereo camera, [...] Read more.
This paper presents a new synthetic dataset obtained from Gazebo simulations of an Unmanned Ground Vehicle (UGV) moving on different natural environments. To this end, a Husky mobile robot equipped with a tridimensional (3D) Light Detection and Ranging (LiDAR) sensor, a stereo camera, a Global Navigation Satellite System (GNSS) receiver, an Inertial Measurement Unit (IMU) and wheel tachometers has followed several paths using the Robot Operating System (ROS). Both points from LiDAR scans and pixels from camera images, have been automatically labeled into their corresponding object class. For this purpose, unique reflectivity values and flat colors have been assigned to each object present in the modeled environments. As a result, a public dataset, which also includes 3D pose ground-truth, is provided as ROS bag files and as human-readable data. Potential applications include supervised learning and benchmarking for UGV navigation on natural environments. Moreover, to allow researchers to easily modify the dataset or to directly use the simulations, the required code has also been released. Full article
(This article belongs to the Section Sensors and Robotics)
Show Figures

Figure 1

17 pages, 9571 KB  
Article
The Wheel Flat Identification Based on Variational Modal Decomposition—Envelope Spectrum Method of the Axlebox Acceleration
by Xuqi Liu, Zhenxing He, Yukui Wang, Lirong Yang, Haiyong Wang and Long Cheng
Appl. Sci. 2022, 12(14), 6837; https://doi.org/10.3390/app12146837 - 6 Jul 2022
Cited by 7 | Viewed by 2046
Abstract
The wheel flat can cause train and rail system infrastructure damage and endanger the running safety. To monitor the early wheel flat, it is urgent to carry out the theoretical basic research on the relationship between the vibration signal and the wheel flat. [...] Read more.
The wheel flat can cause train and rail system infrastructure damage and endanger the running safety. To monitor the early wheel flat, it is urgent to carry out the theoretical basic research on the relationship between the vibration signal and the wheel flat. Moreover, to extract the characteristics of the wheel flat, an advanced and effective signal processing method need to be studied. A three-dimensional vehicle-track coupled dynamics model verified by field test is established based on the multi-body dynamics at first. The acceleration of the axlebox excited by the different wheel flat length is obtained by the dynamic simulation. The simulation considers the influence of various speeds and the short-wavelength track irregularities. Then, a combined method based on the variational modal decomposition (VMD) and the envelope spectrum (ES) is employed to detect the wheel flat signal. The feasibility of the method is further validated by comparing the co-existence of the wheel flat and the wheel eccentricity. Finally, field test is carried out to detect the wheel flat by using this method. The results indicate that the VMD-ES method accurately extracts the impact characteristics of the wheel flat and can quantitatively identify the wheel flat faults of small sizes. Full article
Show Figures

Figure 1

11 pages, 2266 KB  
Article
Transparent and Flexible Vibration Sensor Based on a Wheel-Shaped Hybrid Thin Membrane
by Siyoung Lee, Eun Kwang Lee, Eunho Lee and Geun Yeol Bae
Micromachines 2021, 12(10), 1246; https://doi.org/10.3390/mi12101246 - 14 Oct 2021
Cited by 3 | Viewed by 3548
Abstract
With the advent of human–machine interaction and the Internet of Things, wearable and flexible vibration sensors have been developed to detect human voices and surrounding vibrations transmitted to humans. However, previous wearable vibration sensors have limitations in the sensing performance, such as frequency [...] Read more.
With the advent of human–machine interaction and the Internet of Things, wearable and flexible vibration sensors have been developed to detect human voices and surrounding vibrations transmitted to humans. However, previous wearable vibration sensors have limitations in the sensing performance, such as frequency response, linearity of sensitivity, and esthetics. In this study, a transparent and flexible vibration sensor was developed by incorporating organic/inorganic hybrid materials into ultrathin membranes. The sensor exhibited a linear and high sensitivity (20 mV/g) and a flat frequency response (80–3000 Hz), which are attributed to the wheel-shaped capacitive diaphragm structure fabricated by exploiting the high processability and low stiffness of the organic material SU-8 and the high conductivity of the inorganic material ITO. The sensor also has sufficient esthetics as a wearable device because of the high transparency of SU-8 and ITO. In addition, the temperature of the post-annealing process after ITO sputtering was optimized for the high transparency and conductivity. The fabricated sensor showed significant potential for use in transparent healthcare devices to monitor the vibrations transmitted from hand-held vibration tools and in a skin-attachable vocal sensor. Full article
(This article belongs to the Special Issue Hybrid Organic Electronics: Material, Structure and Application)
Show Figures

Figure 1

21 pages, 5285 KB  
Article
Fuzzy Logic-Based Identification of Railway Wheelset Conicity Using Multiple Model Approach
by Erum Saba, Imtiaz Hussain Kalwar, Mukhtiar Ali Unar, Abdul Latif Memon and Nasrullah Pirzada
Sustainability 2021, 13(18), 10249; https://doi.org/10.3390/su131810249 - 14 Sep 2021
Cited by 8 | Viewed by 3888
Abstract
The deterioration of railway wheel tread causes unexpected breakdowns with increasing risk of operational failure leading to higher maintenance costs. The timely detection of wheel faults, such as wheel flats and false flanges, leading to varying conicity levels, helps network operators schedule maintenance [...] Read more.
The deterioration of railway wheel tread causes unexpected breakdowns with increasing risk of operational failure leading to higher maintenance costs. The timely detection of wheel faults, such as wheel flats and false flanges, leading to varying conicity levels, helps network operators schedule maintenance before a fault occurs in reality. This study proposes a multiple model-based novel technique for the detection of railway wheelset conicity. The proposed idea is based on an indirect method to identify the actual conicity condition by analyzing the lateral acceleration of the wheelset. It in fact incorporates a combination of multiple Kalman filters, tuned on a particular conicity level, and a fuzzy logic identification system. The difference between the actual conicity and its estimated version from the filters is calculated, which provides the foundation for further processing. After preprocessing the residuals, a fuzzy inference system is used that identifies the actual conicity of the wheelset by assessing the normalized rms values from the residuals of each filter. The proposed idea was validated by simulation studies to endorse its efficacy. Full article
Show Figures

Figure 1

Back to TopTop