Sign in to use this feature.

Years

Between: -

Subjects

remove_circle_outline
remove_circle_outline
remove_circle_outline
remove_circle_outline
remove_circle_outline
remove_circle_outline
remove_circle_outline
remove_circle_outline
remove_circle_outline

Journals

Article Types

Countries / Regions

Search Results (214)

Search Parameters:
Keywords = weak grid stability

Order results
Result details
Results per page
Select all
Export citation of selected articles as:
24 pages, 8011 KB  
Article
A Partial Impedance Decoupling Control Method for PMSG-Based Wind Farms Connected to a Weak Grid
by Zixiao Lin, Luona Xu, Niancheng Zhou, Peng Huang and Chaoqing Zhang
Appl. Sci. 2026, 16(6), 2697; https://doi.org/10.3390/app16062697 - 11 Mar 2026
Abstract
Under weak grid conditions, the coupling between the grid-connected converter and the grid impedance tends to bring in harmonic instability in the permanent-magnet synchronous generators (PMSGs)-based wind farm system. Although the symmetrical phase-locked loop (SPLL) can decouple the converter from the grid, it [...] Read more.
Under weak grid conditions, the coupling between the grid-connected converter and the grid impedance tends to bring in harmonic instability in the permanent-magnet synchronous generators (PMSGs)-based wind farm system. Although the symmetrical phase-locked loop (SPLL) can decouple the converter from the grid, it exerts an impact on the system stability. To address this issue, this paper proposes a partial impedance decoupling control method based on the SPLL. Based on a small-signal impedance model, the grid-GSC impedance decoupling mechanism of the SPLL and its adverse impact on system stability are analytically revealed. Furthermore, a partial impedance decoupling method is realized that incorporates adjustment coefficients and symmetric compensation to achieve a trade-off between damping enhancement and coupling mitigation, thus expanding the stable operating range of the PMSG-based wind farm system. Both simulation and experimental results demonstrate that the proposed strategy significantly improves system stability and maintains stable operation under grid conditions with a 10% reduction in short-circuit ratio (SCR). Full article
(This article belongs to the Section Energy Science and Technology)
Show Figures

Figure 1

15 pages, 3938 KB  
Article
Construction of Transmission Line Segments Assessment Model Based on Correlation Analysis and Analytic Hierarchy Process Method
by Shizeng Liu, Yigang Ma, Wenbin Yu, Xianzhong E, Yang Huang, Jiahao Liu and Hongwei Mei
Energies 2026, 19(5), 1374; https://doi.org/10.3390/en19051374 - 9 Mar 2026
Viewed by 90
Abstract
The reliable operation of transmission lines is essential for grid stability. Growing electricity demand pushes existing lines to full capacity, while new construction is constrained by resources and the environment. Dynamic capacity increase technology addresses this by boosting transmission capacity without physical upgrades, [...] Read more.
The reliable operation of transmission lines is essential for grid stability. Growing electricity demand pushes existing lines to full capacity, while new construction is constrained by resources and the environment. Dynamic capacity increase technology addresses this by boosting transmission capacity without physical upgrades, with the identification of weak points along the line being central to its application. This study integrates correlation analysis and the Analytic Hierarchy Process to develop an evaluation method for transmission line segments, with a supporting software implementation also developed. A system of characteristic quantities was first established using operation and maintenance guidelines combined with correlation analysis. The Analytic Hierarchy Process was applied to score features and derive weights after consistency validation. Preprocessed line data were then weighted to calculate segment weakness levels, and fuzzy comprehensive evaluation was used for both qualitative and quantitative condition analysis. The model was validated through a case study, and its software implementation streamlines and enhances the assessment process. Full article
Show Figures

Figure 1

16 pages, 5328 KB  
Article
Adaptive Hybrid Synchronization-Based Transient Stability Enhancement Strategy for Grid-Forming Converters in Weak Grid Scenarios
by Yanlin Wu, Chuang Yu, Ziyang Li, Xinyue Chen, Feng Jiang, Min Chen, Wei Wei and Hongda Cai
Energies 2026, 19(5), 1371; https://doi.org/10.3390/en19051371 - 8 Mar 2026
Viewed by 170
Abstract
Driven by the large-scale application of distributed power sources, power systems are facing escalating frequency stability challenges in terms of inertia reduction. In this weak grid scenario, grid-connected converters are increasingly required to operate as high-inertia grid-forming (GFM) units to participate in the [...] Read more.
Driven by the large-scale application of distributed power sources, power systems are facing escalating frequency stability challenges in terms of inertia reduction. In this weak grid scenario, grid-connected converters are increasingly required to operate as high-inertia grid-forming (GFM) units to participate in the regulation of grid frequency. However, this high inertia will seriously impair the transient stability of GFM converters. To resolve the conflict, an adaptive hybrid synchronization-based transient enhancement strategy is proposed. Through integrating the traditional droop phase angle with the phase-locked loop-locked grid phase angle, the proposed control can effectively enhance transient stability under the full fault range from mild to severe voltage sags (with a voltage sag depth of up to 90%) without sacrificing system inertia. Moreover, benefiting from this, the proposed hybrid synchronization scheme also avoids the secondary overcurrent issue that occurs after fault clearance in traditional GFM control. Finally, the simulation and experimental results under various voltage sags verify the effectiveness of the proposed control strategy. Full article
(This article belongs to the Special Issue Power Electronic Converter and Its Control: 2nd Edition)
Show Figures

Figure 1

29 pages, 374 KB  
Review
The Dual Role of Grid-Forming Inverters: Power Electronics Innovations and Power System Stability
by Mahmood Alharbi
Electronics 2026, 15(5), 1115; https://doi.org/10.3390/electronics15051115 - 8 Mar 2026
Viewed by 182
Abstract
The transition from conventional synchronous generators to inverter-based power systems has introduced significant challenges in stability, reliability, and protection coordination. Grid-forming inverters (GFMs) have emerged as a promising solution by emulating inertia and voltage regulation functions while enabling grid-supportive operation in weak or [...] Read more.
The transition from conventional synchronous generators to inverter-based power systems has introduced significant challenges in stability, reliability, and protection coordination. Grid-forming inverters (GFMs) have emerged as a promising solution by emulating inertia and voltage regulation functions while enabling grid-supportive operation in weak or islanded networks. This study presents a structured qualitative review of the recent literature on GFM technologies. The selection process focused on control strategies, advanced semiconductor materials, protection frameworks, and cyber–physical security considerations. A thematic synthesis and comparative analysis were conducted to identify emerging trends and technical gaps. Among established approaches, virtual synchronous machine (VSM) and droop control remain widely adopted. More advanced strategies, including virtual oscillator control (VOC) and model predictive control (MPC), demonstrate improved dynamic performance in weak-grid conditions. Advances in semiconductor technologies, particularly Silicon Carbide (SiC) and Gallium Nitride (GaN), enable faster switching, higher efficiency, and enhanced thermal performance. The findings indicate a growing shift toward decentralized control architectures, fault-resilient converter topologies, and integrated protection–control co-design. Emerging solutions include grid-forming synchronization techniques that replace conventional phase-locked loop (PLL) structures, intrusion-tolerant inverter firmware with embedded anomaly detection, and predictive fault-clearing schemes tailored for low-inertia networks. Despite these advancements, several research gaps remain. These include limited large-scale validation of VOC and MPC strategies under high renewable penetration, insufficient interoperability metrics for legacy system integration, and a lack of standardized cybersecurity benchmarks across platforms. Future research should prioritize real-time experimental validation, robust protection co-design methodologies, and the development of regulatory and dynamic performance standards tailored to inverter-dominated grids. Strengthening protection coordination and interoperability frameworks will be essential to ensure the secure and stable deployment of GFMs in modern power systems. Full article
Show Figures

Figure 1

27 pages, 3616 KB  
Article
Hybrid Metaheuristic-Based Probabilistic Planning of Weak Power Grids with Renewable Generation and Hydrogen Energy Storage
by Ayman Hussein Badawi, Mohamed M. Zakaria Moustafa, Mostafa S. Hamad, Ayman Samy Abdel-Khalik and Ragi A. R. Hamdy
Energies 2026, 19(5), 1288; https://doi.org/10.3390/en19051288 - 4 Mar 2026
Viewed by 189
Abstract
The large-scale integration of wind turbine generators (WTGs) and photovoltaic (PV) generation increases operational uncertainty and can exacerbate stability limitations in weak transmission networks, motivating the use of green hydrogen energy storage systems (HESS). This paper presents a probabilistic planning framework for the [...] Read more.
The large-scale integration of wind turbine generators (WTGs) and photovoltaic (PV) generation increases operational uncertainty and can exacerbate stability limitations in weak transmission networks, motivating the use of green hydrogen energy storage systems (HESS). This paper presents a probabilistic planning framework for the joint siting and sizing of HESS to support hybrid WTG–PV integration under stochastic wind, solar irradiance, and load conditions. The proposed framework explicitly couples Monte Carlo-based probabilistic power flow with weak-grid security constraints by enforcing FVSI-based voltage-stability limits and an SSI-based system-strength requirement within the optimization loop, rather than treating these indices as post-analysis checks. The planning problem is formulated using a weighted-sum scalarization to minimize life-cycle carbon footprint and active power losses, subject to security constraints based on the Fast Voltage Stability Index (FVSI) and a system-strength constraint expressed through a System Strength Index (SSI). To solve the resulting constrained, nonlinear optimization problem, a sequential hybrid metaheuristic that couples Whale Optimization (exploration) with Osprey Optimization (exploitation) is developed. The framework is implemented in MATLAB using MATPOWER and evaluated on a modified IEEE 39-bus system. Simulation results report an annual carbon footprint of 22.16 Mt CO2eq/yr, an improvement of 9.2% and 5.3% relative to PSO and GA/PSO baselines, respectively, while increasing the weakest-bus SSI to 4.68 (bus 7). The resulting HESS design comprises a 296.9 MW electrolyzer, a 262.7 MW fuel cell, and 28,012 kg of hydrogen storage. Full article
Show Figures

Figure 1

22 pages, 5040 KB  
Article
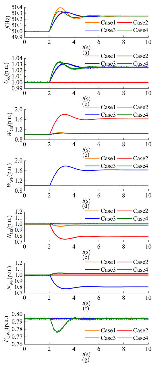
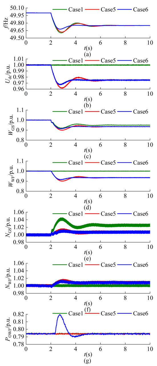
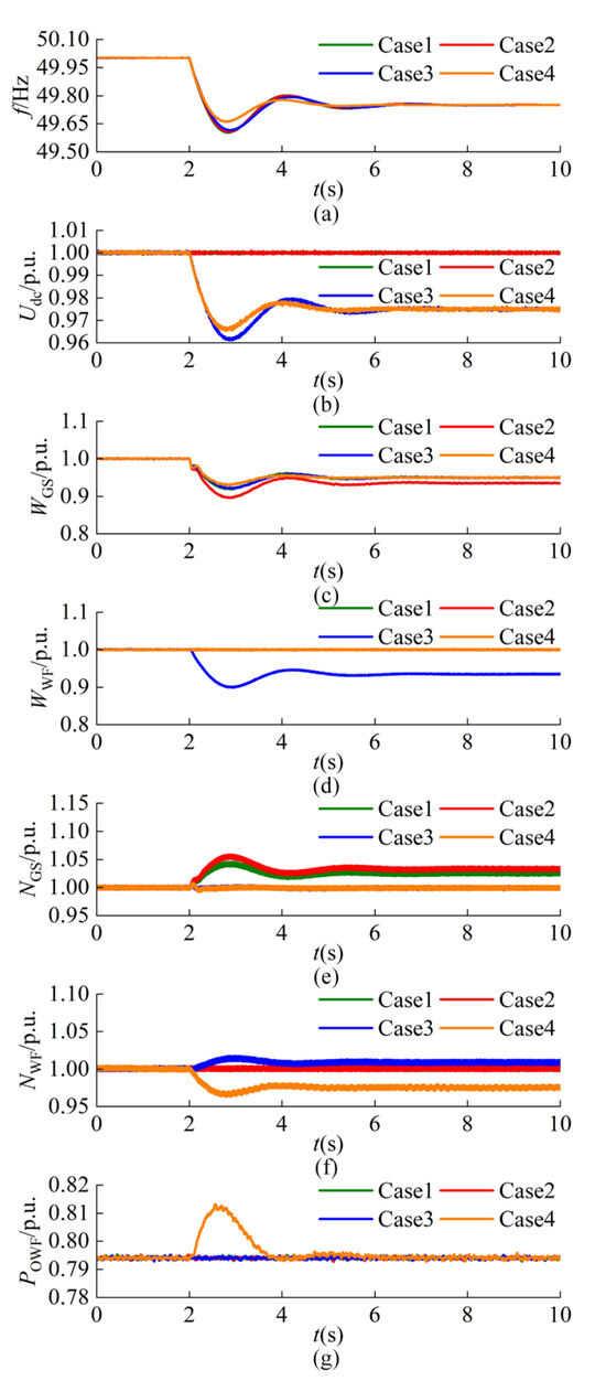
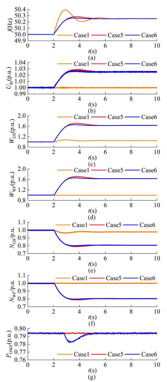
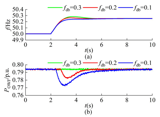
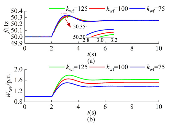
Coordinated Inertia Support Strategy for Offshore Wind Power-Integrated MMC-HVDC System
by Can Tang, Yan Li, Haipan Li, Ruixu Liu, Zhengchao Liu, Xudong Pan, Qiluan Yang and Huangqing Xiao
Electronics 2026, 15(5), 1063; https://doi.org/10.3390/electronics15051063 - 3 Mar 2026
Viewed by 155
Abstract
To mitigate the inertia deficiency and weak damping in receiving-end grids caused by the large-scale integration of the offshore wind power-integrated MMC-HVDC system, this paper proposes a coordinated inertia support strategy. First, the transient support capability of submodule capacitors within the HVDC system [...] Read more.
To mitigate the inertia deficiency and weak damping in receiving-end grids caused by the large-scale integration of the offshore wind power-integrated MMC-HVDC system, this paper proposes a coordinated inertia support strategy. First, the transient support capability of submodule capacitors within the HVDC system is quantitatively analyzed. Subsequently, a capacitor energy-based grid-forming control is developed. A decoupled control mechanism is implemented to eliminate the coupling between submodule capacitor voltage and DC voltage, enabling maximum utilization of the converter’s internal transient energy while maintaining DC voltage stability. Furthermore, by introducing a frequency deadband mechanism, a coordinated inertia support strategy mediated by DC voltage is established. This facilitates a hierarchical support sequence wherein capacitors prioritize responses to minor disturbances, while the offshore wind farm (OWF) participates cooperatively during severe frequency deviations. PSCAD/EMTDC 4.6.2 simulations demonstrate that the proposed strategy achieves optimal capacitor energy utilization and effective multi-entity coordination. It reduces the maximum deviation in the grid by 33.3%, significantly enhancing system frequency stability. Full article
(This article belongs to the Section Industrial Electronics)
Show Figures

Figure 1

26 pages, 4776 KB  
Article
Grid-Forming Inverters in Photovoltaic Power Systems: A Comprehensive Review of Modeling, Control, and Stability Perspectives
by Youness Hakam and Mohamed Tabaa
Energies 2026, 19(5), 1244; https://doi.org/10.3390/en19051244 - 2 Mar 2026
Viewed by 246
Abstract
Grid-forming inverters (GFIs) are emerging as a key enabling technology for maintaining stability in renewable-dominated power systems, where conventional synchronous generation is progressively displaced by inverter-based resources. This paper presents a comprehensive technical review of GFI control strategies applied to photovoltaic (PV) systems, [...] Read more.
Grid-forming inverters (GFIs) are emerging as a key enabling technology for maintaining stability in renewable-dominated power systems, where conventional synchronous generation is progressively displaced by inverter-based resources. This paper presents a comprehensive technical review of GFI control strategies applied to photovoltaic (PV) systems, with focused attention on small-signal stability, transient dynamic performance, and overcurrent-limiting capabilities. In contrast to grid-following inverters (GFLIs), which rely on phase-locked-loop synchronization, GFIs operate as voltage sources capable of forming and regulating grid voltage and frequency. The reviewed control approaches, including droop control, virtual synchronous generator (VSG), synchronverter, matching control, virtual oscillator control (VOC), model predictive control (MPC), and intelligent techniques such as fuzzy logic control (FLC), artificial neural networks (ANNs), and adaptive neuro-fuzzy inference systems (ANFISs), are systematically compared based on dynamic response characteristics, robustness under weak-grid conditions, control complexity, and practical implementation challenges. The paper synthesizes recent findings on stability margins, inertia emulation, transient current response, and protection requirements, highlighting remaining research gaps related to large-disturbance ride-through capability, coordination of multiple GFIs, and protection integration. These insights aim to support future deployments of reliable grid-forming photovoltaic systems in resilient inverter-dominated power networks. Full article
Show Figures

Figure 1

21 pages, 5047 KB  
Article
Mechanism of Suppressing DFIG Shafting–Grid-Connected Oscillations Through Coordinated Optimization of Dual Damping Terms Under Frequency Coupling
by Zheng Wang and Yimin Lu
Energies 2026, 19(5), 1224; https://doi.org/10.3390/en19051224 - 28 Feb 2026
Viewed by 195
Abstract
Sub-synchronous oscillations (SSOs) induced by the interaction between doubly fed induction generators (DFIGs) and weak grids pose a critical threat to the grid-connected stability of DFIG-based wind power systems. In this paper, a dual-damping-term compensation filter based on the concept of motion-induced amplification [...] Read more.
Sub-synchronous oscillations (SSOs) induced by the interaction between doubly fed induction generators (DFIGs) and weak grids pose a critical threat to the grid-connected stability of DFIG-based wind power systems. In this paper, a dual-damping-term compensation filter based on the concept of motion-induced amplification (MIA), together with an optimized design method using a linear quadratic regulator (LQR), is applied to the DFIG system. The effectiveness of the proposed approach in suppressing DFIG shafting oscillations and mitigating grid-connected frequency coupling is verified, and the underlying mechanisms are thoroughly investigated. By establishing a shafting dynamics model for the DFIG and a frequency-coupled oscillation impedance model, this study focuses on revealing the differentiated impacts of the dual damping parameters (Zp and Zq) on system stability under two operating modes: maximum power point tracking (MPPT) and constant power operation. Stability analysis based on the generalized Nyquist criterion (GNC), together with time-domain simulations, demonstrates that coordinated optimization of the dual damping terms can effectively suppress shafting oscillations and frequency coupling, thereby significantly enhancing the grid-connected stability of DFIG systems. Full article
Show Figures

Figure 1

23 pages, 13605 KB  
Article
Sequence Impedance Modeling and Stability Analysis of dVOC-Based Grid-Forming Inverters with Different Inner-Loop Control Structures
by Jiwei Cui and Guobin Jin
Energies 2026, 19(5), 1216; https://doi.org/10.3390/en19051216 - 28 Feb 2026
Viewed by 236
Abstract
To elucidate the stability mechanisms of grid-forming (GFM) inverters governed by dispatchable virtual oscillator control (dVOC), this paper develops a comprehensive sequence-impedance modeling and stability analysis framework for dVOC-based GFM inverters with different inner-loop control structures. Three representative configurations are investigated: open-loop dVOC [...] Read more.
To elucidate the stability mechanisms of grid-forming (GFM) inverters governed by dispatchable virtual oscillator control (dVOC), this paper develops a comprehensive sequence-impedance modeling and stability analysis framework for dVOC-based GFM inverters with different inner-loop control structures. Three representative configurations are investigated: open-loop dVOC control, dVOC with dual-loop voltage–current control (DLC), and dVOC with virtual admittance control (VAC). For each configuration, unified positive-sequence impedance models are derived and analytically validated. Based on these models, the stability characteristics are first analyzed in a single-inverter grid-connected system under different grid strengths. The analysis is then extended to a mixed inverter system consisting of grid-forming and grid-following (GFL) inverters. Particular attention is paid to the impedance interaction between GFM impedance shaping and the capacitive negative damping introduced by GFL inverters under weak-grid conditions. Quantitative analyses reveal that the dVOC–DLC configuration significantly enhances oscillation damping in mixed systems. Under benchmark scenarios, stable operation can be ensured with approximately a 25% GFM capacity penetration. In contrast, the open-loop and VAC configurations require around 50% and 75% capacities, respectively, to maintain stability. These findings indicate that the DLC-based inner-loop design offers superior stability margins while substantially reducing the required GFM capacity, thereby improving economic efficiency. This study establishes a quantitative impedance-based criterion for inner-loop control selection and provides practical design guidelines for deploying dVOC-based GFM inverters in future converter-dominated power systems. Full article
(This article belongs to the Special Issue Challenges and Innovations in Stability and Control of Power Systems)
Show Figures

Figure 1

28 pages, 3097 KB  
Article
Governance Quality and Renewable Energy Transition: Global Evidence Using Panel ARDL
by Oksana Liashenko, Oleksandr Dluhopolskyi, Tomasz Wołowiec and Dariusz Woźniak
Energies 2026, 19(4), 1024; https://doi.org/10.3390/en19041024 - 15 Feb 2026
Viewed by 338
Abstract
This study analyses the long-run relationship between governance quality and renewable energy development using a global panel of 174 countries over the period 2000–2023. The objective is to assess whether institutional quality systematically influences renewable energy deployment across heterogeneous development contexts. The empirical [...] Read more.
This study analyses the long-run relationship between governance quality and renewable energy development using a global panel of 174 countries over the period 2000–2023. The objective is to assess whether institutional quality systematically influences renewable energy deployment across heterogeneous development contexts. The empirical analysis employs a panel autoregressive distributed lag (PMG-ARDL) framework, which accommodates mixed integration orders and allows for heterogeneous short-run dynamics while imposing homogeneity on long-run coefficients. Renewable energy consumption, measured as the share of renewable energy in total final energy consumption, is modelled as a function of governance quality indicators, economic development, and environmental pressure, with trade openness and foreign direct investment included as control variables. Panel unit root tests indicate a mixture of I(0) and I(1) variables, supporting the use of the ARDL framework, while panel cointegration tests provide strong evidence of a stable long-run relationship in the estimated model. The results reveal a statistically significant long-run association between governance quality and renewable energy development, although the magnitude and direction of the effects vary across governance dimensions and development levels. In contrast, short-run effects are generally weak, suggesting that governance primarily shapes renewable energy outcomes through gradual, structural channels. These findings highlight the importance of institutional quality for long-term energy transition processes and provide empirically grounded insights for the design of energy and governance policies. The analysis reveals significant heterogeneity across development contexts: governance improvements yield positive effects on renewable energy adoption in low-income countries (β = +3.77), where institutional deficits constitute binding constraints, whilst the effect becomes negative in high-income economies (β = −11.87), reflecting diminishing returns and infrastructure lock-in. These findings suggest that developing countries should prioritise governance reforms—particularly Regulatory Quality and Political Stability—to accelerate energy transitions, whereas advanced economies should shift policy attention toward grid modernisation and market design. International organisations should adopt differentiated climate finance strategies matching institutional support to the development stage. Full article
Show Figures

Figure 1

23 pages, 6796 KB  
Article
Finite-Difference Analysis of a Quasi-3D Wave-Driven Flow Model: Stability, Grid Structure and Parameter Sensitivity
by Gabriela Gic-Grusza and Piotr Szeląg
Appl. Sci. 2026, 16(4), 1822; https://doi.org/10.3390/app16041822 - 12 Feb 2026
Viewed by 222
Abstract
Wave-driven free-surface flows pose numerical challenges due to tensorial radiation stress forcing, anisotropic diffusion, and strong sensitivity to closure parameters. This paper investigates the numerical behavior of a quasi-3D wave-driven flow model using a coupled depth-integrated (2D) solver with a diagnostic three-dimensional (3D) [...] Read more.
Wave-driven free-surface flows pose numerical challenges due to tensorial radiation stress forcing, anisotropic diffusion, and strong sensitivity to closure parameters. This paper investigates the numerical behavior of a quasi-3D wave-driven flow model using a coupled depth-integrated (2D) solver with a diagnostic three-dimensional (3D) reconstruction employed for consistency verification to evaluate the validity of dimensional reduction. The scheme is implemented on a staggered Arakawa C-grid with a terrain-following vertical coordinate and explicit pseudo-time-stepping, which enables the direct assessment of stability limits. A reference experiment and systematic sensitivity tests are performed for three idealized bathymetries of increasing complexity. Bottom friction primarily controls the free-surface response, with critical thresholds (e.g., f0.03) identified via the free-surface displacement Z as markers for the onset of numerical stiffness. Horizontal eddy viscosity Nh has a weak influence on depth-integrated transport over most of the tested range, whereas vertical eddy viscosity Nv governs both transport magnitude and stability through the vertical diffusion constraint, acting as the primary bottleneck for computational efficiency. A stability map in the (Nv,Δt,Nz) space is provided to delineate stable, marginal, and unstable regimes identifying an optimal vertical resolution of Nz10 for coastal applications. Grid resolution experiments quantify convergence trends and show that sensitivity increases with bathymetric complexity, revealing that bathymetric aliasing in multi-bar systems can lead to errors of up to 20% if gradients are under-resolved. Finally, a consistent set of diagnostic metrics is proposed for comparing 2D solutions with their vertically resolved counterparts, establishing a validity envelope where 2D models remain reliable versus regimes where explicit vertical shear resolution is mandatory. The results provide a practical roadmap for parameter selection, ensuring numerical robustness in complex, mechanically forced free-surface CFD applications. Full article
(This article belongs to the Special Issue Applied Numerical Analysis and Computing in Mechanical Engineering)
Show Figures

Figure 1

24 pages, 6001 KB  
Article
Robust μ-Synthesis Grid-Side Control for Inverter-Based Resources in Weak Grids
by Woo-Jung Kim, Yu-Seok Lee and Yeong-Han Chun
Energies 2026, 19(4), 946; https://doi.org/10.3390/en19040946 - 11 Feb 2026
Viewed by 245
Abstract
With the increasing penetration of inverter-based resources (IBRs), modern power systems are experiencing undesirable dynamics, such as sub-synchronous oscillations in weak grids. Conventional PI control schemes, however, exhibit limited robustness against nonlinearities arising from varying operating points in weak grids, leading to instability. [...] Read more.
With the increasing penetration of inverter-based resources (IBRs), modern power systems are experiencing undesirable dynamics, such as sub-synchronous oscillations in weak grids. Conventional PI control schemes, however, exhibit limited robustness against nonlinearities arising from varying operating points in weak grids, leading to instability. To address this challenge, we propose a robust controller for the outer loop of grid-side converters in IBRs based on robust μ-synthesis control theory. Specifically, this paper utilizes μ-synthesis to handle linearized model parameters associated with operating-point variations. The proposed controller replaces the PI controllers in the outer loop while retaining the established dq-frame control philosophy. Furthermore, during controller synthesis, the controller is optimized with a 2-by-2 multi-input multi-output structure to explicitly account for cross-coupling effects between the d- and q-axes. Finally, the proposed controller was validated using electromagnetic transient simulations of a detailed type-IV wind farm model implemented in MATLAB/Simulink R2025a, and its performance was compared with that of a conventional PI-based outer control loop. The wind farm was tested under very weak grid conditions, and the proposed controller demonstrated robust stability against varying operating points by providing superior damping performance. Full article
(This article belongs to the Section F1: Electrical Power System)
Show Figures

Figure 1

29 pages, 10948 KB  
Article
A Grid-Forming Energy-Storage-Based Flexible Interconnection System for Microgrids in Remote Regions
by Zhenyu Zhao, Xinyue Chen, Yanlin Wu, Fengxin Diao, Xinyu Wang, Yuehang Zhao, Yonghui Liu and Yue Wang
Energies 2026, 19(4), 944; https://doi.org/10.3390/en19040944 - 11 Feb 2026
Viewed by 215
Abstract
Local renewable energy microgrids in remote regions are typically characterized by high renewable energy penetration and weak grid-interconnection channels. These features lead to insufficient inertia and poor stability in both the microgrid and the AC main grid, with a failure to meet the [...] Read more.
Local renewable energy microgrids in remote regions are typically characterized by high renewable energy penetration and weak grid-interconnection channels. These features lead to insufficient inertia and poor stability in both the microgrid and the AC main grid, with a failure to meet the power supply demands of microgrid loads. Conventional grid-forming converters or flexible interconnection devices have limited optional capabilities, making it challenging to comprehensively address these issues. This paper proposes a grid-forming energy-storage-based flexible interconnection system (GFM-ESFIS) which integrates the flexible interconnection converters with energy-storage units to fully meet the stability and power supply reliability requirements of the microgrid–main grid interconnection system in remote regions. Key steady-state and transient control strategies are analyzed and designed for the GFM-ESFIS. Simulations based on MATLAB/Simulink 2024a and hardware-in-the-loop experiments based on RT-LAB verify the effectiveness of the proposed system and control strategies. Compared with conventional schemes, the proposed system can operate flexibly in series or parallel modes, realizing multiple capabilities including dual-terminal grid-forming support, fault ride-through control, power flow regulation, operation mode transition, and black start. It holds significant application value in reducing grid investment costs and improving the power supply reliability of microgrids in remote regions. Full article
(This article belongs to the Special Issue Advances in Power Converters and Inverters)
Show Figures

Figure 1

19 pages, 11610 KB  
Article
Wind-Induced Response and Fatigue Analysis of Corona Ring in Power Equipment
by Zhihui Wang, Qijun Liang, Hailong Jia, Gaofei Liu, Bohai Tian, Chenzhi Cai, Zixun Zhou and Shaopeng Xu
Appl. Sci. 2026, 16(3), 1550; https://doi.org/10.3390/app16031550 - 3 Feb 2026
Viewed by 192
Abstract
With the increasingly significant impact of high-wind-load environments on power equipment, the wind stability of the corona ring has become a key issue to ensure the safe operation of power grids. The wind-induced vibration response and fatigue characteristics of the corona ring in [...] Read more.
With the increasingly significant impact of high-wind-load environments on power equipment, the wind stability of the corona ring has become a key issue to ensure the safe operation of power grids. The wind-induced vibration response and fatigue characteristics of the corona ring in power equipment under different wind speeds, wind direction angles and wind attack angles are systematically studied via wind tunnel tests and numerical simulation. The results show that the peak acceleration and displacement of the corona ring are positively correlated with the increase in wind speed, and the wind-induced response is the most significant under the condition of 0° wind direction angle and 5° wind attack angle. In the wind speed range of 5 m/s to 8 m/s, the corona ring is prone to vortex-induced vibration. Through fatigue analysis, it is determined that the vertical support rod and the welding position and the bolt connection of the support frame are the stress concentration areas. The research results reveal the key weak points of the corona ring and provide an important basis for optimization design and safety monitoring, and they are of great significance for improving the wind resistance of power equipment. Full article
Show Figures

Figure 1

18 pages, 5378 KB  
Article
Enhancing Common-Mode Loop Stability of Three-Phase Four-Bridge Grid-Connected Inverters via Control Delay
by Qiyu Zhong, Hao Bai, Guangming Chen, Yingjie Tan, Jieyu Lin and Yipeng Liu
Energies 2026, 19(3), 646; https://doi.org/10.3390/en19030646 - 27 Jan 2026
Viewed by 177
Abstract
As the three-phase four-bridge inverter (3P4B) can effectively compensate for the unbalanced three-phase loads in the grid, it is an important converter option for distributed generation grid connection. As in a three-phase three-bridge inverter (3P3B), the wide variation in grid impedance also poses [...] Read more.
As the three-phase four-bridge inverter (3P4B) can effectively compensate for the unbalanced three-phase loads in the grid, it is an important converter option for distributed generation grid connection. As in a three-phase three-bridge inverter (3P3B), the wide variation in grid impedance also poses instability issues for 3P4B. This issue has been well-addressed for 3P3B, which can be seen as a differential-mode circuit. However, 3P4B has an extra common-mode circuit, and the solution to the instability problem has not been investigated so far. To address this issue, this paper first analyzes the mechanism of 3P4B common-mode circuit instability and discovers its stability range difference from its differential-mode circuit. Then, an equivalent control delay compensator is independently introduced into the common-mode loop, which extends its stable range. This paper also conducts a detailed analysis of the control delay compensator’s impacts on the common-mode control loop and proposes a quantitative design method for the compensator accordingly. Experimental results validate that the proposed method effectively mitigates common-mode loop instability even under a wide range of grid impedance variations. Full article
(This article belongs to the Special Issue Energy, Electrical and Power Engineering: 5th Edition)
Show Figures

Figure 1

Back to TopTop