Sign in to use this feature.

Years

Between: -

Subjects

remove_circle_outline
remove_circle_outline
remove_circle_outline
remove_circle_outline
remove_circle_outline
remove_circle_outline
remove_circle_outline
remove_circle_outline
remove_circle_outline

Journals

remove_circle_outline
remove_circle_outline
remove_circle_outline
remove_circle_outline
remove_circle_outline

Article Types

Countries / Regions

remove_circle_outline
remove_circle_outline
remove_circle_outline
remove_circle_outline

Search Results (867)

Search Parameters:
Keywords = waveguide measurements

Order results
Result details
Results per page
Select all
Export citation of selected articles as:
13 pages, 1692 KB  
Article
Flexural Beams as Mechanical Fabry–Perot Resonators: A Theoretical Framework for Dispersive Waveguide-Based Sensing
by Mostafa Rahimi Dizadji, Songwei Wang, Vahid Jafarpour, David Adrian Reynoso and Haiying Huang
Sensors 2026, 26(9), 2622; https://doi.org/10.3390/s26092622 - 23 Apr 2026
Abstract
Fabry–Perot resonator (FPR) sensors are widely implemented in optical and microwave waveguides because their interference fringe spectra enable highly sensitive, stable, and calibration-free measurements. In contrast, despite the extensive use of beams and plates as waveguides in vibration- and ultrasound-based structural health monitoring [...] Read more.
Fabry–Perot resonator (FPR) sensors are widely implemented in optical and microwave waveguides because their interference fringe spectra enable highly sensitive, stable, and calibration-free measurements. In contrast, despite the extensive use of beams and plates as waveguides in vibration- and ultrasound-based structural health monitoring (SHM), an explicit FPR framework for these mechanical waveguides has not been established. This paper demonstrates that flexural beams can be rigorously treated as FPRs despite their inherently dispersive nature. Through analytical derivation, wave-propagation analysis, and fringe-based group-velocity extraction, we show that flexural-beam resonances arise from multi-reflection interference analogous to Fabry–Perot interference. A closed-form relationship between the frequency-dependent group velocity and the FPR free spectral range (FSR) is established, enabling inverse determination of mechanical or environmental perturbance from the FPR fringe spectrum. By extending FPR-based fringe analysis to dispersive mechanical waveguides, this work introduces a theoretical framework for implementing dispersive mechanical waveguide-based FPR sensors. Full article
(This article belongs to the Special Issue Waveguide-Based Sensors and Applications)
Show Figures

Figure 1

15 pages, 1920 KB  
Article
Optimized Wire Grid Modeling Method for Complex Metal Mesh Fabrics Using Waveguide-Contact Measurement
by Kitae Park, Sia Lee, In-Sung Park, Chang-Won Seo, Seong-Sik Yoon and Jae-Wook Lee
Sensors 2026, 26(8), 2445; https://doi.org/10.3390/s26082445 - 16 Apr 2026
Viewed by 143
Abstract
Metal mesh reflective surfaces are widely used in deployable antennas mounted on satellites where lightweight and stowability are required; however, quantitative characterization of reflective performance is difficult due to complex woven/knitted structures. This paper presents a modeling method that characterizes the reflection coefficient [...] Read more.
Metal mesh reflective surfaces are widely used in deployable antennas mounted on satellites where lightweight and stowability are required; however, quantitative characterization of reflective performance is difficult due to complex woven/knitted structures. This paper presents a modeling method that characterizes the reflection coefficient of complex mesh fabrics by combining a per-band effective wire radius reff estimation procedure with the Casey surface impedance model. The lattice spacing is fixed from the specimen geometry, the electrical conductivity is set to the material property of gold (σ = 45.2 MS/m), and reff is determined as a single parameter that minimizes the error against the measured reflection coefficient in each frequency band. For validation, waveguide-contact measurements were performed on three Atlas-series mesh specimens fabricated with gold-coated molybdenum wire (diameter: 30 μm), measuring each specimen across all three waveguide standards (WR-340, WR-90, WR-28) with nine repeated trials per configuration, totaling 162 measurement runs. The estimated reff ranged from 10.1 to 44.5 μm depending on band and polarization, with RMSE below 0.021 dB in all native-band fits. Even for the same specimen, directional reff values differed by up to 1.78× due to the anisotropy of the weave structure, confirming that polarization dependence must be considered in mesh reflector antenna design. Full article
(This article belongs to the Section Sensor Materials)
Show Figures

Figure 1

25 pages, 4466 KB  
Article
Selective Laser Melting of 316L WR-90 Waveguide Horn Antennas: Experimental RF Characterization and Quantitative Performance Analysis
by Nonchanutt Chudpooti, Kitiphon Sukpreecha, Kamol Boonlom and Prayoot Akkaraekthalin
Electronics 2026, 15(8), 1640; https://doi.org/10.3390/electronics15081640 - 14 Apr 2026
Viewed by 305
Abstract
This paper presents the fabrication and experimental characterization of a 316L stainless-steel WR-90 waveguide horn antenna manufactured using selective laser melting (SLM) and operating across the X-band (8.2–12.4 GHz). The antenna is designed based on standard WR-90 waveguide theory and incorporates a coaxial-to-waveguide [...] Read more.
This paper presents the fabrication and experimental characterization of a 316L stainless-steel WR-90 waveguide horn antenna manufactured using selective laser melting (SLM) and operating across the X-band (8.2–12.4 GHz). The antenna is designed based on standard WR-90 waveguide theory and incorporates a coaxial-to-waveguide transition and a flared radiating aperture to achieve stable aperture-based radiation. Full-wave electromagnetic simulations are performed to establish baseline impedance, radiation pattern, and gain performance prior to fabrication. The SLM-fabricated prototype is evaluated through reflection coefficient, radiation pattern, and realized gain measurements conducted in an anechoic chamber. Measured results confirm stable impedance matching across the entire band, with |S11| below −10 dB and a minimum of −22.34 dB near 10.1 GHz. The radiation patterns closely follow simulation predictions, with half-power beamwidth deviations below 4%. The realized gain increases from 11.2 dBi to 15.8 dBi across the band, with simulation–measurement deviation decreasing to within 0.5 dB above 10 GHz. Rather than focusing on antenna design novelty, this work employs a standardized WR-90 horn antenna as a benchmark structure to isolate fabrication-induced effects. A quantitative performance analysis is introduced by converting the gain deviation into an equivalent efficiency reduction, providing a practical framework for evaluating fabrication-induced electromagnetic degradation in SLM-fabricated waveguide components. Full article
(This article belongs to the Section Microwave and Wireless Communications)
Show Figures

Figure 1

21 pages, 28887 KB  
Article
Compact Wideband SIW Filters Based on Thin-Film Technology
by Luyao Tang, Wei Han, Qi Zhao, Hao Wei, Heng Wei and Yanbin Li
Electronics 2026, 15(8), 1594; https://doi.org/10.3390/electronics15081594 - 10 Apr 2026
Viewed by 208
Abstract
This study introduces two compact wideband substrate-integrated waveguide (SIW) filters fabricated using thin-film technology. The wideband bandpass response is achieved by incorporating interdigital capacitor (IDC) structures into a half-mode SIW (HMSIW) transmission line. An equivalent LC circuit model is formulated to analyze the [...] Read more.
This study introduces two compact wideband substrate-integrated waveguide (SIW) filters fabricated using thin-film technology. The wideband bandpass response is achieved by incorporating interdigital capacitor (IDC) structures into a half-mode SIW (HMSIW) transmission line. An equivalent LC circuit model is formulated to analyze the influence of IDC parameters on the generation of transmission zeros. For the first filter (BPF 1), a third-order IDC coupling configuration is employed, resulting in a 1 dB passband spanning 11 GHz to 18 GHz, a minimum insertion loss of 0.66 dB, three transmission zeros that enhance stopband performance, and a compact core dimension of 0.49λg×0.29λg. For further miniaturization, a modified HMSIW transmission line incorporating a metal-insulator-metal (MIM) capacitor at the equivalent magnetic wall is proposed. This design effectively reduces the transverse dimension of the waveguide while maintaining the original cutoff frequency. Utilizing this configuration, the second bandpass filter (BPF 2) was designed and fabricated employing double-layer ceramic thin-film technology. The resulting filter exhibits a 1 dB passband spanning 10 GHz to 18 GHz, a compact footprint measuring 0.44λg×0.23λg, a minimum insertion loss of 0.58 dB, and features three transmission zeros. The fabricated and measured results of both filters show good agreement with simulations. Compared with previously reported wideband SIW filters, the proposed designs demonstrate comprehensive advantages in fractional bandwidth, insertion loss, out-of-band suppression, and circuit size, providing effective filtering solutions for high-density integration of microwave and millimeter-wave RF systems. Full article
Show Figures

Figure 1

11 pages, 817 KB  
Article
Retrieval of Sunrise C-Region Electron Density Using Mid-Range VLF Amplitude and FDTD-Based Optimization
by Taira Shirasaki, Yuki Itabashi and Yoshiaki Ando
Atmosphere 2026, 17(4), 350; https://doi.org/10.3390/atmos17040350 - 31 Mar 2026
Viewed by 270
Abstract
This study presents a method to retrieve the electron density structure of the transient C-region using very-low-frequency (VLF) Earth–ionosphere waveguide propagation. Here, we demonstrate the identification of the C-region from amplitude variations of a mid-range VLF propagation path that is nearly perpendicular to [...] Read more.
This study presents a method to retrieve the electron density structure of the transient C-region using very-low-frequency (VLF) Earth–ionosphere waveguide propagation. Here, we demonstrate the identification of the C-region from amplitude variations of a mid-range VLF propagation path that is nearly perpendicular to the solar terminator. Previous investigations have primarily relied on phase measurements along long-distance paths with small terminator angles, whereas the present approach utilizes amplitude information under conditions where modal interference is significant. The Faraday International Reference Ionosphere (FIRI-2018) provides an effective semi-empirical model of the lower-ionospheric electron density; however, discrepancies between simulations and observations are often observed at sunrise. To resolve this issue, we introduce Gaussian perturbations to the electron density profile output by FIRI-2018 and optimize their parameters so that finite-difference time-domain (FDTD) simulations reproduce the observed VLF amplitude. The analysis is performed for the 22.2 kHz JJI transmitter signal received in Chofu, Japan over a mid-range propagation path, ∼900 km. The optimized electron density profile successfully reproduces the characteristic features of the C-region, including a temporary enhancement near 65 km altitude during sunrise. These results demonstrate that mid-range VLF amplitude analysis provides a quantitative tool for identifying transient lower- ionospheric structures. Full article
Show Figures

Figure 1

15 pages, 3888 KB  
Article
Ultra-Miniaturized, High-Q Embedded Loaded Coaxial Substrate Integrated Waveguide Filter
by Nawaf R. Almuqati, Gokhan Ariturk and Hjalti H. Sigmarsson
Electronics 2026, 15(6), 1310; https://doi.org/10.3390/electronics15061310 - 20 Mar 2026
Viewed by 337
Abstract
This paper presents an ultra-miniaturized and high-quality factor embedded loaded coaxial substrate integrated waveguide (ELCSIW) filter. Integrating a substrate-integrated coaxial resonator with a capacitively loaded air cavity achieves a 99% reduction in size compared to a conventional SIW cavity. Incorporating an air gap [...] Read more.
This paper presents an ultra-miniaturized and high-quality factor embedded loaded coaxial substrate integrated waveguide (ELCSIW) filter. Integrating a substrate-integrated coaxial resonator with a capacitively loaded air cavity achieves a 99% reduction in size compared to a conventional SIW cavity. Incorporating an air gap in the capacitive loading structure significantly enhances the resonator’s quality factor. A comprehensive analysis of the miniaturization factor and quality factor in relation to cavity structure dimensions is performed. Guidelines for fabricating the highly loaded cavity are presented. To demonstrate the benefits of this technique, a two-pole band-pass filter with a 6.3% bandwidth at 1.1 GHz is designed, fabricated, and measured. The overall footprint of the filter is 10.5 mm × 20.5 mm, which is comparable to 0.07 λg× 0.14 λg. The measured insertion loss is 0.54 dB, and the upper band is spurious-free up to 7 times the resonant frequency. The exceptional performance and compactness of the loaded coaxial substrate integrated waveguide cavities highlight their immense potential for compact advanced wireless systems. Full article
(This article belongs to the Section Microwave and Wireless Communications)
Show Figures

Figure 1

20 pages, 2509 KB  
Article
High-Sensitivity SIW Sensor for Wide-Range Non-Invasive Blood Glucose Monitoring Using Complementary Split-Ring Resonator
by Ameer B. Alsultani, Ameer R. Hassan, Muntadher M. Hoom, Halah I. Khani, Katalin Kovacs, Balazs Benyo and Hussam Al-Saedi
Appl. Biosci. 2026, 5(1), 21; https://doi.org/10.3390/applbiosci5010021 - 13 Mar 2026
Viewed by 333
Abstract
This work presents a compact microwave sensor for noninvasive blood glucose monitoring based on a substrate-integrated waveguide loaded with a complementary split-ring resonator on RO4350. The sensing principle uses shifts in resonance frequency and changes in S-parameters to track the dielectric dispersion of [...] Read more.
This work presents a compact microwave sensor for noninvasive blood glucose monitoring based on a substrate-integrated waveguide loaded with a complementary split-ring resonator on RO4350. The sensing principle uses shifts in resonance frequency and changes in S-parameters to track the dielectric dispersion of glucose-containing tissue. The resonator is constructed using Substrate-Integrated Waveguide (SIW) technology, which mimics the propagation characteristics of a conventional rectangular waveguide. To validate its versatility, the sensor implements three practical sample delivery modes: direct liquid contact with the sensing surface, a glass tube holder mounted over the active region, and a non-invasive fingertip interface. Electromagnetic simulations and benchtop measurements confirm clear glucose-dependent frequency shifts with stable matching and insertion levels. Across the physiological range of 20 to 200 mg·dL−1, the sensor exhibits clear glucose-dependent resonance shifts in all configurations. In direct contact mode, the resonance frequency shifts from 10.83 GHz to 10.45 GHz with sensitivities up to 2.47 MHz per mg·dL−1. The tube configuration shows a shift from 10.49 GHz to 10.38 GHz with sensitivity up to 0.80 MHz per mg·dL−1, while reducing contamination. In the non-invasive fingertip mode, the resonance shifts from 2.56 GHz to 2.52 GHz with sensitivities up to 0.25 MHz per mg·dL−1. These results confirm the sensor’s compactness, reliability, and suitability for portable, low-cost glucose monitoring. The results indicate that the proposed sensor can support practical continuous or spot monitoring and offers a clear path toward portable and low-cost glucose assessment. Full article
Show Figures

Figure 1

11 pages, 2777 KB  
Article
A Compact 380 GHz Zero-Bias Schottky Diode Detector for High-Sensitivity Radiometer Applications
by Huilin Tang, Yongsheng Deng and Dehai Zhang
Micromachines 2026, 17(3), 352; https://doi.org/10.3390/mi17030352 - 13 Mar 2026
Viewed by 408
Abstract
Reliable terahertz radiometer receiver systems demand detectors that combine high sensitivity with structural robustness. This paper presents the design, fabrication, and characterization of a 380 GHz zero-bias detector based on an ACST Schottky diode. The detector uses a high-impedance grounding topology to reduce [...] Read more.
Reliable terahertz radiometer receiver systems demand detectors that combine high sensitivity with structural robustness. This paper presents the design, fabrication, and characterization of a 380 GHz zero-bias detector based on an ACST Schottky diode. The detector uses a high-impedance grounding topology to reduce parasitic resonances and enhance output stability. A compact U-shaped waveguide transition is adopted to realize an inline port configuration. This configuration simplifies system integration. Measurements demonstrate a peak voltage responsivity of 2318 V/W and a linearity of 0.9996 at 380 GHz, validating the effectiveness of the proposed design. This work establishes a practical design approach for zero-bias terahertz detectors and supports future high-frequency radiometer and sensing applications. Full article
Show Figures

Figure 1

12 pages, 3192 KB  
Article
Four-Stub Resonator-Coupled MIM Waveguide Sensor
by Jifan Yang, Shubin Yan, Zhenyang Xu, Yang Cui, Youbo Hu, Guang Liu, Dengchang Ma and Taiquan Wu
Sensors 2026, 26(6), 1779; https://doi.org/10.3390/s26061779 - 11 Mar 2026
Viewed by 395
Abstract
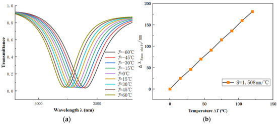
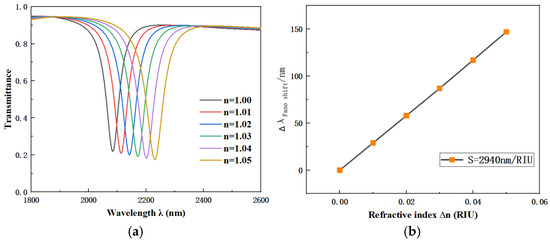
In this design, we propose a completely new sensor structure. It features a metal–insulator–metal (MIM) waveguide and a circular four-stub resonator (CFSR). Using the finite element method, we analyzed the performance of the sensor structure. We examined the impact of different parameters and [...] Read more.
In this design, we propose a completely new sensor structure. It features a metal–insulator–metal (MIM) waveguide and a circular four-stub resonator (CFSR). Using the finite element method, we analyzed the performance of the sensor structure. We examined the impact of different parameters and structural variations on its performance. Ultimately, we determined the optimal performance parameters for the best configuration. The modified device demonstrated a sensitivity (S) of 2940 nm/RIU and a figure of merit (FOM) of 52.5. Furthermore, this sensor design demonstrates significant potential for temperature measurement applications, with a core parameter of 1.508 nm/°C. Full article
(This article belongs to the Section Intelligent Sensors)
Show Figures

Figure 1

24 pages, 4414 KB  
Article
Modelling of Location Uncertainties of Leakages in Pressurized Buried Water Mains Using Leak Noise Correlator (LNC)
by Alex Yu-Ching Cheng, Tom Chun-Wai Lau and Wallace Wai-Lok Lai
Water 2026, 18(5), 588; https://doi.org/10.3390/w18050588 - 28 Feb 2026
Viewed by 289
Abstract
This paper investigates the specific positioning accuracies and uncertainties associated with the measurement of acoustic leakage noise correlation (LNC) in underground pressurized water mains, treating them as acoustic waveguides. It begins by identifying three key intrinsic sources of measurement errors: (1) the speed [...] Read more.
This paper investigates the specific positioning accuracies and uncertainties associated with the measurement of acoustic leakage noise correlation (LNC) in underground pressurized water mains, treating them as acoustic waveguides. It begins by identifying three key intrinsic sources of measurement errors: (1) the speed of acoustic waves in the water mains as influenced by pipe material, wall thickness, modulus of elasticity, and bulk modulus; (2) the distance between the two accelerometers used for correlation; (3) the time delay from the point of leakage to the accelerometers. A mathematical uncertainty model was developed to compute sensitivity coefficients, enabling the propagation of measurement errors from these sources. This was validated through seven sets of full-scale experiments conducted at Q-Leak, a 25,000 sq. ft. test site in Hong Kong. This study ultimately quantified and assessed the contributions of individual error sources to the overall uncertainty, allowing for the prioritization of factors that have the most significant impact in various scenarios. The findings reveal that Young’s modulus and pipe wall thickness are the primary factors affecting measurements for both plastic and metal pipes. Additionally, a universal in-house program, “LNC uncertainty calculator,” was developed to provide insights into the buffer ranges for confirming suspected leak locations while considering constraints within the uncertainty budget. This research highlights the critical but often overlooked area of uncertainty modeling in leak detection for pressurized buried water mains, offering valuable insights intended to enhance operational strategies and maintenance practices within the industry. This research provides a robust framework for understanding the accuracy of leak detection. This means operators can better interpret the reliability of their measurements, leading to consistent decision-making across different situations and minimizing the risk of misidentifying the presence or absence of leakage. In addition, the insights gained from prioritizing factors that affect measurement accuracy allow engineers and operators to make informed decisions about where to focus their resources and efforts. This can lead to more effective maintenance strategies that are tailored to specific conditions, thereby optimizing operational efficiency. Full article
Show Figures

Figure 1

13 pages, 3501 KB  
Article
AWG-Based Spectral Multiplexing for Unambiguous Range-Extended FMCW LiDAR
by Sangwon Park, Sang Min Park, Seongmun Jeong, Gyeongmin Kweon, Chang-Seok Kim and Hwidon Lee
Sensors 2026, 26(5), 1435; https://doi.org/10.3390/s26051435 - 25 Feb 2026
Viewed by 472
Abstract
Frequency-modulated continuous-wave (FMCW) light detection and ranging (LiDAR) based on coherent ranging is a technology capable of high-resolution distance measurement while remaining robust against ambient light interference. However, extending the measurable range remains challenging due to (i) the coherence length limitation of the [...] Read more.
Frequency-modulated continuous-wave (FMCW) light detection and ranging (LiDAR) based on coherent ranging is a technology capable of high-resolution distance measurement while remaining robust against ambient light interference. However, extending the measurable range remains challenging due to (i) the coherence length limitation of the laser and (ii) distance ambiguity caused by frequency ambiguity in coherent detection. To overcome these limitations, we propose an unambiguous range-extended FMCW LiDAR enabled by arrayed waveguide grating (AWG)-based spectral multiplexing. By spectrally demultiplexing the reference arm into four wavelength channels with sequentially designed optical path delays, multiple independent interference signals are obtained simultaneously without increasing the number of photodetectors or optical couplers. A channel-pair-based distance decoding algorithm is further introduced to resolve distance ambiguity by classifying detection outcomes across adjacent channels and selectively applying predefined operations. The proposed FMCW LiDAR system effectively extends the measurable range to approximately five times that of a conventional FMCW LiDAR. Experimental results demonstrate high measurement accuracy and successful reconstruction of three-dimensional distance maps, validating the system’s potential for extended-range FMCW LiDAR applications. Full article
(This article belongs to the Special Issue Progress in LiDAR Technologies and Applications)
Show Figures

Figure 1

15 pages, 6200 KB  
Article
A Beam-Splitter-Free Terahertz Receiver with Independent Antenna-Fed Local Oscillator for Enhanced Efficiency
by Pengfei Zhao, Dabao Wang, Xinyu Yao, Ning Liu, Xiaochun Jiao and Jing Cao
Electronics 2026, 15(5), 919; https://doi.org/10.3390/electronics15050919 - 24 Feb 2026
Viewed by 273
Abstract
This paper presents the design, fabrication, and experimental characterization of a novel terahertz receiver comprising two high-performance receiving antennas and a combiner. The low efficiency of local oscillator (LO) power utilization, caused by conventional beam splitters, presents a major bottleneck for large-array terahertz [...] Read more.
This paper presents the design, fabrication, and experimental characterization of a novel terahertz receiver comprising two high-performance receiving antennas and a combiner. The low efficiency of local oscillator (LO) power utilization, caused by conventional beam splitters, presents a major bottleneck for large-array terahertz receivers. By eliminating the conventional beam splitter, the proposed system allows the terahertz signal and LO power to be directly and independently received by two dedicated antennas, thereby significantly enhancing LO power efficiency. The receiver is successfully fabricated using micromachining technology into a compact 2.5-dimensional multilayered structure measuring 9 mm × 16 mm × 7.2 mm. Key performance metrics, including the waveguide port S-parameters, radiation patterns, and gains of the two horn antennas, were measured. The experimental results show close agreement with simulations, validating the system’s accuracy and reliability. Furthermore, the system’s equivalent noise temperature was measured to be 395 K, indicating excellent thermal stability and sensitivity. This study concludes that the proposed terahertz receiver design is both feasible and efficient for high-resolution applications, showing great potential for use in satellite-based space observation systems or base stations requiring advanced terahertz signal processing. Full article
(This article belongs to the Section Microwave and Wireless Communications)
Show Figures

Figure 1

27 pages, 1079 KB  
Review
Optical Waveguide Lightmode Spectroscopy: A Versatile Technique for Real-Time, Label-Free Biosensing
by Jeremy J. Ramsden
Sensors 2026, 26(4), 1183; https://doi.org/10.3390/s26041183 - 11 Feb 2026
Viewed by 555
Abstract
Optical waveguide lightmode spectroscopy (OWLS) is an integrated-optical technique for probing structures at the solid/gas and solid/liquid interface. Spatial resolution perpendicular to the interface is sub-ångström. Thanks to good time resolution, processes involving structural change can also be investigated. This review covers the [...] Read more.
Optical waveguide lightmode spectroscopy (OWLS) is an integrated-optical technique for probing structures at the solid/gas and solid/liquid interface. Spatial resolution perpendicular to the interface is sub-ångström. Thanks to good time resolution, processes involving structural change can also be investigated. This review covers the fundamentals of the technique, the various measurement configurations that are used, interpretation of the primary data received, applications in biosensing, and future prospects. Full article
(This article belongs to the Special Issue Feature Review Papers in Biosensors Section 2025)
Show Figures

Graphical abstract

11 pages, 4164 KB  
Article
Glass-Based Half-Mode SIW Bandpass Filter with Negative Coupling Structure
by Chen Shi, Wenlei Li, Jihua Zhang, Zhihua Tao, Yong Li, Dongbin Wang, Shuang Li and Ting Liu
Micromachines 2026, 17(2), 219; https://doi.org/10.3390/mi17020219 - 6 Feb 2026
Viewed by 475
Abstract
This work presents a millimeter-wave half-mode substrate integrated waveguide filter with high selectivity, using through glass via technology. Compared to a traditional printed circuit board, the benefits of high precision and integration afforded by the glass-based process enable the substrate-integrated waveguide to be [...] Read more.
This work presents a millimeter-wave half-mode substrate integrated waveguide filter with high selectivity, using through glass via technology. Compared to a traditional printed circuit board, the benefits of high precision and integration afforded by the glass-based process enable the substrate-integrated waveguide to be employed at a higher operating frequency. A novel negative coupling structure is proposed for achieving a quasi-elliptic function response, and its coupling mechanism is investigated to explore the properties of the finite transmission zeros. The proposed coupling slots allow for flexible adjustment of the coupling between the half-mode substrate integrated waveguide cavities from positive to negative by modulating the corresponding geometrical parameters. As a prototype, a glass-based fourth-order bandpass filter is synthesized, simulated, fabricated and measured. Subsequently, good matching is captured, confirming the validity of the topology. The proposed glass-based negative coupling structure is promising for realizing substrate integrated waveguide filters with a quasi-elliptic function response, especially operating at millimeter-wave band. Full article
(This article belongs to the Special Issue Acoustic Transducers and Their Applications, 3rd Edition)
Show Figures

Figure 1

13 pages, 2113 KB  
Article
Characterization of SUEX Dry Film for 5G Applications
by Sekip Dalgac, Saim Ekici, Nihan Oznazli, Kholoud Elmabruk and Mehmet Unlu
Electronics 2026, 15(3), 686; https://doi.org/10.3390/electronics15030686 - 5 Feb 2026
Viewed by 428
Abstract
Fifth-Generation (5G) communication systems necessitate highly integrated technologies to facilitate ultra-fast data rates, low latency, and compact system configurations. The realization of these objectives depends on the advancement of packaging techniques, such as System-on-Package (SoP), wherein low-loss build-up layers play a vital role [...] Read more.
Fifth-Generation (5G) communication systems necessitate highly integrated technologies to facilitate ultra-fast data rates, low latency, and compact system configurations. The realization of these objectives depends on the advancement of packaging techniques, such as System-on-Package (SoP), wherein low-loss build-up layers play a vital role in enhancing signal transmission. In this context, the electrical characterization of a 25 μm thick SUEX dielectric material used as a build-up layer for SoP applications is presented. Various test structures, including microstrip ring resonators (MRRs), coplanar waveguides (CPWs), and microstrip lines (MSs), are fabricated and measured over a frequency range of 1–30 GHz. The electrical properties are extracted using MRRs, whereas CPW and MS line structures are utilized for characterization and validation. The measurement results indicate that while the average dielectric constant of the SUEX dry film ranges from 3.07 to 3.10, the corresponding loss tangent varies between 5.75 × 10−3 and 5.83 × 10−3 across a frequency range of 10.28–27.47 GHz. These results verify that SUEX has low-loss properties, making it a suitable dielectric for build-up layers in SoP modules, where reducing signal loss is crucial for 5G and future communication technologies. Full article
Show Figures

Figure 1

Back to TopTop