Sign in to use this feature.

Years

Between: -

Subjects

remove_circle_outline
remove_circle_outline
remove_circle_outline
remove_circle_outline
remove_circle_outline
remove_circle_outline
remove_circle_outline
remove_circle_outline
remove_circle_outline

Journals

remove_circle_outline
remove_circle_outline
remove_circle_outline
remove_circle_outline
remove_circle_outline
remove_circle_outline
remove_circle_outline
remove_circle_outline
remove_circle_outline
remove_circle_outline
remove_circle_outline
remove_circle_outline
remove_circle_outline
remove_circle_outline

Article Types

Countries / Regions

remove_circle_outline
remove_circle_outline
remove_circle_outline
remove_circle_outline
remove_circle_outline

Search Results (1,677)

Search Parameters:
Keywords = water-storage capacity

Order results
Result details
Results per page
Select all
Export citation of selected articles as:
24 pages, 3016 KB  
Article
Integration of Machine Learning and Feature Analysis for the Optimization of Enhanced Oil Recovery and Carbon Sequestration in Oil Reservoirs
by Bukola Mepaiyeda, Michal Ezeh, Olaosebikan Olafadehan, Awwal Oladipupo, Opeyemi Adebayo and Etinosa Osaro
ChemEngineering 2026, 10(1), 1; https://doi.org/10.3390/chemengineering10010001 - 19 Dec 2025
Abstract
The dual imperative of mitigating carbon emissions and maximizing hydrocarbon recovery has amplified global interest in carbon capture, utilization, and storage (CCUS) technologies. These integrated processes hold significant promise for achieving net-zero targets while extending the productive life of mature oil reservoirs. However, [...] Read more.
The dual imperative of mitigating carbon emissions and maximizing hydrocarbon recovery has amplified global interest in carbon capture, utilization, and storage (CCUS) technologies. These integrated processes hold significant promise for achieving net-zero targets while extending the productive life of mature oil reservoirs. However, their effectiveness hinges on a nuanced understanding of the complex interactions between geological formations, reservoir characteristics, and injection strategies. In this study, a comprehensive machine learning-based framework is presented for estimating CO2 storage capacity and enhanced oil recovery (EOR) performance simultaneously in subsurface reservoirs. The methodology combines simulation-driven uncertainty quantification with supervised machine learning to develop predictive surrogate models. Simulation results were used to generate a diverse dataset of reservoir and operational parameters, which served as inputs for training and testing three machine learning models: Random Forest, Extreme Gradient Boosting (XGBoost), and Artificial Neural Networks (ANN). The models were trained to predict three key performance indicators (KPIs): cumulative oil production (bbl), oil recovery factor (%), and CO2 sequestration volume (SCF). All three models exhibited exceptional predictive accuracy, achieving coefficients of determination (R2) greater than 0.999 across both training and testing datasets for all KPIs. Specifically, the Random Forest and XGBoost models consistently outperformed the ANN model in terms of generalization, particularly for CO2 sequestration volume predictions. These results underscore the robustness and reliability of machine learning models for evaluating and forecasting the performance of CO2-EOR and sequestration strategies. To enhance model interpretability and support decision-making, SHapley Additive exPlanations (SHAP) analysis was applied. SHAP, grounded in cooperative game theory, offers a model-agnostic approach to feature attribution by assigning an importance value to each input parameter for a given prediction. The SHAP results provided transparent and quantifiable insights into how geological and operational features such as porosity, injection rate, water production rate, pressure, etc., affect key output metrics. Overall, this study demonstrates that integrating machine learning with domain-specific simulation data offers a scalable approach for optimizing CCUS operations. The insights derived from the predictive models and SHAP analysis can inform strategic planning, reduce operational uncertainty, and support more sustainable oilfield development practices. Full article
16 pages, 2008 KB  
Article
Enhanced Stability of O/W Pickering Emulsions Driven by Interfacial Adsorption of Whey Protein Nanogels
by Zhaoshuo Yu, Fangzhou He, Lijing Ke and Jean-Christophe Jacquier
Foods 2026, 15(1), 9; https://doi.org/10.3390/foods15010009 - 19 Dec 2025
Abstract
Whey protein is valued for its health and emulsifying benefits, yet its intrinsic instability limits its effectiveness as an emulsifier under food processing conditions. To address the need for physically stable emulsions, this study developed O/W Pickering emulsions stabilised by nanogel WPI (GWEs) [...] Read more.
Whey protein is valued for its health and emulsifying benefits, yet its intrinsic instability limits its effectiveness as an emulsifier under food processing conditions. To address the need for physically stable emulsions, this study developed O/W Pickering emulsions stabilised by nanogel WPI (GWEs) and investigated their stability under common food processing conditions, including thermal treatment, pH adjustment, and cold storage. For comparison, emulsions stabilised by non-heated (NWEs) and heat-treated WPI (HWEs) were also prepared. The results showed that while the oil droplet size of GWEs (12.2 ± 1.16 µm) was comparable to NWEs (13.6 ± 0.26 µm), HWEs exhibited significantly larger droplets (18.0 ± 0.16 µm). GWEs demonstrated the highest protein adsorption at the oil–water interface (68.7%). TEM further revealed that whey nanogels achieved nearly full monolayer coverage of oil droplets. By contrast, only partial protein coverage and exposed interfaces were observed in NWEs and HWEs. Additionally, GWEs exhibited superior stability under food processing conditions, with minimal changes in emulsion capacity, droplet size, viscosity, and flow behaviour when subjected to heat (up to 90 °C), acidification (pH down to 3), and storage for up to 3 days, confirming the potential of nanogel WPI as an advanced stabiliser in emulsion-based formulations. Full article
30 pages, 1012 KB  
Article
Economic and Energy Efficiency of Bivalent Heating Systems in a Retrofitted Hospital Building: A Case Study
by Jakub Szymiczek, Krzysztof Szczotka, Piotr Michalak, Radosław Pyrek and Ewa Chomać-Pierzecka
Energies 2026, 19(1), 10; https://doi.org/10.3390/en19010010 - 19 Dec 2025
Abstract
This case study evaluates the economic and energy efficiency of retrofitting a hospital heating system in Krakow, Poland, by transitioning from a district-heating-only model to a bivalent hybrid system. The analyzed configuration integrates air-to-water heat pumps (HP), a 180 kWp photovoltaic (PV) installation, [...] Read more.
This case study evaluates the economic and energy efficiency of retrofitting a hospital heating system in Krakow, Poland, by transitioning from a district-heating-only model to a bivalent hybrid system. The analyzed configuration integrates air-to-water heat pumps (HP), a 180 kWp photovoltaic (PV) installation, and a 120 kWh battery energy storage (ES) unit, while retaining the municipal district heating network as a peak load and backup source. Utilizing high-resolution quasi-steady-state simulations in Ebsilon Professional (10 min time step) and projected 2025 market data, the study compares three modernization scenarios differing in heat pump capacity (20, 40, and 60 kW). The assessment focuses on key performance indicators, including Net Present Value (NPV), Levelized Cost of Heating (LCOH), and Simple Payback Time (SPBT). The results identify the bivalent system with 40 kW thermal capacity (Variant 2) as the economic optimum, delivering the highest NPV (EUR 121,021), the lowest LCOH (0.0908 EUR/kWh), and a payback period of 11.94 years. Furthermore, the study quantitatively demonstrates the law of diminishing returns in the oversized scenario (60 kW), confirming that optimal sizing is critical for maximizing the efficiency of bivalent systems in public healthcare facilities. This work provides a detailed methodology and data that can form a basis for making investment decisions in similar public utility buildings in Central and Eastern Europe. Full article
(This article belongs to the Special Issue Energy Efficiency of the Buildings: 4th Edition)
26 pages, 4851 KB  
Article
Spatiotemporal Dynamics of Vegetation Carbon Storage in the Kubuqi Desert and Dominant Drivers: The Coupling Effect of Topography and Climate
by Weifeng Wang, Haoran Zhao, Chunfeng Qi, Zongqi Liu, Ke Sai, Xiuxian Yue, Yuan Liu, Zhuojin Wu and Guangpeng Fan
Sustainability 2026, 18(1), 23; https://doi.org/10.3390/su18010023 - 19 Dec 2025
Abstract
The Kubuqi Desert represents a key ecologically fragile region in northern China, primarily functioning as a windbreak and sand-fixation barrier while also contributing to regional ecological balance. However, the area’s ecological vulnerability is pronounced, and investigating the spatiotemporal dynamics of vegetation carbon storage [...] Read more.
The Kubuqi Desert represents a key ecologically fragile region in northern China, primarily functioning as a windbreak and sand-fixation barrier while also contributing to regional ecological balance. However, the area’s ecological vulnerability is pronounced, and investigating the spatiotemporal dynamics of vegetation carbon storage and associated driving mechanisms is essential for the scientific formulation of ecological restoration strategies. This research incorporates multi-source remote-sensing datasets (including Landsat 8 OLI/TIRS Level 2, Sentinel-1 Synthetic Aperture Radar (SAR), ERA5 daily meteorological data, GEDI Level 4B, SRTM GL1 v003, and ESA WorldCover v100) based on the Google Earth Engine (GEE) platform, and employs multiple machine-learning algorithms (validation metrics of the machine learning model: R2 = 0.917, RMSE = 0.251) to develop a dynamic monitoring model of vegetation carbon storage in the Kubuqi Desert during the period 2019–2023. The analysis systematically evaluates the influence of climatic variables and anthropogenic activities on the spatiotemporal differentiation of carbon storage. The results indicate a slight upward trend in overall carbon storage across the study area (average annual increase of 0.4%), with high values predominantly concentrated in vegetated regions (up to 5.22 Mg/Ha) and low values distributed in bare lands and desert zones (0.5–0.7 Mg/Ha). Altitude, temperature, and slope serve as the primary driving factors governing carbon-storage variability. The findings suggest that scientifically guided vegetation restoration and optimized water-resource management can enhance the carbon-sink capacity of the Kubuqi Desert, offering a robust scientific basis for ecological governance and carbon budget assessment in arid and semi-arid desert ecosystems. Full article
Show Figures

Figure 1

24 pages, 5702 KB  
Article
Preparation and Performance Characterization of Thixotropic Gelling Materials with High Temperature Stability and Wellbore Sealing Properties
by Yingbiao Liu, Xuyang Yao, Chuanming Xi, Kecheng Liu and Tao Ren
Polymers 2025, 17(24), 3343; https://doi.org/10.3390/polym17243343 - 18 Dec 2025
Viewed by 95
Abstract
In response to the requirements of wellbore plugging and lost circulation control, this study designed and prepared a new type of thixotropic polymer gel system. The optimal formula was obtained through systematic screening of the types and concentrations of high molecular polymers, cross-linking [...] Read more.
In response to the requirements of wellbore plugging and lost circulation control, this study designed and prepared a new type of thixotropic polymer gel system. The optimal formula was obtained through systematic screening of the types and concentrations of high molecular polymers, cross-linking agents, flow pattern regulators, and resin curing agents. Comprehensive characterization of the gel’s gelling performance, thixotropic properties, high-temperature stability, shear resistance, and plugging capacity was conducted using methods such as the Sydansk bottle test, rheological testing, high-temperature aging experiments, plugging performance evaluation, as well as infrared spectroscopy, nuclear magnetic resonance, and thermogravimetric analysis, and its mechanism of action was revealed. The results show that the optimal formula is 1.2% AM-AA-AMPS terpolymer + 0.5% hydroquinone + 0.6% S-Trioxane + 0.8% modified montmorillonite + 14% modified phenolic resin. This gel system has a gelling time of 6 h, a gel strength reaching grade H, and a storage modulus of 62 Pa. It exhibits significant shear thinning characteristics in the shear rate range of 0.1~1000 s−1, with a viscosity recovery rate of 97.7% and a thixotropic recovery rate of 90% after shearing. It forms a complete gel at a high temperature of 160 °C, with a dehydration rate of only 8.5% and a storage modulus retention rate of 80% after aging at 140 °C for 7 days. Under water flooding conditions at 120 °C, the converted pressure-bearing capacity per 100 m reaches 24.0 MPa. Mechanism analysis confirms that the system forms a stable composite network through the synergistic effect of “covalent cross-linking—hydrogen bonding—physical adsorption”, providing a high-performance material solution for wellbore plugging in high-temperature and high-salt environments. Full article
(This article belongs to the Topic Polymer Gels for Oil Drilling and Enhanced Recovery)
Show Figures

Figure 1

17 pages, 745 KB  
Article
Functional and Rheological Properties of Gluten-Free Flour Blends from Brown Eragrostis tef (Zucc.) Trotter and Glycine max (L.) Merr
by Shewangzaw Addisu Mekuria, Damian Marcinkowski and Joanna Harasym
Molecules 2025, 30(24), 4817; https://doi.org/10.3390/molecules30244817 - 18 Dec 2025
Viewed by 81
Abstract
The increasing prevalence of celiac disease and demand for nutritious gluten-free alternatives have driven interest in cereal–legume composite flours. This study examined the functional, rheological, and textural properties of gluten-free flour blends formulated from brown (red) teff (Eragrostis tef (Zucc.) Trotter) and [...] Read more.
The increasing prevalence of celiac disease and demand for nutritious gluten-free alternatives have driven interest in cereal–legume composite flours. This study examined the functional, rheological, and textural properties of gluten-free flour blends formulated from brown (red) teff (Eragrostis tef (Zucc.) Trotter) and soybean (Glycine max (L.) Merr.) at different ratios (100:0, 90:10, 80:20, 70:30, 60:40, 0:100). Absorptive characteristics, particle size distribution, pasting behaviour, viscoelastic properties through oscillatory rheology, and texture profile analysis were evaluated. Soybean flour exhibited higher water holding capacity (5.54 g/g) and water solubility index (40.18%), while teff demonstrated notable water absorption index (5.62 g/g) and swelling power (6.18 g/g). Particle size analysis revealed that coarse fractions enhanced water binding and solubility, whereas fine fractions favoured hydration and swelling. Pasting properties showed that teff achieved a peak viscosity of 12,198 mPas in water, significantly reduced to 1839 mPas with AgNO3. Pure teff exhibited the highest storage modulus (1947.98 Pa) and hardness (7.60 N), whereas the incorporation of soybeans progressively softened the texture. The complementary functional properties of teff and soybean demonstrate promising potential for developing nutritionally enhanced, protein-enriched gluten-free products, with solvent selection and blending ratios serving as critical optimization parameters for specific food applications. Full article
Show Figures

Figure 1

21 pages, 1142 KB  
Article
Estimation of Reducing Unit Abrasion by Sediment Regulation Measures of Pumped Storage Power Stations on Sediment-Laden Rivers
by Qiumeng Xu and Xiaoming Zha
Sustainability 2025, 17(24), 11277; https://doi.org/10.3390/su172411277 - 16 Dec 2025
Viewed by 105
Abstract
Pumped storage power stations (PSPSs) are crucial regulators for accelerating the global energy structure transformation and developing a renewable energy-dominated power system. The sediment entering the reservoirs leads to capacity loss, while the fine-grained sediment carried by water during pumping and power generation [...] Read more.
Pumped storage power stations (PSPSs) are crucial regulators for accelerating the global energy structure transformation and developing a renewable energy-dominated power system. The sediment entering the reservoirs leads to capacity loss, while the fine-grained sediment carried by water during pumping and power generation can cause cavitation in penstocks and abrasion of turbine blades, which may lead to frequent shutdowns for overhaul. Taking a pumped storage power station as an example, whose lower reservoir is on a sediment-laden river, this study simulates the sediment concentration and its particle size through turbines under different sediment regulation measures. The unit abrasion rate and overhaul cycle are further predicted. The results indicate that the sediment concentration through turbines (SCT) and the suspended sediment transport rate entering the lower reservoir are positively correlated. The higher the SCT, the coarser the sediment particle size through turbines. For the lower reservoir with delta or conical sedimentation patterns, lowering the water level and shutting down pumping during sediment peak processes can free up the effective storage capacity, reduce the SCT by approximately 26%, and extend the overhaul cycle to 1.5 times. The study also systematically introduces a practical and feasible method for predicting SCT and turbine blade abrasion, servicing for the sustainability of PSPSs. Full article
(This article belongs to the Special Issue Sediment Movement, Sustainable Water Conservancy and Water Transport)
17 pages, 676 KB  
Article
Bioyogurt Enriched with Provitamin A Carotenoids and Fiber: Bioactive Properties and Stability
by Camila Bernal-Castro, Ángel David Camargo-Herrera, Carolina Gutiérrez-Cortés and Consuelo Díaz-Moreno
Fermentation 2025, 11(12), 698; https://doi.org/10.3390/fermentation11120698 - 16 Dec 2025
Viewed by 222
Abstract
Recent research has focused on yogurts supplemented with plant-derived and apiculture ingredients to enhance functional properties. This study evaluates the symbiotic potential of provitamin A carotenoids, dietary fiber, and oligosaccharides from carrots, mangoes, and honeydew honey in probiotic-enriched bioyogurt. Formulations were assessed during [...] Read more.
Recent research has focused on yogurts supplemented with plant-derived and apiculture ingredients to enhance functional properties. This study evaluates the symbiotic potential of provitamin A carotenoids, dietary fiber, and oligosaccharides from carrots, mangoes, and honeydew honey in probiotic-enriched bioyogurt. Formulations were assessed during fermentation (45 °C ± 1 °C for 5 h) and refrigerated storage (4 °C ± 1 °C for 21 days). Probiotic and starter culture viability was determined using pour-plate counts on MRS agar. Physicochemical parameters including pH, titratable acidity, total soluble solids, water-holding capacity, and antioxidant metrics (total phenolics and carotenoids) were analyzed. After 21 days of storage, the probiotic culture (VEGE 092) reached 10.26 log CFU/mL and the starter culture (YOFLEX) achieved 8.66 log CFU/mL, maintaining therapeutic thresholds. Total carotenoid content increased significantly (p < 0.05) from 2.15 to 3.96 µg β-carotene/g, indicating synergistic interactions between lactic acid bacteria and plant-derived bioactive compounds. These findings demonstrate that combining plant-derived carotenoids, prebiotic fibers, and honeydew oligosaccharides effectively maintains probiotic viability and enhances antioxidant stability throughout fermentation and refrigerated storage, supporting the development of functional dairy products with improved nutritional profiles. Full article
Show Figures

Graphical abstract

19 pages, 2547 KB  
Article
Integrating Infiltration Holes into Ridge–Furrow Systems Enhances Drought Resilience and Yield of Maize in Semi-Arid China
by Jiwei Gao, Ke Wang, Xiaoyuan Zhang, Gaoliang Li, Guogang Wang, Zitong Zhang and Jiyong Zheng
Agronomy 2025, 15(12), 2871; https://doi.org/10.3390/agronomy15122871 - 14 Dec 2025
Viewed by 215
Abstract
This study aimed to address the limited infiltration capacity of the double ridge–furrow mulching system (DRFM) under heavy rainfall on the Loess Plateau, which exacerbates surface runoff and mid-summer soil water deficits in semi-arid rainfed areas. By incorporating infiltration holes to optimize the [...] Read more.
This study aimed to address the limited infiltration capacity of the double ridge–furrow mulching system (DRFM) under heavy rainfall on the Loess Plateau, which exacerbates surface runoff and mid-summer soil water deficits in semi-arid rainfed areas. By incorporating infiltration holes to optimize the system, we evaluated their effects on soil water storage, maize growth, and water use efficiency (WUE). A two-year field experiment (2021–2022) comprised four treatments: conventional flat planting (CK), the traditional ridge-furrow system (CWC), the double ridge-furrow system (DWC), and the double ridge-furrow system with infiltration holes (DWCR). The experimental periods represented a normal precipitation year (2021, 410 mm) and a dry year (2022, 270 mm). Results indicated that the DWCR treatment established preferential flow pathways, significantly enhancing deep soil water storage and its utilization efficiency during critical phenological stages, particularly under drought. This improved deep water accelerated crop growth and boosted yield. Compared to the CK, CWC, and DWC treatments, the DWCR treatment significantly increased plant height, aboveground dry matter (ADM), yield, and WUE. Specifically, the DWCR treatment improved yield and WUE by 0.24–20.04% and 2.75–26.27%, respectively. In the dry year, the yield of the DWC treatment increased by 12.72% compared to its yield in the normal year, whereas the DWCR treatment achieved a greater increase of 19.18%. Root analysis confirmed that the DWCR treatment significantly increased root weight density in the 20–60 cm soil layer under drought, optimizing root spatial distribution and thereby enhancing deep water uptake and drought resistance. In conclusion, incorporating infiltration holes into the DRFM is an effective strategy for optimizing soil water distribution, improving crop drought tolerance and WUE, and promoting sustainable semi-arid rainfed agriculture. Full article
(This article belongs to the Section Water Use and Irrigation)
Show Figures

Figure 1

21 pages, 3531 KB  
Article
Plant Proteins as Alternative Natural Emulsifiers in Food Emulsions
by Dominika Kaczmarek, Marta Pokora-Carzynska, Leslaw Juszczak, Ewelina Jamroz and Janusz Kapusniak
Foods 2025, 14(24), 4291; https://doi.org/10.3390/foods14244291 - 13 Dec 2025
Viewed by 377
Abstract
The growing interest in plant-based ingredients in food production has increased the demand for effective alternatives to animal-derived emulsifiers. In this study, the physicochemical and functional properties of selected commercial plant protein preparations as natural emulsifiers in food emulsions were assessed. Emulsifying activity [...] Read more.
The growing interest in plant-based ingredients in food production has increased the demand for effective alternatives to animal-derived emulsifiers. In this study, the physicochemical and functional properties of selected commercial plant protein preparations as natural emulsifiers in food emulsions were assessed. Emulsifying activity and stability (EA, ES), foaming capacity and stability (FC, FS), water and oil absorption (WAC, OAC), color (CIE Lab*), viscosity, surface tension, and zeta potential were analyzed. Pea (PP1–PP4), rice (RP1, RP2) and chickpea (CP1) proteins showed the most favorable properties, characterized by high EA values (58.3–62.5%) and emulsion stability during storage (62–65%) after 6 days. Emulsions formulated with these proteins were significantly lighter (L* > 69). PP1 exhibited more than twice the viscosity of the other samples. The lowest surface tension values (<45 mN/m) were observed for RP2 and PP1, indicating strong surface activity. Pea proteins PP1, PP2, and PP4 showed the highest system stability, with zeta potential values below –35 mV. Overall, the selected plant protein preparations, particularly pea, rice, and chickpea proteins, showed promising functional properties, confirming their potential use as natural emulsifiers in clean-label plant-based formulations and providing a basis for further product development. Full article
(This article belongs to the Section Food Physics and (Bio)Chemistry)
Show Figures

Graphical abstract

20 pages, 4911 KB  
Article
Experimental Research on Surfactant Flooding and Design of Integrated Schemes for Energy Storage Fracturing and Production in Tight Sandstone Reservoirs
by Yujie Zhang, Zhiyang Pi, Gang Hui, Ruihan Zhang, Feng Ni, Ye Li, Chenqi Ge, Penghu Bao, Yujie Zhang, Xing Yang, Dan Wu, Yunli Lu and Fei Gu
Processes 2025, 13(12), 4031; https://doi.org/10.3390/pr13124031 (registering DOI) - 13 Dec 2025
Viewed by 201
Abstract
The WieZhou12 oilfield (also known as WZ12 oilfield, the same below) is in urgent need of development using large-scale volumetric fracturing technology since it is a typical complex fault-block oilfield with low porosity, low permeability, and no natural production capacity. To study the [...] Read more.
The WieZhou12 oilfield (also known as WZ12 oilfield, the same below) is in urgent need of development using large-scale volumetric fracturing technology since it is a typical complex fault-block oilfield with low porosity, low permeability, and no natural production capacity. To study the fracturing measures with surfactants in offshore oilfields like WZ12, the surfactant fracturing fluid types were experimentally selected based on their effect of decreasing interfacial tension and enhancing matrix wettability. The water cut law and oil displacement efficiency in displacement experiments were also analyzed, according to surfactant type and fluid characteristics. Next, using the numerical simulation software CMG, the study completed the integrated simulation of volumetric fracturing in the “injection–soaking–flowback” process. Finally, some critical parameters were optimized for the block model, including the quantity of injected fluids, the soaking time, and the rate of fluid flowback. The results showed that the most suitable surfactant was 0.5% ammonium lauryl polyether sulfate (ALES), which had a low interfacial tension of 1.7 × 10−2 mN/m, a contact angle of 20.071° with the core, and a 52% oil displacement efficiency. From the simulations, the suggested production parameters for energy storage fracturing are as follows: a daily injection volume of 600 m3/d, a soaking time of 25 days post fracturing, and a fluid production rate of 270 m3/d. The findings of this study establish a significant theoretical foundation for optimizing surfactant type and provide construction advice for the integrated measure of fracturing, well shut-in, and production in offshore oilfields. Full article
Show Figures

Figure 1

20 pages, 4191 KB  
Article
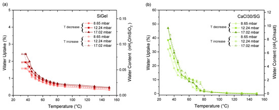
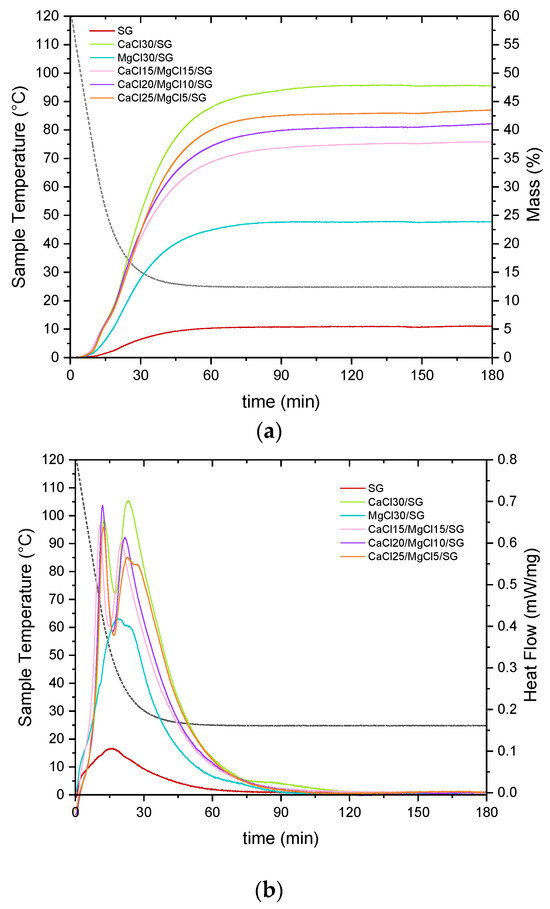
Lab-Scale Performance Evaluation of CaCl2/MgCl2/Silica Gel Sorbent Material for Thermal Energy Storage
by Mauro Prestipino, Antonio Fotia, Mario Alberto Avila-Gutierrez, Luigi Calabrese, Andrea Frazzica, Candida Milone and Emanuela Mastronardo
Energies 2025, 18(24), 6527; https://doi.org/10.3390/en18246527 - 12 Dec 2025
Viewed by 257
Abstract
Combining different materials into binary salts can significantly enhance the efficiency and stability of Thermochemical Energy Storage (TCES) systems. This study aimed to develop and characterise novel salt hydrate composite materials for TCES, focusing on a mixture of magnesium chloride (MgCl2) [...] Read more.
Combining different materials into binary salts can significantly enhance the efficiency and stability of Thermochemical Energy Storage (TCES) systems. This study aimed to develop and characterise novel salt hydrate composite materials for TCES, focusing on a mixture of magnesium chloride (MgCl2) and calcium chloride (CaCl2) impregnated into a mesoporous silica gel (SG) sphere matrix. Three different MgCl2/CaCl2 salt ratios were investigated to find the optimal balance between sorption capacity and stability against deliquescence in humid environments. Prepared samples underwent comprehensive characterisation, including structural and morphological analysis, water vapour sorption and heat capacity measurements. The hybrid CaCl15/MgCl15/SG sample exhibited intermediate behavior between the pure CaCl30/SG and MgCl30/SG samples, with significantly improved stability in a humid environment due to the addition MgCl2. Characterisation revealed the effective confinement of the salt mix in the matrix. The optimised CaCl15/MgCl15/SG sample demonstrated highly promising gravimetric and volumetric energy storage capacities of 1092 J/g and 2.3 MJ/m3, respectively, comparable to recently reported composites. The material sorption dynamics were ultimately tested in a whole adsorbent unit under near-real-world operating conditions, pushing the research to the reactor and system level, and demonstrating that the presence of MgCl2 in the composite does not adversely affect the adsorption kinetics compared to the pure CaCl2-based composite. Full article
Show Figures

Figure 1

21 pages, 4234 KB  
Article
Improving Freeze–Thaw Stability of High-Moisture Extruded Plant-Based Meat: A Synergistic Strategy Combining Glucose Oxidase, Phytase and Tamarind Gum
by Xuzeng Wang, Xiangquan Zeng and Jian Li
Foods 2025, 14(24), 4270; https://doi.org/10.3390/foods14244270 - 11 Dec 2025
Viewed by 304
Abstract
Plant-based meat analogs, particularly those produced by high-moisture extrusion, are prone to quality deterioration during frozen storage due to poor freeze–thaw stability. This study aimed to develop a synergistic stabilization strategy for soy protein isolate (SPI)-based extrudates using glucose oxidase (GO), phytase (PA), [...] Read more.
Plant-based meat analogs, particularly those produced by high-moisture extrusion, are prone to quality deterioration during frozen storage due to poor freeze–thaw stability. This study aimed to develop a synergistic stabilization strategy for soy protein isolate (SPI)-based extrudates using glucose oxidase (GO), phytase (PA), and tamarind gum (TG). The effects of individual additives (GO, PA, TG) and their combination (GO + TG) were systematically evaluated over seven freeze–thaw cycles, with a pure soybean-protein meat analog (PSM) as a control. The results showed that repeated freeze–thaw cycles severely degraded the control groups, leading to reduced water-holding capacity (WHC), increased hardness, and color darkening. While all additives mitigated these changes, the GO + TG combination exhibited the most pronounced protective effect, maintaining the highest WHC (0.993 ± 0.000), optimal texture (hardness 66.0 ± 0.0 N, elasticity 3.7 ± 0.0 mm), and minimal color variation. Structural analyses revealed that GO + TG effectively suppressed protein oxidation, minimized sulfhydryl loss, preserved protein secondary and tertiary structures, and inhibited the conversion of immobilized water to free water. The synergistic mechanism is attributed to the formation of a dual-network structure, wherein GO enhances covalent cross-linking and TG provides steric stabilization. This study offers a practical and effective approach for enhancing the freeze–thaw stability of extruded plant-based meat products, with potential industrial applications. Full article
Show Figures

Figure 1

25 pages, 5490 KB  
Article
Assessment and Optimization of Wetland Ecosystem Services in the Jianghan Lake Cluster
by Yanpeng Ma, Yuting Wang, Lefan Jia, Wenjie Zhang and Danzi Wu
Land 2025, 14(12), 2400; https://doi.org/10.3390/land14122400 - 11 Dec 2025
Viewed by 278
Abstract
Anthropogenic disturbances and morphological constraints pose significant threats to lake–wetland functions. However, conventional assessments often overlook the influence of wetland morphology on the spatial realization of ecosystem services, which limits effective ecological restoration. This study presents a multidimensional framework coupled with the InVEST [...] Read more.
Anthropogenic disturbances and morphological constraints pose significant threats to lake–wetland functions. However, conventional assessments often overlook the influence of wetland morphology on the spatial realization of ecosystem services, which limits effective ecological restoration. This study presents a multidimensional framework coupled with the InVEST model to evaluate the Integrated Ecosystem Service Capacity (IESC) in the Jianghan Lake Cluster. The assessment focuses on key ecosystem services, such as habitat quality, carbon storage, and water purification. The results reveal significant morphology-driven heterogeneity in IESC. Zonal optimization strategies, including ecological water replenishment, buffer-strip construction, and polder-to-lake conversion, significantly enhance IESC across conservation, regulation, and restoration zones. Model simulations indicate that these targeted interventions can reduce non-point source pollution by approximately 35%, and increase carbon sequestration and biodiversity indices by 15–20% and 30%, respectively. This study elucidates the coupling mechanisms between lake morphology and ecosystem service capacity and provides a spatial framework for restoring “lake–river–polder” composite wetland systems. Full article
Show Figures

Figure 1

16 pages, 4616 KB  
Article
Design of the Pore Structure of Sponge-Structured Cement Pastes with Both Absorption and Storage Functions
by Tong Li, Guojun Du, Hefang Zhang, Dongli Wang, Xiangwang Tao and Jinqiu Zhang
Materials 2025, 18(24), 5537; https://doi.org/10.3390/ma18245537 - 10 Dec 2025
Viewed by 212
Abstract
This study uses fly ash and slag as the main raw materials to replace 80% of the cement, and prepares a sponge-structured cement paste with storage and absorption functions. This paste is then used to bind the coarse aggregate of permeable concrete to [...] Read more.
This study uses fly ash and slag as the main raw materials to replace 80% of the cement, and prepares a sponge-structured cement paste with storage and absorption functions. This paste is then used to bind the coarse aggregate of permeable concrete to improve the water absorption and storage performance of the permeable concrete. This research examined the influence of mineral admixture ratios on mechanical strength, capillary absorption and storage capacity, and analyzed the formation mechanisms of microporous structure. Sponge structure cement stone was prepared with a cementitious material ratio of 70% grade II fly ash, 10% slag and 20% cement. The findings indicate an optimal mix proportion that provides enhanced compressive strength, capillary water absorption, and volumetric water storage capacity. Compared with standard curing, water-bath curing was found to be unfavorable for enhancing the water absorption performance of sponge-structured cement paste; therefore, standard curing is recommended for its preparation. The pore structure of sponge-structured cement paste was analyzed using the Bruker–Emmett–Taylor (BET) method, scanning electron microscopy (SEM), Image-Pro Plus (IPP) image processing technology, and mercury intrusion porosimetry (MIP). Results indicated that the volume fraction of capillary pores in the 100–1000 nm range was positively correlated with water absorption and storage performance. The exponential relationship model between the content of grade II fly ash and the capillary pore content of sponge-structured cement stone was determined. Full article
(This article belongs to the Section Construction and Building Materials)
Show Figures

Figure 1

Back to TopTop