Effect of Atmospheric Cold Plasma Treatment on the Microorganism Growth, Diversity, and Quality of Coconut Water During Refrigerator Storage
Abstract
1. Introduction
2. Materials and Methods
2.1. Materials
2.2. Methods
2.2.1. Treatment of Coconut Water
2.2.2. Color Measurement
2.2.3. Browning Index Measurement
2.2.4. Turbidity Test
2.2.5. Chemical Quality Analysis
2.2.6. PPO and POD Enzyme Activity Measurement
2.2.7. Antioxidant Capacity Measurement
2.2.8. Microbiology Amount Determination
2.2.9. Bacteria Diversity Analysis
2.3. Statistics Analysis
3. Results and Discussion
3.1. Quality
3.1.1. Color and Browning Index
3.1.2. pH
3.1.3. Turbidity
3.1.4. Contents of TSS and TA
3.1.5. Activities of PPO and POD
3.1.6. Contents of Total Sugar and Reducing Sugar
3.1.7. Contents of TPC and TAA Content
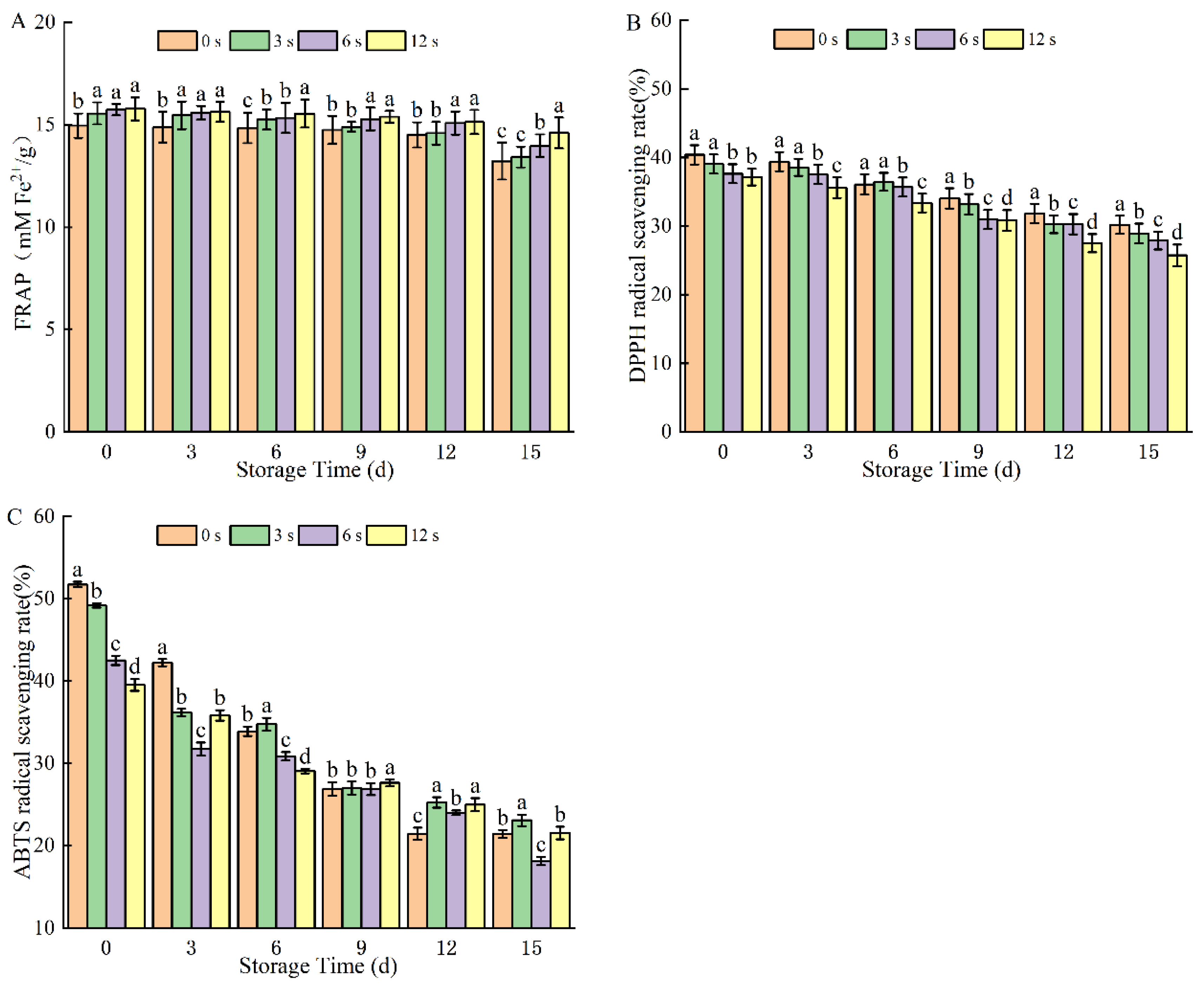
3.1.8. Antioxidant Capacity
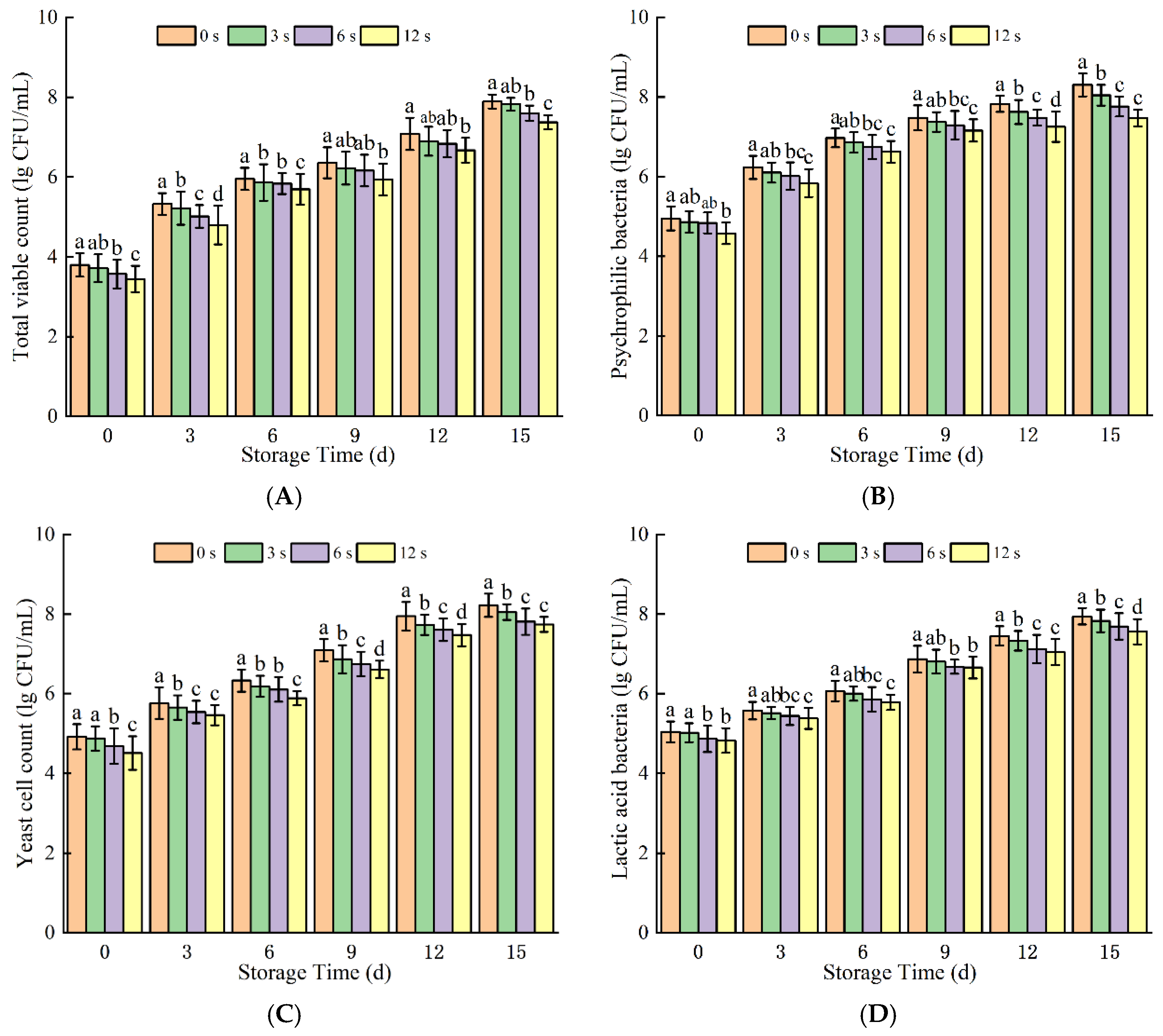
3.2. Microorganism Counts
3.3. Correlation Relationship Between Physicochemical Quality and Microorganism
3.4. Bacteria Diversity
3.4.1. Sequencing Analysis
3.4.2. Phylum Level Classification Analysis
4. Conclusions
Author Contributions
Funding
Data Availability Statement
Acknowledgments
Conflicts of Interest
References
- Naik, M.; Sunil, C.K.; Rawson, A.; Venkatachalapathy, N. Tender Coconut Water: A Review on Recent Advances in Processing and Preservation. Food Rev. Int. 2022, 38, 1215–1236. [Google Scholar] [CrossRef]
- Zhang, Y.; Zhang, J.; Zhang, Y.; Hu, H.; Luo, S.; Zhang, L.; Li, P. Effects of in-package atmospheric cold plasma treatment on the qualitative, metabolic and microbial stability of fresh-cut pears. J. Sci. Food Agric. 2021, 101, 4473–4480. [Google Scholar] [CrossRef]
- Burns, D.T.; Johnston, E.L.; Walker, M.J. Authenticity and the potability of coconut water—A critical review. J. AOAC Int. 2020, 103, 3. [Google Scholar] [CrossRef]
- Rajashri, K.; Rastogi, N.K.; Negi, P.S. Non-Thermal processing of tender coconut water—A review. Food Rev. Int. 2022, 38, 34–55. [Google Scholar] [CrossRef]
- Laroussi, M.; Lu, X.P. Room-temperature atmospheric pressure plasma plume for biomedical applications. Appl. Phys. Lett. 2005, 87, 11. [Google Scholar] [CrossRef]
- Zhang, Q.; Zhuang, J.; von Woedtke, T.; Kolb, J.F.; Zhang, J.; Fang, J.; Weltmann, K.D. Synergistic antibacterial effects of treatments with low temperature plasma jet and pulsed electric fields. Appl. Phys. Lett. 2014, 105, 10. [Google Scholar] [CrossRef]
- Kumar, S.; Pipliya, S.; Srivastav, P.P. Effect of cold plasma processing on physicochemical and nutritional quality attributes of kiwifruit juice. J. Food Sci. 2023, 88, 4. [Google Scholar] [CrossRef] [PubMed]
- Aparajhitha, S.; Mahendran, R. Effect of plasma bubbling on free radical production and its subsequent effect on the microbial and physicochemical properties of Coconut Neera. Innov. Food Sci. Emerg. Technol. 2019, 58, 102230. [Google Scholar] [CrossRef]
- Waghmare, R. Cold plasma technology for fruit based beverages: A review. Trends Food Sci. Technol. 2021, 114, 60–69. [Google Scholar] [CrossRef]
- Liao, X.; Liu, D.; Xiang, Q.; Ahn, J.; Chen, S.; Ye, X.; Ding, T. Inactivation mechanisms of non-thermal plasma on microbes: A review. Food Control. 2017, 75, 83–91. [Google Scholar] [CrossRef]
- Rao, Y.; Shang, W.; Yang, Y.; Zhou, R.; Rao, X. Fighting Mixed-Species Microbial Biofilms with Cold Atmospheric Plasma. Front. Microbiol. 2022, 11, 100. [Google Scholar] [CrossRef] [PubMed]
- Julák, J.; Scholtz, V.; Vaňková, E. Medically important biofilms and non-thermal plasma. World J. Microbiol. Biotechnol. 2018, 34, 178. [Google Scholar] [CrossRef]
- Kaur, S.; Kumar, Y.; Singh, V.; Kaur, J.; Panesar, P.S. Cold plasma technology: Reshaping food preservation and safety. Food Control 2024, 163, 110537. [Google Scholar] [CrossRef]
- Starek, A.; Pawłat, J.; Chudzik, B.; Kwiatkowski, M.; Terebun, P.; Sagan, A.; Andrejko, D. Evaluation of selected microbial and physicochemical parameters of fresh tomato juice after cold atmospheric pressure plasma treatment during refrigerated storage. Sci. Rep. 2019, 9, 8407. [Google Scholar] [CrossRef]
- Hou, Y.; Wang, R.; Gan, Z.; Shao, T.; Zhang, X.; He, M.; Sun, A. Effect of cold plasma on blueberry juice quality. Food Chem. 2019, 290, 79–86. [Google Scholar] [CrossRef]
- Garofulić, I.E.; Jambrak, A.R.; Milošević, S.; Dragović-Uzelac, V.; Zorić, Z.; Herceg, Z. The effect of gas phase plasma treatment on the anthocyanin and phenolic acid content of sour cherry Marasca (Prunus cerasus var. Marasca) juice. LWT Food Sci. Technol. 2014, 62, 894–900. [Google Scholar] [CrossRef]
- Kovačević, D.B.; Putnik, P.; Dragović-Uzelac, V.; Pedisić, S.; Jambrak, A.R.; Herceg, Z. Effects of cold atmospheric gas phase plasma on anthocyanins and color in pomegranate juice. Food Chem. 2016, 190, 317–323. [Google Scholar] [CrossRef]
- Wang, X.; Han, Y.; Geng, J.; Zhu, A.; Wei, X.; Xiang, Q.; Zong, W. Removal of Alternaria mycotoxins exposed to different food components by cold plasma. Food Chem. 2022, 397, 133770. [Google Scholar] [CrossRef] [PubMed]
- Porto, E.; Alves Filho, E.G.; Silva, L.M.A.; Fonteles, T.V.; do Nascimento, R.B.R.; Fernandes, F.A.; Rodrigues, S. Ozone and plasma processing effect on green coconut water. Food Res. Int. 2022, 131, 109000. [Google Scholar] [CrossRef]
- Xu, L.; Li, Z.; Yang, S.; Jiang, H. Cold plasma—A new technology for maintaining key aroma compounds and flavor in coconut water. Innov. Food Sci. Emerg. Technol. 2024, 96, 103752. [Google Scholar] [CrossRef]
- Xu, L.; Zhang, J.; Zhang, X.; Xie, M.; Zhang, W.; Wang, J.; Chen, L.; Yun, Y.-H. Effects of Cold Plasma and Pasteurization on Flavor and Primary Metabolites of Aromatic Coconut Water Based on Flavoromics and Metabolomics. Food Front. 2025, 6, 1409–1422. [Google Scholar] [CrossRef]
- Oziyci, H.R.; Karhan, M.U.T.F.; Tetik, N.E.I.; Turhan, I.R.A. Effects of processing method and storage temperature on clear pomegranate juice turbidity and color. J. Food Process. Preserv. 2013, 37, 899–906. [Google Scholar] [CrossRef]
- Qi, S.Y.; Peng, Y.J.; Li, Z.; Yi, J.J.; Zhou, L.Y. Effect of traditional procedure and high pressure processing assisted methods on physicochemical properties and in vitro digestibility of yellow glutinous rice dyed by Buddleja officinalis Maxim. Innov. Food Sci. Emerg. Technol. 2024, 101, 103952. [Google Scholar] [CrossRef]
- Muhammad, U.; Saqib, J.; Ahmed, M.S.; Tayyaba, S.; Mustapha, M.N.; Assar, A.S.; Zhang, J. Influence of Combined Effect of Ultra-Sonication and High-Voltage Cold plasma Treatment on Quality Parameters of Carrot Juice. Foods 2019, 11, 593. [Google Scholar] [CrossRef]
- Prithviraj, V.; Pandiselvam, R.; Babu, A.C.; Kothakota, A.; Manikantan, M.R.; Ramesh, S.V.; Hebbar, K.B. Emerging non-thermal processing techniques for preservation of tender coconut water. LWT Food Sci. Technol. 2021, 149, 111850. [Google Scholar] [CrossRef]
- Ceballos, M.W.; Jafari, S.; Fikry, M.; Shiekh, K.A.; Kijpatanasilp, I.; Assatarakul, K. Changes in quality attributes of coconut water treated with UV-radiation and nisin during cold storage: Kinetics modelling and shelf-life prediction. Food Control 2025, 167, 0956–7135. [Google Scholar] [CrossRef]
- Elcik, B.E.; Kirkin, C. Quality and antioxidant activity of dandelion root infusions as affected by cold plasma pretreatment. Food Sci. Nutr. 2024, 12, 526–533. [Google Scholar] [CrossRef]
- Shi, X.M.; Zhang, G.J.; Wu, X.L.; Li, Y.X.; Ma, Y.; Shao, X.J. Effect of Cold plasma on Microorganism Inactivation and Quality of Freshly Squeezed Orange Juice. IEEE Trans. Plasma Sci. 2011, 39, 1591–1597. [Google Scholar] [CrossRef]
- Liu, X.; Pang, Y.; Shan, J.; Wang, Y.; Zheng, Y.; Xue, Y.; Zhang, F. Beyond the base pairs: Comparative genome-wide DNA methylation profiling across sequencing technologies. Brief. Bioinform. 2024, 25, 5. [Google Scholar] [CrossRef]
- Manzoor, M.F.; Ahmad, N.; Ahmed, Z.; Siddique, R.; Mehmood, A.; Usman, M.; Zeng, X.-A. Effect of dielectric barrier discharge plasma, ultra-sonication, and thermal processing on the rheological and functional properties of sugarcane juice. J. Food Sci. 2020, 85, 3823–3832. [Google Scholar] [CrossRef]
- Mihai, A.R.; Loic, L.; Lisa, D.; Lorenz, H.; Michael, B.; Markus, A.; Stefan, W. Direct EPR detection of atomic nitrogen in an atmospheric nitrogen plasma jet. Phys. Chem. Chem. Phys. 2020, 22, 3875–3882. [Google Scholar] [CrossRef] [PubMed]
- Anna, D.; Aleksandra, P.B.; Pawel, P.; Piotr, C.; Agata, M.P.; Tymoteusz, K.; Piotr, P. Comprehensive studies on the properties of apple juice treated by non-thermal atmospheric plasma in a flow-through system. Sci. Rep. 2020, 10, 21166. [Google Scholar] [CrossRef]
- Alkawareek, Y.M.; Gorman, P.S.; Graham, G.W.; Gilmore, B.F. Potential cellular targets and antibacterial efficacy of atmospheric pressure non-thermal plasma. Int. J. Antimicrob. Agents 2014, 43, 154–160. [Google Scholar] [CrossRef] [PubMed]
- Bayati, M.; Lund, M.N.; Tiwari, B.K.; Poojary, M.M. Chemical and physical changes induced by cold plasma treatment of foods: A critical review. Compr. Rev. Food Sci. Food Saf. 2024, 23, e13376. [Google Scholar] [CrossRef]
- Nasution, Z.; Jirapakkul, W.; Lorjaroenphon, Y. Aroma compound profile of mature coconut water from tall variety through thermal treatment. J. Food Meas. Charact. 2019, 13, 277–286. [Google Scholar] [CrossRef]
- Baniya, H.B.; Guragain, R.P.; Panta, G.P.; Dhungana, S.; Chhetri, G.K.; Joshi, U.M.; Pandey, B.P.; Subedi, D.P. Experimental Studies on Physicochemical Parameters of Water Samples before and after Treatment with a Cold Atmospheric Plasma Jet and its Optical Characterization. J. Chem. 2021, 2021, 6638939. [Google Scholar] [CrossRef]
- Vukić, M.; Vujadinović, D.; Ivanović, M.; Gojković, V.; Grujić, R. Color change of orange and carrot juice blend treated by non-thermal atmospheric plasma. J. Food Process. Preserv. 2018, 42, 2. [Google Scholar] [CrossRef]
- Tan, T.C.; Easa, A.M. The evolution of physicochemical and microbiological properties of green and mature coconut water (Cocos nucifera) under different storage conditions. J. Food Meas. Charact. 2021, 15, 3523–3530. [Google Scholar] [CrossRef]
- Silva, R.M.; Filho, E.G.A.; Campelo, P.H.; Silva, F.E.F.; Zampieri, D.S.; Gramosa, N.V.; Rodrigues, S. NMR Spectroscopy and Chemometrics to Evaluate the Effect of Different Non-Thermal Plasma Processing on Sapota-do-Solimões (Quararibea cordata Vischer) Juice Quality and Composition. Food Bioprocess Technol. 2022, 15, 875–890. [Google Scholar] [CrossRef]
- Muhammad, A.I.; Lv, R.; Liao, X.; Chen, W.; Liu, D.; Ye, X.; Chen, S.; Ding, T. Modeling the inactivation of Bacillus cereus in tiger nut milk treated with cold atmospheric pressure plasma. J. Food Prot. 2019, 82, 1828–1836. [Google Scholar] [CrossRef] [PubMed]
- Hemanta, C.; Lata, C.M. Influence of cold plasma voltage and time on quality attributes of tender coconut water (Cocos nucifera L.) and degradation kinetics of its blended beverage. J. Food Process. Preserv. 2021, 45, 4. [Google Scholar] [CrossRef]
- Dong, S.; Fan, L.; Ma, Y.; Du, J.; Xiang, Q. Inactivation of polyphenol oxidase by dielectric barrier discharge (DBD) plasma: Kinetics and mechanisms. LWT Food Sci. Technol. 2021, 145, 111322. [Google Scholar] [CrossRef]
- Sreelakshmi, V.P.; Vendan, S.E.; Negi, P.S. The effect of cold plasma treatment on quality attributes and shelf life of apples. Postharvest Biol. Technol. 2024, 214, 112975. [Google Scholar] [CrossRef]
- Kalaivendan, R.G.T.; Eazhumalai, G.; Annapure, U.S. Impact of Novel Atmospheric Pin-to-Plate Cold plasma on a Seed Galactomannan: Physical and Chemical Characteristics and Its Application in Orange Juice Stabilization. Food Bioprocess Technol. 2024, 17, 169–187. [Google Scholar] [CrossRef]
- Sarangapani, C.; O’Toole, G.; Cullen, P.J.; Bourke, P. Atmospheric cold plasma dissipation efficiency of agrochemicals on blueberries. Innov. Food Sci. Emerg. Technol. 2017, 44, 235–241. [Google Scholar] [CrossRef]
- Nasri, A.H.; Kazemzadeh, P.; Khorram, S.; Moslemi, M.; Mahmoudzadeh, M. A kinetic study on carrot juice treated by dielectric barrier discharge (DBD) cold plasma during storage. LWT Food Sci. Technol. 2023, 190, 115563. [Google Scholar] [CrossRef]
- Leite, A.K.; Fonteles, T.V.; Miguel, T.B.; da Silva, G.S.; de Brito, E.S.; Alves Filho, E.G.; Rodrigues, S. Atmospheric cold plasma frequency imparts changes on cashew apple juice composition and improves vitamin C bioaccessibility. Food Res. Int. 2021, 147, 110479. [Google Scholar] [CrossRef] [PubMed]
- Zhang, X.L.; Zhong, C.S.; Mujumdar, A.S.; Yang, X.H.; Deng, L.Z.; Wang, J.; Xiao, H.W. Cold plasma pretreatment enhances drying kinetics and quality attributes of chili pepper (Capsicum annuum L.). J. Food Eng. 2019, 241, 51–57. [Google Scholar] [CrossRef]
- Gan, Z.; Feng, X.; Hou, Y.; Sun, A.; Wang, R. Cold plasma jet with dielectric barrier configuration: Investigating its effect on the cell membrane of E. coli and S. cerevisiae and its impact on the quality of chokeberry juice. LWT Food Sci. Technol. 2021, 136, 110223. [Google Scholar] [CrossRef]
- Zhao, Y.; Shao, L.; Jia, L.; Zou, B.; Dai, R.; Li, X.; Jia, F. Inactivation effects, kinetics and mechanisms of air-and nitrogen-based cold atmospheric plasma on Pseudomonas aeruginosa. Innov. Food Sci. Emerg. Technol. 2022, 79, 103051. [Google Scholar] [CrossRef]
- Chao, H.; Hu, W.; Li, Y.; Gui, H.; Tantai, S.; Yu, Y.; Li, L. Effects of cold plasma treatment on reactive oxygen metabolism and storage quality of Brassica chinensis. Innov. Food Sci. Emerg. Technol. 2024, 92, 103574. [Google Scholar] [CrossRef]
- Wang, Y.; Liu, Y.; Zhao, Y.; Sun, Y.; Duan, M.; Wang, H.; Jia, F. Bactericidal efficacy difference between air and nitrogen cold atmospheric plasma on Bacillus cereus: Inactivation mechanism of Gram-positive bacteria at the cellular and molecular level. Food Res. Int. 2024, 173, 113204. [Google Scholar] [CrossRef]
- Xu, L.; Garner, A.L.; Tao, B.; Keener, K.M. Microbial inactivation and quality changes in orange juice treated by high voltage atmospheric cold plasma. Food Bioprocess Technol. 2017, 10, 1778–1791. [Google Scholar] [CrossRef]
- Ekasari, C.P.; Sri, W. The physicochemical properties comparison of the natural coconut water and the packaging coconut water. IOP Conf. Ser. Earth Environ. Sci. 2019, 391, 012021. [Google Scholar] [CrossRef]
- Wąs, B.E.; Dłubała, A.; Sawicki, W.; Ożgo, M.; Lepczyński, A. The Effect of Cold Plasma on Selected Parameters of Bovine Colostrum. Appl. Sci. 2023, 13, 5490. [Google Scholar] [CrossRef]
- Guji, A.Y.; Tomohiro, O.; Jaroslav, K.; Gabriel, B.M.; Kazuo, S. Direct and Indirect Bactericidal Effects of Cold Atmospheric-Pressure Microplasma and Plasma Jet. Molecules 2021, 26, 2523. [Google Scholar] [CrossRef] [PubMed]
- Mehta, D.; Yadav, S.K. Impact of atmospheric non-thermal plasma and hydrothermal treatment on bioactive compounds and microbial inactivation of strawberry juice: A hurdle technology approach. Food Sci. Technol. Int. 2020, 26, 3–10. [Google Scholar] [CrossRef] [PubMed]















| Storage (d) | Treatment Time (s) | |||
|---|---|---|---|---|
| 0 | 3 | 6 | 12 | |
| 0 | - | 0.14 ± 0.06 c | 0.18 ± 0.03 c | 0.29 ± 0.05 c |
| 3 | 0.27 ± 0.05 c | 0.29 ± 0.04 b | 0.21 ± 0.02 c | 0.35 ± 0.05 b |
| 6 | 0.42 ± 0.01 b | 0.32 ± 0.03 b | 0.32 ± 0.04 b | 0.46 ± 0.02 b |
| 9 | 0.58 ± 0.05 b | 0.40 ± 0.05 b | 0.42 ± 0.07 b | 0.52 ± 0.03 b |
| 12 | 0.84 ± 0.04 a | 0.66 ± 0.04 a | 0.79 ± 0.06 a | 0.86 ± 0.03 a |
| 15 | 0.96 ± 0.03 a | 0.79 ± 0.06 a | 0.84 ±0.06 a | 0.94 ± 0.07 a |
| Storage (d) | Treatment Time (s) | |||
|---|---|---|---|---|
| 0 | 3 | 6 | 12 | |
| 0 | 0.65 ± 0.00 e | 0.76 ± 0.02 d | 0.81 ± 0.01 d | 0.86 ± 0.03 d |
| 3 | 0.91 ± 0.01 d | 0.90 ± 0.00 c | 0.93 ± 0.01 c | 0.95 ± 0.02 c |
| 6 | 0.98 ± 0.00 d | 0.94 ± 0.01 bc | 0.96 ± 0.02 bc | 0.99 ± 0.00 c |
| 9 | 1.15 ± 0.03 c | 0.97 ± 0.01 b | 1.00 ± 0.01 b | 1.12 ± 0.02 b |
| 12 | 1.23 ± 0.01 b | 1.01 ± 0.03 a | 1.09 ± 0.00 b | 1.16 ± 0.03 b |
| 15 | 1.38 ± 0.02 a | 1.11 ± 0.03 a | 1.20 ± 0.01 a | 1.24 ± 0.03 a |
| Storage (d) | Richness | Chao1 | Shannon | Simpson |
|---|---|---|---|---|
| 0 | 572.67 ± 47.42 | 572.00 ± 58.04 | 3.14 ± 0.13 | 0.07 ± 0.01 |
| 3 | 528.57 ± 31.02 | 527.67 ± 38.55 | 3.52 ± 0.19 | 0.05 ± 0.01 |
| 6 | 385.50 ± 49.21 | 384.33 ± 60.30 | 3.45 ± 0.18 | 0.06 ± 0.03 |
| 9 | 429.90 ± 19.99 | 428.67 ± 25.32 | 3.47 ± 0.14 | 0.06 ± 0.01 |
| 12 | 385.50 ± 37.56 | 384.00 ± 31.10 | 3.31 ± 0.22 | 0.10 ± 0.06 |
| 15 | 462.50 ± 25.37 | 462.00 ± 26.56 | 2.19 ± 0.34 | 0.43 ± 0.05 |
| Storage (d) | Phylum | Class | Order | Family | Genus |
|---|---|---|---|---|---|
| 0 | 17 | 24 | 71 | 112 | 185 |
| 3 | 22 | 36 | 75 | 139 | 249 |
| 6 | 19 | 23 | 71 | 112 | 195 |
| 9 | 17 | 28 | 73 | 116 | 207 |
| 12 | 23 | 38 | 70 | 123 | 202 |
| 15 | 17 | 30 | 78 | 139 | 384 |
Disclaimer/Publisher’s Note: The statements, opinions and data contained in all publications are solely those of the individual author(s) and contributor(s) and not of MDPI and/or the editor(s). MDPI and/or the editor(s) disclaim responsibility for any injury to people or property resulting from any ideas, methods, instructions or products referred to in the content. |
© 2025 by the authors. Licensee MDPI, Basel, Switzerland. This article is an open access article distributed under the terms and conditions of the Creative Commons Attribution (CC BY) license (https://creativecommons.org/licenses/by/4.0/).
Share and Cite
Zeng, L.; Gu, W.; Wang, Y.; Deng, W.; Wang, J.; Zhang, L. Effect of Atmospheric Cold Plasma Treatment on the Microorganism Growth, Diversity, and Quality of Coconut Water During Refrigerator Storage. Foods 2025, 14, 2709. https://doi.org/10.3390/foods14152709
Zeng L, Gu W, Wang Y, Deng W, Wang J, Zhang L. Effect of Atmospheric Cold Plasma Treatment on the Microorganism Growth, Diversity, and Quality of Coconut Water During Refrigerator Storage. Foods. 2025; 14(15):2709. https://doi.org/10.3390/foods14152709
Chicago/Turabian StyleZeng, Lixian, Wenyue Gu, Yuanyuan Wang, Wentao Deng, Jiamei Wang, and Liming Zhang. 2025. "Effect of Atmospheric Cold Plasma Treatment on the Microorganism Growth, Diversity, and Quality of Coconut Water During Refrigerator Storage" Foods 14, no. 15: 2709. https://doi.org/10.3390/foods14152709
APA StyleZeng, L., Gu, W., Wang, Y., Deng, W., Wang, J., & Zhang, L. (2025). Effect of Atmospheric Cold Plasma Treatment on the Microorganism Growth, Diversity, and Quality of Coconut Water During Refrigerator Storage. Foods, 14(15), 2709. https://doi.org/10.3390/foods14152709

