Sign in to use this feature.

Years

Between: -

Subjects

remove_circle_outline
remove_circle_outline
remove_circle_outline
remove_circle_outline
remove_circle_outline
remove_circle_outline
remove_circle_outline
remove_circle_outline
remove_circle_outline

Journals

Article Types

Countries / Regions

Search Results (146)

Search Parameters:
Keywords = wake oscillator

Order results
Result details
Results per page
Select all
Export citation of selected articles as:
19 pages, 5043 KB  
Article
Functional Suppression of CLOCK Activity in Ventromedial Hypothalamic Prodynorphin Neurons Alters Locomotor Activity and Rapid Eye Movement Sleep
by Ting He and Xu Wang
Neurol. Int. 2026, 18(1), 5; https://doi.org/10.3390/neurolint18010005 - 25 Dec 2025
Viewed by 32
Abstract
Background/Objectives: The circadian regulator, circadian locomotor output cycles kaput (CLOCK), is well-established in maintaining sleep–wake rhythms, yet its cell-type-specific functions in sleep regulation remain largely unexplored. While ventromedial hypothalamic (VMH) prodynorphin (PDYN)-expressing (VMHPDYN+) neurons are known to modulate homeostatic and [...] Read more.
Background/Objectives: The circadian regulator, circadian locomotor output cycles kaput (CLOCK), is well-established in maintaining sleep–wake rhythms, yet its cell-type-specific functions in sleep regulation remain largely unexplored. While ventromedial hypothalamic (VMH) prodynorphin (PDYN)-expressing (VMHPDYN+) neurons are known to modulate homeostatic and motivational processes, their potential role in circadian sleep regulation has not been investigated. Methods: To address this, we developed mice with PDYN neuron-specific functional suppression of CLOCK activity (mClkΔ19) by interfering with their internal clock through Adeno-Associated Virus (AAV)-mediated overexpression of dominant-negative CLOCKΔ19 in PDYN-Cre mice. Results: We found that mClkΔ19 mice exhibited reduced locomotor activity during the dark phase, earlier activity peaks, and impaired rhythmicity of rapid eye movement (REM) and non-REM (NREM) sleep. Sleep analysis in mClkΔ19 mice showed selective reductions and fragmentation of light-phase REM sleep, more frequent sleep–wake transitions, and shorter REM cycles during the dark phase, indicating disrupted REM sleep timing. EEG spectral analysis in mClkΔ19 mice revealed decreased gamma activity during REM sleep in the light phase and an increase in delta activity coupled with decreased gamma during wakefulness in the dark phase. Conclusions: These findings suggest that the CLOCK activity in VMHPDYN+ neurons is vital for circadian accuracy, REM sleep stability, and brain oscillations during sleep–wake cycles. Full article
Show Figures

Figure 1

39 pages, 44721 KB  
Article
Numerical Investigation of Wake Interference in Tandem Square Cylinders at Low Reynolds Numbers
by Sarath R S, R Ajith Kumar and K Suresh Kumar
Symmetry 2025, 17(12), 2038; https://doi.org/10.3390/sym17122038 - 29 Nov 2025
Viewed by 450
Abstract
This study numerically investigates laminar flow around two prismatic bodies, specifically square cylinders, arranged in tandem. The analysis covered gap ratios (L/D=2–7) and Reynolds numbers (Re = 100–200), focusing on quantifying the aerodynamic characteristics and [...] Read more.
This study numerically investigates laminar flow around two prismatic bodies, specifically square cylinders, arranged in tandem. The analysis covered gap ratios (L/D=2–7) and Reynolds numbers (Re = 100–200), focusing on quantifying the aerodynamic characteristics and examining the wake flow structures within the established interference regimes. The time-averaged and unsteady parameters, including the drag and lift coefficients, RMS lift, vortex formation length, Strouhal number, recirculation length, wake width, and pressure distribution, were evaluated for both cylinders. A consistent critical spacing of L/D4.5 was observed across all Reynolds numbers, coinciding with the minimum Strouhal number, a sharp increase in unsteady lift, and divergence in wake width between cylinders. Notably, in the range 4.5L/D6.5 at higher Re, the DC exhibited a mean drag exceeding that of an isolated cylinder, attributed to base-pressure reduction and accelerated inflow from the upstream wake. A critical spacing in the co-shedding regime produced strong drag amplification on the DC, attaining an overall maximum value of 50.41% at Re=200 and L/D=6.0. To note, unlike mean drag, mean lift is found to be zero in all interference cases for both cylinders, irrespective of spacing ratio and Re, owing to the symmetry of the time-averaged pressure distribution on either side of the cylinders. Spectral and phase analyses reveal a transition from broadband, desynchronised oscillations to a frequency-locked state, with the phase angle between the cylinders reducing sharply to Δϕ0 at the critical spacing. This indicates complete in-phase synchronisation or symmetry of the vortex-shedding process between the cylinders at the critical spacing. This confirmed the hydrodynamic transition between the coupled and independent shedding modes of the cylinders. The recirculation lengths for the DC reduce to as low as 0.6D in the co-shedding regime, highlighting rapid wake recovery. The research presented here offers new insights into force modulation, the evolution of wake structures, and the sensitivity to the Re that occurs when laminar flow occurs between two tandem square cylinders. These findings can be utilised to develop methods for controlling VIV and designing thermal-fluid systems. Full article
Show Figures

Figure 1

38 pages, 13087 KB  
Article
Wake Dynamics and Vortex Synchronization in Multi-Cylinder Arrays: A Computational Insight into Aerodynamic Performance and Flow Interference
by Sunil Chamoli, Chidanand K. Mangrulkar, Anirudh Uniyal, Mohit Bhatt, Nikhil Joshi, Abhishek Rawat, Kapil Bhatt, Pawan Kumar Pant, Varesa Chuwattanakul and Smith Eiamsa-ard
Computation 2025, 13(11), 271; https://doi.org/10.3390/computation13110271 - 18 Nov 2025
Viewed by 344
Abstract
This study presents a detailed computational investigation of unsteady laminar flow around two-dimensional square cylinders arranged in multiple configurations. Simulations were performed using ANSYS Fluent 2019 at Reynolds numbers ranging from 50 to 200, with three geometric layouts as follows: two vertically aligned [...] Read more.
This study presents a detailed computational investigation of unsteady laminar flow around two-dimensional square cylinders arranged in multiple configurations. Simulations were performed using ANSYS Fluent 2019 at Reynolds numbers ranging from 50 to 200, with three geometric layouts as follows: two vertically aligned cylinders, three inline cylinders, and three staggered cylinders. Center-to-center spacing ratios of 1.5D, 2.5D, and 3.5D were evaluated to assess wake interference, vortex shedding behavior, and aerodynamic force fluctuations. Results reveal that a close spacing (1.5D) causes strong wake coupling and highly irregular flow behavior, especially with inline configurations, leading to amplified drag and suppressed vortex shedding with downstream cylinders. In contrast, a staggered three-cylinder arrangement at 3.5D spacing exhibits regular vortex shedding, uniform force distribution, and minimized flow-induced oscillations, indicating aerodynamic stability. The Strouhal number, computed using FFT analysis, confirms the onset of periodic shedding at higher Reynolds numbers and highlights optimal synchronization at wider spacings. The study concludes that staggered configurations with appropriate spacing outperform inline setups in terms of flow control, dynamic stability, and reduced aerodynamic interference, offering insights relevant to high-rise building clusters and industrial heat exchanger design. Full article
(This article belongs to the Section Computational Engineering)
Show Figures

Graphical abstract

31 pages, 15351 KB  
Article
Crosswind-Induced Hazards of Railway Bridge Auxiliary Fixtures: An IDDES Study on Walkway Slabs and Cable Troughs
by Hongkai Yan, Tanghong Liu, Xiaodong Chen, Haowei Cheng, Hongrui Gao and Xifeng Liang
Appl. Sci. 2025, 15(22), 12104; https://doi.org/10.3390/app152212104 - 14 Nov 2025
Viewed by 330
Abstract
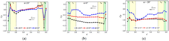
This study presents a comprehensive numerical investigation into the aerodynamic behavior of pedestrian walkway slabs and cable troughs mounted on high-speed railway bridges under crosswind conditions. Using a full-scale T-beam bridge model with auxiliary components, unsteady flow simulations were performed employing the Improved [...] Read more.
This study presents a comprehensive numerical investigation into the aerodynamic behavior of pedestrian walkway slabs and cable troughs mounted on high-speed railway bridges under crosswind conditions. Using a full-scale T-beam bridge model with auxiliary components, unsteady flow simulations were performed employing the Improved Delayed Detached-Eddy Simulation (IDDES) approach coupled with the Shear Stress Transport (SST) k-ω turbulence model. Both steady and unsteady flow fields were examined to characterize velocity and pressure distributions, vortex shedding mechanisms, and aerodynamic force responses over a range of attack angles (α = –20° to +20°), yaw angles (β = 0° to 60°), and wind speeds (20–40 m/s). Results reveal that vortex-induced oscillations dominate at negative attack angles, while high positive angles suppress shedding and widen spectral energy. Spanwise flow effects persist across large yaw angles, maintaining consistent wake patterns but with reduced magnitudes. Aerodynamic coefficients of lift on slabs and troughs peak near α = 0°, with failure wind speeds computed at approximately 35 m/s for slabs and 22 m/s for troughs. Based on these findings, design recommendations are proposed to mitigate uplift and vibration risks in auxiliary bridge fixtures under extreme wind conditions. This work advances the assessment of crosswind safety for railways by incorporating the indirect effects of line-side structures on train operations, providing a basis for defining critical wind speed thresholds for railway bridge safety. Full article
(This article belongs to the Special Issue Rail Transport Aerodynamics)
Show Figures

Figure 1

25 pages, 12600 KB  
Article
VIV Response and Drag Measurements of a Rough Circular Cylinder Using the Lagrangian Vortex Method
by Tiago Raimundo Chiaradia, Gabriel Ferraz Marcondes de Carvalho, Victor Hugo Gava Filho, Paulo Guimarães de Moraes, Alex Mendonça Bimbato and Luiz Antonio Alcântara Pereira
Fluids 2025, 10(11), 294; https://doi.org/10.3390/fluids10110294 - 12 Nov 2025
Viewed by 299
Abstract
In the literature, there is a scarcity of studies examining the combined effects of vortex-induced vibrations (VIV) and surface roughness on a bluff body. This paper contributes to the limited studies and literature on VIV by highlighting the pronounced influence of roughness on [...] Read more.
In the literature, there is a scarcity of studies examining the combined effects of vortex-induced vibrations (VIV) and surface roughness on a bluff body. This paper contributes to the limited studies and literature on VIV by highlighting the pronounced influence of roughness on the vortex formation modes of a circular cylinder forced to oscillate with respect to the freestream. The numerical approach utilizes a purely Lagrangian description through the discrete vortex method with a roughness model. Recent results obtained by our research group have shown that a two-dimensional roughness model is more sensitive than a simple turbulence model in capturing nonlinear multi-physics phenomena with a variety of applications in different engineering areas. In particular, the control of drag force and vortex shedding frequency can be studied based on the expected physics of viscous flow. In the present paper, the dimensionless oscillation amplitude is fixed at A/D = 0.13 (D is the outer cylinder diameter), and the cylinder forcing frequency varies in the range of 0.04 ≤ fo ≤ 0.80 at a high Reynolds number value of Re = 1.0 × 105. Three relative roughness sizes are chosen, i.e., ε/D = 0.001, 0.0045, and 0.007 (ε is the average roughness). The test cases without roughness effects are compared to experimental visualizations to capture two basic anti-symmetrical modes, namely the A-I and A-IV modes, the symmetric S-I (Type-I) mode, and the Chaotic mode categorized as C-I. Our strategy to identify these wake modes verifies the synchronization between the vortex shedding frequency fCD, interpreted from temporal history of the drag force on an oscillating cylinder, and the body forcing frequency. In the test cases using the roughness model, it is possible to identify a desynchronization between the frequencies f0 and fCD as well as significant variations in the drag force. The roughness effect also provokes a regime of vortex formation, here classified as “A-IV mode with coalescence”. Full article
(This article belongs to the Special Issue Vortex Dynamics)
Show Figures

Figure 1

30 pages, 5162 KB  
Article
Dynamic Modeling and Active Stabilization of a Strake-Fin Hose–Drogue Aerial Refueling System
by Chenao Han, Xueqiang Liu and Guiyun Zou
Aerospace 2025, 12(11), 966; https://doi.org/10.3390/aerospace12110966 - 29 Oct 2025
Viewed by 367
Abstract
Aerial refueling with hose–drogue systems provides operational flexibility but is highly susceptible to disturbances from tanker wakes, receiver bow waves, and atmospheric turbulence, which induce drogue oscillations and reduce docking success. To address these challenges, this study develops a dynamic model and introduces [...] Read more.
Aerial refueling with hose–drogue systems provides operational flexibility but is highly susceptible to disturbances from tanker wakes, receiver bow waves, and atmospheric turbulence, which induce drogue oscillations and reduce docking success. To address these challenges, this study develops a dynamic model and introduces a strake-fin-based actively stabilized drogue. The hose is represented as a chain of rigid segments with aerodynamic drag estimated using Hoerner’s empirical correlations, while the drogue’s aerodynamic characteristics are obtained from CFD simulations. An efficient neighbor-cell search algorithm is implemented to map the hose–drogue configuration onto the CFD flow field, and atmospheric turbulence is modeled using the Dryden model. The drogue is equipped with two pairs of strake-type control fins, whose relative deflections are regulated by a linear quadratic regulator (LQR) to generate corrective aerodynamic forces. Simulation results under tanker wake, bow-wave, and severe turbulence conditions show that the proposed system effectively suppresses drogue oscillations, reducing displacement amplitudes by over 80% and maintaining positional deviations within 0.1 m. These results confirm the robustness of the modeling framework and demonstrate the potential of the strake-fin-based active stabilization strategy to ensure safe and reliable aerial refueling operations. Full article
(This article belongs to the Section Aeronautics)
Show Figures

Figure 1

22 pages, 9742 KB  
Article
Investigation on Wake Evolution Dynamics for Various Floating Offshore Wind Turbine Platforms
by Yifan Gao and Jiahao Chen
Energies 2025, 18(21), 5620; https://doi.org/10.3390/en18215620 - 26 Oct 2025
Viewed by 639
Abstract
The study investigates the impact of motions of floating offshore wind turbine platforms on wake evolution and overall wind farm performance, employing large-eddy simulation (LES) and dynamic wake modeling method. First, the differences between wakes of floating and bottom-fixed wind turbines under forced [...] Read more.
The study investigates the impact of motions of floating offshore wind turbine platforms on wake evolution and overall wind farm performance, employing large-eddy simulation (LES) and dynamic wake modeling method. First, the differences between wakes of floating and bottom-fixed wind turbines under forced motion are examined. Subsequently, a systematic comparative analysis is performed for four representative floating platform configurations—Spar, Semi-submersible, Tension-Leg Platform (TLP), and Monopile (Mnpl)—to assess wake dynamics and downstream turbine responses within tandem-arranged arrays. Results indicate that platform pitch motion, by inducing periodic variations in the rotor’s relative inflow angle, significantly enhances wake unsteadiness, accelerates kinetic energy recovery, and promotes vortex breakdown. Tandem-arrange turbines simulations further reveal that platform-dependent motion characteristics substantially influence wake center displacement, velocity deficit, downstream turbine thrust, and overall power fluctuations at the wind farm scale. Among the examined configurations, the Spar platform exhibits the most pronounced wake disturbance and the largest downstream load and power oscillations, with rotor torque and thrust increasing by 10.2% and 10.6%, respectively, compared to other designs. This study elucidates the coupled mechanisms among 6-DOFs (Six Degrees Of Freedom) motions, wake evolution, and power performance, providing critical insights for optimizing floating wind farm platform design and developing advanced cooperative control strategies. Full article
(This article belongs to the Special Issue Advances in Ocean Energy Technologies and Applications)
Show Figures

Figure 1

16 pages, 694 KB  
Review
Nucleus Reuniens-Elicited Delta Oscillations Disable the Prefrontal Cortex in Schizophrenia
by Robert P. Vertes and Stephanie B. Linley
Cells 2025, 14(19), 1545; https://doi.org/10.3390/cells14191545 - 3 Oct 2025
Viewed by 1128
Abstract
Schizophrenia (SZ) is a severe mental disorder associated with an array of symptoms characterized as positive, negative and cognitive dysfunctions. While SZ is a multifaceted disorder affecting several regions of the brain, altered thalamocortical systems have emerged as a leading contributor to SZ. [...] Read more.
Schizophrenia (SZ) is a severe mental disorder associated with an array of symptoms characterized as positive, negative and cognitive dysfunctions. While SZ is a multifaceted disorder affecting several regions of the brain, altered thalamocortical systems have emerged as a leading contributor to SZ. Specifically, it has been shown that: (1) the thalamus is functionally disconnected from the prefrontal cortex (PFC) in SZ; (2) neural activity and blood flow to the PFC are greatly diminished in SZ (hypofrontality); and (3) delta oscillations are abnormally present in the PFC during the waking state in SZ. We suggest that the abnormal delta oscillations drive the other PFC signs of SZ. Specifically, decreases in energy required to maintain delta, would initiate the reduced PFC perfusion of SZ (hypofrontality), and contribute to the ‘mismatched’ thalamic and PFC activity of SZ. As SZ involves glutamate (NMDAR) hypofunction and dopamine hyperfunction, both NMDAR antagonists and dopamine agonists produce marked increases in delta oscillations in nucleus reuniens (RE) of the thalamus and its target structures, including the PFC. This would suggest that RE is a primary source for the elicitation of PFC delta activity, and the presence of delta during waking (together with associated signs) would indicate that the prefrontal cortex is disabled (or non-functional) in schizophrenia. Full article
Show Figures

Figure 1

22 pages, 2209 KB  
Article
The Crosstalk Between the Anterior Hypothalamus and the Locus Coeruleus During Wakefulness Is Associated with Low-Frequency Oscillations Power During Sleep
by Nasrin Mortazavi, Puneet Talwar, Ekaterina Koshmanova, Roya Sharifpour, Elise Beckers, Ilenia Paparella, Fermin Balda, Christine Bastin, Fabienne Collette, Laurent Lamalle, Christophe Phillips, Mikhail Zubkov and Gilles Vandewalle
Clocks & Sleep 2025, 7(4), 53; https://doi.org/10.3390/clockssleep7040053 - 26 Sep 2025
Viewed by 1050
Abstract
Animal studies show that sleep regulation depends on subcortical networks, but whether the connectivity between subcortical areas contributes to human sleep variability remains unclear. We investigated whether the effective connectivity between the LC and hypothalamic subparts during wakefulness relates to sleep electrophysiology. Thirty-three [...] Read more.
Animal studies show that sleep regulation depends on subcortical networks, but whether the connectivity between subcortical areas contributes to human sleep variability remains unclear. We investigated whether the effective connectivity between the LC and hypothalamic subparts during wakefulness relates to sleep electrophysiology. Thirty-three younger (~22 y, 27 women) and 18 late middle-aged (~61 y, 14 women) healthy individuals underwent 7-Tesla functional MRI during wakefulness to assess LC–hypothalamus effective connectivity. Additionally, sleep EEG was recorded at night in the lab to examine the relationships between effective connectivity measures and REM sleep theta energy as well as sigma power prior to REM. Connectivity analyses revealed strong mutual positive influences between the LC and both the anterior–superior and posterior hypothalamus, consistent with animal studies. Aging was negatively associated with the connectivity from the anterior–superior hypothalamus (including the preoptic area) to the LC. In late middle-aged adults, but not younger adults, stronger effective connectivity from the anterior–superior hypothalamus to the LC was associated with lower REM theta energy. This association extended to other low-frequency bands during REM and NREM sleep. These findings highlight the age-dependent modulation of LC–hypothalamus interactions and their potential roles in sleep regulation, providing new insights into neural mechanisms underlying age-related sleep changes. Full article
(This article belongs to the Section Human Basic Research & Neuroimaging)
Show Figures

Figure 1

17 pages, 5007 KB  
Article
Experimental Comparative Analysis of Energy Production in HAWT with Bio-Inspired Active Oscillating Vortex Generators
by Hector G. Parra, Gabriel H. Castiblanco and Elvis E. Gaona
Energies 2025, 18(18), 5025; https://doi.org/10.3390/en18185025 - 22 Sep 2025
Viewed by 591
Abstract
This study presents a comparative analysis of horizontal-axis wind turbines (HAWTs) equipped with and without bio-inspired active oscillating vortex generators (VGs). The experimental investigation examines key aspects of mechanical integration and the resulting variations in aerodynamic behavior, demonstrating measurable improvements in electrical power [...] Read more.
This study presents a comparative analysis of horizontal-axis wind turbines (HAWTs) equipped with and without bio-inspired active oscillating vortex generators (VGs). The experimental investigation examines key aspects of mechanical integration and the resulting variations in aerodynamic behavior, demonstrating measurable improvements in electrical power output. The VGs were designed and implemented using servomechanisms and embedded control systems to enable oscillatory motion during operation. Experimental findings were validated against CFD simulations, indicating that the use of VGs increases annual energy production efficiency by 16.7%, primarily due to the stabilization of wake turbulence. While a reduction in output voltage was observed at wind speeds below 5 m/s, the VGs exhibited enhanced performance under variable wind conditions. These results highlight the potential of combining biomimetic design principles with electronically actuated flow-control devices to advance HAWT technology, improving energy efficiency and contributing to operational sustainability. Full article
Show Figures

Figure 1

20 pages, 5568 KB  
Article
Experimental and Spectral Analysis of the Wake Velocity Effect in a 3D Falcon Prototype with Oscillating Feathers and Its Application in HAWT with Biomimetic Vortex Generators Using CFD
by Hector G. Parra, Javier A. Guacaneme and Elvis E. Gaona
Biomimetics 2025, 10(9), 622; https://doi.org/10.3390/biomimetics10090622 - 16 Sep 2025
Cited by 1 | Viewed by 814
Abstract
The peregrine falcon, known as the fastest bird in the world, has been studied for its ability to stabilize during high-speed dives, a capability attributed to the configuration of its dorsal feathers. These feathers have inspired the design of vortex generators devices that [...] Read more.
The peregrine falcon, known as the fastest bird in the world, has been studied for its ability to stabilize during high-speed dives, a capability attributed to the configuration of its dorsal feathers. These feathers have inspired the design of vortex generators devices that promote controlled turbulence to delay boundary layer separation on aircraft wings and turbine blades. This study presents an experimental wind tunnel investigation of a bio-inspired peregrine falcon prototype, equipped with movable artificial feathers, a hot-wire anemometer, and a 3D accelerometer. Wake velocity profiles measured behind the prototype revealed fluctuations associated with feather motion. Spectral analysis of the velocity signals, recorded with oscillating feathers at a wind tunnel speed of 10 m/s, showed attenuation of specific frequency components, suggesting that feather dynamics may help mitigate wake fluctuations induced by structural vibrations. Three-dimensional acceleration measurements indicated that prototype vibrations remained below 1 g, with peak differences along the X and Z axes ranging from −0.06 g to 0.06 g, demonstrating the sensitivity of the vibration sensing system. Root Mean Square (RMS) values of velocity signals increased with wind tunnel speed but decreased as the feather inclination angle rose. When the mean value was subtracted from the signal, higher RMS variability was observed, reflecting increased flow disturbance from feather movement. Fast Fourier Transform (FFT) analysis revealed that, for fixed feather angles, spectral magnitudes increased uniformly with wind speed. In contrast, dynamic feather oscillation produced distinctive frequency peaks, highlighting the feather’s influence on the wake structure in the frequency domain. To complement the experimental findings, 3D CFD simulations were conducted on two HAWT-type wind turbines—one with bio-inspired vortex generators and one without. The simulations showed a significant reduction in turbulent kinetic energy contours in the wake of the modified turbine, particularly in the Y-Z plane, compared to the baseline configuration. Full article
(This article belongs to the Section Biomimetic Design, Constructions and Devices)
Show Figures

Figure 1

17 pages, 928 KB  
Article
The Weight of Silence: Vermeer’s Theater of Stillness
by Yi Wu
Arts 2025, 14(5), 109; https://doi.org/10.3390/arts14050109 - 7 Sep 2025
Viewed by 979
Abstract
As a painter of the Dutch Golden Age and a pivotal figure in the Northern Renaissance, Vermeer’s oeuvre inaugurated a maritime modernity in the wake of the Protestant Reformation through its odes and elegies to quotidian existence. This essay centers on Vermeer’s masterpiece, [...] Read more.
As a painter of the Dutch Golden Age and a pivotal figure in the Northern Renaissance, Vermeer’s oeuvre inaugurated a maritime modernity in the wake of the Protestant Reformation through its odes and elegies to quotidian existence. This essay centers on Vermeer’s masterpiece, Woman Holding a Balance. It scrutinizes and probes the Baroque theater of the soul as depicted by Vermeer through the lens of a post-global, post-colonial Lebenswelt. Grounded in Deleuze’s The Fold, this essay endeavors to furnish a phenomenological and genealogical hermeneutic for Vermeer’s interior scenes. It does so by dissecting Vermeer’s theater of silence, his intrinsic use of light, the female figure behind the fabric, the politics of still life, and the theology and interplay of color. In so doing, this essay aspires to unearth the dialectical, oscillating utopian potential embedded within Vermeer’s imagery. Full article
Show Figures

Figure 1

21 pages, 5447 KB  
Article
Dynamic Responses of Harbor Seal Whisker Model in the Propeller Wake Flow
by Bingzhuang Chen, Zhimeng Zhang, Xiang Wei, Wanyan Lei, Yuting Wang, Xianghe Li, Hanghao Zhao, Muyuan Du and Chunning Ji
Fluids 2025, 10(9), 232; https://doi.org/10.3390/fluids10090232 - 1 Sep 2025
Viewed by 703
Abstract
This study experimentally investigates the wake-induced vibration (WIV) behavior of a bio-inspired harbor seal whisker model subjected to upstream propeller-generated unsteady flows. Vibration amplitudes, frequencies, and wake–whisker interactions were systematically evaluated under various flow conditions. The test matrix included propeller rotational speed N [...] Read more.
This study experimentally investigates the wake-induced vibration (WIV) behavior of a bio-inspired harbor seal whisker model subjected to upstream propeller-generated unsteady flows. Vibration amplitudes, frequencies, and wake–whisker interactions were systematically evaluated under various flow conditions. The test matrix included propeller rotational speed Np = 0~5000 r/min, propeller diameter Dp = 60~100 mm, incoming flow velocity U = 0~0.2 m/s, and separation distance between the whisker model and the propeller L/D = 10~30 (D = 16 mm, diameter of the whisker model). Results show that inline (IL) and crossflow (CF) vibration amplitudes increase significantly with propeller speed and decrease with increasing separation distance. Under combined inflow and wake excitation, non-monotonic trends emerge. Frequency analysis reveals transitions from periodic to subharmonic and broadband responses, depending on wake structure and coherence. A non-dimensional surface fit using L/D and the advance ratio (J = U/(NpDp)) yielded predictive equations for RMS responses with good accuracy. Phase trajectory analysis further distinguishes stable oscillations from chaotic-like dynamics, highlighting changes in system stability. These findings offer new insight into WIV mechanisms and provide a foundation for biomimetic flow sensing and underwater tracking applications. Full article
(This article belongs to the Special Issue Marine Hydrodynamics: Theory and Application)
Show Figures

Figure 1

15 pages, 4099 KB  
Article
Flow-Induced Vibrations of a Square Cylinder in the Combined Steady and Oscillatory Flow
by Henry Francis Annapeh and Victoria Kurushina
J. Mar. Sci. Eng. 2025, 13(9), 1621; https://doi.org/10.3390/jmse13091621 - 25 Aug 2025
Viewed by 1127
Abstract
The paper presents a two-dimensional RANS–SST kω investigation of vortex-induced vibration of a square cylinder with two degrees of freedom under combined steady and oscillatory flow at the Reynolds number of 5000, Keulegan–Carpenter number of 10, mass ratio of 2.5, and [...] Read more.
The paper presents a two-dimensional RANS–SST kω investigation of vortex-induced vibration of a square cylinder with two degrees of freedom under combined steady and oscillatory flow at the Reynolds number of 5000, Keulegan–Carpenter number of 10, mass ratio of 2.5, and zero structural damping. Flow ratio a (steady-to-total velocity) is varied from 0 to 1.0, and the reduced velocity Ur from 2 to 25 to map lock-in regimes, response amplitudes, frequency content, hydrodynamic loads, trajectories, and wake patterns. At low a ≤ 0.4, in-line vibrations dominate at Ur > 5, with double-frequency transverse lock-in peaking near Ur = 5. As a → 1.0, in-line motion diminishes, and single-frequency transverse oscillation prevails, with the maximum transverse displacement up to 0.54D. The mean drag coefficient increases with increasing flow ratio; the fluctuating drag coefficient decreases with increasing a; while the lift coefficient peaks at a = 1, Ur = 2. Wake topology transitions from a mixed vortex shedding towards a 2S pattern, as a → 1. Full article
Show Figures

Figure 1

15 pages, 4840 KB  
Article
Wake Turbulence Induced by Local Blade Oscillation in a Linear Cascade
by Vitalii Yanovych, Volodymyr Tsymbalyuk, Daniel Duda and Václav Uruba
Appl. Sci. 2025, 15(17), 9263; https://doi.org/10.3390/app15179263 - 22 Aug 2025
Viewed by 659
Abstract
This paper investigates the oscillatory effect of a single blade on the turbulence wake downstream of a low-pressure turbine cascade. Experimental investigations were conducted at a chord-based Reynolds number of 2.3×105 with an excitation frequency of 73 Hz. The experimental [...] Read more.
This paper investigates the oscillatory effect of a single blade on the turbulence wake downstream of a low-pressure turbine cascade. Experimental investigations were conducted at a chord-based Reynolds number of 2.3×105 with an excitation frequency of 73 Hz. The experimental campaign encompassed two incidence angles (−3° and +6°) and three blade motion conditions: stationary, bending, and torsional vibrations. Turbulence characteristics were analyzed using hot-wire anemometry. The results indicate that the bending mode notably alters the wake topology, causing a 5% decline in streamwise velocity deficit compared to other modes. Additionally, the bending motion promotes the formation of large-scale coherent vortices within the wake, increasing the integral length scale by 7.5 times. In contrast, Kolmogorov’s microscale stays mostly unaffected by blade oscillations. However, increasing the incidence angle causes the smallest eddies in the inter-blade region to grow three times larger. Moreover, the data indicate that at −3°, bending-mode results in an approximate 13% reduction in the turbulence energy dissipation rate compared to the stationary configuration. Furthermore, the study emphasizes the spectral features of turbulent flow and provides a detailed assessment of the Taylor microscale under different experimental conditions. Full article
Show Figures

Figure 1

Back to TopTop