Sign in to use this feature.

Years

Between: -

Subjects

remove_circle_outline
remove_circle_outline
remove_circle_outline
remove_circle_outline
remove_circle_outline
remove_circle_outline
remove_circle_outline
remove_circle_outline
remove_circle_outline

Journals

Article Types

Countries / Regions

remove_circle_outline
remove_circle_outline
remove_circle_outline
remove_circle_outline

Search Results (436)

Search Parameters:
Keywords = vortex turbine

Order results
Result details
Results per page
Select all
Export citation of selected articles as:
28 pages, 8681 KB  
Article
Performance Enhancement of Darrieus Vawt Using Modified Asymmetric Blades: Experimental and CFD Validation
by Zhanibek Seydulla, Nurdaulet Kalassov, Muhtar Isataev, Zhandos Baizhuma, Kadirbek Baizhumanov, Aizhan Kuykabayeva, Zarina Gabitova and Aigerim Satkynova
Energies 2026, 19(3), 743; https://doi.org/10.3390/en19030743 - 30 Jan 2026
Viewed by 106
Abstract
This paper presents a comprehensive experimental and numerical investigation of the aerodynamics of a vertical-axis Darrieus wind turbine equipped with newly developed modified asymmetric blades intended to enhance performance at low and variable wind speeds. Using URANS modeling (SST k–ω) combined with full-scale [...] Read more.
This paper presents a comprehensive experimental and numerical investigation of the aerodynamics of a vertical-axis Darrieus wind turbine equipped with newly developed modified asymmetric blades intended to enhance performance at low and variable wind speeds. Using URANS modeling (SST k–ω) combined with full-scale testing, a detailed comparison was carried out against the classical NACA 0021 airfoil. The results show that the asymmetric profile increases starting torque by 30–40%, reduces negative torque by 20–25%, and decreases load pulsations by 15–20%, owing to the delayed onset of dynamic stall and the stabilization of the vortex wake structure. Within the optimal operating range of TSR = 2.5–4, an 18–22% increase in pressure differential is observed, resulting in a higher power coefficient; the maximum Cp reaches 0.15, exceeding that of the symmetric configuration by 20–25%. The agreement between CFD predictions and experimental measurements exceeds 95%, confirming the robustness of the numerical model employed. The findings clearly demonstrate the substantial effectiveness of the proposed blade geometry and its strong potential for next-generation VAWTs optimized for regions with low wind resources. Full article
Show Figures

Figure 1

34 pages, 10581 KB  
Article
Effects of Momentum-FluxRatio on POD and SPOD Modes in High-Speed Crossflow Jets
by Subhajit Roy and Guillermo Araya
Appl. Sci. 2026, 16(3), 1424; https://doi.org/10.3390/app16031424 - 30 Jan 2026
Viewed by 61
Abstract
High-speed jet-in-crossflow (JICF) configurations are central to several aerospace applications, including turbine-blade film cooling, thrust vectoring, and fuel or hydrogen injection in combusting or reacting flows. This study employs high-fidelity direct numerical simulations (DNS) to investigate the dynamics of a supersonic jet (Mach [...] Read more.
High-speed jet-in-crossflow (JICF) configurations are central to several aerospace applications, including turbine-blade film cooling, thrust vectoring, and fuel or hydrogen injection in combusting or reacting flows. This study employs high-fidelity direct numerical simulations (DNS) to investigate the dynamics of a supersonic jet (Mach 3.73) interacting with a subsonic crossflow (Mach 0.8) at low Reynolds numbers. Three momentum-flux ratios (J = 2.8, 5.6, and 10.2) are considered, capturing a broad range of jet–crossflow interaction regimes. Turbulent inflow conditions are generated using the Dynamic Multiscale Approach (DMA), ensuring physically consistent boundary-layer turbulence and accurate representation of jet–crossflow interactions. Modal decomposition via proper orthogonal decomposition (POD) and spectral POD (SPOD) is used to identify the dominant spatial and spectral features of the flow. Across the three configurations, near-wall mean shear enhances small-scale turbulence, while increasing J intensifies jet penetration and vortex dynamics, producing broadband spectral gains. Downstream of the jet injection, the spectra broadly preserve the expected standard pressure and velocity scaling across the frequency range, except at high frequencies. POD reveals coherent vortical structures associated with shear-layer roll-up, jet flapping, and counter-rotating vortex pair (CVP) formation, with increasing spatial organization at higher momentum ratios. Further, POD reveals a shift in dominant structures: shear-layer roll-up governs the leading mode at high J, whereas CVP and jet–wall interactions dominate at lower J. Spectral POD identifies global plume oscillations whose Strouhal number rises with J, reflecting a transition from slow, wall-controlled flapping to faster, jet-dominated dynamics. Overall, the results demonstrate that the momentum-flux ratio (J) regulates not only jet penetration and mixing but also the hierarchy and characteristic frequencies of coherent vortical, thermal, and pressure and acoustic structures. The predominance of shear-layer roll-up over counter-rotating vortex pair (CVP) dynamics at high J, the systematic upward shift of plume-oscillation frequencies, and the strong analogy with low-frequency shock–boundary-layer interaction (SBLI) dynamics collectively provide new mechanistic insight into the unsteady behavior of supersonic jet-in-crossflow flows. Full article
19 pages, 7081 KB  
Article
Impact of Leading-Edge Micro-Cylinders on the Aerodynamic Performance of Erosion-Affected S809 Airfoil
by Jinjing Sun, Xinyu Chen and Shuhan Zhang
Symmetry 2026, 18(2), 246; https://doi.org/10.3390/sym18020246 - 30 Jan 2026
Viewed by 126
Abstract
Wind turbines operate in harsh environments where leading-edge blade erosion from particulates like sand, rain, and insects is prevalent, significantly degrading aerodynamic performance and reducing power output. To counteract this, this study proposes a novel flow-control method using detached micro-cylinders placed upstream of [...] Read more.
Wind turbines operate in harsh environments where leading-edge blade erosion from particulates like sand, rain, and insects is prevalent, significantly degrading aerodynamic performance and reducing power output. To counteract this, this study proposes a novel flow-control method using detached micro-cylinders placed upstream of the leading edge of eroded S809 (a wind turbine blade profile) airfoils. The approach is inspired by the concept of symmetry recovery in disturbed flows, where strategically introduced perturbations can restore balance to an asymmetric separation pattern. The aerodynamic performance of the S809 airfoil was numerically investigated under three leading-edge erosion depths (0.2%, 0.5%, and 1% of chord length, *c*) with a fixed micro-cylinder diameter of 1% *c* positioned at fifteen different locations. Findings reveal that the strategic placement of micro-cylinders ahead of the leading edge or on the pressure side markedly enhances the aerodynamic efficiency of airfoils with 0.2% and 0.5% erosion, achieving a maximum improvement of 148.7% in the lift-to-drag ratio (L/D) difference function for the 0.5% eroded airfoil. This performance recovery is interpreted as a partial restoration of flow symmetry, disrupted by erosion-induced separation. The interaction between the cylinder wake and the spill-over stall vortex originating from the erosion groove was identified as the primary mechanism, injecting high-energy fluid into the boundary layer to suppress flow separation. This study systematically parametrizes the effect of erosion depth and cylinder placement, offering new insights for mitigating erosion-induced performance loss through controlled asymmetry introduction. Full article
(This article belongs to the Section Engineering and Materials)
Show Figures

Figure 1

20 pages, 5693 KB  
Article
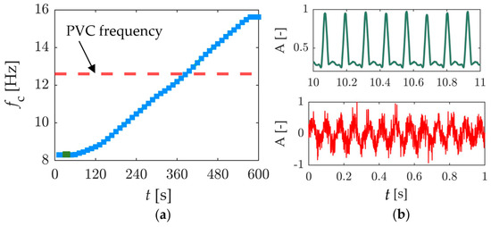
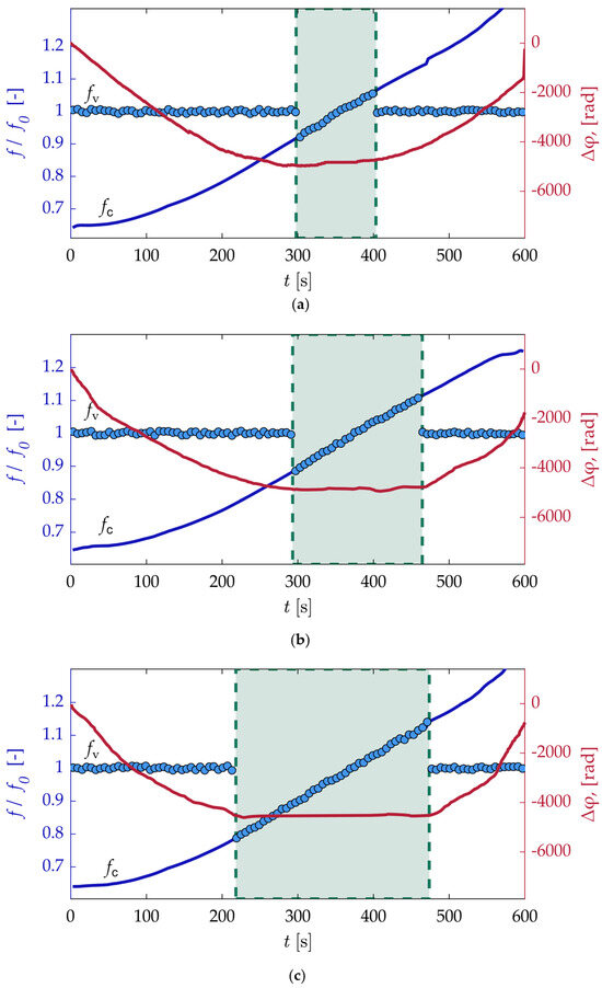
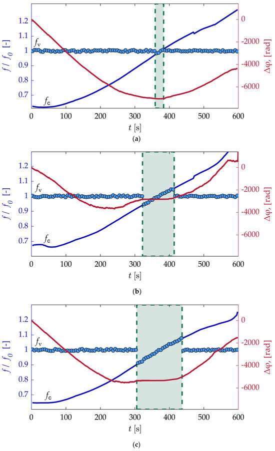
Active Control of the Precession Frequency of the Vortex Core Using Rotating Jets
by Daniil Suslov and Sergey Skripkin
Energies 2026, 19(3), 719; https://doi.org/10.3390/en19030719 - 29 Jan 2026
Viewed by 139
Abstract
The precessing vortex core (PVC) is a major source of low-frequency harmful pressure pulsations that constrain the stable operating range of Francis turbines under part-load regimes. This study presents an experimental demonstration of active frequency control for the PVC in an aerodynamic turbine [...] Read more.
The precessing vortex core (PVC) is a major source of low-frequency harmful pressure pulsations that constrain the stable operating range of Francis turbines under part-load regimes. This study presents an experimental demonstration of active frequency control for the PVC in an aerodynamic turbine model (at Reynolds number 1.5 × 104), employing a resonant forcing strategy grounded in linear stability theory. Low-energy air injection with a momentum flux coefficient in the range of approximately 0.06% to 1.56% was applied via rotating actuators positioned within the flow region of highest receptivity. The core finding is the observation of frequency, where the PVC’s natural precession frequency synchronizes with that of the rotating actuator. A comparative analysis of actuator geometry revealed that a single-jet configuration achieves a significantly greater frequency shift, up to 22%, and a wider lock-in range than a dual-jet actuator (8% shift). This enhanced performance is attributed to the higher momentum flux density and more spatially coherent forcing generated by the single jet, which couples more effectively with the global instability mode. The results validate the successful adaptation of a highly efficient, physics-based control paradigm from reacting flows to hydraulic machinery, offering a promising approach to mitigate vortex-induced vibrations and expanding turbine operational flexibility. Full article
(This article belongs to the Section A: Sustainable Energy)
Show Figures

Figure 1

19 pages, 6272 KB  
Article
Numerical Study on the Aerodynamic Performance and Noise of Composite Bionic Airfoils
by Shunlong Su, Shenwei Xin, Xuemin Ye and Chunxi Li
Fluids 2026, 11(2), 36; https://doi.org/10.3390/fluids11020036 - 28 Jan 2026
Viewed by 154
Abstract
Bionic airfoils are an effective method to improve aerodynamic performance and reduce the noise of wind turbine blades. To explore the impact of the lower surface of bird wing airfoils on the aerodynamic performance and noise of blades, this study combines the upper [...] Read more.
Bionic airfoils are an effective method to improve aerodynamic performance and reduce the noise of wind turbine blades. To explore the impact of the lower surface of bird wing airfoils on the aerodynamic performance and noise of blades, this study combines the upper surface of the NACA0018 airfoil with the lower surfaces of the teal, long-eared owl, and sparrowhawk (CBA-T, CBA-O, CBA-S) to create three new composite bionic airfoils (CBAs). The aerodynamic performance of these airfoils is evaluated, and the CBA-O airfoil is identified as having the best aerodynamic characteristics. A comparison of the noise and vortex structures of the CBA-O, owl wing airfoil, and NACA0018 is conducted, and the mechanisms behind the CBA-O airfoil performance improvement and noise reduction are explored. The results indicate that the CBAs enhance the aerodynamic performance of the airfoils. Before stall, the aerodynamic performance of the CBA-O improves the lift-to-drag ratio by 12.7% and 119.7% compared to the owl and NACA0018 airfoils, with its average SPL significantly lower than that of the NACA0018. The CBA-O has smaller vortex sizes at the trailing-edge, and the wake vortex develops more stably, effectively reducing both surface radiation noise and wake noise. Full article
(This article belongs to the Special Issue 10th Anniversary of Fluids—Recent Advances in Fluid Mechanics)
Show Figures

Figure 1

21 pages, 2949 KB  
Article
Numerical Simulations and Experimental Tests for Tailored Tidal Turbine Design
by Pietro Scandura, Stefano Mauro, Michele Messina and Sebastian Brusca
J. Mar. Sci. Eng. 2026, 14(3), 236; https://doi.org/10.3390/jmse14030236 - 23 Jan 2026
Viewed by 177
Abstract
This paper outlines the design and testing of a horizontal-axis tidal turbine (HATT) at a scale of 1:20, employing numerical simulations and experimental validation. The design employed an in-house code based on the Blade Element Momentum (BEM) theory. As reliable lift and drag [...] Read more.
This paper outlines the design and testing of a horizontal-axis tidal turbine (HATT) at a scale of 1:20, employing numerical simulations and experimental validation. The design employed an in-house code based on the Blade Element Momentum (BEM) theory. As reliable lift and drag coefficients for this scale are not present in the literature due to the low Reynolds number of the airfoil, Computational Fluid Dynamics (CFD) simulations were conducted to generate accurate polar diagrams for the NACA 4412 airfoil. The turbine was then 3D-printed and the rotor tested in a subsonic wind tunnel at various fixed rotational speeds to determine the power coefficient. Fluid dynamic similarity was achieved by matching the Reynolds number and tip-speed ratio in air to their values in water. Three-dimensional CFD simulations were also performed, yielding turbine efficiency results that agreed fairly well with the experimental data. However, both the experimental and numerical simulation results indicated a higher power coefficient than that predicted by BEM theory. The CFD results revealed the presence of radial velocity components and vortex structures that could reduce flow separation. The BEM model does not capture these phenomena, which explains why the power coefficient detected by experiments and numerical simulations is larger than that predicted by the BEM theory. Full article
(This article belongs to the Section Marine Energy)
Show Figures

Figure 1

8 pages, 4189 KB  
Proceeding Paper
Aerodynamic Analysis of Small-Scale Turbines with Complex 3D Blade Shape
by Anastas Yangyozov, Aleksandrina Bankova, Stefan Tenev and Asparuh Atanasov
Eng. Proc. 2026, 122(1), 14; https://doi.org/10.3390/engproc2026122014 - 16 Jan 2026
Viewed by 105
Abstract
The paper presents a comprehensive aerodynamic analysis of toroidal blade turbines, proposing them as a novel approach to enhance efficiency in the conversion of airflow kinetic energy. The unique toroidal blade geometry allows for reduced vortex-induced losses and improved aerodynamic performance relative to [...] Read more.
The paper presents a comprehensive aerodynamic analysis of toroidal blade turbines, proposing them as a novel approach to enhance efficiency in the conversion of airflow kinetic energy. The unique toroidal blade geometry allows for reduced vortex-induced losses and improved aerodynamic performance relative to conventional blade configuration. The study encompasses crucial performance parameters, including the airflow velocity at the outlet of the aerodynamic channel, rotational speed of the turbine model, electrical current and voltage output, the electrical power produced by the generator, and the power coefficient. Explored are strategies for optimizing structure design to minimize losses and maximize the power coefficient. The findings reveal that toroidal blade designs can significantly increase the effectiveness of low-power turbines, establishing them as a promising alternative for renewable energy applications in both urban and rural environments. Full article
Show Figures

Figure 1

17 pages, 4748 KB  
Article
Investigation on Wake Characteristics of Two Tidal Stream Turbines in Tandem Using a Mobile Submerged PIV System
by Sejin Jung, Heebum Lee, In Sung Jang, Seong Min Moon, Heungchan Kim, Chang Hyeon Seo, Jihoon Kim and Jin Hwan Ko
J. Mar. Sci. Eng. 2026, 14(2), 135; https://doi.org/10.3390/jmse14020135 - 8 Jan 2026
Viewed by 200
Abstract
Understanding wake interactions between multiple tidal stream turbines is essential for optimizing the performance and layout of tidal energy farms. This study investigates the hydrodynamic behavior of two horizontal-axis tidal turbines arranged in tandem under simplified inflow conditions, where the incoming flow was [...] Read more.
Understanding wake interactions between multiple tidal stream turbines is essential for optimizing the performance and layout of tidal energy farms. This study investigates the hydrodynamic behavior of two horizontal-axis tidal turbines arranged in tandem under simplified inflow conditions, where the incoming flow was dominated by the streamwise velocity component without imposed external disturbances. Wake measurements were conducted in a large circulating water tunnel using a mobile, submerged particle image velocimetry (PIV) system capable of long-range, high-resolution measurements. Performance tests showed that the downstream turbine experienced a decrease of approximately 9% in maximum power coefficient compared to the upstream turbine due to reduced inflow velocity and increased turbulence generated by the upstream wake. Phase-averaged PIV results revealed the detailed evolution of velocity deficit, turbulence intensity, turbulent kinetic energy, and tip vortex structures. The tip vortices shed from the upstream turbine persisted over a long downstream distance, remaining coherent up to 10D and merging with those generated by the downstream turbine. These merged vortex structures produced elevated turbulence and complex flow patterns that significantly influenced the downstream turbine’s operating conditions. The results provide experimentally validated insight into turbine-to-turbine wake interactions and highlight the need for high-fidelity wake data to support array optimization and numerical model development for tidal stream turbine array. Full article
(This article belongs to the Special Issue Hydrodynamic Performance, Optimization, and Design of Marine Turbines)
Show Figures

Figure 1

16 pages, 8426 KB  
Article
Design Optimization of a Small-Scaled Vortex-Induced Vibration Bladeless Wind Turbine with Binary Resonance Controller
by Heeyun Kang, Susung Han and Young-Keun Kim
Appl. Sci. 2026, 16(1), 553; https://doi.org/10.3390/app16010553 - 5 Jan 2026
Viewed by 269
Abstract
This study presents the design optimization and semi-active resonance control of a small-scale vortex-induced vibration (VIV) bladeless wind turbine (BWT) equipped with a power efficient binary resonance controller. The proposed system integrates a smart-material-based stiffness-tuning module that adaptively adjusts the structure frequency of [...] Read more.
This study presents the design optimization and semi-active resonance control of a small-scale vortex-induced vibration (VIV) bladeless wind turbine (BWT) equipped with a power efficient binary resonance controller. The proposed system integrates a smart-material-based stiffness-tuning module that adaptively adjusts the structure frequency of the BWT to match varying wind speeds. A coupled mechanical–electromagnetic model for BWT was formulated to quantify the relationships among key design parameters, including mast geometry, pivot length, and rod dimensions, and the resulting induced voltage. Multi-parameter optimization was performed to maximize energy-harvesting efficiency under mass and geometric constraints. Experimental evaluation verified an 88.9 % resonance shift capability, broadening the operational lock-in wind speed range from 1.7 to 3.2 m/s. The results confirm the potential of the semi-active BWT control concept for compact, low-noise, and adaptive wind-energy harvesters. Full article
Show Figures

Figure 1

21 pages, 6542 KB  
Article
Performance Analysis of a Novel 3D-Printed Three-Blade Savonius Wind Turbine Rotor with Pointed Deflectors
by Edward Ang and Jaime Honra
Fluids 2026, 11(1), 9; https://doi.org/10.3390/fluids11010009 - 29 Dec 2025
Viewed by 608
Abstract
This study presents a compact, 3D-printed Savonius wind turbine rotor incorporating pointed deflectors to enhance concave-side airflow and mitigate blade-edge vortex formation. The prototype, fabricated from ABS plastic, was experimentally evaluated in an Eiffel-type wind tunnel under low-speed wind conditions (3, 4, and [...] Read more.
This study presents a compact, 3D-printed Savonius wind turbine rotor incorporating pointed deflectors to enhance concave-side airflow and mitigate blade-edge vortex formation. The prototype, fabricated from ABS plastic, was experimentally evaluated in an Eiffel-type wind tunnel under low-speed wind conditions (3, 4, and 5 m/s), with blockage effects taken into account. Flow visualization revealed improved airflow attachment and pressure concentration on the concave blade surfaces, increasing drag asymmetry and torque generation. Corresponding power coefficients with applied blockage ratio were observed to be 0.181, 0.185 and 0.186, while torque coefficients with applied blockage ratio were observed to be 0.385, 0.374 and 0.375 at each wind speed and optimal tip-speed ratio, respectively, and were compared with previously reported computational results. The optimal operating tip-speed ratios identified for the torque and power coefficients were remarkably close, enabling efficient torque and power generation during operation. The experimental findings validate earlier numerical predictions and underscore the importance of physical testing in assessing turbine performance. Observed deviations between predicted and experimental coefficients suggest that fabrication parameters may influence prototype performance and warrant further investigation. Overall, the results demonstrate the technical viability of 3D-printed Savonius turbines for small-scale urban energy harvesting applications in the Philippines. Full article
(This article belongs to the Section Mathematical and Computational Fluid Mechanics)
Show Figures

Figure 1

18 pages, 3038 KB  
Article
Experimental and Numerical Investigation of Heat Transfer of a Side Space of a Steam Turbine Casing at Full and Partial Load
by Bernhard V. Weigel, Oliver Brunn, Thomas Polklas, Stefan Odenbach and Wieland Uffrecht
Int. J. Turbomach. Propuls. Power 2026, 11(1), 3; https://doi.org/10.3390/ijtpp11010003 - 29 Dec 2025
Viewed by 294
Abstract
There is a significant demand for flexibility in steam turbines, including rapid cold starts and load changes, as well as operation at low partial loads. Both industrial plants and systems for electricity and heat generation are impacted. These new operating modes result in [...] Read more.
There is a significant demand for flexibility in steam turbines, including rapid cold starts and load changes, as well as operation at low partial loads. Both industrial plants and systems for electricity and heat generation are impacted. These new operating modes result in complex, asymmetric temperature fields and additional thermally induced stresses. These lead to casing deformations, which affect blade tip gap and casing flange sealing integrity. The exact progression of heat flux and heat transfer coefficients within the cavities of steam turbines remains unclear. The current methods used in the calculation departments rely on simplified, averaged estimates, despite the presence of complex flow phenomena. These include swirling inflows, temperature gradients, impinging jets, unsteady turbulence, and vortex formation. This paper presents a novel sensor and its thermal measurements taken on a full-scale steam turbine test rig. Numerical calculations were performed concurrently. The results were validated by measurements. Additionally, the distribution of the heat transfer coefficient along the cavity was analysed. The rule of L’Hôpital was applied at specific locations. A method for handling axial variation in the heat transfer coefficient is also proposed. Measurements were taken under real-life conditions with a full-scale test rig at MAN Energy Solutions SE, Oberhausen, with steam parameters of 400 °C and 30 bar. The results at various operating points are presented. Full article
Show Figures

Figure 1

28 pages, 13834 KB  
Article
High-Fidelity Simulation and Sensitivity Study of Spanwise Stiffness Distribution on Nonlinear Aeroelastic Response of 15 MW Reference Turbine Blades
by Baoxu Zhang, Xiaohang Qian, Baoxuan Wang, Yibin He, Zhiteng Gao, Tongguang Wang, Shoutu Li and Ye Li
Energies 2026, 19(1), 60; https://doi.org/10.3390/en19010060 - 22 Dec 2025
Viewed by 360
Abstract
With the trend towards offshore and larger-scale wind turbines, the increase in blade size makes the trade-off between structural optimization and economic feasibility more critical. To address this issue, this study focuses on the IEA 15 MW offshore wind turbine and investigates the [...] Read more.
With the trend towards offshore and larger-scale wind turbines, the increase in blade size makes the trade-off between structural optimization and economic feasibility more critical. To address this issue, this study focuses on the IEA 15 MW offshore wind turbine and investigates the influence of stiffness distribution on its dynamic response, based on the frameworks of multi-body dynamics, the co-rotational beam method, and the free vortex wake method. Results show that blade mid-span stiffness has the most significant influence on system performance. Reducing flapwise bending stiffness increases mean flapwise displacement by 53.8%. This greatly raises the risk of structural damage. Power output is most sensitive to torsional stiffness. Lowering torsional stiffness reduces mean power by 6.9%. This significantly impacts the economic benefits of wind farms. This study contributes to optimizing the structure of large wind turbine blades, enhancing their reliability, and improving cost-effectiveness. Full article
Show Figures

Figure 1

15 pages, 1674 KB  
Article
Optimal Design Guidelines for Efficient Energy Harvesting in Piezoelectric Bladeless Wind Turbines
by Joohan Bae, Armanto Pardamean Simanjuntak and Jae Young Lee
Energies 2026, 19(1), 25; https://doi.org/10.3390/en19010025 - 20 Dec 2025
Viewed by 455
Abstract
This study presents an optimal design methodology for a piezoelectric-based bladeless wind turbine (BWT) that efficiently converts wind-induced vibration of a cantilever-mounted cylinder into electrical energy. A lumped-parameter model integrating structural dynamics, fluid-structure interaction, and piezoelectric energy conversion is introduced and simplified to [...] Read more.
This study presents an optimal design methodology for a piezoelectric-based bladeless wind turbine (BWT) that efficiently converts wind-induced vibration of a cantilever-mounted cylinder into electrical energy. A lumped-parameter model integrating structural dynamics, fluid-structure interaction, and piezoelectric energy conversion is introduced and simplified to derive key dimensionless design parameters and optimal conditions for maximizing power output. The optimal design criteria are as follows: tuning the resonance between the structural natural frequency and vortex shedding frequency; setting the dimensionless load resistance R* to unity; and minimizing ωnRLCeq to a value smaller than unity. Numerical simulations and wind tunnel experiments validate the model, showing good agreement with less than 7% error in power prediction under resonance conditions and successfully predicting the coupled behavior of fluid, structure, and piezoelectric components. The proposed optimal design methodology facilitates the development of compact and efficient piezoelectric-based bladeless wind energy harvesting systems suitable for urban and space-constrained environments. Full article
(This article belongs to the Section A3: Wind, Wave and Tidal Energy)
Show Figures

Figure 1

23 pages, 8350 KB  
Article
Quantifying Swirl Number Effects on Recirculation Zones and Vortex Dynamics in a Dual-Swirl Combustor
by Hafiz Ali Haider Sehole, Ghazanfar Mehdi, Rizwan Riaz, Absaar Ul Jabbar, Adnan Maqsood and Maria Grazia De Giorgi
Energies 2025, 18(24), 6568; https://doi.org/10.3390/en18246568 - 16 Dec 2025
Viewed by 594
Abstract
Swirl-stabilized combustors are central to gas turbine technology, where the swirl number critically determines flow structure and combustion stability. This work systematically investigates the isothermal flow in a dual-swirl combustor, focusing on two primary objectives: evaluating advanced turbulence models and quantifying the impact [...] Read more.
Swirl-stabilized combustors are central to gas turbine technology, where the swirl number critically determines flow structure and combustion stability. This work systematically investigates the isothermal flow in a dual-swirl combustor, focusing on two primary objectives: evaluating advanced turbulence models and quantifying the impact of geometric-induced swirl number variations. Large Eddy Simulation (LES), Detached Eddy Simulation (DES), Scale-Adaptive Simulation (SAS), and the k-ω SST RANS model are compared against experimental data. The results suggest that while all models capture the mean recirculation zones, the scale-resolving approaches (LES, DES, SAS) more accurately predict the unsteady dynamics, such as shear layer fluctuations and the precessing vortex core, which are challenging for the RANS model. Furthermore, a parametric study of vane angles (60° to 70°) reveals a non-monotonic relationship between geometry and the resulting swirl number, attributed to internal flow separation. An intermediate swirl number range (S ≈ 0.79) was found to promote stable and coherent recirculation zones, whereas higher swirl numbers led to more intermittent flow structures. These findings may provide practical guidance for selecting turbulence models and optimizing swirler geometry in the design of modern combustors. Full article
Show Figures

Figure 1

24 pages, 2569 KB  
Article
Symmetry Breaking Mechanisms and Pressure Pulsation Characteristics in a Large-Scale Francis Turbine Under Variable Head Operation
by Hong Hua, Zhizhong Zhang, Xiaobing Liu and Haiku Zhang
Symmetry 2025, 17(12), 2151; https://doi.org/10.3390/sym17122151 - 14 Dec 2025
Viewed by 327
Abstract
Flexible grid regulation necessitates Francis turbines to operate at heads of 120–180 m (compared to the rated head of 154.6 m), breaking the designed rotational symmetry and inducing hydraulic instabilities that threaten structural integrity and operational reliability. This study presents extensive field measurements [...] Read more.
Flexible grid regulation necessitates Francis turbines to operate at heads of 120–180 m (compared to the rated head of 154.6 m), breaking the designed rotational symmetry and inducing hydraulic instabilities that threaten structural integrity and operational reliability. This study presents extensive field measurements of pressure pulsations in a 600 MW prototype Francis turbine operating at heads of 120–180 m and loads of 20–600 MW across 77 operating conditions (7 head levels × 11 load points). We strategically positioned high-precision piezoelectric pressure sensors at three critical locations—volute inlet, vaneless space, and draft tube cone—to capture the amplitude and frequency characteristics of symmetry-breaking phenomena. Advanced signal processing revealed three distinct mechanisms with characteristic pressure pulsation signatures: (1) Draft tube rotating vortex rope (RVR) represents spontaneous breaking of axial symmetry, exhibiting helical precession at 0.38 Hz (approximately 0.18 fn, where fn = 2.08 Hz) with maximum peak-to-peak amplitudes of 108 kPa (87% of the rated pressure prated = 124 kPa) at H = 180 m and P = 300 MW, demonstrating approximately 70% amplitude reduction potential through load-based operational strategies. (2) Vaneless space rotor-stator interaction (RSI) reflects periodic disruption of the combined C24 × C13 symmetry at the blade-passing frequency of 27.1 Hz (Nr × fn = 13 × 2.08 Hz), reaching peak amplitudes of 164 kPa (132% prated) at H = 180 m and P = 150 MW, representing the most severe symmetry-breaking phenomenon. (3) Volute multi-point excitation exhibits broadband spectral characteristics (4–10 Hz) with peak amplitudes of 146 kPa (118% prated) under small guide vane openings. The spatial amplitude hierarchy—vaneless space (164 kPa) > volute (146 kPa) > draft tube (108 kPa)—directly correlates with the local symmetry-breaking intensity, providing quantitative evidence for the relationship between geometric symmetry disruption and hydraulic excitation magnitude. Systematic head-dependent amplitude increases of 22–43% across all monitoring locations are attributed to effects related to Euler head scaling and Reynolds number variation, with the vaneless space demonstrating the highest sensitivity (0.83 kPa/m, equivalent to 0.67% prated/m). The study establishes data-driven operational guidelines identifying forbidden operating regions (H = 160–180 m, P = 20–150 MW for vaneless space; H = 160–180 m, P = 250–350 MW for draft tube) and critical monitoring frequencies (0.38 Hz for RVR, 27.1 Hz for RSI), providing essential reference data for condition monitoring systems and operational optimization of large Francis turbines functioning as flexible grid-regulating units in renewable energy integration scenarios. Full article
(This article belongs to the Section Engineering and Materials)
Show Figures

Figure 1

Back to TopTop