Numerical Simulations and Experimental Tests for Tailored Tidal Turbine Design
Abstract
1. Introduction
2. Materials and Methods
- No-load torque measurement: The servomotor was operated without the turbine at fixed rotational speeds in the range of 500–5500 rpm to determine the torque required to overcome internal losses, including mechanical friction, bearing resistance, and viscous effects. The no-load torque curve was established as a function of rotational speed.
- Turbine testing: With the turbine coupled to the motor/generator, system torque measurements were performed at fixed rotational speeds while varying the air stream velocity.
- Determination of turbine torque: For each test condition (i.e., combination of motor speed and air velocity), the effective turbine torque was determined as the difference between the measured no-load torque and the load torque at a fixed turbine speed.
- Performance calculation: Based on the measured values of air velocity, turbine rotational speed, and torque, the power output as a function of air velocity was calculated. The turbine power coefficient and torque coefficient were then evaluated as functions of the TSR.
3. Results and Discussion
3.1. BEM Fluid Dynamic Design of the Rotor
3.2. Comparison Between Experimental and CFD Results
3.3. Analysis of the CFD Results
4. Conclusions
- A tailored design methodology was implemented using a fast in-house BEM code, enabling efficient optimization of blade geometry.
- A CFD-based approach was employed to estimate aerodynamic coefficients for the NACA 4412 airfoil in the low-Re regime, addressing the lack of reliable data in the literature for small-scale tidal applications.
- Three-dimensional numerical simulations using Ansys Fluent provided insight into complex flow features, such as stall delay and centrifugal pumping, which are not captured by one-dimensional models.
- Experimental tests were performed in a wind tunnel under fluid dynamic similarity conditions, allowing for a direct comparison with CFD results and confirming the efficiency of the rotor over a wide range of TSRs.
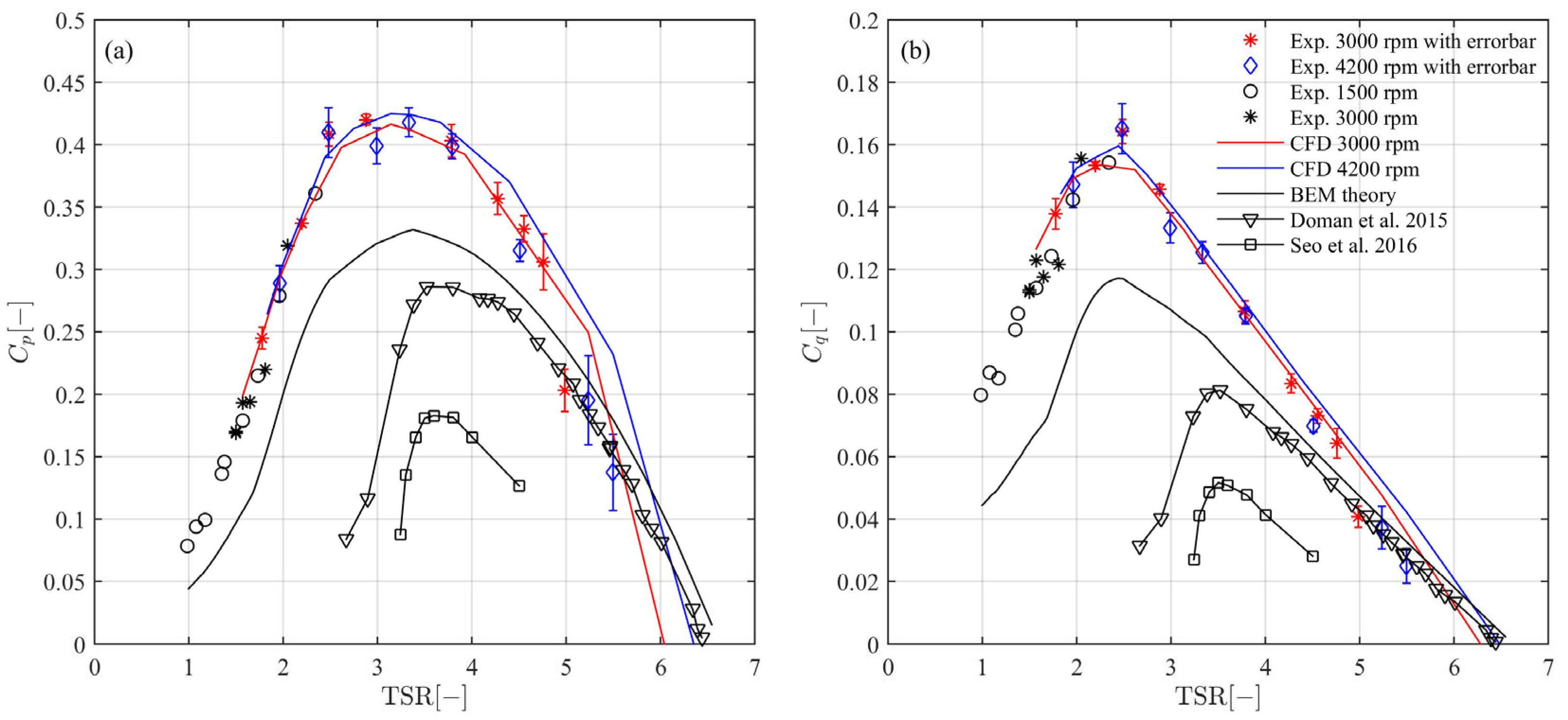
- A fairly good agreement was found between experiments and CFD simulations, particularly in the low-TSR range.
- The BEM results show lower power and torque coefficients than the experimental and CFD results, primarily due to centrifugal pumping. However, there is agreement on the TSR value at which the maximum coefficient values are attained.
- The study demonstrates also the potential of wind tunnel testing as a practical and reliable alternative to water flume testing for small-scale tidal turbine prototypes.
Author Contributions
Funding
Data Availability Statement
Conflicts of Interest
Abbreviations
| CFD | Computational Fluid Dynamics |
| BEM | Blade Element Momentum |
| AoA | Angle of attack |
| TI | Turbulent intensity [%] |
| TVR | Turbulent viscosity ratio [-] |
| HATT | Horizontal-axis tidal turbine |
| TSR | Tip-speed ratio |
| TST | Tidal stream turbine |
| MRF | Moving reference frame |
| RANS | Reynolds-averaged Navier–Stokes |
| GEKO | Generalized k-omega turbulence model |
| EV | Eddy viscosity |
| GEKO coefficient for separation control | |
| Reynolds number [-] | |
| PLA | Polylactic acid |
| Nondimensional distance from wall [-] | |
| Fluid rotational speed [rad/s] | |
| Rotor rotational speed [rad/s] | |
| Axial induction factor [-] | |
| Tangential induction factor [-] | |
| Generic flow speed [m/s] | |
| Local inflow angle [rad] | |
| Rotor radius [m] | |
| Local radius [m] | |
| Prandtl’s tip loss factor [-] | |
| Axial force acting on the blade element [N] | |
| Axial force coefficient [-] | |
| Tangential force coefficient [-] | |
| Local thrust coefficient | |
| Power coefficient | |
| Torque coefficient | |
| c | Chord [m] |
| Rotor solidity [-] | |
| Fluid density [kg/m3] | |
| Local speed ratio [-] | |
| Local angle of attack [rad] | |
| Twist angle [rad] | |
| Lift coefficient [-] | |
| Drag coefficient [-] | |
| Pressure [pa] | |
| Kinematic viscosity [m2/s] | |
| Dynamic viscosity [kg/(s m)] | |
| Number of blades | |
| Max lift to drag ratio angle [deg] |
References
- Ocean Energy Europe. Ocean Energy Stats & Trends 2024; Report by Ocean Energy Europe; Ocean Energy Europe: Brussels, Belgium, 2025. [Google Scholar]
- Rafiuddin Ahmed, M. Blade sections for wind turbine and tidal current applications-current status and future challenges. Int. J. Energy Res. 2012, 36, 829–844. [Google Scholar] [CrossRef]
- Batten, W.M.J.; Bahai, A.S.; Molland, A.F.; Chaplin, J.R. Hydrodynamics of marine current turbines. Renew. Energy 2006, 31, 249–256. [Google Scholar] [CrossRef]
- Coiro, D.P.; Maisto, U.; Sherillo, F.; Melone, S.; Grasso, F. Horizontal axis tidal current turbines: Numerical and experimental investigations. In Proceedings of the OWEMES, Civitavecchia, Italy, 20–22 April 2006. [Google Scholar]
- Goundar, J.N.; Rafiuddin Ahmed, M.; Lee, Y. Numerical and experimental studies on hydrofoils for marine current turbines. Renew. Energy 2012, 42, 173–179. [Google Scholar] [CrossRef]
- Goundar, J.N.; Rafiuddin Ahmed, M.; Lee, Y. Marine current energy resources assessment and design of a marine current turbine for Fiji. Renew. Energy 2014, 65, 14–22. [Google Scholar] [CrossRef]
- Grasso, F. Design and optimization of Tidal Turbine Airfoil. J. Aircr. 2012, 49, 636–643. [Google Scholar] [CrossRef]
- Luo, X.; Zhu, G.; Feng, J. Multi-point design optimization of hydrofoil for marine current turbine. J. Hydrodyn. 2014, 26, 807–817. [Google Scholar] [CrossRef]
- Singh, P.M.; Choi, Y. Shape design and numerical analysis on a 1 MW tidal current turbine for the south-western coast of Korea. Renew. Energy 2014, 68, 485–493. [Google Scholar] [CrossRef]
- Sale, D.; Jonkman, J.; Musial, W. A Hydrodynamic Optimization Method and Design Code for Stall-Regulated Hydrokinetic Turbine Rotors. In Proceedings of the ASME 28th International Conference on Ocean, Offshore and Artic Engineering, OMAE 2009, Honolulu, HI, USA, 31 May–5 June 2009. [Google Scholar]
- Jia, G.; Chen, C.; Wang, L.; Wang, P.; Huang, B.; Wu, R. Unsteady hydrodynamics characteristics control of turbine blades by the vortex generator. Ocean Eng. 2025, 324, 120785. [Google Scholar] [CrossRef]
- de Jesus Henriques, T.A.; Tedds, S.C.; Botsari, A.; Najafian, G.; Hedges, T.S.; Sutcliffe, C.J.; Owen, I.; Pole, R.J. The effect of wave-current interaction on the performance of a model horizontal axis tidal turbine. Int. J. Mar. Energy 2014, 8, 17–35. [Google Scholar] [CrossRef]
- Hanzla, M.; Banerjee, A. Spectral behavior of a horizontal axis tidal turbine in elevated levels of homogeneous turbulence. Appl. Energy 2025, 380, 124842. [Google Scholar] [CrossRef]
- Mauro, S.; Caridi, D.; Lanzafame, R.; Messina, M.; Brusca, S. Fast CFD Methodology for accurate prediction of wind turbine airfoil polars by means of Generalized k-omega turbulence model. J. Phys. Conf. Ser. 2024, 2893, 012125. [Google Scholar] [CrossRef]
- Lanzafame, R.; Messina, M. Fluid dynamics wind turbine design: Critical analysis, optimization and application of BEM theory. Renew. Energy 2007, 32, 2291–2305. [Google Scholar] [CrossRef]
- Glauert, H. The Analysis of Experimental Results in the Windmill Brake and Vortex Ring States of An Airscrew; Report and Memoranda no. 1026; His Majesty’s Stationary Office: London, UK, 1926; pp. 1–8. [Google Scholar]
- Buhl, L., Jr. A New Empirical Relationship Between Thrust Coefficient and Induction Factor for the Turbulent Windmill State; Technical Report NREL/TP-500-36834; National Renewable Energy Laboratory: Golden, CO, USA, 2005.
- Jonkman, J.M. Modeling of the UAE Wind Turbine for Refinement of FAST_AD; NREL/TP-500-34755; National Renewable Energy Laboratory: Golden, CO, USA, 2003.
- Nachtane, M.; Tarfaoui, M.; Goda, M.; Rouway, M. A review on the technologies, design considerations and numerical models of tidal current turbines. Renew. Energy 2020, 157, 1274–1288. [Google Scholar] [CrossRef]
- Li, Z.; Li, G.; Du, L.; Guo, H.; Yuan, W. Optimal design of horizontal axis tidal current turbine blade. Ocean Eng. 2023, 271, 113666. [Google Scholar] [CrossRef]
- Alipour, R.; Alipour, R.; Fardian, F.; Hossein Tahan, M. Optimal performance of a horizontal axis tidal current turbine: A numerical parametric study and experimental validation. Energy Convers. Manag. 2022, 258, 115533. [Google Scholar] [CrossRef]
- Mauro, S.; Lanzafame, R.; Messina, M. On the importance of the root-to-hub adapter effects on HAWT performance: A CFD-BEM numerical investigation. Energy 2023, 275, 127456. [Google Scholar] [CrossRef]
- Mauro, S.; Lanzafame, R.; Messina, M. Detailed CFD-BEM analysis about the effects of twist and taper of HAWTs on the rotational augmentation phenomenon. Energy 2025, 314, 134158. [Google Scholar] [CrossRef]
- Menter, F.R.; Matyushenko, A.; Lechner, R. Development of a Generalized K-ω Two-Equation Turbulence Model. In New Results in Numerical and Experimental Fluid Mechanics XII. DGLR 2018; Notes on Numerical Fluid Mechanics and Multidisciplinary Design; Springer: Cham, Switzerland, 2019; Volume 142. [Google Scholar]
- Menter, F.R.; Smirnov, P.E.; Liu, T. A One-Equation Local Correlation-Based Transition Model. Flow Turbul. Combust. 2015, 95, 583–619. [Google Scholar] [CrossRef]
- Brusca, S.; Lanzafame, R.; Messina, M. Low Speed Wind Tunnel: Design and Build. In Book Wind Tunnels: Aerodynamics, Models and Experiments; Pereira, J.D., Ed.; Nova Science Publisher Inc.: New York, NY, USA, 2011. [Google Scholar]
- Reuss Ramsay, R.; Hoffmann, M.J.; Gregorek, G.M. Effects of Grit Roughness and Pitch Oscillations on the S809 Airfoil; NREL/TP-442-7817; National Renewable Energy Laboratory: Golden, CO, USA, 1995.
- Somers, D.M. Design and Experimental Results for the S809 Airfoil; NREL/SR-440-6918; National Renewable Energy Laboratory: Golden, CO, USA, 1997.
- Batu, T.; Lemu, H.G. Comparative Study of the Effect of Chord Length Computation Methods in Design of Wind Turbine Blade. In Advanced Manufacturing and Automation IX; IWAMA 2019; Lecture Notes in Electrical Engineering; Wang, Y., Martinsen, K., Yu, T., Wang, K., Eds.; Springer: Singapore, 2007; Volume 634, pp. 106–115. [Google Scholar]
- Adamski, S.J. Numerical Modeling of the Effect of Free Surface on the Operating Characteristics of Marine Hydrokinetic Turbines. Master’s Thesis, University of Washington, Seattle, DC, USA, 2013. [Google Scholar]
- Doman, D.A.; Murray, R.E.; Pegg, M.J.; Gracie, K.; Johnston, M.C.; Nevalainen, T. Tow-tank testing of a 1/20th scale horizontal axis tidal turbine with uncertainty analysis. Int. J. Mar. Energy 2015, 11, 105–119. [Google Scholar] [CrossRef]
- Seo, J.; Lee, S.-J.; Choi, W.-S.; Park, S.T.; Rhee, S.H. Experimental study on kinetic energy conversion of horizontal axis tidal stream turbine. Renew. Energy 2016, 97, 784–797. [Google Scholar] [CrossRef]
- Hunt, J.C.R.; Wray, A.A.; Moin, P. Eddies, Streams, and Convergence Zones in Turbulent Flows; Report CTR-S88; Proc. Center for Turbulence Research; Center for Turbulence Research at Stanford University: Stanford, CA, USA, 1988; pp. 193–208. [Google Scholar]













| Mesh Details | Coarse | Ref-1 | Ref-2 |
|---|---|---|---|
| Curvature min size [mm] | 0.08 | 0.04 | 0.02 |
| Curvature max size [mm] | 4 | 2 | 1 |
| Curvature angle [deg] | 12 | 12 | 12 |
| Max face sizing hub [mm] | 8 | 5 | 2.5 |
| Max face sizing trailing edge [mm] | 0.04 | 0.04 | 0.04 |
| Max face sizing tip [mm] | 0.1 | 0.1 | 0.1 |
| First layer height (y+ ≈ 1) [mm] | 0.02 | 0.02 | 0.02 |
| Number of prism layers [-] | 10 | 15 | 20 |
| Minimum orthogonal quality | 0.1 | 0.12 | 0.12 |
| Cells count | 8.4 M | 11.3 M | 24.9 M |
| Time to generate [min] | 8 | 13 | 33 |
| Inlet boundary conditions | Velocity inlet (0.5–6 m/s); TI = 0.1%; TVR = 10 |
| Outlet boundary conditions | Pressure outlet, gauge pressure 0 Pa; TI = 1%; TVR = 10 |
| Rotational speed | 320 rpm |
| Fluid | Water (ρ = 998.2 kg/m3; μ = 0.001003 Pas) |
| Solver type | Incompressible, steady state, pressure based, pseudo-transient coupled solver |
| Time-step method: automatic | |
| Length scale method: conservative | |
| Time scale factor = 1 | |
| Discretization methods | Least squares cell-based method for gradients |
| Second order upwind discretization for convective terms | |
| Rotation model | Moving Reference Frame (MRF) |
| Turbulence model | RANS Generalized k-ω + intermittency equation |
| Initialization method | Hybrid |
| Convergence criteria | Locally scaled residuals < 10−4, steady behavior of torque monitor |
| Time to convergence | <4 h (<800 iterations) |
Disclaimer/Publisher’s Note: The statements, opinions and data contained in all publications are solely those of the individual author(s) and contributor(s) and not of MDPI and/or the editor(s). MDPI and/or the editor(s) disclaim responsibility for any injury to people or property resulting from any ideas, methods, instructions or products referred to in the content. |
© 2026 by the authors. Licensee MDPI, Basel, Switzerland. This article is an open access article distributed under the terms and conditions of the Creative Commons Attribution (CC BY) license.
Share and Cite
Scandura, P.; Mauro, S.; Messina, M.; Brusca, S. Numerical Simulations and Experimental Tests for Tailored Tidal Turbine Design. J. Mar. Sci. Eng. 2026, 14, 236. https://doi.org/10.3390/jmse14030236
Scandura P, Mauro S, Messina M, Brusca S. Numerical Simulations and Experimental Tests for Tailored Tidal Turbine Design. Journal of Marine Science and Engineering. 2026; 14(3):236. https://doi.org/10.3390/jmse14030236
Chicago/Turabian StyleScandura, Pietro, Stefano Mauro, Michele Messina, and Sebastian Brusca. 2026. "Numerical Simulations and Experimental Tests for Tailored Tidal Turbine Design" Journal of Marine Science and Engineering 14, no. 3: 236. https://doi.org/10.3390/jmse14030236
APA StyleScandura, P., Mauro, S., Messina, M., & Brusca, S. (2026). Numerical Simulations and Experimental Tests for Tailored Tidal Turbine Design. Journal of Marine Science and Engineering, 14(3), 236. https://doi.org/10.3390/jmse14030236

