Sign in to use this feature.

Years

Between: -

Subjects

remove_circle_outline
remove_circle_outline
remove_circle_outline
remove_circle_outline
remove_circle_outline
remove_circle_outline
remove_circle_outline
remove_circle_outline
remove_circle_outline

Journals

Article Types

Countries / Regions

Search Results (10)

Search Parameters:
Keywords = viscous threads

Order results
Result details
Results per page
Select all
Export citation of selected articles as:
22 pages, 2277 KB  
Review
Interfacial Rheology of Surfactant–Asphaltene Systems: State of the Art and Implications for Enhanced Oil Recovery
by Maria Isabel Sandoval Martinez, Ronald Mercado, Arlex Chaves-Guerrero and Hassan Hassanzadeh
Materials 2025, 18(21), 5036; https://doi.org/10.3390/ma18215036 - 5 Nov 2025
Cited by 3 | Viewed by 860
Abstract
The study of the viscoelastic properties of surfactants in Enhanced Oil Recovery (EOR) has gained significant attention due to the role of interface elasticity in improving oil recovery. Interfacial rheology has been demonstrated to be a valuable tool for designing more efficient surfactant [...] Read more.
The study of the viscoelastic properties of surfactants in Enhanced Oil Recovery (EOR) has gained significant attention due to the role of interface elasticity in improving oil recovery. Interfacial rheology has been demonstrated to be a valuable tool for designing more efficient surfactant formulations in different industries. This review summarizes the principles and methods used to understand interfacial rheology and its impact on oil recovery. The paper explores key processes, interactions, and parameters that influence the formation of viscous or elastic films in the presence of active components in petroleum systems. The main findings highlight the importance of achieving optimal rigidity and viscoelastic properties at the interface, which promotes the formation of continuous phase threads that can be more easily swept. The review emphasizes the significance of understanding intermolecular interactions between surfactants and asphaltenes, as well as the impact of surfactant concentration on the formation of more viscous or elastic interfaces. Despite the valuable insights provided by interfacial rheology, further research is required to refine surfactant-based EOR strategies to enhance petroleum processing and recovery. Full article
(This article belongs to the Section Construction and Building Materials)
Show Figures

Figure 1

17 pages, 1534 KB  
Article
Improving Telenomus remus (Hymenoptera: Scelionidae) Adoption: Contribution of Different Egg Parasitoid Densities, Fed Adults, and Their Storage for Successful Biological Control of Spodoptera frugiperda (Lepidoptera: Noctuidae)
by Weidson P. Sutil, Adeney de F. Bueno, Leonardo Roswadoski, Rafael S. Iasczczaki, Gabriel S. Carneiro and Yelitza C. Colmenarez
Insects 2025, 16(10), 1032; https://doi.org/10.3390/insects16101032 - 6 Oct 2025
Viewed by 1509
Abstract
Egg parasitoids, such as Telenomus remus (Hymenoptera: Scelionidae), face significant challenges after release, as their pupae are exposed to various mortality factors that reduce the efficiency of biological control programs. Therefore, this study aimed to evaluate a honey-solid diet that can feed adults [...] Read more.
Egg parasitoids, such as Telenomus remus (Hymenoptera: Scelionidae), face significant challenges after release, as their pupae are exposed to various mortality factors that reduce the efficiency of biological control programs. Therefore, this study aimed to evaluate a honey-solid diet that can feed adults still inside the capsules without sticking the wasps on its surface, enabling parasitoid storage and later field release. Three independent bioassays were performed, each with 20 completely randomized replications. The first bioassay evaluated the acceptance of a solid feed—honey soaked in cotton thread—compared to the traditional form—honey droplets. In the second bioassay, the storage periods after emergence of adults in capsules with honey-solid food were analyzed at 2, 4, 6, and 8 days post-emergence, and the third bioassay studied the efficacy of different release densities of fed adults under field conditions. Parasitoids fed on the honey-solid diet exhibited a 13.3% reduction in parasitism compared to honey droplets. However, the sticky, viscous nature of honey can lead to parasitoids becoming glued, potentially leading to their death. T. remus feeding on the honey-solid diet resulted in low mortality inside the capsules, living up to six days with only 22.2% reduction in parasitism capacity, making it a viable alternative to release and transport fed adult parasitoids, with an increase of around 30% in the released density of parasitoids compared with the parasitoids fed on honey droplets. This flexibility of releasing T. remus up to six days after emergence provided valuable knowledge to establish T. remus as a biocontrol agent. Furthermore, the highest tested parasitoid density of 20,000 parasitoids per hectare obtained the highest parasitism of Spodoptera frugiperda (Lepidoptera: Noctuidae) eggs. However, future studies are still required with higher releasing densities and less expensive methods of mass rearing the parasitoid for those higher densities to be economically viable. Full article
Show Figures

Figure 1

6 pages, 1460 KB  
Communication
Improvement in Sperm Recovery Rate and Total Motile Sperm Count Using α-Chymotrypsin in Highly Viscous Semen Sample Without Adversely Affecting Assisted Reproductive Technology Outcomes
by Archana Ayyar, Marian Khalil, Maggie Wong, Rebecca Chung, Kathryn Coyne, Joseph Findley, Rachel Weinerman, Rebecca Flyckt, Katelyn Perroz Sofaly and Sung Tae Kim
Reprod. Med. 2025, 6(3), 17; https://doi.org/10.3390/reprodmed6030017 - 2 Jul 2025
Viewed by 3406
Abstract
Objectives: To investigate the impact of α-chymotrypsin treatment on sperm recovery rate and total motile sperm count (TMC) in highly viscous semen for intrauterine insemination (IUI) and in vitro fertilization (IVF), particularly in cases of severely low sperm count. Methods: High [...] Read more.
Objectives: To investigate the impact of α-chymotrypsin treatment on sperm recovery rate and total motile sperm count (TMC) in highly viscous semen for intrauterine insemination (IUI) and in vitro fertilization (IVF), particularly in cases of severely low sperm count. Methods: High viscosity was defined by the inability to form a thread exceeding 2 cm from a semen drop after 30 min of incubation at 37 °C with repeated pipetting. Semen samples were treated with 5 mg of α-chymotrypsin for 5–10 min at 37 °C and washed using a 90% gradient solution. A total of 35 patients were included, with comparisons made to the same patients’ prior untreated samples using paired t-tests. Severely low sperm count was classified as TMC below 10 million. Results: Treatment with α-chymotrypsin significantly improved TMC (22.2 million vs. 11.6 million, p = 0.0004) and motile sperm recovery rate (38.9% vs. 16.2%, p = 0.00002). In cases of severely low sperm count, α-chymotrypsin treatment resulted in a marked increase in recovery rate (43.0% vs. 10.0%, p = 0.02) and TMC (5.89 million vs. 1.21 million, p = 0.004). Fertilization using treated samples achieved an 87.8% success rate, with a 56.4% usable blastocyst rate, comparable to standard IVF outcomes (n = 9, average age = 34.9 years). Conclusions: α-chymotrypsin treatment significantly enhances sperm recovery and TMC in highly viscous semen, demonstrating particular efficacy in patients with severely low sperm counts without affecting fertilization or blastocyst rate in IVF. Full article
Show Figures

Figure 1

17 pages, 5677 KB  
Article
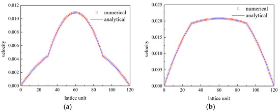
Pseudopotential Lattice Boltzmann Model for Immiscible Multicomponent Flows in Microchannels
by Jing Li and Xiaobin Liu
Processes 2023, 11(7), 2193; https://doi.org/10.3390/pr11072193 - 21 Jul 2023
Viewed by 1986
Abstract
To investigate droplet formation in a microchannel with different walls, simulations were conducted based on a pseudopotential model using the exact difference method force scheme. The variable surface tension was obtained using Laplace’s law, and the static contact angle was estimated using a [...] Read more.
To investigate droplet formation in a microchannel with different walls, simulations were conducted based on a pseudopotential model using the exact difference method force scheme. The variable surface tension was obtained using Laplace’s law, and the static contact angle was estimated using a first-order linear equation of the corresponding control parameter of the model. The droplet motion in microchannels was simulated using our model, and the effects of surface wettability and the Bond number on the droplet motion were investigated. The droplet motion for the intermediate microchannel wall took a significantly shorter time than that for the hydrophilic wall, and the wet length also depended on the contact angle. As the Bond number increased, the wet length of the droplet decreased on the hydrophilic surface. The droplet formation in a T-junction device was also simulated using the proposed model, and the effects of the capillary number and viscosity ratio on droplet formation were discussed in detail, and some empirical correlations between the capillary number and dimensionless droplet length are presented according to different viscosity ratios. The three flow patterns of droplet formation were categorized by the different capillary numbers as the dripping–squeezing, jetting–shearing, and threading regimes. In the dripping–squeezing regime, the droplet volume was nearly independent of the viscosity ratio, but the viscous effect was more prone to occur in the jetting–shearing regime. In the jetting–shearing regime, as the capillary number increased, the effect of the viscosity ratio on droplet formation became more significant. Full article
(This article belongs to the Section Process Control and Monitoring)
Show Figures

Figure 1

15 pages, 5489 KB  
Article
An Investigation on the Potential of Cellulose for Soil Stabilization
by Evangelin Ramani Sujatha and Govindarajan Kannan
Sustainability 2022, 14(23), 16277; https://doi.org/10.3390/su142316277 - 6 Dec 2022
Cited by 16 | Viewed by 4381
Abstract
The construction industry remains a significant contributor to global carbon emissions. Several sustainable alternatives have emerged to overcome this issue in geotechnical engineering. In this study, cellulose, an abundant biopolymer, is investigated for its potential to modify geotechnical properties favourably. Sodium carboxymethyl cellulose [...] Read more.
The construction industry remains a significant contributor to global carbon emissions. Several sustainable alternatives have emerged to overcome this issue in geotechnical engineering. In this study, cellulose, an abundant biopolymer, is investigated for its potential to modify geotechnical properties favourably. Sodium carboxymethyl cellulose (NaCMC) is an anionic ether derivative of natural cellulose with good binding and moisture-retaining capacity. Experimental investigations were conducted on organic silt stabilized with 0.25% to 1.00% NaCMC, and the results indicate that unconfined compression strength (UCS) increased by 76.7% with 0.5% NaCMC treated soil after 28 days. Hydraulic conductivity (HC) of the 0.5% NaCMC treated soil decreased by 91.7% after 28 days, and the additives suppressed the compression index of the soil by 50%. The California bearing ratio (CBR) test indicated that the additive improved the subgrade strength by 33.2%, improving it from very poor to a fair sub-grade material. Microstructural analysis using a scanning electron microscope (SEM) and chemical investigation using x-ray diffraction (XRD) indicates that NaCMC’s interaction with soil did not form any new chemical compounds. However, the viscous nature of the material formed fibrous threads that bind the soil to enhance the geotechnical properties, establishing itself as a prominent stabilizer for ground improvement applications. Full article
(This article belongs to the Collection Sustainability and Engineering Design)
Show Figures

Figure 1

20 pages, 6086 KB  
Article
Identification and Mapping of Three Distinct Breakup Morphologies in the Turbulent Inertial Regime of Emulsification—Effect of Weber Number and Viscosity Ratio
by Andreas Håkansson, Peyman Olad and Fredrik Innings
Processes 2022, 10(11), 2204; https://doi.org/10.3390/pr10112204 - 26 Oct 2022
Cited by 8 | Viewed by 3921
Abstract
Turbulent emulsification is an important unit operation in chemical engineering. Due to its high energy cost, there is substantial interest in increasing the fundamental understanding of drop breakup in these devices, e.g., for optimization. In this study, numerical breakup experiments are used to [...] Read more.
Turbulent emulsification is an important unit operation in chemical engineering. Due to its high energy cost, there is substantial interest in increasing the fundamental understanding of drop breakup in these devices, e.g., for optimization. In this study, numerical breakup experiments are used to study turbulent fragmentation of viscous drops, under conditions similar to emulsification devices such as high-pressure homogenizers and rotor-stator mixers. The drop diameter was kept larger than the Kolmogorov length scale (i.e., turbulent inertial breakup). When varying the Weber number (We) and the disperse-to-continuous phase viscosity ratio in a range applicable to emulsification, three distinct breakup morphologies are identified: sheet breakup (large We and/or low viscosity ratio), thread breakup (intermediary We and viscosity ratio > 5), and bulb breakup (low We). The number and size of resulting fragments differ between these three morphologies. Moreover, results also confirm previous findings showing drops with different We differing in how they attenuate the surrounding turbulent flow. This can create ‘exclaves’ in the phase space, i.e., narrow We-intervals, where drops with lower We break and drops with higher We do not (due to the latter attenuating the surrounding turbulence stresses more). Full article
(This article belongs to the Special Issue Nanoemulsion Processes Design and Applications)
Show Figures

Graphical abstract

20 pages, 7356 KB  
Article
Effect of Channel Roughness on Micro-Droplet Distribution in Internal Minimum Quantity Lubrication
by Michael Craig, Jay Raval, Bruce Tai, Albert Patterson and Wayne Hung
Dynamics 2022, 2(4), 336-355; https://doi.org/10.3390/dynamics2040019 - 14 Oct 2022
Cited by 3 | Viewed by 2697
Abstract
This research studied the effect of channel roughness on micro-droplet distributions in internal minimum quantity lubrication for effective machining. Mixtures of different oils and air were flown though internal channels with simulated different roughness: as fabricated, partially threaded, and fully threaded. The airborne [...] Read more.
This research studied the effect of channel roughness on micro-droplet distributions in internal minimum quantity lubrication for effective machining. Mixtures of different oils and air were flown though internal channels with simulated different roughness: as fabricated, partially threaded, and fully threaded. The airborne droplets were collected, analyzed, and compared with simulated results by computational fluid dynamics. For low-viscous lubricant, the rough channel surface helped to break large droplets in the boundary layer into smaller droplets and reintroduce them into the main downstream flow. The opposite trend was found for the higher viscous lubricant. The study also performed chemical etching to roughen selected surfaces of carbide cutting tools. The synergy of hand and ultrasonic agitation successfully roughened a carbide surface within twelve minutes. Scanning electron microscopy examination showed deep etching that removed all grinding marks on a WC–Co cutting tool surface. Full article
(This article belongs to the Special Issue Numerical Study of Minimum Quantity Lubrication)
Show Figures

Figure 1

23 pages, 6593 KB  
Article
Piezoelectric Micromachined Ultrasonic Transducer-Integrated Helmholtz Resonator with Microliter-Sized Volume-Tunable Cavity
by Guo-Hua Feng and Wen-Sheng Chen
Sensors 2022, 22(19), 7471; https://doi.org/10.3390/s22197471 - 2 Oct 2022
Cited by 10 | Viewed by 4479
Abstract
In this study, a piezoelectric micromachined ultrasonic transducer (PMUT) is integrated with a microliter-sized volume-tunable Helmholtz resonator. The passive Helmholtz resonator is constructed using an SU8 photolithography-defined square opening plate as the neck portion, a 3D-printed hollow structure with a threaded insert nut, [...] Read more.
In this study, a piezoelectric micromachined ultrasonic transducer (PMUT) is integrated with a microliter-sized volume-tunable Helmholtz resonator. The passive Helmholtz resonator is constructed using an SU8 photolithography-defined square opening plate as the neck portion, a 3D-printed hollow structure with a threaded insert nut, and a precision set screw to form the volume-controllable cavity of the Helmholtz resonator. The fabricated piezoelectric films acted as ultrasonic actuators attached to the surface of the neck SU8 plate. Experimental results show that the sound pressure level (SPL) and operation bandwidth could be effectively tuned, and a 200% SPL increase and twofold bandwidth enhancement are achieved when setting the cavity length to 0.75 mm compared with the open-cavity case. A modified Helmholtz resonator model is proposed to explain the experimental results. The adjusting factors of the effective mass and viscous damper are created to modify the existing parameters in the conventional Helmholtz resonator model. The relationship between the adjusting factors and cavity length can be described well using a two-term power series curve. This modified Helmholtz resonator model not only provides insight into this active-type Helmholtz resonator operation but also provides a useful estimation for its optimal design and fabrication. Full article
(This article belongs to the Section Physical Sensors)
Show Figures

Figure 1

10 pages, 8110 KB  
Article
Viscous Thread Falling on a Spinning Surface
by Maciej Lisicki, Łukasz Adamowicz, Andrzej Herczyński and Henry Keith Moffatt
Symmetry 2022, 14(8), 1550; https://doi.org/10.3390/sym14081550 - 28 Jul 2022
Cited by 5 | Viewed by 2273
Abstract
A rotational version of the fluid-mechanical sewing machine (FMSM) is investigated experimentally. A thin thread of silicon oil was dispensed at a constant flow rate Q from a height H and fell on a table rotating at an angular speed ω, at [...] Read more.
A rotational version of the fluid-mechanical sewing machine (FMSM) is investigated experimentally. A thin thread of silicon oil was dispensed at a constant flow rate Q from a height H and fell on a table rotating at an angular speed ω, at a distance R from the axis. In all experimental runs, the values of Q and H were kept constant while the radius R was changed manually after each full rotation. Preliminary results show that the usual stitching patterns ensue as the local linear speed V=ωR approaches the critical transition speeds seen in the FMSM scenario but with subtle asymmetries introduced by rotational (centrifugal) effects. In some instances, arcs and loops of the traces were noticeably more pronounced when directed outward compared to those pointing toward the axis of rotation. Moreover, we observed stitching patterns not reported before. Overall, the symmetry-breaking features, while clearly visible, were rather subtle. Their morphological characteristics, such as differences in local curvature of traces relative to those in FMSM, are estimated to be below 10% in most cases. Full article
(This article belongs to the Special Issue Symmetry and Symmetry-Breaking in Fluid Dynamics)
Show Figures

Figure 1

17 pages, 13358 KB  
Article
Symmetry and Asymmetry in the Fluid Mechanical Sewing Machine
by Neil M. Ribe, Pierre-Thomas Brun and Basile Audoly
Symmetry 2022, 14(4), 772; https://doi.org/10.3390/sym14040772 - 8 Apr 2022
Cited by 6 | Viewed by 5269
Abstract
The ‘fluid mechanical sewing machine’ is a device in which a thin thread of viscous fluid falls onto a horizontal belt moving in its own plane, creating a rich variety of ‘stitch’ patterns depending on the fall height and the belt speed. This [...] Read more.
The ‘fluid mechanical sewing machine’ is a device in which a thin thread of viscous fluid falls onto a horizontal belt moving in its own plane, creating a rich variety of ‘stitch’ patterns depending on the fall height and the belt speed. This review article surveys the complex phenomenology of the patterns, their symmetries, and the mathematical models that have been used to understand them. The various patterns obey different symmetries that include (slightly imperfect) fore–aft symmetry relative to the direction of belt motion and invariance under reflection across a vertical plane containing the velocity vector of the belt, followed by a shift of one-half the wavelength. As the belt speed decreases, the first (Hopf) bifurcation is to a ‘meandering’ state whose frequency is equal to the frequency Ωc of steady coiling on a motionless surface. More complex patterns can be studied using direct numerical simulation via a novel ‘discrete viscous threads’ algorithm that yields the Fourier spectra of the longitudinal and transverse components of the motion of the contact point of the thread with the belt. The most intriguing case is the ‘alternating loops’ pattern, the spectra of which are dominated by the first five multiples of Ωc/3. A reduced (three-degrees-of-freedom) model succeeds in predicting the sequence of patterns observed as the belt speed decreases for relatively low fall heights for which inertia in the thread is negligible. Patterns that appear at greater fall heights seem to owe their existence to weakly nonlinear interaction between different ‘distributed pendulum’ modes of the quasi-vertical ‘tail’ of the thread. Full article
(This article belongs to the Special Issue Symmetry and Symmetry-Breaking in Fluid Dynamics)
Show Figures

Figure 1

Back to TopTop