Sign in to use this feature.

Years

Between: -

Subjects

remove_circle_outline
remove_circle_outline
remove_circle_outline
remove_circle_outline
remove_circle_outline
remove_circle_outline
remove_circle_outline
remove_circle_outline
remove_circle_outline

Journals

Article Types

Countries / Regions

Search Results (73)

Search Parameters:
Keywords = virtual iteration technology

Order results
Result details
Results per page
Select all
Export citation of selected articles as:
24 pages, 5278 KB  
Article
Research on Optimization and Matching of Cab Suspension Systems for Commercial Vehicles Based on Ride Comfort
by Changcheng Yin, Yiyang Liu, Jiwei Zhang, Hui Yuan, Baohua Wang and Yunfei Zhang
Vehicles 2026, 8(1), 15; https://doi.org/10.3390/vehicles8010015 - 12 Jan 2026
Abstract
Improving the ride comfort of commercial vehicles is crucial for driver health and operational safety. This study focuses on optimizing the parameters of a cab suspension system to improve its vibration isolation performance. Initially, nonlinear fitting was applied to experimental data characterizing air [...] Read more.
Improving the ride comfort of commercial vehicles is crucial for driver health and operational safety. This study focuses on optimizing the parameters of a cab suspension system to improve its vibration isolation performance. Initially, nonlinear fitting was applied to experimental data characterizing air spring stiffness and damping, which informed the development of a multi-body rigid-flexible coupled dynamic model of the suspension system; its dynamic characteristics were subsequently validated through modal analysis. Road excitation data, filtered through the chassis suspension, were collected during vehicle testing, and displacement excitations for ride comfort simulation were reconstructed using virtual iteration technology. Thereafter, an integrated ISIGHT platform, combining ADAMS and MATLAB, was employed to systematically optimize suspension parameters and key bushing stiffness via a multi-island genetic algorithm. The optimization results demonstrated significant performance improvements: on General roads, the overall weighted root-mean-square acceleration was markedly reduced with enhanced isolation efficiency; on Belgian pave roads, resonance in the cab’s X-axis direction was effectively suppressed; and on Cobblestone roads, the pitch angle was successfully constrained within the design limit. This research provides an effective parameter matching methodology for performance optimization of cab suspension systems. Full article
(This article belongs to the Special Issue Tire and Suspension Dynamics for Vehicle Performance Advancement)
Show Figures

Figure 1

24 pages, 4305 KB  
Article
Design of an AR-Based Visual Narrative System for Abandoned Mines Integrating Regional Culture
by Wanjun Du and Ziyang Yu
Sustainability 2025, 17(24), 10960; https://doi.org/10.3390/su172410960 - 8 Dec 2025
Viewed by 335
Abstract
Abandoned mines, as emblematic heritage spaces in the process of deindustrialization, preserve collective production memory and serve as vital symbols of local identity. However, current redevelopment practices primarily emphasize physical restoration while overlooking the visual expression and interactive communication of regional culture. This [...] Read more.
Abandoned mines, as emblematic heritage spaces in the process of deindustrialization, preserve collective production memory and serve as vital symbols of local identity. However, current redevelopment practices primarily emphasize physical restoration while overlooking the visual expression and interactive communication of regional culture. This study introduces an augmented reality (AR)–based visual narrative framework that integrates regional culture to bridge the gap between spatial renewal and cultural regeneration. Drawing on semiotics and spatial narrative theory, a multidimensional “space–symbol–memory” translation mechanism is constructed, and a coupling model linking tangible material elements with intangible cultural connotations is established. Supported by technologies such as simultaneous localization and mapping (SLAM), semantic segmentation, and level of detail (LOD) rendering, a multilayer “position–perception–presentation” module system is designed to achieve stable anchoring of virtual and physical spaces and enable multilevel narrative interaction. Through task-oriented mechanisms and user co-creation, the system effectively enhances immersion, cultural identity, and learning outcomes. Experimental validation in a representative mine site confirms the feasibility of the proposed framework. While the study focuses on a single case, the modular and mechanism-based design indicates that the framework can be adapted to cultural tourism, educational communication, and community engagement applications. The key innovation lies in introducing an iterative “evidence–experience–co-creation” model, providing a new methodological reference for the digital reuse of abandoned mines and the sustainable preservation of industrial heritage. Full article
(This article belongs to the Section Tourism, Culture, and Heritage)
Show Figures

Figure 1

32 pages, 23468 KB  
Article
AI-Based Pre-Renewal Design for Historic Building Facades: An AIGC–LoRA Framework with Collaborative Assessment
by Wen Duan, Jiacheng Rao, Jiarong Zhao, Nan Tao and Jiangpeng Chen
Buildings 2025, 15(23), 4212; https://doi.org/10.3390/buildings15234212 - 21 Nov 2025
Viewed by 725
Abstract
Historic conservation areas face the challenge of balancing heritage preservation with modern adaptation, often resulting in irreversible risks. AIGC technology offers an effective solution to mitigate these renewal risks. Current methods struggle with three bottlenecks: a lack of high-quality datasets, difficulty integrating expert [...] Read more.
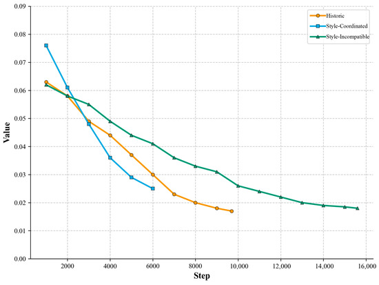
Historic conservation areas face the challenge of balancing heritage preservation with modern adaptation, often resulting in irreversible risks. AIGC technology offers an effective solution to mitigate these renewal risks. Current methods struggle with three bottlenecks: a lack of high-quality datasets, difficulty integrating expert and public preferences, and generating diverse proposals under complex preservation rules. This study proposes an AI-driven pre-renewal framework for building facades, which involves (1) virtual pre-renewal design using a large language model (LLM) to generate facade proposals based on “non-change,” “permissible,” and “prohibited” rules; (2) a multi-stakeholder evaluation system integrating expert and public judgments via the Bradley–Terry model; and (3) LoRA fine-tuning of Stable Diffusion XL to optimize facade generation. In the case study of the Shangxijie and Xiaxijie Historic Conservation Area of Jincheng Ancient Town, the framework was implemented in three stages. First, LLM-generated facades addressed data scarcity by adhering to preservation constraints. Second, an online platform integrated expert and public evaluations to refine the training dataset. Finally, LoRA fine-tuning improved the model’s contextual fidelity and stylistic coherence. Quantitative analysis showed that LoRA models outperformed the base model in authenticity and fidelity. Historic models achieved the highest fidelity (FID = 23.4, SSIM = 0.918, CLIPScore = 0.842), Style-Coordinated models performed stably (composite score = 0.82 ± 0.05, SSIM = 0.884), and Style-Incompatible models showed greater variability (mean = 0.78, SD = 0.09). The expert–public collaborative mechanism validated the iterative “generate–evaluate–refine” workflow as a sustainable approach for heritage facade renewal. Full article
Show Figures

Figure 1

15 pages, 2020 KB  
Article
3D Human Reconstruction from Monocular Vision Based on Neural Fields and Explicit Mesh Optimization
by Kaipeng Wang, Xiaolong Xie, Wei Li, Jie Liu and Zhuo Wang
Electronics 2025, 14(22), 4512; https://doi.org/10.3390/electronics14224512 - 18 Nov 2025
Viewed by 1482
Abstract
Three-dimensional Human Reconstruction from Monocular Vision is a key technology in Virtual Reality and digital humans. It aims to recover the 3D structure and pose of the human body from 2D images or video. Current methods for dynamic 3D reconstruction of the human [...] Read more.
Three-dimensional Human Reconstruction from Monocular Vision is a key technology in Virtual Reality and digital humans. It aims to recover the 3D structure and pose of the human body from 2D images or video. Current methods for dynamic 3D reconstruction of the human body, which are based on monocular views, have low accuracy and remain a challenging problem. This paper proposes a fast reconstruction method based on Instant Human Model (IHM) generation, which achieves highly realistic 3D reconstruction of the human body in arbitrary poses. First, the efficient dynamic human body reconstruction method, InstantAvatar, is utilized to learn the shape and appearance of the human body in different poses. However, due to its direct use of low-resolution voxels as canonical spatial human representations, it is not possible to achieve satisfactory reconstruction results on a wide range of datasets. Next, a voxel occupancy grid is initialized in the A-pose, and a voxel attention mechanism module is constructed to enhance the reconstruction effect. Finally, the Instant Human Model (IHM) method is employed to define continuous fields on the surface, enabling highly realistic dynamic 3D human reconstruction. Experimental results show that, compared to the representative InstantAvatar method, IHM achieves a 0.1% improvement in SSIM and a 2% improvement in PSNR on the PeopleSnapshot benchmark dataset, demonstrating improvements in both reconstruction quality and detail. Specifically, IHM, through voxel attention mechanisms and Mesh adaptive iterative optimization, achieves highly realistic 3D mesh models of human bodies in various poses while ensuring efficiency. Full article
(This article belongs to the Special Issue 3D Computer Vision and 3D Reconstruction)
Show Figures

Graphical abstract

15 pages, 1373 KB  
Article
Virtual Classrooms, Real Impact: A Framework for Introducing Virtual Reality to K–12 STEM Learning Based on Best Practices
by Tyler Ward, Kouroush Jenab, Jorge Ortega-Moody, Ghazal Barari and Lizeth Del Carmen Molina Acosta
Appl. Sci. 2025, 15(21), 11356; https://doi.org/10.3390/app152111356 - 23 Oct 2025
Cited by 2 | Viewed by 1620
Abstract
Virtual reality (VR) has emerged as a promising tool for transforming science, technology, engineering, and mathematics (STEM) education, yet its adoption in K–12 classrooms remains uneven and often limited to short-term pilots. While prior studies highlight VR’s potential to increase engagement and support [...] Read more.
Virtual reality (VR) has emerged as a promising tool for transforming science, technology, engineering, and mathematics (STEM) education, yet its adoption in K–12 classrooms remains uneven and often limited to short-term pilots. While prior studies highlight VR’s potential to increase engagement and support conceptual understanding, questions persist about scalability, sustainability, and equity in implementation. This paper addresses these gaps by synthesizing recent scholarship and proposing a structured framework of best practices for integrating VR into K–12 STEM education. Drawing on academic literature, U.S. policy reports, and case studies, we identify persistent challenges that include high costs, lack of teacher preparation, infrastructure disparities, and overlooked accessibility concerns. We use these findings to inform a phased implementation roadmap. Our framework emphasizes assessment and planning, technical integration, teacher preparation, student implementation, and iterative evaluation, providing actionable strategies for schools and districts. Results of this synthesis indicate that successful VR adoption requires coordinated attention to pedagogy, funding, professional development, and equity. We conclude that moving VR from isolated novelty projects to sustainable and equitable tools in STEM classrooms depends on aligning technology with curricular goals, investing in teacher pipelines, and embedding VR within long-term evaluation and improvement cycles. Full article
Show Figures

Figure 1

27 pages, 7085 KB  
Article
Reliability Assessment of High-Speed Train Gearbox Based on Digital Twin and WHO-WPHM
by Tengfei Wang, Yun Chen, Siying Li, Jinhe Lv, Yumei Liu, Jinyu Yang and Qiushi Yan
Sensors 2025, 25(20), 6418; https://doi.org/10.3390/s25206418 - 17 Oct 2025
Viewed by 481
Abstract
The gearbox is essential for power transmission in high-speed trains, and its reliability directly impacts operational safety. Accurate monitoring data and effective assessment methods are crucial for accurately assessing its reliability. This study is based on digital twin (DT) technology, precisely deploying virtual [...] Read more.
The gearbox is essential for power transmission in high-speed trains, and its reliability directly impacts operational safety. Accurate monitoring data and effective assessment methods are crucial for accurately assessing its reliability. This study is based on digital twin (DT) technology, precisely deploying virtual sensors to collect vibration data from critical measurement points accurately. By integrating the Wild Horse Optimizer (WHO) and the Weibull Proportional Hazards Model (WPHM), it achieved reliability assessment for a high-speed train gearbox. First, a DT framework for the high-speed train gearbox was established. Taking the gear pair, a critical power transmission component in the gearbox, as an example, a DT model of the gear pair was built on Ansys Twin Builder, virtual sensors were deployed at critical measurement points, and vibration acceleration data was collected. Then, a WPHM reliability assessment model was established, and the WHO was used to estimate and optimize the WPHM parameters. Finally, the response covariates reduced by the Local Tangent Space Alignment (LTSA) were used as model inputs, and the WPHM was applied to assess the reliability of critical parts based on the collected data. The web-deployed DT model was delivered within 13 s. This achieved a simulation acceleration factor of 2.35 × 104, compared to traditional methods. The number of iterations for the WOA was reduced by 62.9% compared to the WHO and by 48.1% compared to the HHO. The reliability assessment results align with the actual operating mileage status of the gear pair, thus validating the effectiveness and feasibility of this method. Full article
(This article belongs to the Section Fault Diagnosis & Sensors)
Show Figures

Figure 1

29 pages, 3369 KB  
Article
Longitudinal Usability and UX Analysis of a Multiplatform House Design Pipeline: Insights from Extended Use Across Web, VR, and Mobile AR
by Mirko Sužnjević, Sara Srebot, Mirta Moslavac, Katarina Mišura, Lovro Boban and Ana Jović
Appl. Sci. 2025, 15(19), 10765; https://doi.org/10.3390/app151910765 - 6 Oct 2025
Viewed by 1090
Abstract
Computer-Aided Design (CAD) software has long served as a foundation for planning and modeling in Architecture, Engineering, and Construction (AEC). In recent years, the introduction of Augmented Reality (AR) and Virtual Reality (VR) has significantly reshaped the CAD landscape, offering novel interaction paradigms [...] Read more.
Computer-Aided Design (CAD) software has long served as a foundation for planning and modeling in Architecture, Engineering, and Construction (AEC). In recent years, the introduction of Augmented Reality (AR) and Virtual Reality (VR) has significantly reshaped the CAD landscape, offering novel interaction paradigms that bridge the gap between digital prototypes and real-world spatial understanding. These technologies have enabled users to engage with 3D architectural content in more immersive and intuitive ways, facilitating improved decision making and communication throughout design workflows. As digital design services grow more complex and span multiple media platforms—from desktop-based modeling to immersive AR/VR environments—evaluating usability and User Experience (UX) becomes increasingly challenging. This paper presents a longitudinal usability and UX study of a multiplatform house design pipeline (i.e., structured workflow for creating, adapting, and delivering house designs so they can be used seamlessly across multiple platforms) comprising a web-based application for initial house creation, a mobile AR tool for contextual exterior visualization, and VR applications that allow full-scale interior exploration and configuration. Together, these components form a unified yet heterogeneous service experience across different devices and modalities. We describe the iterative design and development of this system over three distinct phases (lasting two years), each followed by user studies which evaluated UX and usability and targeted different participant profiles and design maturity levels. The paper outlines our approach to cross-platform UX evaluation, including methods such as the Think-Aloud Protocol (TAP), standardized usability metrics, and structured interviews. The results from the studies provide insight into user preferences, interaction patterns, and system coherence across platforms. From both participant and evaluator perspectives, the iterative methodology contributed to improvements in system usability and a clearer mental model of the design process. The main research question we address is how iterative design and development affects the UX of the heterogeneous service. Our findings highlight important considerations for future research and practice in the design of integrated, multiplatform XR services for AEC, with potential relevance to other domains. Full article
(This article belongs to the Special Issue Extended Reality (XR) and User Experience (UX) Technologies)
Show Figures

Figure 1

21 pages, 4397 KB  
Article
Splatting the Cat: Efficient Free-Viewpoint 3D Virtual Try-On via View-Decomposed LoRA and Gaussian Splatting
by Chong-Wei Wang, Hung-Kai Huang, Tzu-Yang Lin, Hsiao-Wei Hu and Chi-Hung Chuang
Electronics 2025, 14(19), 3884; https://doi.org/10.3390/electronics14193884 - 30 Sep 2025
Viewed by 1248
Abstract
As Virtual Try-On (VTON) technology matures, 2D VTON methods based on diffusion models can now rapidly generate diverse and high-quality try-on results. However, with rising user demands for realism and immersion, many applications are shifting towards 3D VTON, which offers superior geometric and [...] Read more.
As Virtual Try-On (VTON) technology matures, 2D VTON methods based on diffusion models can now rapidly generate diverse and high-quality try-on results. However, with rising user demands for realism and immersion, many applications are shifting towards 3D VTON, which offers superior geometric and spatial consistency. Existing 3D VTON approaches commonly face challenges such as barriers to practical deployment, substantial memory requirements, and cross-view inconsistencies. To address these issues, we propose an efficient 3D VTON framework with robust multi-view consistency, whose core design is to decouple the monolithic 3D editing task into a four-stage cascade as follows: (1) We first reconstruct an initial 3D scene using 3D Gaussian Splatting, integrating the SMPL-X model at this stage as a strong geometric prior. By computing a normal-map loss and a geometric consistency loss, we ensure the structural stability of the initial human model across different views. (2) We employ the lightweight CatVTON to generate 2D try-on images, that provide visual guidance for the subsequent personalized fine-tuning tasks. (3) To accurately represent garment details from all angles, we partition the 2D dataset into three subsets—front, side, and back—and train a dedicated LoRA module for each subset on a pre-trained diffusion model. This strategy effectively mitigates the issue of blurred details that can occur when a single model attempts to learn global features. (4) An iterative optimization process then uses the generated 2D VTON images and specialized LoRA modules to edit the 3DGS scene, achieving 360-degree free-viewpoint VTON results. All our experiments were conducted on a single consumer-grade GPU with 24 GB of memory, a significant reduction from the 32 GB or more typically required by previous studies under similar data and parameter settings. Our method balances quality and memory requirement, significantly lowering the adoption barrier for 3D VTON technology. Full article
(This article belongs to the Special Issue 2D/3D Industrial Visual Inspection and Intelligent Image Processing)
Show Figures

Figure 1

27 pages, 18541 KB  
Article
Integrating Design Thinking Approach and Simulation Tools in Smart Building Systems Education: A Case Study on Computer-Assisted Learning for Master’s Students
by Andrzej Ożadowicz
Computers 2025, 14(9), 379; https://doi.org/10.3390/computers14090379 - 9 Sep 2025
Viewed by 1218
Abstract
The rapid development of smart home and building technologies requires educational methods that facilitate the integration of theoretical knowledge with practical, system-level design skills. Computer-assisted tools play a crucial role in this process by enabling students to experiment with complex Internet of Things [...] Read more.
The rapid development of smart home and building technologies requires educational methods that facilitate the integration of theoretical knowledge with practical, system-level design skills. Computer-assisted tools play a crucial role in this process by enabling students to experiment with complex Internet of Things (IoT) and building automation ecosystems in a risk-free, iterative environment. This paper proposes a pedagogical framework that integrates simulation-based prototyping with collaborative and spatial design tools, supported by elements of design thinking and blended learning. The approach was implemented in a master’s-level Smart Building Systems course, to engage students in interdisciplinary projects where virtual modeling, digital collaboration, and contextualized spatial design were combined to develop user-oriented smart space concepts. Analysis of project outcomes and student feedback indicated that the use of simulation and visualization platforms may enhance technical competencies, creativity, and engagement. The proposed framework contributes to engineering education by demonstrating how computer-assisted environments can effectively support practice-oriented, user-centered learning. Its modular and scalable structure makes it applicable across IoT- and automation-focused curricula, aligning academic training with the hybrid workflows of contemporary engineering practice. Concurrently, areas for enhancement and modification were identified to optimize support for group and creative student work. Full article
(This article belongs to the Special Issue Recent Advances in Computer-Assisted Learning (2nd Edition))
Show Figures

Graphical abstract

18 pages, 5260 KB  
Article
Algorithmic Design in Architectural Heritage: Innovation in Virtual Reconstruction of the Roman Forum Transitorium in Musti, Tunisia
by Jakub Franczuk and Krzysztof Koszewski
Heritage 2025, 8(9), 362; https://doi.org/10.3390/heritage8090362 - 4 Sep 2025
Viewed by 1517
Abstract
Digital technologies significantly influence architectural heritage perception, preservation, and presentation, particularly in reconstructing fragmented archaeological sites. This study explores innovative applications of algorithmic design, Heritage Building Information Modelling (HBIM), and interactive visualisation through the virtual reconstruction of the Roman Forum Transitorium in Musti, [...] Read more.
Digital technologies significantly influence architectural heritage perception, preservation, and presentation, particularly in reconstructing fragmented archaeological sites. This study explores innovative applications of algorithmic design, Heritage Building Information Modelling (HBIM), and interactive visualisation through the virtual reconstruction of the Roman Forum Transitorium in Musti, Tunisia—a complex historical site influenced by Numidian, Roman, and Byzantine cultures. The research integrates algorithmic modelling, digital surveying, and cloud-based collaboration, employing software tools such as Archicad, Rhino, Grasshopper, and Virtual Tour platforms. Central to this approach is a parametric, hypothesis-driven methodology, enabling the iterative exploration of multiple reconstruction scenarios informed by historical sources, architectural analyses, and scanned archaeological fragments. Immersive technologies enhance user engagement, allowing for the transparent exploration and interpretation of the site’s historical uncertainties. The results highlight the effectiveness of algorithmic methods in managing interpretative variability, offering flexible, academically rigorous, and publicly accessible virtual reconstructions. By emphasising the hypothetical nature of digital reconstructions and interactive visualisations, this research contributes meaningfully to digital archaeology, demonstrating how innovative algorithmic approaches can bridge academic scholarship and broader heritage preservation practices. Full article
Show Figures

Figure 1

22 pages, 3866 KB  
Article
Development of a BIM-Based Metaverse Virtual World for Collaborative Architectural Design
by David Stephen Panya, Taehoon Kim, Soon Min Hong and Seungyeon Choo
Architecture 2025, 5(3), 71; https://doi.org/10.3390/architecture5030071 - 1 Sep 2025
Viewed by 2005
Abstract
The rapid evolution of the metaverse is driving the development of new digital design tools that integrate Computer-Aided Design (CAD) and Building Information Modeling (BIM) technologies. Core technologies such as Virtual Reality (VR), Augmented Reality (AR), and Mixed Reality (MR) are increasingly combined [...] Read more.
The rapid evolution of the metaverse is driving the development of new digital design tools that integrate Computer-Aided Design (CAD) and Building Information Modeling (BIM) technologies. Core technologies such as Virtual Reality (VR), Augmented Reality (AR), and Mixed Reality (MR) are increasingly combined with BIM to enhance collaboration and innovation in design and construction workflows. However, current BIM–VR integration often remains limited to isolated tasks, lacking persistent, multi-user environments that support continuous project collaboration. This study proposes a BIM-based Virtual World (VW) framework that addresses these limitations by creating an immersive, real-time collaborative platform for the Architecture, Engineering, and Construction (AEC) industry. The system enables multi-user access to BIM data through avatars, supports direct interaction with 3D models and associated metadata, and maintains a persistent virtual environment that evolves alongside project development. Key functionalities include interactive design controls, real-time decision-making support, and integrated training capabilities. A prototype was developed using Unreal Engine and supporting technologies to validate the approach. The results demonstrate improved interdisciplinary collaboration, reduced information loss during design iteration, and enhanced stakeholder engagement. This research highlights the potential of BIM-based Virtual Worlds to transform AEC collaboration by fostering an open, scalable ecosystem that bridges immersive environments with data-driven design and construction processes. Full article
(This article belongs to the Special Issue Architecture in the Digital Age)
Show Figures

Figure 1

36 pages, 23215 KB  
Article
Development of a 6-DoF Driving Simulator with an Open-Source Architecture for Automated Driving Research and Standardized Testing
by Martin Meiners, Benedikt Isken and Edwin N. Kamau
Vehicles 2025, 7(3), 86; https://doi.org/10.3390/vehicles7030086 - 21 Aug 2025
Viewed by 2524
Abstract
This study presents the development of an open-source Driver-in-the-Loop simulation platform, specifically designed to test and analyze advanced automated driving functions. We emphasize the creation of a versatile system architecture that ensures seamless integration and interchangeability of components, supporting diverse research needs. Central [...] Read more.
This study presents the development of an open-source Driver-in-the-Loop simulation platform, specifically designed to test and analyze advanced automated driving functions. We emphasize the creation of a versatile system architecture that ensures seamless integration and interchangeability of components, supporting diverse research needs. Central to the simulator’s configuration is a hexapod motion platform with six degrees of freedom, chosen through a detailed benchmarking process to ensure dynamic accuracy and fidelity. The simulator employs a half-vehicle cabin, providing an immersive environment where drivers can interact with authentic human–machine interfaces such as pedals, steering, and gear shifters. By projecting complex driving scenarios onto a curved screen, drivers engage with critical maneuvers in a controlled virtual environment. Key innovations include the integration of a motion cueing algorithm and an adaptable, cost-effective open-source framework, facilitating collaboration among researchers and industry experts. The platform enables standardized testing and offers a robust solution for the iterative development and validation of automated driving technologies. Functionality and effectiveness were validated through testing with the ISO lane change maneuver, affirming the simulator’s capabilities. Full article
(This article belongs to the Special Issue Advanced Vehicle Dynamics and Autonomous Driving Applications)
Show Figures

Figure 1

29 pages, 1917 KB  
Perspective
A Perspective on Software-in-the-Loop and Hardware-in-the-Loop Within Digital Twin Frameworks for Automotive Lighting Systems
by George Balan, Philipp Neninger, Enrique Ruiz Zúñiga, Elena Serea, Dorin-Dumitru Lucache and Alexandru Sălceanu
Appl. Sci. 2025, 15(15), 8445; https://doi.org/10.3390/app15158445 - 30 Jul 2025
Cited by 2 | Viewed by 2311
Abstract
The increasing complexity of modern automotive lighting systems requires advanced validation strategies that ensure both functional performance and regulatory compliance. This study presents a structured integration of Software-in-the-Loop (SiL) and Hardware-in-the-Loop (HiL) testing within a digital twin (DT) framework for validating headlamp systems. [...] Read more.
The increasing complexity of modern automotive lighting systems requires advanced validation strategies that ensure both functional performance and regulatory compliance. This study presents a structured integration of Software-in-the-Loop (SiL) and Hardware-in-the-Loop (HiL) testing within a digital twin (DT) framework for validating headlamp systems. A gated validation process (G10–G120) is proposed, aligning each development phase with corresponding simulation stages from early requirements and concept validation to real-world scenario testing and continuous integration. A key principle of this approach is the adoption of a framework built upon the V-Cycle, adapted to integrate DT technology with SiL and HiL workflows. This architectural configuration ensures a continuous data flow between the physical system, the digital twin, and embedded software components, enabling real-time feedback, iterative model refinement, and traceable system verification throughout the development lifecycle. The paper also explores strategies for effective DT integration, such as digital twin-as-a-service, which combines virtual testing with physical validation to support earlier fault detection, streamlined simulation workflows, and reduced dependency on physical prototypes during lighting system development. Unlike the existing literature, which often treats SiL, HiL, and DTs in isolation, this work proposes a unified, domain-specific validation framework. The methodology addresses a critical gap by aligning simulation-based testing with development milestones and regulatory standards, offering a foundation for industrial adoption. Full article
Show Figures

Figure 1

36 pages, 4529 KB  
Article
Enhancing International B2B Sales Training in the Wine Sector Through Collaborative Virtual Reality: A Case Study from Marchesi Antinori
by Irene Capecchi, Tommaso Borghini, Danio Berti, Silvia Ranfagni and Iacopo Bernetti
J. Theor. Appl. Electron. Commer. Res. 2025, 20(2), 146; https://doi.org/10.3390/jtaer20020146 - 16 Jun 2025
Viewed by 1443
Abstract
This study aims to identify and evaluate the essential design features, strengths, and limitations of a virtual reality (VR) application that has been developed to train an international sales force effectively for a premium global wine brand. The study emphasizes the value of [...] Read more.
This study aims to identify and evaluate the essential design features, strengths, and limitations of a virtual reality (VR) application that has been developed to train an international sales force effectively for a premium global wine brand. The study emphasizes the value of stakeholder-driven iterative development and systematic evaluations. A case study methodology was adopted for the research, focusing on a VR training application, developed for Marchesi Antinori. The Scrum framework was employed to facilitate iterative stakeholder collaboration. A qualitative evaluation was conducted using focus groups, comprising marketing, communications, and sales representatives. A systematic application of natural language processing (NLP) embedding techniques and recursive clustering analyses was undertaken to interpret stakeholder feedback. The findings suggest that stakeholder-driven, iterative processes can significantly enhance the effectiveness of VR applications by providing a clear structure for immersive storytelling that focuses on terroir characteristics, vineyard operations, and cellar practices. Stakeholders acknowledged the potent educational benefits of VR in regard to business-to-business (B2B) sales training. However, they also highlighted significant limitations, including user discomfort, concerns about authenticity, and variations in market receptivity. Alternative immersive technologies, including augmented reality and immersive multimedia environments, have emerged as valuable complementary approaches. This study addresses a significant gap in the literature by examining the application of VR technology for B2B sales training in the premium wine industry. The study integrates an iterative Scrum methodology with advanced natural language processing (NLP) analytical techniques to derive nuanced, context-rich insights. Full article
Show Figures

Figure 1

35 pages, 2584 KB  
Article
A Framework for Participatory Creation of Digital Futures: A Longitudinal Study on Enhancing Media Literacy and Inclusion in K-12 Through Virtual Reality
by Chrysoula Lazou and Avgoustos Tsinakos
Information 2025, 16(6), 482; https://doi.org/10.3390/info16060482 - 11 Jun 2025
Cited by 2 | Viewed by 2858
Abstract
The present study explores the affordances of virtual reality (VR) technologies to enhance digital and media literacy skills within an interdisciplinary and inclusive K-12 English as a Foreign Language (EFL) learning context. Addressing gaps in research on the design and impact of VR [...] Read more.
The present study explores the affordances of virtual reality (VR) technologies to enhance digital and media literacy skills within an interdisciplinary and inclusive K-12 English as a Foreign Language (EFL) learning context. Addressing gaps in research on the design and impact of VR experiences in secondary education, the study investigates VR affordances not only as a learning tool, but also as a medium for knowledge co-creation through learning by doing, with students acting as the agents within digital social contexts. The study was conducted for two years, with 59 participants aged 13–14 years old, following a structured five-phase intervention model with the intent to comply with DigComp 2.2 guidelines for digital citizenship and the Universal Design for Learning (UDL) for inclusive educational practices. The phases involved (a) training on the technological level to leverage digital tools; (b) media and information literacy (MIL) instruction in VR; (c) collaborative VR artifact creation; (d) peer evaluation; and (e) dissemination with peers from other sociocultural contexts for an iterative process of continuous content improvement and social discourse. Mixed methods data collection included pre/post-course surveys, pre/post-tests, observation journals, and student-generated VR artifact evaluations. The findings indicate consistent learning gains across both years, with an average pre–post gain of 18 points (Cohen’s d = −2.25; t = −17.3, p < 0.001). The VR-supported intervention fostered complex skillset building within a VR-supported dynamic learning environment that caters to diverse needs. Students’ reflections informed a framework for designing inclusive media literacy in VR, structured around three main pillars: Narrative Structure, Strategic Design, and Representation Awareness. These themes encapsulate the practical, cognitive, and ethical dimensions of VR design. Sub-themes with examples contribute to understanding the key design elements of VR in promoting participatory engagement, digital and media literacy, critical discourse, and inclusive education. The sub-themes per pillar are signaling and multisensory cues, storyline, and artful thinking; schema formation, multimedia encoding, and optimal cognitive load; and bias-free, respect for emotional impact, and language and symbols. Complementary quantitative findings confirmed the themes of the proposed framework, revealing a positive correlation between the perceived ease of use (PEoU) with digital skills development and a negative correlation between perceived usefulness (PU) and cognitive load. The study concludes with recommendations for pedagogy, curriculum design, and future research to empower learners in shaping sustainable digital futures. Full article
Show Figures

Graphical abstract

Back to TopTop