Sign in to use this feature.

Years

Between: -

Subjects

remove_circle_outline
remove_circle_outline
remove_circle_outline
remove_circle_outline
remove_circle_outline
remove_circle_outline
remove_circle_outline
remove_circle_outline
remove_circle_outline

Journals

remove_circle_outline
remove_circle_outline
remove_circle_outline
remove_circle_outline
remove_circle_outline
remove_circle_outline

Article Types

Countries / Regions

remove_circle_outline
remove_circle_outline
remove_circle_outline
remove_circle_outline

Search Results (439)

Search Parameters:
Keywords = vegetation 3D structure

Order results
Result details
Results per page
Select all
Export citation of selected articles as:
18 pages, 7030 KB  
Article
Soil Properties and Bacterial Community Responses to Herb Vegetation Succession Beneath Sand-Fixation Plantations in a Sandy Grassland, NE China
by Cong Chen, Ying Zhang, Zhenbo Cui and Chengyou Cao
Agronomy 2026, 16(3), 342; https://doi.org/10.3390/agronomy16030342 - 30 Jan 2026
Abstract
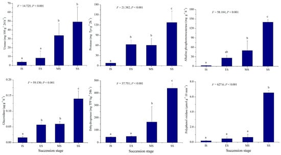
Establishing shrub plantations on mobile sand dunes is an effective strategy to combat desertification in semi-arid regions. Herbaceous communities developing beneath these plantations enhance ecosystem stability and improve revegetation outcomes. This study investigated the structural responses of soil bacterial communities, key functional genes [...] Read more.
Establishing shrub plantations on mobile sand dunes is an effective strategy to combat desertification in semi-arid regions. Herbaceous communities developing beneath these plantations enhance ecosystem stability and improve revegetation outcomes. This study investigated the structural responses of soil bacterial communities, key functional genes (nifH, amoA, and phoD), and plant–soil–microbe interactions across a herbaceous vegetation succession gradient (initiation, early, middle, and stable stages) under Caragana microphylla sand-fixation plantations in the sandy Horqin Grassland. The results revealed that plant species richness, diversity, and biomass increased progressively with succession. Concurrent improvements in soil nutrients (organic matter, nitrogen, phosphorus, and potassium) and enzymatic activities (urease, protease, phosphatase, glucosidase, polyphenol oxidase, and dehydrogenase) were observed. The abundances of nifH, amoA, and phoD genes rose progressively with vegetation succession, contributing to enhanced soil nutrient levels. All dominant bacterial phyla and genera detected constituted shared taxa across successional stages, but their relative abundances shifted dynamically. Herbaceous succession facilitated rapid restoration of bacterial diversity, though structural recovery lagged, depending on the quantitative fluctuations of the dominant taxa. Soil pH, organic matter, electrical conductivity, total N, total P, available P, and available K all significantly influenced the soil bacterial community, with pH and organic matter being the most influential factors. These findings highlight plant–soil–microbe interactions as intrinsic drivers of vegetation succession in desertified ecosystems. Full article
(This article belongs to the Special Issue Multifunctionality of Grassland Soils: Opportunities and Challenges)
Show Figures

Figure 1

15 pages, 1319 KB  
Article
A Machine Learning-Validated Comparison of LAI Estimation Methods for Urban–Agricultural Vegetation Using Multi-Temporal Sentinel-2 Imagery in Tashkent, Uzbekistan
by Bunyod Mamadaliev, Nikola Kranjčić, Sarvar Khamidjonov and Nozimjon Teshaev
Land 2026, 15(2), 232; https://doi.org/10.3390/land15020232 - 29 Jan 2026
Abstract
Accurate estimation of Leaf Area Index (LAI) is essential for monitoring vegetation structure and ecosystem services in urban and peri-urban environments, particularly in small, heterogeneous patches typical of semi-arid cities. This study presents a comparative assessment of four empirical LAI estimation methods—NDVI-based, NDVI-advanced, [...] Read more.
Accurate estimation of Leaf Area Index (LAI) is essential for monitoring vegetation structure and ecosystem services in urban and peri-urban environments, particularly in small, heterogeneous patches typical of semi-arid cities. This study presents a comparative assessment of four empirical LAI estimation methods—NDVI-based, NDVI-advanced, SAVI-based, and EVI-based methods—applied to atmospherically corrected Sentinel-2 Level-2A imagery (10 m spatial resolution) over a 0.045 km2 urban–agricultural polygon in the Tashkent region, Uzbekistan. Multi-temporal observations acquired during the 2023 growing season (June–August) were used to examine intra-seasonal vegetation dynamics. In the absence of field-measured LAI, a Random Forest regression model was implemented as an inter-method consistency analysis to assess agreement among index-derived LAI estimates rather than to perform external validation. Statistical comparisons revealed highly systematic and practically significant differences between methods, with the EVI-based approach producing the highest and most dynamically responsive LAI values (mean LAI = 1.453) and demonstrating greater robustness to soil background and atmospheric effects. Mean LAI increased by 66.7% from June to August, reflecting irrigation-driven crop phenology in the semi-arid study area. While the results indicate that EVI provides the most reliable relative LAI estimates for small urban–agricultural patches, the absence of ground-truth data and the influence of mixed pixels at 10 m resolution remain key limitations. This study offers a transferable methodological framework for comparative LAI assessment in data-scarce urban environments and provides a basis for future integration with field measurements, higher-resolution imagery, and LiDAR-based 3D vegetation models. Full article
Show Figures

Figure 1

16 pages, 2803 KB  
Article
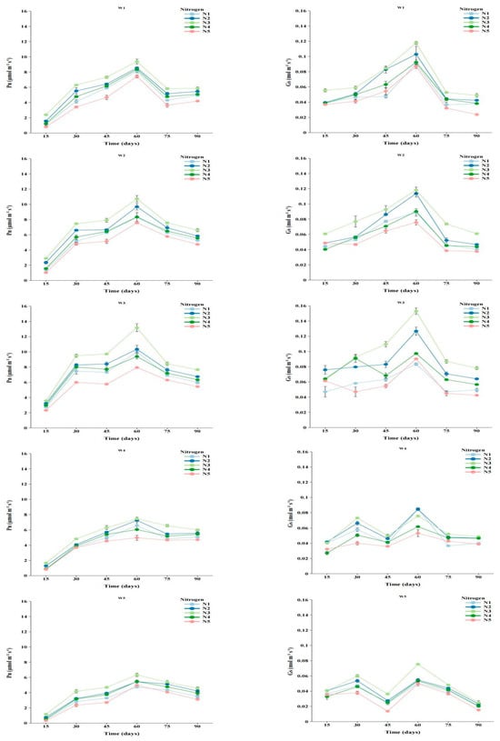
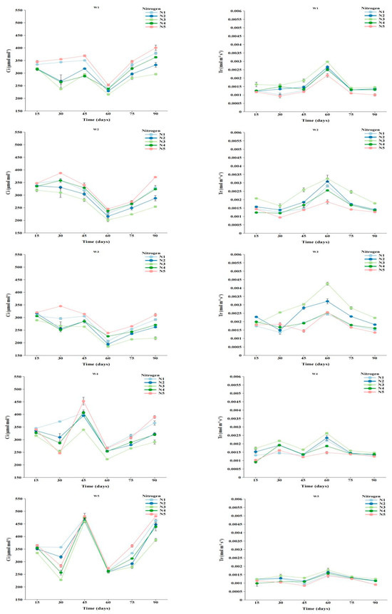
Coupling Effects of Water and Nitrogen on the Morphological Plasticity and Photosynthetic Physiology of Piptanthus nepalensis Seedlings: Implications for Ecological Restoration on the Qinghai–Tibet Plateau
by Yanying Han, Minghang Hu, Wenqiang Huang, Zheng Wu, Lingchen Tong, Shaobing Zhang and Yanhui Ye
Nitrogen 2026, 7(1), 16; https://doi.org/10.3390/nitrogen7010016 - 29 Jan 2026
Abstract
Water and nitrogen supply are key factors limiting the establishment of alpine plant seedlings and the efficiency of ecological restoration on the Tibetan Plateau. As an endemic shrub to Tibet, the morphological and physiological response mechanisms of Piptanthus nepalensis (Hook.) D. Don to [...] Read more.
Water and nitrogen supply are key factors limiting the establishment of alpine plant seedlings and the efficiency of ecological restoration on the Tibetan Plateau. As an endemic shrub to Tibet, the morphological and physiological response mechanisms of Piptanthus nepalensis (Hook.) D. Don to coupled water and nitrogen stress remain poorly understood. This study employed a pot experiment with a completely randomized two-factor design, incorporating five water gradients (0–100% field capacity, FC) and five nitrogen levels (0–4 g·plant−1 urea). The aim was to elucidate the regulatory mechanisms of water/nitrogen coupling on Piptanthus nepalensis growth, physiology, and morphogenesis. The results indicated the following: (1) A significant water/nitrogen coupling effect was observed, with optimal water/nitrogen combinations producing pronounced synergistic effects. Principal component analysis (PCA) revealed that the first two axes cumulatively explained 99.32% of the morphological variation. The W3N3 treatment (40–60% FC water + 2 g·plant−1 nitrogen) exhibited optimal growth traits and maximum leaf elongation, establishing the optimal water and fertilizer management threshold for this species. (2) Confronted with two starkly contrasting stresses—drought (W4, W5) and waterlogging (W1)—plants adopted convergent “conservative” morphological adaptation strategies (significantly reduced leaf length and width) to lower metabolic expenditure. (3) Photosynthetic physiological analysis revealed that under extreme water deficiency (W5) or waterlogging (W1) stress, intercellular CO2 concentration (Ci) paradoxically increased, indicating a shift in photosynthetic suppression mechanisms from stomatal limitation to non-stomatal limitation (metabolic injury). (4) The Mantel Test confirmed that photosynthetic physiological traits significantly drove morphological trait variation (p < 0.001), establishing a close feedback loop between “physiological function and morphological structure”. Conclusions: Moderate water deficit (40–60% FC) combined with moderate nitrogen fertilization (2 g·plant−1) effectively alleviates non-stomatal limitation and releases morphological constraints, thereby promoting rapid growth in Piptanthus nepalensis. This study reveals the phenotypic plasticity and convergent adaptation mechanisms of Piptanthus nepalensis under water/nitrogen co-stress, providing precise water and fertilizer management guidelines for vegetation restoration in degraded ecosystems of Tibet. Full article
Show Figures

Figure 1

18 pages, 5889 KB  
Article
High-Resolution Mapping Coastal Wetland Vegetation Using Frequency-Augmented Deep Learning Method
by Ning Gao, Xinyuan Du, Peng Xu, Erding Gao and Yixin Yang
Remote Sens. 2026, 18(2), 247; https://doi.org/10.3390/rs18020247 - 13 Jan 2026
Viewed by 137
Abstract
Coastal wetland vegetation exhibits pronounced spectral mixing, complex mosaic spatial patterns, and small target sizes, posing considerable challenges for fine-grained classification in high-resolution UAV imagery. At present, remote sensing classification of ground objects based on deep learning mainly relies on spectral and structural [...] Read more.
Coastal wetland vegetation exhibits pronounced spectral mixing, complex mosaic spatial patterns, and small target sizes, posing considerable challenges for fine-grained classification in high-resolution UAV imagery. At present, remote sensing classification of ground objects based on deep learning mainly relies on spectral and structural features, while the frequency domain features of ground objects are not fully considered. To address these issues, this study proposes a vegetation classification model that integrates spatial-domain and frequency-domain features. The model enhances global contextual modeling through a large-kernel convolution branch, while a frequency-domain interaction branch separates and fuses low-frequency structural information with high-frequency details. In addition, a shallow auxiliary supervision module is introduced to improve local detail learning and stabilize training. With a compact parameter scale suitable for real-world deployment, the proposed framework effectively adapts to high-resolution remote sensing scenarios. Experiments on typical coastal wetland vegetation including Reeds, Spartina alterniflora, and Suaeda salsa demonstrate that the proposed method consistently outperforms representative segmentation models such as UNet, DeepLabV3, TransUNet, SegFormer, D-LinkNet, and MCCA across multiple metrics including Accuracy, Recall, F1 Score, and mIoU. Overall, the results show that the proposed model effectively addresses the challenges of subtle spectral differences, pervasive species mixture, and intricate structural details, offering a robust and efficient solution for UAV-based wetland vegetation mapping and ecological monitoring. Full article
Show Figures

Figure 1

23 pages, 5201 KB  
Article
HiFiRadio: High-Fidelity Radio Map Reconstruction for 3D Real-World Scenes
by Ke Liao, Mengyu Ma, Luo Chen, Yifan Zhang and Ning Jing
Technologies 2026, 14(1), 58; https://doi.org/10.3390/technologies14010058 - 12 Jan 2026
Viewed by 211
Abstract
The reconstruction of high-fidelity radio maps is pivotal for wireless network planning but remains challenging due to the tension between physical accuracy and computational efficiency. We propose HiFiRadio, a novel framework that achieves a breakthrough in this balance by integrating centimeter-resolution 3D environmental [...] Read more.
The reconstruction of high-fidelity radio maps is pivotal for wireless network planning but remains challenging due to the tension between physical accuracy and computational efficiency. We propose HiFiRadio, a novel framework that achieves a breakthrough in this balance by integrating centimeter-resolution 3D environmental meshes with semantic-aware propagation modeling. At its core, HiFiRadio introduces a semantic-enhanced 3D indexing structure that efficiently manages complex terrain data, enabling real-time classification of signal paths into line-of-sight, non-line-of-sight, and vegetation-obstructed categories. This classification directly guides a hybrid propagation model, which dynamically applies dedicated loss calculations for buildings and foliage, grounded in physical principles. Extensive experiments demonstrate that HiFiRadio attains an accuracy comparable to commercial ray-tracing tools while being orders of magnitude faster. It also significantly outperforms existing learning-based baselines in both accuracy and scalability, a claim further validated by field measurements. By making high-fidelity, real-time radio map reconstruction practical for large-scale scenes, HiFiRadio establishes a new state of the art with immediate applications in network planning, UAV pathing, and dynamic spectrum access. Full article
(This article belongs to the Topic Challenges and Future Trends of Wireless Networks)
Show Figures

Figure 1

54 pages, 8516 KB  
Review
Interdisciplinary Applications of LiDAR in Forest Studies: Advances in Sensors, Methods, and Cross-Domain Metrics
by Nadeem Fareed, Carlos Alberto Silva, Izaya Numata and Joao Paulo Flores
Remote Sens. 2026, 18(2), 219; https://doi.org/10.3390/rs18020219 - 9 Jan 2026
Viewed by 545
Abstract
Over the past two decades, Light Detection and Ranging (LiDAR) technology has evolved from early National Aeronautics and Space Administration (NASA)-led airborne laser altimetry into commercially mature systems that now underpin vegetation remote sensing across scales. Continuous advancements in laser engineering, signal processing, [...] Read more.
Over the past two decades, Light Detection and Ranging (LiDAR) technology has evolved from early National Aeronautics and Space Administration (NASA)-led airborne laser altimetry into commercially mature systems that now underpin vegetation remote sensing across scales. Continuous advancements in laser engineering, signal processing, and complementary technologies—such as Inertial Measurement Units (IMU) and Global Navigation Satellite Systems (GNSS)—have yielded compact, cost-effective, and highly sophisticated LiDAR sensors. Concurrently, innovations in carrier platforms, including uncrewed aerial systems (UAS), mobile laser scanning (MLS), Simultaneous Localization and Mapping (SLAM) frameworks, have expanded LiDAR’s observational capacity from plot- to global-scale applications in forestry, precision agriculture, ecological monitoring, Above Ground Biomass (AGB) modeling, and wildfire science. This review synthesizes LiDAR’s cross-domain capabilities for the following: (a) quantifying vegetation structure, function, and compositional dynamics; (b) recent sensor developments encompassing ALS discrete-return (ALSD), and ALS full-waveform (ALSFW), photon-counting LiDAR (PCL), emerging multispectral LiDAR (MSL), and hyperspectral LiDAR (HSL) systems; and (c) state-of-the-art data processing and fusion workflows integrating optical and radar datasets. The synthesis demonstrates that many LiDAR-derived vegetation metrics are inherently transferable across domains when interpreted within a unified structural framework. The review further highlights the growing role of artificial-intelligence (AI)-driven approaches for segmentation, classification, and multitemporal analysis, enabling scalable assessments of vegetation dynamics at unprecedented spatial and temporal extents. By consolidating historical developments, current methodological advances, and emerging research directions, this review establishes a comprehensive state-of-the-art perspective on LiDAR’s transformative role and future potential in monitoring and modeling Earth’s vegetated ecosystems. Full article
(This article belongs to the Special Issue Digital Modeling for Sustainable Forest Management)
Show Figures

Graphical abstract

23 pages, 52765 KB  
Article
GNSS NRTK, UAS-Based SfM Photogrammetry, TLS and HMLS Data for a 3D Survey of Sand Dunes in the Area of Caleri (Po River Delta, Italy)
by Massimo Fabris and Michele Monego
Land 2026, 15(1), 95; https://doi.org/10.3390/land15010095 - 3 Jan 2026
Viewed by 297
Abstract
Coastal environments are fragile ecosystems threatened by various factors, both natural and anthropogenic. The preservation and protection of these environments, and in particular, the sand dune systems, which contribute significantly to the defense of the inland from flooding, require continuous monitoring. To this [...] Read more.
Coastal environments are fragile ecosystems threatened by various factors, both natural and anthropogenic. The preservation and protection of these environments, and in particular, the sand dune systems, which contribute significantly to the defense of the inland from flooding, require continuous monitoring. To this end, high-resolution and high-precision multitemporal data acquired with various techniques can be used, such as, among other things, the global navigation satellite system (GNSS) using the network real-time kinematic (NRTK) approach to acquire 3D points, UAS-based structure-from-motion photogrammetry (SfM), terrestrial laser scanning (TLS), and handheld mobile laser scanning (HMLS)-based light detection and ranging (LiDAR). These techniques were used in this work for the 3D survey of a portion of vegetated sand dunes in the Caleri area (Po River Delta, northern Italy) to assess their applicability in complex environments such as coastal vegetated dune systems. Aerial-based and ground-based acquisitions allowed us to produce point clouds, georeferenced using common ground control points (GCPs), measured both with the GNSS NRTK method and the total station technique. The 3D data were compared to each other to evaluate the accuracy and performance of the different techniques. The results provided good agreement between the different point clouds, as the standard deviations of the differences were lower than 9.3 cm. The GNSS NRTK technique, used with the kinematic approach, allowed for the acquisition of the bare-ground surface but at a cost of lower resolution. On the other hand, the HMLS represented the poorest ability in the penetration of vegetation, providing 3D points with the highest elevation value. UAS-based and TLS-based point clouds provided similar average values, with significant differences only in dense vegetation caused by a very different platform of acquisition and point of view. Full article
(This article belongs to the Special Issue Digital Earth and Remote Sensing for Land Management, 2nd Edition)
Show Figures

Figure 1

17 pages, 983 KB  
Article
Associations Between Human Milk Oligosaccharides and Maternal Nutrition: Latvian Study
by Līva Aumeistere, Kristīne Majore, Anete Keke, Annamarija Driksna, Svetlana Aleksejeva and Inga Ciprovica
Nutrients 2026, 18(1), 136; https://doi.org/10.3390/nu18010136 - 31 Dec 2025
Viewed by 319
Abstract
Background/Objectives: HMOs are the third most abundant solid component after lactose and fats in human milk. This study aimed to examine the relationships between maternal diet and HMO composition and concentration in human milk among lactating women in Latvia. Methods: Pooled [...] Read more.
Background/Objectives: HMOs are the third most abundant solid component after lactose and fats in human milk. This study aimed to examine the relationships between maternal diet and HMO composition and concentration in human milk among lactating women in Latvia. Methods: Pooled 24 h human milk samples, 72 h food diaries, and questionnaires on anthropometric and sociodemographic characteristics were collected from 68 exclusively breastfeeding women residing in Latvia. HMOs were analyzed by UHPLC/FLD, and dietary data were analyzed using the Estonian NutriData program. Results: The eight most abundant HMO structures were determined with total concentration ranging between 178.66 and 32,910.09 mg L−1. 2′-FL was the most prevalent HMO in human milk (median concentration—3647 mg L−1), followed by 3′-FL (1436.74 mg L−1). Participants had an insufficient intake of vegetables, fruits, berries, milk and dairy products, and fish, leading to vitamin A, vitamin C, folate, and iodine intakes lower than recommended for lactating women. Limitation or exclusion of milk and dairy products from the diet was associated with a higher 2′-FL concentration in human milk (p = 0.037). Preference for “zero sugar” products was associated with a higher 3′-FL, 6′-GL, LNnT, 6′-SL, LNDFH II concentration in human milk (p < 0.050). Dietary supplement use (e.g., vitamin D, calcium) was also associated with differences in HMO composition and concentration in milk (p < 0.050). Conclusions: The findings highlight the importance of dietary habits and supplement use in shaping HMO profiles, though more human milk samples and dietary data need to be evaluated to draw further conclusions. Full article
(This article belongs to the Section Nutrition in Women)
Show Figures

Figure 1

19 pages, 4455 KB  
Article
Structural Elucidation of a Novel Pectic Polysaccharide from Zizyphus jujuba cv. Muzao, a Potential Natural Stabiliser
by Zheng Ye, Wenjing Wang, Yumei Li, Chun Yang and Kai Mao
Plants 2026, 15(1), 59; https://doi.org/10.3390/plants15010059 - 24 Dec 2025
Viewed by 362
Abstract
The pH of fruit and vegetable juices is usually around 4.0. To adapt to the pH of fruit and vegetable juices, we developed a highly branched pectin as a natural stabiliser, whose polarity is well suited to conditions under weakly acidic conditions. The [...] Read more.
The pH of fruit and vegetable juices is usually around 4.0. To adapt to the pH of fruit and vegetable juices, we developed a highly branched pectin as a natural stabiliser, whose polarity is well suited to conditions under weakly acidic conditions. The pectin content of jujube is high (about 2.0%), in which the polysaccharide content of Muzao (2.0–4.8%) is generally higher than the average value of the jujube. To separate the weak polar pectin in jujube, we extracted the crude polysaccharide (ZMP) with 4 times the volume of alcohol. Then we used Diethylaminoethyl (DEAE) cellulose (DEAE-52) ion-exchange chromatography to separate ZMP, and selected the fraction eluted with 0.2 M NaCl for gel purification to obtain ZMP2. After the hydrolysis of ZMP2 with TFA, four fractions, namely ZMP2n5, ZMP2y5, ZMP2n1, and ZMP2y1, were obtained. The purity, molecular weight, and monosaccharide composition of the above four fractions were determined. It was found that each fraction of ZMP2 contained large amounts of galacturonic acid (GalA) and glucuronic acid (GlcA), indicating that ZMP2 was most likely pectin, making it the natural, polar stabiliser we sought. To further determine the primary structure of ZMP2, we also performed FT-IR spectroscopy; methylation; one-dimensional mapping, including Proton Nuclear Magnetic Resonance (1H NMR), Carbon-13 Nuclear Magnetic Resonance (13C NMR) and Distortionless Enhancement by Polarization Transfer 135 (DEPT 135); and two-dimensional mapping, including Correlation Spectroscopy (1H-1H COSY), Heteronuclear Single Quantum Coherence (HSQC), Heteronuclear Multiple-Bond Correlation (HMBC), and Nuclear Overhauser Effect Spectroscopy (NOESY). In summary, the primary structure of ZMP2 should be as follows: the main chain is connected as →4)-α-D-GalAp-(1→3)-β-D-Galp-(1→, while the end glycosidic bonds of α-D-Galp-(1→ and α-L-Araf-(1→5)-α-L-Araf-(1→ are attached to the main chain by O-3 and O-6 bonds from →3,4)-α-D-GalAp-(1→ and →3,6)-β-D-GalAp-(1→, respectively. Full article
(This article belongs to the Special Issue Advances in Jujube Research, Second Edition)
Show Figures

Figure 1

34 pages, 9122 KB  
Article
Construction of Green Volume Quantity and Equity Indicators for Urban Areas at Both Regional and Neighborhood Scales: A Case Study of Major Cities in China
by Zixuan Zhou, Anqi Chen, Tianyue Zhu and Wei Zhang
Land 2026, 15(1), 35; https://doi.org/10.3390/land15010035 - 23 Dec 2025
Viewed by 379
Abstract
Current urban green volume quantity and equity evaluations primarily rely on two-dimensional (2D) indicators that capture the planar distribution characteristics but overlook vertical structure variations. This study constructed a three-dimensional (3D) evaluation system for green volume quantity and equity by introducing Lorenz curves [...] Read more.
Current urban green volume quantity and equity evaluations primarily rely on two-dimensional (2D) indicators that capture the planar distribution characteristics but overlook vertical structure variations. This study constructed a three-dimensional (3D) evaluation system for green volume quantity and equity by introducing Lorenz curves and Gini coefficients. Using multi-source data, including a 10 m global vegetation canopy height dataset, land cover, and population distribution data, an automated calculation workflow was established in ArcGIS Model Builder. Focusing on regional and neighborhood scales, this study calculates and analyzes two-dimensional green volume (2DGV) and three-dimensional green volume (3DGV) indicators, along with the spatial equity for 413 Chinese cities and residential and commercial areas of Wuhan, Suzhou, and Bazhong. Meanwhile, a green volume quantity and equity type classification method was established. The results indicated that 3DGV exhibits regional variations, while Low 2DGV–Low 3DGV cities have the highest proportion. Green volume in built-up areas showed a balanced distribution, while park green spaces exhibited 2DGV Equitable Only. At the neighborhood scale, residential areas demonstrated higher green volume equity than commercial areas, but most neighborhood areas’ indicators showed low and imbalanced distribution. The proposed 2DGV and 3DGV evaluation method could provide a reference framework for optimizing urban space. Full article
Show Figures

Figure 1

23 pages, 6289 KB  
Article
Suitability of UAV-Based RGB and Multispectral Photogrammetry for Riverbed Topography in Hydrodynamic Modelling
by Vytautas Akstinas, Karolina Gurjazkaitė, Diana Meilutytė-Lukauskienė, Andrius Kriščiūnas, Dalia Čalnerytė and Rimantas Barauskas
Water 2026, 18(1), 38; https://doi.org/10.3390/w18010038 - 22 Dec 2025
Viewed by 400
Abstract
This study assesses the suitability of UAV aerial imagery-based photogrammetry for reconstructing underwater riverbed topography and its application in two-dimensional (2D) hydrodynamic modelling, with a particular focus on comparing RGB, multispectral, and fused RGB–multispectral imagery. Four Lithuanian rivers—Verknė, Šušvė, Jūra, and Mūša—were selected [...] Read more.
This study assesses the suitability of UAV aerial imagery-based photogrammetry for reconstructing underwater riverbed topography and its application in two-dimensional (2D) hydrodynamic modelling, with a particular focus on comparing RGB, multispectral, and fused RGB–multispectral imagery. Four Lithuanian rivers—Verknė, Šušvė, Jūra, and Mūša—were selected to represent a wide range of hydromorphological and hydraulic conditions, including variations in bed texture, vegetation cover, and channel complexity. High-resolution digital elevation models (DEMs) were generated from field-based surveys and UAV imagery processed using Structure-from-Motion photogrammetry. Two-dimensional hydrodynamic models were created and calibrated in HEC-RAS 6.5 using measurement-based DEMs and subsequently applied using photogrammetry-derived DEMs to isolate the influence of terrain input on model performance. The results showed that UAV-derived DEMs systematically overestimate riverbed elevation, particularly in deeper or vegetated sections, resulting in underestimated water depths. RGB imagery provided greater spatial detail but was more susceptible to local anomalies, whereas multispectral imagery produced smoother surfaces with a stronger positive elevation bias. The fusion of RGB and multispectral imagery consistently reduced spatial noise and improved hydrodynamic simulation performance across all river types. Despite moderate vertical deviations of 0.10–0.25 m, relative flow patterns and velocity distributions were reproduced with acceptable accuracy. The findings demonstrate that combined spectral UAV aerial imagery in photogrammetry is a robust and cost-effective alternative for hydrodynamic modelling in shallow lowland rivers, particularly where relative hydraulic characteristics are of primary interest. Full article
(This article belongs to the Section Hydraulics and Hydrodynamics)
Show Figures

Figure 1

28 pages, 9004 KB  
Article
A Green Synergy Index for Urban Green Space Assessment Based on Multi-Source Data Integration
by Yuefeng Wang, Deyuan Gan, Wei Jiao and Jiali Xie
Remote Sens. 2026, 18(1), 9; https://doi.org/10.3390/rs18010009 - 19 Dec 2025
Viewed by 387
Abstract
Current assessments of urban green spaces (UGS) rely largely on two-dimensional (2D) indicators, which fail to capture the three-dimensional (3D) structure necessary for evaluating ecological functions and human exposure. Among these, the Normalized Difference Vegetation Index (NDVI) describes top-down canopy greenness from a [...] Read more.
Current assessments of urban green spaces (UGS) rely largely on two-dimensional (2D) indicators, which fail to capture the three-dimensional (3D) structure necessary for evaluating ecological functions and human exposure. Among these, the Normalized Difference Vegetation Index (NDVI) describes top-down canopy greenness from a nadir perspective, whereas the Green View Index (GVI) quantifies vegetation visibility at street level from a pedestrian perspective. Because the relationship between NDVI and GVI remains unclear, multi-indicator assessments become difficult to interpret, limiting their ability to jointly characterize urban greenery. To address these gaps, we develop a synergy framework that integrates remote sensing with street-view images. First, we aligned the observation scales through street-view depth estimation and converted NDVI into fractional vegetation cover (FVC) through nonlinear mapping to unify measurement units. Correlation experiments revealed that the consistency between GVI and FVC was weak across the city (R2 = 0.27) but substantially stronger along arterial roads with continuous vegetation (R2 = 0.61). On this basis, we design a Green Synergy Index (GSI) that combines FVC and GVI using fractional power-law adjustments and an interaction term to capture their joint effects. Robustness tests indicate that GSI effectively handles extreme or mismatched cases, differentiates greening patterns, and integrates complementary information from nadir and street views without numerical instability. Furthermore, we assess the consistency between GSI and land surface temperature (LST), showing that the proposed index improves explanatory power compared with FVC and GVI alone (by 5.6% and 8.8%, respectively). Application to the study area yields a mean GSI value of 0.44 on a 0–1 scale, with spatial variations closely associated with road geometry and functional zoning. This enables the identification of mismatched canopy and visibility segments and supports targeted, climate-sensitive green infrastructure planning. Full article
Show Figures

Graphical abstract

20 pages, 1766 KB  
Article
Socioeconomic Disparities in the Diversity, Abundance, Structure and Composition of Woody Plants in Residential Streetscapes: Insights for Transitioning to a More Environmentally Just City
by Sandra V. Uribe, Álvaro Valladares-Moreno, Martín A. H. Escobar and Nélida R. Villaseñor
Plants 2025, 14(24), 3865; https://doi.org/10.3390/plants14243865 - 18 Dec 2025
Viewed by 397
Abstract
Vegetation in residential areas plays a crucial role in biodiverse and sustainable cities as it enhances biological diversity, environmental quality, and the human well-being of city residents. However, the distribution of vegetation among these areas is often unequal, leading to disparities in access [...] Read more.
Vegetation in residential areas plays a crucial role in biodiverse and sustainable cities as it enhances biological diversity, environmental quality, and the human well-being of city residents. However, the distribution of vegetation among these areas is often unequal, leading to disparities in access to its benefits. To promote a more biodiverse and environmentally just city, we investigated how woody plants (trees, shrubs and vines) vary with socioeconomic level in residential streetscapes of Santiago de Chile. Across the city, we sampled woody plants in 120 plots (11 m radius) located in residential streetscapes of three socioeconomic levels: low, medium, and high. A total of 557 woody plants were identified and measured. Of these, only 9.7% corresponded to native species, whereas 90.3% were introduced species. Wealthier residential areas had higher species richness and abundance of woody plants, as well as plants with greater structural size (revealed by height and crown area). In addition, we found that the composition of woody plants differed among socioeconomic levels: Liquidambar styraciflua, Platanus x hispanica, and Pittosporum tobira were more abundant in high socioeconomic areas; Prunus cerasifera, Citrus limon, and Ailanthus altissima were more abundant in medium socioeconomic areas; Robinia pseudoacacia, Acer negundo, and Schinus areira were more abundant in low socioeconomic areas. Our research highlights that woody plant diversity, abundance, structure, and composition vary with socioeconomic level in residential streetscapes. Key insights for reducing these inequalities and achieve a more environmentally just city include: (a) governance and equity-based investment; (b) prioritizing local native species; (c) promoting the use of non-tree woody plants; and (d) empowering communities through capacity building and stewardship. Full article
(This article belongs to the Special Issue Plants for Biodiversity and Sustainable Cities)
Show Figures

Figure 1

22 pages, 3072 KB  
Article
Optimized Workflow for High-Resolution Urban Microclimate Modeling
by Julia Díaz-Borrego, Rocío Escandón and Alicia Alonso
Urban Sci. 2025, 9(12), 513; https://doi.org/10.3390/urbansci9120513 - 2 Dec 2025
Viewed by 444
Abstract
Modeling urban microclimates is essential for assessing thermal comfort and the urban heat island (UHI) effect, particularly in the context of climate change. The UHI intensifies thermal discomfort, increases energy demand, and exacerbates health risks during extreme heat events. Accurate urban modeling is [...] Read more.
Modeling urban microclimates is essential for assessing thermal comfort and the urban heat island (UHI) effect, particularly in the context of climate change. The UHI intensifies thermal discomfort, increases energy demand, and exacerbates health risks during extreme heat events. Accurate urban modeling is crucial for evaluating microclimatic conditions and developing effective mitigation strategies. However, traditional 3D modeling approaches often lack the efficiency and precision required to capture complex urban morphologies and integrating key environmental elements such as vegetation. This study presents an optimized workflow for large-scale 3D urban modeling that combines open-source geospatial data with programming and parametrisation tools to enhance the accuracy and scalability of urban studies. The methodology applied in Seville comprises data acquisition, processing, and modeling to produce a high-resolution urban environment model. Using Grasshopper and the ShrimpGIS plugin, spatial datasets of buildings and urban vegetation are processed to create a high-fidelity model. The resulting model is structured for integration into environmental analysis tools such as Ladybug Tools. This integration enables the direct assessment of design choices and morphological relationships for climate resilience, facilitating a detailed evaluation of urban microclimates and climate adaptation strategies. This approach provides urban planners and researchers with a replicable, efficient methodology to support evidence-based decisions for climate-responsive urban development. Full article
Show Figures

Figure 1

23 pages, 3931 KB  
Article
Enhanced 3D Gaussian Splatting for Real-Scene Reconstruction via Depth Priors, Adaptive Densification, and Denoising
by Haixing Shang, Mengyu Chen, Kenan Feng, Shiyuan Li, Zhiyuan Zhang, Songhua Xu, Chaofeng Ren and Jiangbo Xi
Sensors 2025, 25(22), 6999; https://doi.org/10.3390/s25226999 - 16 Nov 2025
Viewed by 4140
Abstract
The application prospects of photorealistic 3D reconstruction are broad in smart cities, cultural heritage preservation, and related domains. However, existing methods face persistent challenges in balancing reconstruction accuracy, computational efficiency, and robustness, particularly in complex scenes characterized by reflective surfaces, vegetation, sparse viewpoints, [...] Read more.
The application prospects of photorealistic 3D reconstruction are broad in smart cities, cultural heritage preservation, and related domains. However, existing methods face persistent challenges in balancing reconstruction accuracy, computational efficiency, and robustness, particularly in complex scenes characterized by reflective surfaces, vegetation, sparse viewpoints, or large-scale structures. In this study, an enhanced 3D Gaussian Splatting (3DGS) framework that integrates three key innovations is proposed: (i) a depth-aware regularization module that leverages metric depth priors from the pre-trained Depth-Anything V2 model, enabling geometrically informed optimization through a dynamically weighted hybrid loss; (ii) a gradient-driven adaptive densification mechanism that triggers Gaussian adjustments based on local gradient saliency, reducing redundant computation; and (iii) a neighborhood density-based floating artifact detection method that filters outliers using spatial distribution and opacity thresholds. Extensive evaluations are conducted across four diverse datasets—ranging from architectures, urban scenes, natural landscapes with water bodies, and long-range linear infrastructures. Our method achieves state-of-the-art performance in both reconstruction quality and efficiency, attaining a PSNR of 34.15 dB and SSIM of 0.9382 on medium-sized scenes, with real-time rendering speeds exceeding 170 FPS at a resolution of 1600 × 900. It demonstrates superior generalization on challenging materials such as water and foliage, while exhibiting reduced overfitting compared to baseline approaches. Ablation studies confirm the critical contributions of depth regularization and gradient-sensitive adaptation, with the latter improving training efficiency by 38% over depth supervision alone. Furthermore, we analyze the impact of input resolution and depth model selection, revealing non-trivial trade-offs between quantitative metrics and visual fidelity. While aggressive downsampling inflates PSNR and SSIM, it leads to loss of high-frequency detail; we identify 1/4–1/2 resolution scaling as an optimal balance for practical deployment. Among depth models, Vitb achieves the best reconstruction stability. Despite these advances, memory consumption remains a challenge in large-scale scenarios. Future work will focus on lightweight model design, efficient point cloud preprocessing, and dynamic memory management to enhance scalability for industrial applications. Full article
Show Figures

Figure 1

Back to TopTop