Highlights
What are the main findings?
- A depth-constrained 2D–3D integration framework aligns nadir-based FVC with pedestrian-level GVI within a consistent volumetric neighborhood.
- A novel Green Synergy Index integrates FVC and GVI using nonlinear power-law exponents and an interaction term to capture three-dimensional greenness.
What are the implications of the main findings?
- Global and local correlation analyses reveal strong context-dependent relationships between FVC and GVI across different road classes and urban functions.
- The proposed GSI shows higher stability and stronger cooling relevance with land surface temperature than conventional single greenness indicators.
Abstract
Current assessments of urban green spaces (UGS) rely largely on two-dimensional (2D) indicators, which fail to capture the three-dimensional (3D) structure necessary for evaluating ecological functions and human exposure. Among these, the Normalized Difference Vegetation Index (NDVI) describes top-down canopy greenness from a nadir perspective, whereas the Green View Index (GVI) quantifies vegetation visibility at street level from a pedestrian perspective. Because the relationship between NDVI and GVI remains unclear, multi-indicator assessments become difficult to interpret, limiting their ability to jointly characterize urban greenery. To address these gaps, we develop a synergy framework that integrates remote sensing with street-view images. First, we aligned the observation scales through street-view depth estimation and converted NDVI into fractional vegetation cover (FVC) through nonlinear mapping to unify measurement units. Correlation experiments revealed that the consistency between GVI and FVC was weak across the city (R2 = 0.27) but substantially stronger along arterial roads with continuous vegetation (R2 = 0.61). On this basis, we design a Green Synergy Index (GSI) that combines FVC and GVI using fractional power-law adjustments and an interaction term to capture their joint effects. Robustness tests indicate that GSI effectively handles extreme or mismatched cases, differentiates greening patterns, and integrates complementary information from nadir and street views without numerical instability. Furthermore, we assess the consistency between GSI and land surface temperature (LST), showing that the proposed index improves explanatory power compared with FVC and GVI alone (by 5.6% and 8.8%, respectively). Application to the study area yields a mean GSI value of 0.44 on a 0–1 scale, with spatial variations closely associated with road geometry and functional zoning. This enables the identification of mismatched canopy and visibility segments and supports targeted, climate-sensitive green infrastructure planning.
1. Introduction
Urban green spaces (UGS) are a key component of urban ecosystems, providing critical services such as microclimate regulation, pollution mitigation, and improvements to physical and mental health [1,2]. With the growing emphasis on sustainable urban development, there is an increasing demand for accurately quantifying the three-dimensional (3D) structure of vegetation, which is essential for applications in carbon management, spatial planning, and residential renewal. The ecological and functional performance of vegetation depends not only on its horizontal extent but also on its vertical configuration [3]. For example, the shading performance of roadside trees is determined by canopy coverage, crown height, and crown depth, which jointly influence the fraction of solar radiation intercepted within street canyons. Similarly, the cooling efficiency of urban ventilation corridors is strongly affected by the vertical porosity and continuity of vegetation, where even small differences in canopy height or sidewall greening can substantially modify near-surface airflow and heat accumulation [4,5]. Without accounting for such 3D structural attributes, greenness assessments may misrepresent the environmental function of UGS and overlook their role in microclimate regulation and human thermal comfort [6,7]. Consequently, cities increasingly require 3D greenness metrics that capture both the ecological functionality of vegetation and its experiential qualities at eye level.
Traditional assessments have relied primarily on top-down, two-dimensional (2D) greenness indicators derived from remote sensing. The Normalized Difference Vegetation Index (NDVI), Fractional Vegetation Cover (FVC), and Leaf Area Index (LAI) provide valuable information on canopy vigor, horizontal coverage, and foliage density from nadir perspectives [8,9]. NDVI is widely used as a proxy for vegetation biophysical activity, while FVC represents the proportion of ground covered by vegetation and LAI reflects canopy photosynthetic capacity. These indices are well suited for mapping vegetation over large areas but are largely insensitive to vertical stratification and occlusion. In dense urban fabrics, this can lead to significant misrepresentation of greenness where building-induced shading, multi-layered vegetation, and street canyon geometry obscure the true configuration of greenery. Complementary information is available from street-level imagery, where metrics such as the Green View Index (GVI) quantify the proportion of visible vegetation from a pedestrian perspective [10]. GVI captures façade-level and near-ground greenery and has been widely applied to assess associations between visible greenness and mental health, walkability, and perceived environmental quality. However, street-view indicators have their own limitations, they are influenced by camera placement, occlusion by foreground objects, temporal sparsity, and sampling biases that leave interior parcels or private spaces under-represented. Moreover, segmentation-based methods may connect sparse foliage patches into continuous regions, artificially inflating GVI values.
Given these limitations, integrating nadir-based ecological indices with pedestrian-perspective visibility metrics is crucial for obtaining a more complete and operational understanding of urban greenery. Researchers and Practitioners have attempted to bridge these perspectives but face inherent constraints. Barbierato et al. applied spatially constrained clustering to fuse remote-sensing and street-view vectors, producing feasible block groupings; however, the subsequent use of principal component analysis removed the physical interpretability of green-space metrics, limiting planning utility [11]. Huang et al. combined 1 km NDVI and GVI in a multiscale geographically weighted regression framework, preserving spatial heterogeneity but overlooking index interactions and sub-grid details that are essential for neighborhood-scale interventions [12]. Wang et al. fused Sentinel-2 NDVI and street-view GVI using Random Forest and Extra-Trees models, achieving high prediction accuracy; yet, the purely statistical regression erased the physical linkage between canopy density and visual exposure, masking conditions under which high NDVI crowns produce low GVI streets due to height, occlusion, or vegetation discontinuity [13].
Beyond these pairwise NDVI–GVI comparisons, more comprehensive 3D green-space assessment frameworks have emerged, leveraging high-resolution aerial imagery, unmanned aerial vehicle (UAV) products [14], LiDAR-derived vegetation structure [15], deep-learning-based street-view imagery [16], and immersive 3D virtual environments [17]. These approaches have significantly improved the extraction of 3D vegetation attributes such as canopy height, crown volume, and vertical layering. Nevertheless, multi-source data integration remains challenging, nadir and street-level observations differ in viewing geometry, temporal acquisition, accessibility, sampling density, and processing pipelines [18,19]. Critically, no scale-consistent and interpretable greenness index currently exists that can reconcile ecological coverage and perceptual visibility within a unified 3D framework, despite this being essential for fine-scale urban planning, microclimate adaptation, and equitable green-space provisioning.
Against this background, two key gaps remain unresolved. Problem 1: Even when NDVI/FVC and GVI are sampled over the same locations, it is unclear under which conditions a stable quantitative relationship between them exists [20,21]. NDVI and FVC quantify canopy coverage and biophysical activity, whereas GVI captures perceived exposure, resulting in incompatible measurement scales and observational geometries [22]. As a result, the strength of coverage, such as visibility relationships vary with road types, urban densities, and functional zones, making regression-based inference between NDVI to GVI unreliable for fine-scale assessments. Problem 2: There is a lack of integrated metrics that preserve the distinct physical meaning of ecological and perceptual indicators while exploiting their geometric complementarity [23]. Simple weighted sums obscure spectral–structural contributions, amplify extreme values, and fail to capture mismatches between horizontal coverage and vertical visibility [24].
To address these challenges, this study develops a 3D greenness assessment method integrating nadir and street-level observations. NDVI is first converted into FVC, and monocular depth estimation is applied to street-view panoramas so that both datasets share a consistent 50 m (m) neighborhood footprint. Before constructing an integrated metric, we assess whether FVC and GVI reflect comparable or distinct dimensions of urban greenery. Global and local correlation analyses across road classes and functional zones reveal frequent divergences between the two indicators, particularly in areas with fragmented canopies, narrow street canyons or visual obstructions. These discrepancies demonstrate that neither metric alone can represent the full spectrum of ecological coverage and pedestrian-scale visibility. Guided by these findings, we develop a Green Synergy Index (GSI) that integrates FVC and GVI through fractional power-law transformations and an interaction term to capture both independent contributions and joint effects. Robustness tests and city-scale applications confirm the stability and interpretive value of the index for characterizing multidimensional greenness relevant to environmental assessment and planning. It should be further clarified that the GSI is situated within a feature space that integrates both 2D and 3D characteristics of perception-based urban greenery [25,26]. Specifically, the GSI jointly encodes (i) horizontal canopy coverage derived from remote sensing, (ii) vertical visibility and facade-level greenery extracted from street-view imagery, and (iii) their interactions within a three-dimensional sampling volume surrounding each road segment, rather than remaining purely planimetric.
This work makes three methodological contributions.
(1) We develop a unified 2D–3D integration framework that aligns nadir-based vegetation coverage with pedestrian-level visibility within a depth-constrained volumetric neighborhood. Based on this framework, we conduct systematic global and local correlation analyses between FVC and GVI to reveal their scale- and context-dependent relationships.
(2) We propose the functional design of the GSI by integrating FVC and GVI through nonlinear power-law transformations to suppress saturation and preserve sensitivity across greenness gradients, together with an explicit interaction term (FVC × GVI) to quantify the synergistic effect between horizontal canopy coverage and vertical visual accessibility.
(3) The stability, robustness, and sensitivity of the proposed functional form are systematically evaluated across archetypal urban greening scenarios. The results demonstrate that the nonlinear exponents and interaction structure effectively mitigate extreme-value distortion and single-source bias, ensuring numerically stable and interpretable outputs over heterogeneous urban environments.
The remainder of this paper is organized as follows. Section 2 introduces the data and methods, including the design of the GSI. Section 3 presents the experimental results, covering correlation analysis, robustness evaluation, and urban-scale application. Section 4 discusses the methodological implications and limitations, and Section 5 concludes with the main findings and perspectives for future research.
2. Materials and Methods
2.1. Data Source
This study integrates multi-source geospatial datasets that capture complementary dimensions of urban greenery. Futian District, Shenzhen was selected as the study area because it represents a high-density urban core with limited land availability but strong policy emphasis on ecological livability. The district is characterized by intensive development, diverse land-use types, and substantial investments in green infrastructure, making it a representative case for examining both ecological and perceptual dimensions of urban greenery. Within this context, four categories of data were employed: (i) remote sensing imagery for quantifying horizontal greenness; (ii) administrative boundary data for spatial reference; (iii) road network data for sampling design; and (iv) street-view imagery for assessing vertical and perceptual greenness (Table 1).
Table 1.
Data source information used in this study.
ENVI software (v5.6; L3Harris Geospatial, Boulder, CO, USA) was employed for remote sensing image processing, while ArcGIS (v10.8; Esri, Redlands, CA, USA) was used for vector data handling and cartographic visualization. The computation of the GVI was implemented in PyCharm (v2024; JetBrains s.r.o., Prague, Czech Republic).
2.1.1. Remote Sensing Data
Remote sensing data consisted of Sentinel-2 L2A imagery obtained from the Copernicus Data Space Ecosystem (Table 1). Landsat 8 L2SP (Level 2 Surface Reflectance Products) data were obtained from the Geospatial Data Cloud platform for the purpose of retrieving land surface temperature in the study area. All scenes were reprojected to the Geographic Coordinate System (GCS_WGS_1984) to ensure cross-dataset comparability. For nadir-based greenness assessment, we selected cloud-free (<5% cloud cover) Sentinel-2 imagery acquired in 22 October 2017, which represents the midpoint of the 2016–2018 period during which Baidu street-view panoramas were collected. This choice ensures consistency in underlying vegetation conditions while maintaining full spatial coverage across the study area.
2.1.2. Administrative Boundary Data
Vector data of Shenzhen administrative boundaries were acquired from the Institute of Remote Sensing and Digital Earth (RADI), Geospatial Data Cloud (https://www.gscloud.cn/sources, accessed on 5 October 2021). These data provided the spatial framework for georeferencing and delineating the study area.
2.1.3. Road Network Data
Road network data for Futian District, Shenzhen (Figure 1) were obtained from the OpenStreetMap (OSM) platform and subjected to systematic preprocessing. Road types with adequate street-view coverage were selected, including primary, secondary, tertiary, motorway, and trunk classes. To prevent double-counting in greenness calculations for bidirectional roadways, buffer analysis was applied to aggregate adjacent parallel roads into continuous surfaces.
Figure 1.
Overview of the study area. (a) The location of the study area. (b,c) The administrative boundary vector data of Futian District, Shenzhen, and Guangdong Province, respectively. (d) Remote sensing images and road network data of Futian District.
2.1.4. Street-View Imagery
Panoramic street-view imagery was collected via the Baidu Map Street View API. The Baidu platform generates 360-degree panoramas by stitching multi-angle photographs, providing comprehensive roadside environmental information (Figure 2). Sampling points were placed at approximately 50 m intervals along the road network, ensuring sufficient spatial detail while minimizing redundancy from overlapping views. To maintain temporal consistency with the 2017 Sentinel-2 imagery, we applied a temporal matching window of ±1 year around the satellite acquisition date and retained only panoramas captured between 2016 and 2018. This window provides an effective balance between full spatial coverage and temporal alignment, particularly in subtropical cities such as Shenzhen where evergreen vegetation minimizes intra-annual fluctuations in canopy greenness. Furthermore, all selected panoramas were captured between June and October, a period during which vegetation phenology in southern China remains relatively stable, thereby reducing potential seasonal mismatches between nadir- and street-level observations. In total, 2942 sampling locations were distributed across the primary road network, and 2675 panoramas were successfully retrieved and included in the analysis.
Figure 2.
Baidu Street View images and the corresponding top view positions. The panoramic images are stitched together from 0°, 90°, 180°, and 270°.
To enable a unified characterization of urban greenness, the horizontal indicators derived from Sentinel-2 imagery and the vertical indicators extracted from street-view panoramas were aligned within the same local sampling unit. Specifically, for each road segment, we defined a cylindrical sampling volume centered on the road centerline. Within this volume, nadir-based FVC represents horizontal canopy abundance, while depth-informed GVI captures the vertical visibility of vegetation along façades and at pedestrian height. Integrating these two complementary perspectives yields a synthesized three-dimensional greenness representation around each road segment. This synthesized 3D space describes how vegetation occupies both the horizontal plane and the vertical street-space enclosure, and it provides a consistent volumetric neighborhood in which coverage, visibility, and their interaction can be jointly quantified. A conceptual illustration of this 2D–3D integrated greenness space is shown in Figure 2.
2.2. Methods
2.2.1. Framework
The proposed approach follows a multi-stage workflow integrating remote sensing and street-view data (Figure 3). First, street-view imagery and satellite data were preprocessed through semantic segmentation, depth estimation, and NDVI/FVC calculation to extract greenness indicators. Second, spatial consistency procedures were applied to align multi-source datasets and generate comparable greenness values within defined buffer zones. Third, data visualization and correlation analyses were conducted at multiple levels, including overall patterns, sampling-based comparisons, scene-level evaluations, and local-scale analyses. Finally, GVI and FVC were synthesized into a unified GSI using an Analytic Hierarchy Process (AHP) and nonlinear interaction terms. This framework enables a comprehensive assessment of urban greenness by integrating ecological indicators with perceptual measures across both horizontal and vertical dimensions.
Figure 3.
A flowchart of the technical route.
2.2.2. Scale Alignment and Green Index Derivation
To ensure comparability between multi-source datasets, spatial consistency processing was performed before calculating greenness metrics.
(1) Buffer creation: Street-view sampling points were generated at 50 m intervals along the road network. Each point was assigned a circular buffer with a radius of 50 m to account for typical road widths. These buffers, referred to as nadir buffers, represent the vertical projection footprint of remote sensing imagery corresponding to each street-view sampling location. Within each buffer, remote sensing pixels were extracted to calculate FVC, thereby ensuring alignment between aerial observations and street-level sampling.
(2) Depth estimation: To delineate the visible vegetation within each 50 m buffer, we applied monocular depth estimation to panoramic street-view images using the Metric3D v2 model [27]. Metric3D v2 estimates metric-scale depth by combining canonical camera normalization with geometry-aware learning. The model jointly predicts depth and surface normals and enforces their geometric consistency while being trained on datasets with ground-truth metric depth. Through this supervision and multi-view geometric constraints, it learns absolute distance relationships and directly outputs depth D(u,v) in meters for every pixel (u,v), without relying on object size, focal length, or manual geometric calculations.
In our workflow, the depth values are obtained directly from this pre-trained model. The predicted depth map is used solely to ensure that street-view vegetation corresponds to the same spatial footprint as the FVC buffer. Pixels located farther than 50 m from the camera are treated as background, whereas pixels within 50 m are assigned a distance-based value according to Equation (1).
where m. As shown in Figure 4c, regions beyond 50 m are rendered in black, while closer pixels exhibit gradually higher values according to their distance, forming a depth-aware layer for subsequent vegetation and GVI analysis.
Figure 4.
Spatial correspondence between nadir and street-view perspectives based on depth-informed segmentation. (a) shows a 50 m buffer centered on the camera location, covering two representative buildings. (b) illustrates the locations of the corresponding buildings in the street-view panorama. (c) presents the depth estimation map derived from the street-view image, with background areas masked in black. (d) displays the semantic segmentation result used to refine greenery extraction within the buffer zone.
(3) Sematic segmentation: Vegetation in street-view imagery was extracted using the DeepLabV3+ model [28], trained on the Cityscapes dataset. In alignment with the objectives of this study, the vegetation class from Cityscapes was isolated and applied to calculate the GVI, enabling precise quantification of vertical urban greening. Cityscapes provides 5000 finely annotated urban street scenes with 19 semantic classes, including vegetation, and DeepLabV3+ achieves a mean IoU of approximately 82.1% on the Cityscapes test set, representing state-of-the-art performance for urban scene segmentation tasks. We adopted the released parameters as a mature semantic segmentation tool to obtain pixel-level vegetation masks. After depth-based background removal, the clipped street-view images were fed into the semantic segmentation model. The segmentation results, shown in Figure 4d, illustrate how vegetation pixels are isolated after masking out all regions beyond 50 m.
(4) Calculation of GVI: Based on the processed imagery, the GVI was computed as the proportion of vegetation pixels relative to the total number of pixels in each panoramic image as shown in Equation (2).
where Npixel denotes the total pixel count of the image, and Ngreenpixel represents the number of vegetation pixels extracted via semantic segmentation.
2.2.3. Retrieval of Remote Sensing Parameters
To characterize urban greenness and surface thermal conditions, we used two vegetation indices, the NDVI and FVC, together with land surface temperature (LST) as a thermal variable. NDVI and FVC were computed from Sentinel-2 optical imagery, whereas LST was obtained from the Landsat 8 Collection-2 Level-2 Science Products.
(1) NDVI
NDVI was derived from Sentinel-2 L2A imagery at 10 m spatial resolution. The image product, having undergone radiometric calibration and atmospheric correction, was subsequently subjected to resampling and band fusion, with the specific combination of Band 4 (Red) and Band 8 (near-infrared, NIR). NDVI was then calculated from Equation (3).
NDVI values range from −1 to 1, where higher values indicate denser vegetation cover.
(2) FVC
FVC is defined as the proportion of ground surface area covered by the vertical projection of green vegetation components (e.g., leaves, stems, branches) within a unit area. In this study, FVC was estimated from NDVI using the classical Dimidiate Pixel Model (DPM) [29,30], which assumes that each pixel is a linear mixture of bare soil and full vegetation. Owing to its concise structure and computational efficiency, this model enables large-scale vegetation fraction assessment across diverse geographical contexts. The formula is:
where NDIVsoil is approximated by the 5th percentile of NDVI values, while NDIVveg corresponds to the 95th percentile. FVC represents the proportion of ground covered by vegetation within each unit area and provides a reliable indicator of vegetation density and biomass (Figure 5a).
Figure 5.
(a,b), respectively, show the calculation results of NDVI and LST.
(3) LST
LST was used as a proxy for the microclimatic response of different greenness indicators. Physically, LST represents the radiative skin temperature of the land surface, i.e., the temperature that a surface would need to have in radiative equilibrium in order to produce the observed thermal infrared emission at the top of the atmosphere. In this study, LST was derived from Landsat 8 Collection-2 Level-2 Science Products (L2SP, OLI/TIRS) using the thermal infrared band 10–based surface temperature product.
For each cloud-free scene, we used the ST_B10 band provided in the L2SP dataset, which contains atmospherically corrected land surface temperature derived from TIRS band 10 at 30 m resolution (docs.sentinel-hub.com) (Figure 5b). Following the official product guide, digital numbers (DN) in ST_B10 were first converted to physical temperature in Kelvin using the band-specific scale factor (SF) and additive offset (OF) recorded in the scene metadata according to Equation (5).
where TLST,K, is land surface temperature in Kelvin. The resulting values were then converted to degrees Celsius by Equation (6).
2.2.4. Correlation Verification Method
Considering the NDVI, GVI and FVC are continuous numerical variables that can be represented in raster format, ensuring spatial comparability and sufficient precision to capture subtle differences in greenness across urban areas.
To examine the relationships among these metrics, we employed the Pearson Correlation Coefficient (PCC) for pairwise analysis. The PCC quantifies the degree of linear association between two variables, revealing whether vertical and horizontal greenness indicators exhibit synchronous spatial variation. The PCC is computed as:
where and represent the values of two greening metrics at sample point i, while and denote their respective mean values. The coefficient ranges from −1 to 1, with values closer to 1 indicating a stronger positive correlation, and values closer to −1 indicating a stronger negative correlation.
2.2.5. The Design of GSI
To reconcile scale differences between aerial and street-level perspectives, this study introduces the GSI, integrating FVC, GVI, and their interaction term (FVC × GVI). These three components jointly capture horizontal coverage, vertical visibility, and their ecological synergy. The necessity of this integration will be further validated through correlation analyses between GVI and FVC in the experimental section.
(1) Weight determination with AHP
The AHP provides a systematic and expert-informed approach for determining the relative importance of the three components of the GSI, such as FVC, GVI, and their interaction term (FVC × GVI). Because these indicators represent different ecological and perceptual dimensions, their contributions cannot be reliably inferred from raw data alone. AHP has been widely used in environmental assessment, urban ecology, and landscape planning for integrating qualitative expert knowledge with quantitative weighting schemes, demonstrating strong applicability in multi-criteria green-space evaluations [31]. Similar studies have also adopted simplified AHP procedures when the number of factors is small. For example, Li et al. engaged experts from government, academia, and local communities to weight green-space indicators, illustrating the effectiveness of expert-driven pairwise evaluation [32].
Following this rationale, a panel of seven experts in urban ecology, landscape architecture, environmental comfort, and remote sensing was convened to evaluate the relative contributions of FVC, GVI, and FVC × GVI. Prior to scoring, the meanings and functional roles of the three components were explained to the experts. Experts then performed pairwise comparisons using Saaty’s 1–9 scale, judging the relative importance of each factor with respect to the overall goal of characterizing comprehensive greenness. Their judgments populated a 3 × 3 comparison matrix, shown in Table 2.
Table 2.
Comparison matrix.
Based on this matrix, the principal eigenvector was computed to obtain normalized weights, and the maximum eigenvalue was used to derive the consistency index (CI). To evaluate logical coherence, the consistency ratio (CR) was calculated using the corresponding random index (RI) for matrices of order three (Table 3). As shown in Table 4, CR = 0 < 0.1, indicating that expert judgments were fully consistent and the derived weights are reliable. The final weight values, 0.4286 for GVI, 0.4286 for FVC, and 0.1429 for the interaction term (Table 5).
Table 3.
Random Consistency RI Table.
Table 4.
Summary of Consistency Test Results.
Table 5.
Results of AHP.
(2) Nonlinear transformation of indicators
To better reflect ecological and perceptual dynamics, nonlinear transformations were applied before integration. For the FVC component, a power exponent of 0.7 was applied, informed by ecological saturation dynamics and supported by empirical evidence. Numerous studies have demonstrated that vegetation coverage between 0.6 and 0.7 represents a critical “green saturation threshold” [33]. System dynamics simulations across diverse urban regions in China, East Asia, and Europe have further confirmed that when the LAI or FVC exceeds 0.7, the marginal benefits of vegetation-mediated ecosystem services such as evapotranspiration and shading diminish significantly [34,35,36]. Moreover, under dense canopy conditions, NDVI exhibits spectral saturation effects, showing weakened responsiveness to additional vegetation increases [37,38]. Building upon these findings, applying a 0.7 power exponent serves two crucial purposes: it amplifies faint greening signals in low-coverage areas (FVC < 0.4) while mitigating overestimation in high-coverage zones (FVC > 0.7). This adjustment ensures smooth transitions across the entire greenness gradient and enhances the robustness of the GSI metric.
For the GVI component, a square root transformation (exponent = 0.4) was applied, grounded in psychophysical theory and validated by empirical findings. According to Stevens’ power law, the perceived intensity of visual stimuli follows a nonlinear relationship with an exponent γ typically ranging from 0.3 to 0.6. Selecting γ = 0.5 provides a theoretically robust midpoint, widely adopted in perceptual modeling to capture nonlinear intensity responses. For example, street-view experiments in Toronto demonstrated that the square root model (γ = 0.5) improved explanatory capacity by approximately 15% in low-greenness sections (GVI < 0.3) and simultaneously reduced saturation bias when GVI exceeded 0.8 [39,40,41]. The calculated GVI values for the entire study region were low, and an exponent of 0.4 was ultimately applied to the GVI.
(3) Final index construction
Based on the AHP results (Table 2, Table 3, Table 4 and Table 5) and the nonlinear transformations applied to FVC and GVI, the final GSI is expressed as:
This formulation (i) mitigates spectral saturation in dense vegetation, (ii) increases sensitivity in low-coverage or low-visibility contexts, and (iii) preserves numerical stability across the greenness gradient. The GSI therefore yields a single, interpretable metric that harmonizes aerial and street-level observations for multidimensional urban greenness assessment.
3. Results
The experimental workflow has three parts. First, the proposed method is used to systematically analyze the correlation between GVI and FVC, addressing inconsistencies in prior reports and clarifying the conditions that govern agreement. Second, based on those findings, the stability and robustness of GSI are evaluated across greenness gradients and structural contexts, establishing the methodological soundness of the index. Third, after validation, GSI is applied to the study area to quantify comprehensive urban greenness and to reveal citywide patterns relevant for planning and management.
3.1. Correlation Verification of GVI and FVC
The correlation between GVI and FVC determines whether a unified comprehensive greenness indicator is necessary or whether a single metric could serve as a sufficient proxy. To examine this, we first evaluate their relationship at both global and local scales, analyzing how the two indicators covary across the entire study area as well as within specific road classes and functional zones
3.1.1. Global Correlation Verification
We examined the global correlation between GVI and FVC to assess their overall consistency in urban greenness assessment. Using the PCC (Equation (5)), the analysis yielded a coefficient of 0.27, indicating a weak relationship. To test robustness, four random samples of 500 points each were analyzed (as shown in Figure 6). Results remained consistent from 0.27 to 0.32, confirming the persistently low correlation between the two indicators.
Figure 6.
Global correlation validation between GVI and FVC across four rounds of random sampling, with spatial distributions illustrated in (a–d), respectively.
3.1.2. Local-Scale Correlation Verification
To investigate correlations at the local scale, we further examine correlation patterns at the road-type level. Roads were classified into two categories, arterial roads and other road types, to provide a broader validation of correlation differences across the full urban network. We utilized 28 arterial roads (comprising 1138 street view points) and 132 other roads (including short-access paths, comprising 892 street view points) as analytical samples. As illustrated in Figure 7, the results show that arterial roads exhibit the highest consistency between GVI and FVC, with a correlation of 0.61, whereas other road types, including local streets in dense built-up areas, display much weaker correlations around 0.28.
Figure 7.
Comparison of GVI-FVC correlations across different road types. (a) Arterial roads show a strong linear relationship between GVI and FVC (R2 = 0.61). (b) Other urban roads exhibit a significantly weakened correlation (R2 = 0.28).
Comprehensive analyses of both global and local spatial features demonstrate that the overall correlation between GVI and FVC is generally low. Although stronger correspondence is observed in specific contexts, such as open arterial corridors with continuous vegetation, these remain localized exceptions. At the scale of the entire city, neither GVI nor FVC alone can sufficiently characterize urban greenness. For comprehensive green space evaluation, the combined use of both indicators is therefore necessary. This empirical conclusion provides the foundation for the design of GSI.
3.2. Robustness Analyses of GSI
3.2.1. Numerical Stability Across Greening Levels
To evaluate the numerical stability of the proposed GSI, the study area was stratified into low, medium, and high greening zones according to quantile thresholds and data volumes of GVI and FVC. The classification of GVI followed the scheme proposed in a recent study [42], whereas FVC was graded according to the three-tier vegetation coverage classification standard [43]. The newly developed GSI indicator was categorized using the tertile method. Specific thresholds for each grade are presented in Table 6.
Table 6.
The range division of the three indicators.
Within each greening stratum (low, medium, high; defined in Table 6), we compared the mean, interquartile range (IQR), and coefficient of variation (CV) of GVI, FVC, and GSI to evaluate their sensitivity, stability, and susceptibility to saturation. The distributions are summarized in Table 7 and illustrated by the paired boxplots in Figure 8.
Table 7.
Comparative statistics of GVI, FVC, and GSI across greening strata.
Figure 8.
Boxplot comparison of FVC vs. GSI (left) and GVI vs. GSI (right) under low, medium, and high greening levels.
In the low-greenness class, both FVC and GVI cluster near the lower bounds of their respective ranges with relatively narrow IQRs. This indicates limited dispersion but also a compressed dynamic range, making it difficult to distinguish subtle differences in sparse vegetation. By contrast, GSI shows a slightly higher central value and a similarly compact IQR, together with a moderate CV. This combination suggests that GSI remains numerically stable while still providing more contrast among low-greenness street segments than either FVC or GVI alone.
In the medium-greenness class, FVC exhibits a broader spread, reflecting stronger sensitivity to differences in horizontal canopy cover but also higher variability (larger IQR and CV). GVI increases compared with the low class, yet its upper values are still constrained by view occlusion and camera geometry, leading to a comparatively compressed distribution. GSI lies between FVC and GVI in magnitude and shows a smoother IQR and lower CV than both, indicating that it can respond to greenness gradients without the volatility of FVC or the early saturation observed for GVI.
In the high-greenness class, FVC reaches the highest absolute values but also shows the widest IQR and largest CV, implying strong fluctuations driven by small changes in canopy fraction. GVI displays clear upper-end compression: most values accumulate near the top of the class, with only limited separation among highly vegetated segments. In contrast, GSI attains high median values while maintaining the narrowest IQR and the lowest CV. This pattern indicates that GSI preserves a continuous response along the high-greenness gradient, with strong resistance to saturation and more stable behavior under dense vegetation conditions.
Overall, the comparative statistics in Table 7 and the boxplots in Figure 8 show that GSI combines the advantages of FVC and GVI: it remains responsive across low, medium, and high greenness levels, yet avoids the lower-end insensitivity and upper-end saturation that affect the single indicators.
These findings confirm that GSI not only reduce noise from local variability but also enhance sensitivity across the full greenness gradient, ensuring reliable performance under diverse urban conditions.
3.2.2. Scenario-Based Validation of GSI Robustness
To further test the applicability and robustness of the GSI across diverse urban contexts, three representative scenarios were selected within the study area. Specifically, based on the joint distribution of FVC and GVI for all street-view samples and their associated buffers, we first categorized road segments into three pattern types: (i) high FVC–high GVI (arterial corridors with continuous roadside vegetation), (ii) high FVC–low GVI (wide roads with internal greenery but limited visibility), and (iii) low FVC–moderate-to high GVI (compact built-up corridors with visible vertical greenery). Within each category, we selected three samples that all belong to the high/low value ranges (as shown in Table 7), but with significant differences, minor differences, and intermediate differences between FVC and GVI values, and these are reported in Table 8.
Table 8.
Performance of GVI and FVC in Different scenarios.
Scene 1. Continuous, well-planned corridors. In arterial roads with open layouts and continuous vegetation, both FVC and GVI reached relatively high levels (FVC ≈ 0.56–0.66, GVI ≥ 0.25). Within the model, the power-law transformation of FVC (exponent 0.7) reduced saturation effects in high-coverage areas, while the square-root transformation of GVI (exponent 0.4) enhanced the sensitivity of the visual metric. Under these dual-high conditions, the interaction term further strengthened the overall index, resulting in GSI values consistently ranging from 0.53 to 0.63. Compared with single indicators, GSI provided a more stable and reasonable representation of road environments characterized by continuous planting and unobstructed green views.
Scene 2. Open roads with internal greenery (high-FVC/low-GVI mismatch). In wide road sections where remote sensing imagery captured dispersed vegetation patches within buffers, FVC values were generally high (0.63–0.72), while GVI values remained low (≤0.17). This discrepancy was mainly due to the limited field of view in street-level images, which failed to capture all visible vegetation. In such cases, GSI did not simply adopt the higher FVC values; instead, the balance between the power-law transformations and the interaction term moderated the outcome, producing results within the range of 0.49–0.58. Compared with the overestimation that would occur if relying on FVC alone, GSI effectively avoided bias and provided evaluations closer to the actual greenness perceived at street level.
Scene 3. Compact built-up corridors with visible vertical elements (low-FVC/moderate-GVI mismatch). In compact urban areas, sparse horizontal vegetation led to low FVC values (0.15–0.44). However, vertical elements such as façades, dense tree rows, or screens were clearly visible in street-level views, resulting in high GVI levels (0.31–0.50). In this situation, reliance on FVC alone would underestimate greenness. By incorporating vertical visibility through GVI, GSI values increased to 0.36–0.58, effectively capturing the contribution of vertical greenery.
3.2.3. Stability Under Extreme or Mismatched Conditions
In complex environments such as tunnels, shaded corridors, and dense urban blocks, GSI maintains stable outputs by constraining extreme discrepancies between GVI and FVC (Table 9). Specifically, based on the joint distribution of GVI and FVC for all street-view samples, we first identified five characteristic patterns: (i) low GVI–low FVC (commercial streets dominated by impervious surfaces), (ii) high GVI–high FVC (peripheral roads of parks with abundant vegetation), (iii) medium greenness levels on ordinary arterial roads, (iv) high GVI–low FVC (residential perimeter roads with visible vertical greening but limited horizontal coverage), and (v) low GVI–high FVC (arterial roads affected by street-level visual anomalies such as underpasses, where the nadir buffer still contains substantial vegetation). To validate the stability of the proposed index across different vegetation distribution patterns, we selected samples with significant differences between GVI and FVC within each category for comparative analysis. When GVI approaches zero but FVC is relatively high, the model suppresses disproportionate weighting of street-view inputs. Conversely, when vertical greening inflates GVI despite low horizontal coverage, GSI dampens the imbalance through its nonlinear design and interaction term. These mechanisms ensure robustness, preventing overestimation or underestimation of greenness in extreme scenarios.
Table 9.
Local-Scale Performance of the GSI.
3.2.4. Comparative Microclimatic Response of LST to GVI, FVC and GSI
To evaluate the effectiveness of the proposed GSI, we further examined how well each greenness metric corresponds to surface thermal conditions. LST serves as an independent environmental variable that is physically linked to vegetation structure through shading, evapotranspiration and surface energy exchange. Therefore, a stronger and more stable relationship with LST indicates that a greenness metric captures ecologically meaningful variations in urban green structure. By comparing the LST responses of GVI, FVC and GSI, we assess whether the integrated index provides a more coherent representation of microclimatic cooling than any single indicator alone, thereby validating the added value of combining horizontal canopy coverage with street-level visible greenery.
The experimental results show that all three greenness metrics exhibit a negative association with LST, but with markedly different response patterns (as shown in Figure 9). High-temperature hotspots are concentrated along wide arterial roads, transport hubs and heavily paved dense blocks, whereas substantially lower LST values occur near park edges, riverfronts and residential side streets with continuous vegetation. When road buffers are grouped into equal quantiles, GVI, FVC and GSI all display cooling responses, although with varying gradients. GVI shows a modest cooling effect that is most evident in the low-to-medium range (0–0.25) and then levels off at higher values, indicating that additional visible greenery at eye level provides limited incremental cooling. FVC also exhibits a negative relationship with LST, but the curve remains nearly flat at low to moderate coverage (below approximately 0.3–0.4) and only shows a pronounced temperature decrease at high canopy levels, suggesting that horizontal vegetation must surpass a certain threshold before substantially altering microclimate conditions. In contrast, GSI shows a smoother and nearly monotonic cooling trend, as the index increases from about 0.30 to 0.65, median LST decreases by roughly 1.5–2.0 °C, with the interquartile range narrowing at higher values. We computed the PCC between LST and three indicators (GSI, FVC, and GVI), respectively. The results revealed that GSI exhibited 5.6% and 8.8% higher correlation coefficients compared to FVC and GVI, respectively. These findings demonstrate that GSI possesses stronger and more consistent explanatory power than using either FVC or GVI alone.
Figure 9.
Spatial patterns of LST and its responses to GVI (a), FVC (b), and GSI (c).
3.3. Ablation Experiment
3.3.1. Justification for Substituting NDVI with FVC
Overall, in the road buffer zone of Futian District (Figure 10a), GVI shows a moderate positive correlation with FVC (R2 ≈ 0.26, p < 0.001), while the correlation between GVI and NDVI is weaker (R2 ≈ 0.16, p < 0.001), indicating that there is a significant difference in horizontal canopy coverage at the same visible green volume level. Compared with NDVI, FVC has a higher consistency with the visible green volume in street scenes and is more suitable to be used as a planar green volume index when constructing GSI.
Figure 10.
Global correlations among FVC, NDVI and GVI, with comparisons across five representative street segments. The first row displays road buffers within the study area; the second row presents correlations between FVC and GVI; the third row shows correlations between NDVI and GVI. Subfigure (a) illustrates the global correlation across the entire road network, while subfigures (b–f) correspond to the five selected road buffers, respectively.
Figure 10b is a primary east–west arterial with heavy traffic and dense commercial buildings. Street trees and linear lawns form continuous green belts, but surrounding high-rises cause shadows, keeping overall greenness moderate. FVC and GVI show moderate correlation (R2 = 0.40), while NDVI is weakly related (R2 = 0.08) due to mixed pixels and shadows.
Figure 10c is a waterfront expressway with wide sections, heavy traffic, and low building density. Vegetation mainly consists of median strips and shelterbelts. Open sightlines create strong visual continuity, but limited greening lowers overall greenness. FVC and GVI are moderately correlated (R2 = 0.37), whereas NDVI performs poorly (R2 = 0.13) due to interference from non-vegetated surfaces.
Figure 10d lies in a transitional zone between mountains and residential areas, flanked by dense slope vegetation. Strong spatial continuity enhances the FVC–GVI correlation (R2 = 0.50) and NDVI–GVI alignment (R2 = 0.48), showing that in open, high-greenness spaces, remote sensing and street-view metrics align well.
Figure 10e is a primary arterial in a dense built-up zone with narrow corridors and limited but well-arranged greenery. Shadows and occlusion weaken NDVI accuracy, while GVI captures the continuous green corridor formed by trees and belts. FVC and GVI are strongly correlated (R2 = 0.57).
Figure 10f is a north–south arterial with continuous green belts and low surrounding density, forming a clear linear green pattern. FVC–GVI correlation is moderate (R2 = 0.39), while NDVI–GVI is negligible (R2 = −0.01), indicating NDVI’s weakness in characterizing fragmented greenery.
At the aggregate level, the mean of R2 for NDVI–GVI regression models across all streets was only 0.144, while FVC–GVI models achieved a mean R2 of 0.448. These outcomes confirm that FVC is a more reliable complement to GVI, providing stronger ecological interpretability and closer alignment with human-perceived greenness.
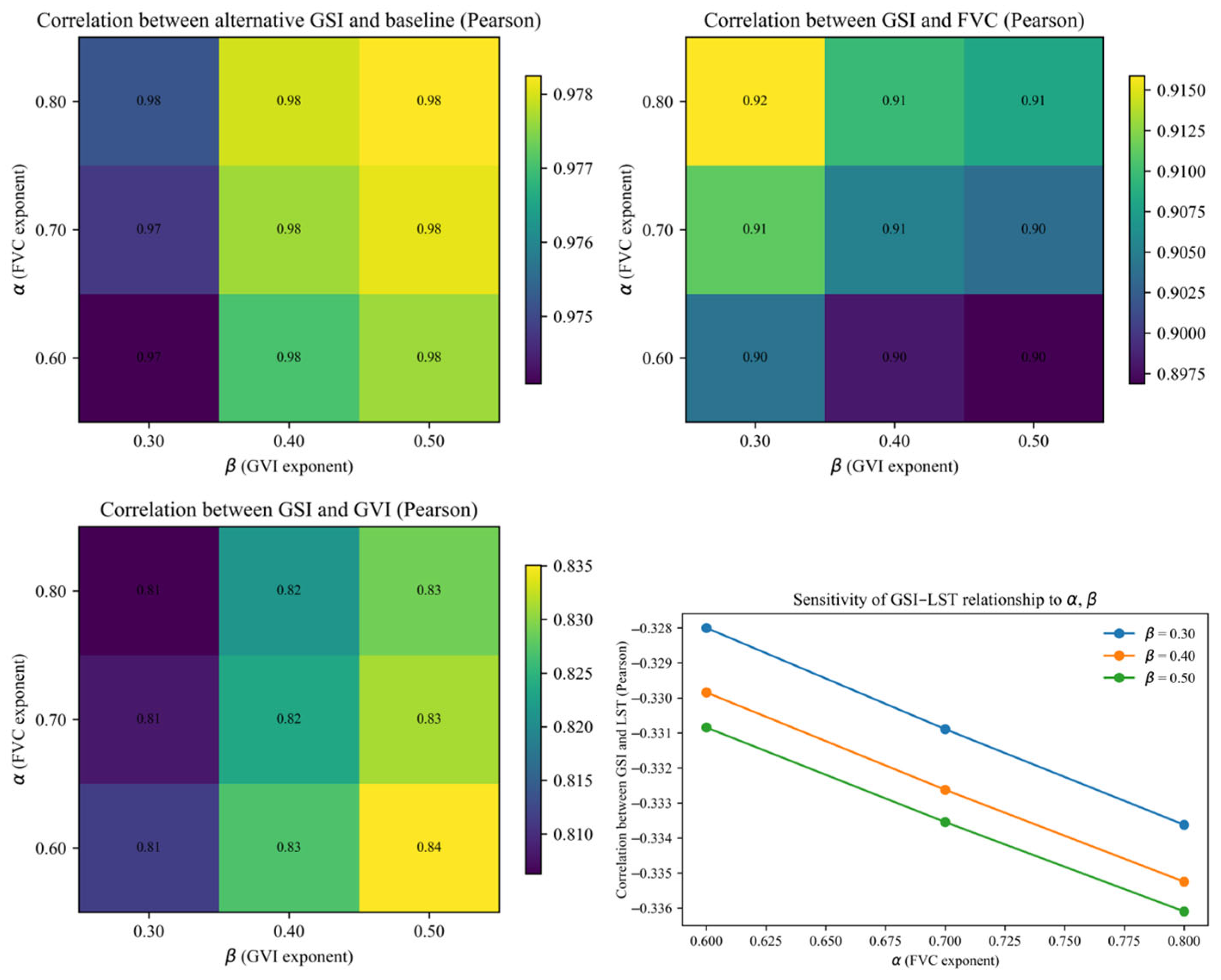
3.3.2. Sensitivity and Robustness of GSI to the FVC and GVI Exponent Parameters
To assess the robustness of GSI to the choice of exponent parameters, we performed a limited sensitivity analysis on the exponents of FVC and GVI, building on the theoretical formulation of the index (Figure 11). The FVC exponent α was set to 0.60, 0.70 and 0.80, and the GVI exponent β to 0.30, 0.40 and 0.50, covering a plausible perturbation range of ±0.1–0.2 around the baseline configuration (α = 0.70, β = 0.40). For each (α, β) pair, we recomputed a candidate GSI using Equation (9) and evaluated three statistics: (1) the Pearson correlation between the candidate and baseline GSI to characterize the consistency of the overall spatial pattern; (2) the correlations between the candidate GSI and FVC and GVI to examine how the exponents affect the relative weighting of horizontal cover and vertical visibility; and (3) the correlation between the candidate GSI and LST to test the stability of the ecological regulation signal under parameter perturbations. These statistics were visualized using heatmaps and line plots to enable an intuitive comparison of GSI behavior under different parameter combinations.
Figure 11.
Sensitivity of GSI to the FVC and GVI exponents.
The sensitivity analysis indicates that GSI is highly robust to variations in the FVC and GVI exponents (as shown in Figure 11). For all combinations with α = 0.60–0.80 and β = 0.30–0.50, the Pearson correlation between the candidate and baseline GSI exceeds 0.97, suggesting that the overall spatial pattern is nearly unchanged across exponent settings. The correlation between GSI and FVC remains within 0.90–0.92, while that between GSI and GVI stays within 0.81–0.84. Increasing α slightly strengthens the coupling between GSI and FVC, whereas increasing β moderately enhances its coupling with GVI, yet the magnitude of these changes is modest in both cases. The baseline parameters (α = 0.70, β = 0.40) lie near the center of this trade-off region, achieving a reasonable balance between horizontal coverage and street-level visibility. In addition, the correlation between GSI and LST remains around −0.33 for all parameter combinations, with a variation of less than 0.01, indicating that exponent perturbations do not alter either the direction or the strength of the GSI response to surface thermal gradients. Taken together, the spatial distribution of GSI and its statistical relationships with FVC, GVI and LST are insensitive to exponent adjustments within the tested range, which supports the validity and robustness of the parameter choices adopted in this study.
Since FVC replaces NDVI in the design of GSI, it is essential to verify whether this substitution enhances consistency with perceptual greenness. To this end, univariate regression models were constructed with GVI as the dependent variable and NDVI or FVC as independent predictors. Five representative streets, covering both central urban corridors and peripheral arterial roads, were selected for case-specific analysis.
3.4. Urban-Scale Application and Comparative Utility of GSI
The spatial comparison of GVI, FVC, and GSI (Figure 12) reveals distinct spatial consistency and divergence patterns among the three greenness indicators. Overall, the three maps (Figure 12a–c) display a similar spatial trend, with higher values concentrated in the central-western ecological corridors and peripheral green wedges, while lower values are observed in the dense urban core and transportation-dominated zones. However, the magnitude and spatial sensitivity of each indicator differ significantly.
Figure 12.
Spatial patterns of GVI (a), FVC (b), and GSI (c) in Shenzhen, shows the frequency and distribution of four typical GVI–FVC scenarios across urban functional zones, specifically Low GVI–Low FVC (d), Medium GVI–Medium FVC (e), High FVC–Low GVI and Low FVC–High GVI (f), and High FVC–High GVI (g), and provides a statistical summary of their frequency distribution (h).
GVI primarily captures façade-level and near-ground vegetation, exhibiting strong variability within dense urban zones. FVC, derived from overhead satellite imagery, reflects canopy-level greenness but is largely insensitive to vertical façade greening and to how vegetation is perceived from the street level, in areas with dense tree crowns, it may indicate high cover even when the visible greenness along the street is only moderate. GSI effectively integrates both aspects, producing smoother gradients across heterogeneous spaces and showing fewer saturation effects in highly vegetated zones.
As shown in the frequency statistics (Figure 12h), the High GVI–High FVC (Figure 12g) combination accounts for the largest share, representing approximately 42% of all samples. This indicates that a substantial portion of the city maintains consistently high greenness in both horizontal and vertical dimensions—mainly in park zones, green corridors, and residential areas with mature vegetation—demonstrating a well-balanced urban greening system. The Medium GVI–Medium FVC group (Figure 12e) constitutes around 27%, reflecting typical mixed-use and residential neighborhoods where greenery is moderately developed. These areas show relatively stable correspondence between perceived and ecological greenness, suggesting that balanced planting and open-space design contribute to consistent greenness perception. The Low GVI–Low FVC (Figure 12d) category occupies about 15%, concentrated in industrial land, transport corridors, and dense commercial zones. This proportion reveals that limited vegetation and high impervious surfaces lead to weak greenness both from ground perception and remote-sensing perspectives, underscoring the lack of green infrastructure in high-density urban cores. Finally, the mixed High–Low types (i.e., High FVC–Low GVI and Low FVC–High GVI) (Figure 12f) account for roughly 16% of the total. These combinations highlight spatial inconsistencies between canopy and visual greenness, often caused by vertical obstructions, elevated roads, or uneven vegetation distribution. Their existence emphasizes the necessity of integrating both viewpoints—top-down and human-scale—to achieve accurate representation of three-dimensional greenness.
Overall, these proportional differences reveal that the majority of Shenzhen’s urban spaces exhibit coherent greenness performance, whereas the mixed-type zones represent perceptually complex environments where single-source indicators (FVC or GVI alone) may fail to capture the full greenness structure.
4. Discussion
GSI responds to long-standing challenges in combining NDVI/FVC and GVI, which are usually analyzed separately due to differences in viewpoint, spatial resolution and ecological meaning [44,45,46].
4.1. Potential Applications and Comparison with Traditional Indicators
Based on the experimental findings, GSI offers several practical advantages over traditional greenness indicators and enables a broader range of applications. At the street and neighborhood scale, it can be used to identify segments where canopy cover is relatively high but street-level visibility is poor, or conversely where visible greenery is strong but horizontal volume is limited. Such information is valuable for prioritizing interventions along arterial roads, school routes and residential corridors where both visual comfort and climate regulation are of concern, complementing previous work that has emphasized either biophysical greenness or visual exposure alone [47,48]. At the city scale, continuous GSI maps provide a compact way to compare functional zones, delineate “green corridors” that combine coverage and visibility, and detect three-dimensional greenness gaps that are not apparent in coverage-based indicators alone, extending earlier NDVI- or FVC-based assessments of urban green infrastructure [49,50,51,52]. Because the index builds on widely available Sentinel-class imagery and commercial street-view data, the framework is, in principle, transferable to other cities with similar data infrastructures.
Compared with existing approaches, our city-scale results show how combining coverage and visibility changes the mapped structure of greenness rather than simply reproducing NDVI/FVC or GVI patterns. Previous studies that mapped urban green space mainly from NDVI or FVC typically highlighted large parks and peripheral green wedges, while underestimating greenness in compact street canyons where crowns are obscured in nadir views [45,46,53]; GVI-based work, in turn, emphasized tree-lined corridors but was strongly affected by occlusion and local morphology [23,46,54], and several recent comparisons have reported that NDVI–GVI correlations are modest and highly context dependent [55,56,57]. In our maps, all three indicators show higher values along central-western ecological corridors and peripheral wedges and lower values in dense commercial–transport zones, but GVI fluctuates strongly inside the urban core, FVC mainly responds to canopy extent, and GSI produces smoother gradients with fewer saturation effects in highly vegetated areas. The joint GVI–FVC scenario analysis further reveals that High GVI–High FVC segments (≈42%) correspond to well-greened parks and residential areas, Medium–Medium combinations (≈27%) represent ordinary mixed-use neighborhoods, Low–Low areas (≈15%) mark industrial and transport corridors with clear greening deficits, and the remaining ≈ 16% mixed High–Low types pinpoint places where canopy supply and street-level visibility diverge. Building on these patterns, GSI supports targeted interventions: for wide arterials, strengthening median trees, crown overlap and understory; for narrow streets, adding rows of trees, enlarging planting strips and facade/trellis greening, thus, the index helps identify underperforming segments where modest design changes could improve both ecological function and perceived three-dimensional greenness.
The comparison with LST highlights the added value of GSI relative to conventional indicators. In line with previous studies, both FVC and GVI show expected negative relationships with LST, confirming that greener environments tend to be cooler at the surface [47,48,58]. However, GSI provides a smoother and more consistent cooling gradient by jointly encoding canopy extent and street-level exposure, rather than relying on either coverage or visibility alone. This is consistent with emerging evidence that cooling effects depend not only on the total vegetated area but also on how greenery is arranged around streets and buildings, including tree height, crown continuity and the interaction between vertical and horizontal structure [49,57,59]. The fact that GSI maintains a stable association with LST despite being constructed independently of thermal information suggests that the index captures ecologically meaningful canopy configurations rather than acting as a purely statistical artifact.
4.2. Limitations and Challenges
Several limitations and uncertainties should be acknowledged. First, FVC and NDVI in this study are derived from medium-resolution Sentinel-2 imagery at 10 m, which remains coarse relative to narrow street canyons and small parcels and shares the same scale-related constraints reported in earlier urban greenness applications using similar sensors [60]. Street-view samples are constrained to road corridors, leaving interior parcels and courtyards under-represented; this bias is also noted in recent evaluations of street-view-based greenery exposure. Second, acquisition times differ between satellite imagery and street-view data, so seasonal and short-term changes in vegetation are not captured synchronously; transient dynamics associated with planting, pruning and irrigation are therefore only partially reflected, consistent with other studies that highlight phenological and temporal mismatches in multi-source urban greenness monitoring. Third, the functional form of GSI still involves parameter choices, including the selected exponents and interaction strength. Our sensitivity analysis indicates that the spatial distribution of GSI and its relationships with FVC, GVI and LST are robust to reasonable parameter perturbations, but alternative formulations could yield slightly different behaviors, particularly in extreme or highly specialized environments. Finally, the current framework does not yet incorporate explicit 3D structural descriptors (e.g., canopy height, layering, porosity) or socioeconomic and health-related dimensions, which limits its direct use in biodiversity, equity or public-health assessments, despite strong evidence that vertical forest structure and social vulnerability modulate the benefits of urban greening.
To address the current research limitations, future studies should pursue multidimensional advancements at both theoretical and methodological levels. On the data side, integrating higher-resolution UAV or airborne imagery with LiDAR-derived canopy metrics would enable more accurate estimation of FVC and explicit incorporation of three-dimensional structure into greenness indices. On the side of designing index, other nonlinear formulations or learning-based fusion approaches could be benchmarked against GSI across cities with different morphologies and climates to test transferability and generality, following recent advances in multi-source and deep-learning-based greenery mapping. Finally, coupling GSI with additional ecosystem-service indicators, such as carbon storage, habitat connectivity, thermal comfort and social vulnerability, would support multi-objective planning frameworks that explicitly weigh trade-offs between visual exposure to greenery and broader ecological and social benefits, in line with the expanding literature on multidimensional urban greenness and its health implications. In this way, GSI can serve not only as a diagnostic measure of three-dimensional greenness, but also as a decision-support tool for climate-sensitive and equity-oriented urban greening strategies.
5. Conclusions
This study proposed a GSI that unifies nadir-based vegetation coverage and street-level visibility on a common, metric-consistent scale. Building on this index, we constructed a complete workflow that includes spatial footprint alignment, depth-based scale harmonization, nonlinear transformations of FVC and GVI, and an interpretable weighting scheme. The proposed approach directly responds to the two key issues outlined in the Introduction.
First, the citywide analysis demonstrates that FVC and GVI exhibit only a weak overall relationship across the full urban fabric (R2 ≈ 0.27), mainly due to differences in viewpoint, occlusion and functional context. In contrast, their agreement becomes markedly stronger along arterial corridors with continuous tree belts (R2 up to 0.61), while commercial frontages and high-density residential edges frequently present asymmetric combinations, such as high FVC–low GVI or low FVC–high GVI. These results clarify that the FVC–GVI relationship is strongly context-dependent rather than globally linear.
Second, to jointly characterize horizontal coverage and vertical visibility while preserving their independence, GSI was formulated using fractional power exponents for FVC (α = 0.70) and GVI (β = 0.40) to suppress saturation and retain sensitivity at low greenness levels, together with a modest interaction term to capture synergistic effects without dominating the index. Ablation experiments further verify that replacing NDVI with FVC improves numerical stability under both low- and high-greenness conditions, and that the inclusion of the interaction term enhances the discrimination of street environments that are structurally different but similar in coverage.
From a methodological perspective, this study provides a transferable approach that can be implemented using standard geospatial tools and widely available remote sensing and street-view datasets. Key components include consistent observation footprints via depth-informed buffers, fractional power-law transformations that limit saturation while preserving gradient information, and an interaction term that captures synergy between coverage and visibility. From a substantive perspective, the results clarify why coverage–visibility relationships vary across urban forms and demonstrate that GSI can reveal three-dimensional greenness patterns and microclimate responses that cannot be captured by any single traditional indicator alone.
Author Contributions
Y.W.: Conceptualization, Funding acquisition, Methodology, Project administration, Visualization, Writing—review and editing. D.G.: Methodology, Investigation, Writing—original draft. W.J.: Funding acquisition, Investigation, Supervision, Writing—review and editing. J.X.: Conceptualization, Data curation, Supervision, Writing—review and editing. All authors have read and agreed to the published version of the manuscript.
Funding
This work is financially supported by the Natural Science Foundation of Guangxi Zhuang Autonomous Region under Grant: 2023GXNSFBA026350, the Specific Research Project of Guangxi for Research Bases and Talents under Grant: Guike AD23026167 and the National Natural Science Foundation of China under Grant: 42201463 and 42401540.
Data Availability Statement
All input datasets are publicly available. The Sentinel-2 L2A imagery used in this study is openly available from the Copernicus Data Space Ecosystem. The urban road network data were obtained from OpenStreetMap. Administrative boundary data were acquired from the Institute of Remote Sensing and Digital Earth, Geospatial Data Cloud. Street-view images were accessed via the Baidu Map Street View API and are subject to Baidu’s data usage policy. The processed datasets generated during this study are available from the corresponding author upon reasonable request.
Conflicts of Interest
The authors declare that they have no known competing financial interests or personal relationships that could have appeared to influence the work reported in this paper.
References
- Ding, A.; Cenci, J.; Zhang, J. Links between the pandemic and urban green spaces, a perspective on spatial indices of landscape garden cities in China. Sustain. Cities Soc. 2022, 85, 104046. [Google Scholar] [CrossRef]
- Liu, O.Y.; Russo, A. Assessing the contribution of urban green spaces in green infrastructure strategy planning for urban ecosystem conditions and services. Sustain. Cities Soc. 2021, 68, 102772. [Google Scholar] [CrossRef]
- Song, L.; Tang, Z.; Zhang, X.; Wang, Z.; Hong, B. Assessing effects of seasonal variations in 3D canopy structure characteristics on thermal comfort in urban parks. Urban For. Urban Green. 2025, 112, 128901. [Google Scholar] [CrossRef]
- Xu, J.; Jin, Y.; Ling, Y.; Sun, Y.; Wang, Y. Exploring the seasonal impacts of morphological spatial pattern of green spaces on the urban heat island. Sustain. Cities Soc. 2025, 125, 106352. [Google Scholar] [CrossRef]
- Zhong, Q.; Li, Z.; Zhu, J.; Yuan, C. Revealing multiscale and nonlinear effects of urban green spaces on heat islands in high-density cities: Insights from MSPA and machine learning. Sustain. Cities Soc. 2025, 120, 106173. [Google Scholar] [CrossRef]
- Wu, S.; Chen, B.; Webster, C.; Xu, B.; Gong, P. Improved human greenspace exposure equality during 21st century urbanization. Nat. Commun. 2023, 14, 6460. [Google Scholar] [CrossRef]
- Zhang, X.; Brandt, M.; Tong, X.; Tong, X.; Zhang, W.; Reiner, F.; Li, S.; Tian, F.; Yue, Y.; Zhou, W.; et al. A strong but uneven increase in urban tree cover in China over the recent decade. Nat. Cities 2025, 2, 460–469. [Google Scholar] [CrossRef]
- Chen, J.; Zhou, C.; Li, F. Quantifying the green view indicator for assessing urban greening quality: An analysis based on Internet-crawling street view data. Ecol. Indic. 2020, 113, 106192. [Google Scholar] [CrossRef]
- Gupta, K.; Kumar, P.; Pathan, S.K.; Sharma, K.P. Urban Neighborhood Green Index—A measure of green spaces in urban areas. Landsc. Urban Plan. 2012, 105, 325–335. [Google Scholar] [CrossRef]
- Xia, Y.; Yabuki, N.; Fukuda, T. Development of a system for assessing the quality of urban street-level greenery using street view images and deep learning. Urban For. Urban Green. 2021, 59, 126995. [Google Scholar] [CrossRef]
- Barbierato, E.; Bernetti, I.; Capecchi, I.; Saragosa, C. Integrating remote sensing and street view images to quantify urban forest ecosystem services. Remote Sens. 2020, 12, 329. [Google Scholar] [CrossRef]
- Huang, Z.; Duan, L.; Xu, Y.; Yang, S.; Lin, Z.; Yue, H.; Yang, J. Exploring the influence of urban green space and urban morphology on urban heat Islands using street view and satellite imagery. Sci. Rep. 2025, 15, 23759. [Google Scholar] [CrossRef]
- Wang, H.; Che, X.; Yang, X. Investigating Green View Perception in Non-Street Areas by Combining Baidu Street View and Sentinel-2 Images. Sustainability 2025, 17, 7485. [Google Scholar] [CrossRef]
- Liang, H.; Li, W.; Zhang, Q.; Zhu, W.; Chen, D.; Liu, J.; Shu, T. Using unmanned aerial vehicle data to assess the three-dimension green quantity of urban green space: A case study in Shanghai, China. Landsc. Urban Plan. 2017, 164, 81–90. [Google Scholar] [CrossRef]
- Yu, S.; Yu, B.; Song, W.; Wu, B.; Zhou, J.; Huang, Y.; Wu, J.; Zhao, F.; Mao, W. View-based greenery: A three-dimensional assessment of city buildings’ green visibility using Floor Green View Index. Landsc. Urban Plan. 2016, 152, 13–26. [Google Scholar] [CrossRef]
- Li, M.; Yao, W. 3d Map System for Tree Monitoring in Hong Kong Using Google Street View Imagery and Deep Learning. ISPRS Ann. Photogramm. Remote Sens. Spat. Inf. Sci. 2020, V-3-2020, 765–772. [Google Scholar] [CrossRef]
- Ki, D.; Park, K.; Chen, Z. Bridging the gap between pedestrian and street views for human-centric environment measurement: A GIS-based 3D virtual environment. Landsc. Urban Plan. 2023, 240, 104873. [Google Scholar] [CrossRef]
- Chen, B.; Wu, S.; Song, Y.; Webster, C.; Xu, B.; Gong, P. Contrasting inequality in human exposure to greenspace between cities of Global North and Global South. Nat. Commun. 2022, 13, 4636. [Google Scholar] [CrossRef]
- Huang, Y.; Sanatani, R.P.; Liu, C.; Kang, Y.; Zhang, F.; Liu, Y.; Duarte, F.; Ratti, C. No “true” greenery: Deciphering the bias of satellite and street view imagery in urban greenery measurement. Build. Environ. 2025, 269, 112395. [Google Scholar] [CrossRef]
- Bai, Z.; Wang, Z.; Li, D.; Wang, X.; Jian, Y. The relationships between 2D and 3D green index altered by spatial attributes at high spatial resolution. Urban For. Urban Green. 2024, 101, 128540. [Google Scholar] [CrossRef]
- Sun, Y.; Wang, X.; Zhu, J.; Chen, L.; Jia, Y.; Lawrence, J.M.; Jiang, L.-h.; Xie, X.; Wu, J. Using machine learning to examine street green space types at a high spatial resolution: Application in Los Angeles County on socioeconomic disparities in exposure. Sci. Total Environ. 2021, 787, 147653. [Google Scholar] [CrossRef]
- Donovan, G.H.; Gatziolis, D.; Derrien, M.; Michael, Y.L.; Prestemon, J.P.; Douwes, J. Shortcomings of the normalized difference vegetation index as an exposure metric. Nat. Plants 2022, 8, 617–622. [Google Scholar] [CrossRef] [PubMed]
- Sun, L.; Wang, J.; Xie, Z.; Li, R.; Wu, X.; Wu, Y.; Kalantar, B. Evaluating the Street Greening with the Multiview Data Fusion. J. Sens. 2021, 2021, 2793474. [Google Scholar] [CrossRef]
- Li, T.; Zheng, X.; Wu, J.; Zhang, Y.; Fu, X.; Deng, H. Spatial relationship between green view index and normalized differential vegetation index within the Sixth Ring Road of Beijing. Urban For. Urban Green. 2021, 62, 127153. [Google Scholar] [CrossRef]
- Hong, Z.; Liu, Y.; Xu, W.; Wang, L.; Lu, N.; Ou, G.; Kou, W. A new method of three-dimensional green volume retrieval and its applications in urban greenery evaluation. Ecol. Indic. 2025, 176, 113629. [Google Scholar] [CrossRef]
- Duan, W.; Jin, A.; Liu, X.; Li, H. Seasonal variations and spatial mechanisms of 2D and 3D green indices in the central urban area. Ecol. Indic. 2025, 178, 113828. [Google Scholar] [CrossRef]
- Hu, M.; Yin, W.; Zhang, C.; Cai, Z.; Long, X.; Chen, H.; Wang, K.; Yu, G.; Shen, C.; Shen, S. Metric3d v2: A versatile monocular geometric foundation model for zero-shot metric depth and surface normal estimation. IEEE Trans. Pattern Anal. Mach. Intell. 2024, 46, 10579–10596. [Google Scholar] [CrossRef] [PubMed]
- Chen, L.-C.; Zhu, Y.; Papandreou, G.; Schroff, F.; Adam, H. Encoder-decoder with atrous separable convolution for semantic image segmentation. In Proceedings of the European Conference on Computer Vision (ECCV), Munich, Germany, 8–14 September 2018; pp. 801–818. [Google Scholar]
- Carlson, T.N.; Ripley, D.A. On the relation between NDVI, fractional vegetation cover, and leaf area index. Remote Sens. Environ. 1997, 62, 241–252. [Google Scholar] [CrossRef]
- Mu, X.; Yang, Y.; Xu, H.; Guo, Y.; Lai, Y.; McVicar, T.R.; Xie, D.; Yan, G. Improvement of NDVI mixture model for fractional vegetation cover estimation with consideration of shaded vegetation and soil components. Remote Sens. Environ. 2024, 314, 114409. [Google Scholar] [CrossRef]
- Saeedavi, Z.; Khalili, M.B.; Bagheri, B.M.; Rangzan, N. Land Suitability Assessment for Urban Green Space Using AHP and GIS: A Case Study of Ahvaz Parks, Iran. 2017. Available online: https://jdesert.ut.ac.ir/article_62174.html (accessed on 5 December 2021).
- Li, Z.; Fan, Z.; Shen, S. Urban green space suitability evaluation based on the AHP-CV combined weight method: A case study of Fuping county, China. Sustainability 2018, 10, 2656. [Google Scholar] [CrossRef]
- Li, N.; Zhao, F.; Chen, S.; Li, C.; Wang, Y.; Ma, Y.; Chen, L. Indirect non-linear effects of landscape patterns on vegetation growth in Kunming City. npj Urban Sustain. 2024, 4, 30. [Google Scholar] [CrossRef]
- Al-Saadi, L.M.; Jaber, S.H.; Al-Jiboori, M.H. Variation of urban vegetation cover and its impact on minimum and maximum heat islands. Urban Clim. 2020, 34, 100707. [Google Scholar] [CrossRef]
- Xiao, J.; Moody, A. A comparison of methods for estimating fractional green vegetation cover within a desert-to-upland transition zone in central New Mexico, USA. Remote Sens. Environ. 2005, 98, 237–250. [Google Scholar] [CrossRef]
- Yang, J.; Shi, Q.; Menenti, M.; Xie, Y.; Wu, Z.; Xu, Y.; Abbas, S. Characterizing the thermal effects of vegetation on urban surface temperature. Urban Clim. 2022, 44, 101204. [Google Scholar] [CrossRef]
- Gao, S.; Zhong, R.; Yan, K.; Ma, X.; Chen, X.; Pu, J.; Gao, S.; Qi, J.; Yin, G.; Myneni, R.B. Evaluating the saturation effect of vegetation indices in forests using 3D radiative transfer simulations and satellite observations. Remote Sens. Environ. 2023, 295, 113665. [Google Scholar] [CrossRef]
- Mutanga, O.; Masenyama, A.; Sibanda, M. Spectral saturation in the remote sensing of high-density vegetation traits: A systematic review of progress, challenges, and prospects. ISPRS J. Photogramm. Remote Sens. 2023, 198, 297–309. [Google Scholar] [CrossRef]
- Aikoh, T.; Homma, R.; Abe, Y. Comparing conventional manual measurement of the green view index with modern automatic methods using google street view and semantic segmentation. Urban For. Urban Green. 2023, 80, 127845. [Google Scholar] [CrossRef]
- Chen, C.; Wang, J.; Li, D.; Sun, X.; Zhang, J.; Yang, C.; Zhang, B. Unraveling nonlinear effects of environment features on green view index using multiple data sources and explainable machine learning. Sci. Rep. 2024, 14, 30189. [Google Scholar] [CrossRef] [PubMed]
- Rieves, E.S.; Reid, C.E.; Carlson, K.; Li, X. Do environmental attitudes and personal characteristics influence how people perceive their exposure to green spaces? Landsc. Urban Plan. 2024, 248, 105080. [Google Scholar] [CrossRef] [PubMed]
- Shao, H.; Liu, Y.; Ren, H.; Li, Z. Research on healing-oriented street design based on quantitative emotional electroencephalography and eye-tracking technology. Front. Hum. Neurosci. 2025, 19, 1546933. [Google Scholar] [CrossRef] [PubMed]
- Technical Criterion for Ecosystem Status Evaluation (HJ 192—2015). 2015. Available online: https://english.mee.gov.cn/Resources/standards/Eco_Environment/201605/t20160512_337614.shtml (accessed on 5 December 2021).
- Wu, S.; Song, Y.; An, J.; Lin, C.; Chen, B. High-resolution greenspace dynamic data cube from Sentinel-2 satellites over 1028 global major cities. Sci. Data 2024, 11, 909. [Google Scholar] [CrossRef]
- Gao, L.; Wang, X.; Johnson, B.A.; Tian, Q.; Wang, Y.; Verrelst, J.; Mu, X.; Gu, X. Remote sensing algorithms for estimation of fractional vegetation cover using pure vegetation index values: A review. ISPRS J. Photogramm. Remote Sens. 2020, 159, 364–377. [Google Scholar] [CrossRef] [PubMed]
- Han, Z.; Tian, Q.; Tian, J.; Zhao, T.; Xu, C.; Zhou, Q. Estimation of fractional cover based on NDVI-VISI response space using visible-near infrared satellite imagery. Int. J. Appl. Earth Obs. Geoinf. 2025, 137, 104432. [Google Scholar] [CrossRef]
- Shah, A.; Garg, A.; Mishra, V. Quantifying the local cooling effects of urban green spaces: Evidence from Bengaluru, India. Landsc. Urban Plan. 2021, 209, 104043. [Google Scholar] [CrossRef]
- Aram, F.; García, E.H.; Solgi, E.; Mansournia, S. Urban green space cooling effect in cities. Heliyon 2019, 5, e01339. [Google Scholar] [CrossRef]
- Zhang, J.; Wang, P.; Jin, A. Multidimensional characteristics of urban green space and its impact in mitigating urban heat Island effects: A case study of Guangzhou. Sci. Rep. 2025, 15, 39959. [Google Scholar] [CrossRef]
- Ludwig, C.; Hecht, R.; Lautenbach, S.; Schorcht, M.; Zipf, A. Mapping public urban green spaces based on openstreetmap and sentinel-2 imagery using belief functions. ISPRS Int. J. Geo-Inf. 2021, 10, 251. [Google Scholar] [CrossRef]
- Upreti, M.; Kumar, A. Evaluating functional traits of urban green spaces in mitigating land surface temperature in megacities. Discov. Cities 2025, 2, 31. [Google Scholar] [CrossRef]
- Wang, Y.; Li, M. Annually urban fractional vegetation cover dynamic mapping in Hefei, China (1999–2018). Remote Sens. 2021, 13, 2126. [Google Scholar] [CrossRef]
- Buyantuyev, A.; Wu, J.; Gries, C. Estimating vegetation cover in an urban environment based on Landsat ETM+ imagery: A case study in Phoenix, USA. Int. J. Remote Sens. 2007, 28, 269–291. [Google Scholar] [CrossRef]
- Bobo Merga, B.; Tabor, K.W.; Melka, G.A. Analysis of the cooling effects of urban green spaces in mitigating micro-climate change using geospatial techniques in Adama City, Ethiopia. Sustain. Environ. 2024, 10, 2350806. [Google Scholar] [CrossRef]
- Song, D.-X.; Zhong, D.; Chen, Z.; Qi, S.; Wang, C.; Yao, J.; He, T. A satellite perspective of interannual and seasonal variations in greenspace and human exposure over urban and peri-urban areas in Chinese cities from 2000 to 2020. Landsc. Urban Plan. 2025, 259, 105354. [Google Scholar] [CrossRef]
- Lotfi, W.; Abbasi, N.; Cheshmehzangi, A.; Khodakarami, L.; Nouri, H. Evaluating the Greenness of Sanandaj City Using Sentinel Imagery in Google Earth Engine. Sustainability 2025, 17, 3471. [Google Scholar] [CrossRef]
- Gülçin, D. Spatial distribution of urban vegetation: A case study of a Canadian University Campus using LiDAR-based metrics. Forestist 2021, 71, 1–14. [Google Scholar] [CrossRef]
- Smith, I.A.; Fabian, M.P.; Hutyra, L.R. Urban green space and albedo impacts on surface temperature across seven United States cities. Sci. Total Environ. 2023, 857, 159663. [Google Scholar] [CrossRef] [PubMed]
- Tang, L.; Zhan, Q.; Fan, Y.; Liu, H.; Fan, Z. Exploring the impacts of greenspace spatial patterns on land surface temperature across different urban functional zones: A case study in Wuhan metropolitan area, China. Ecol. Indic. 2023, 146, 109787. [Google Scholar] [CrossRef]
- Zhao, X.; Tan, S.; Li, Y.; Wu, H.; Wu, R. Quantitative analysis of fractional vegetation cover in southern Sichuan urban agglomeration using optimal parameter geographic detector model, China. Ecol. Indic. 2024, 158, 111529. [Google Scholar] [CrossRef]
Disclaimer/Publisher’s Note: The statements, opinions and data contained in all publications are solely those of the individual author(s) and contributor(s) and not of MDPI and/or the editor(s). MDPI and/or the editor(s) disclaim responsibility for any injury to people or property resulting from any ideas, methods, instructions or products referred to in the content. |
© 2025 by the authors. Licensee MDPI, Basel, Switzerland. This article is an open access article distributed under the terms and conditions of the Creative Commons Attribution (CC BY) license.
















































