Sign in to use this feature.

Years

Between: -

Subjects

remove_circle_outline
remove_circle_outline
remove_circle_outline
remove_circle_outline
remove_circle_outline
remove_circle_outline
remove_circle_outline
remove_circle_outline
remove_circle_outline

Journals

remove_circle_outline
remove_circle_outline
remove_circle_outline
remove_circle_outline
remove_circle_outline

Article Types

Countries / Regions

remove_circle_outline
remove_circle_outline
remove_circle_outline
remove_circle_outline
remove_circle_outline
remove_circle_outline

Search Results (1,417)

Search Parameters:
Keywords = variable renewable power

Order results
Result details
Results per page
Select all
Export citation of selected articles as:
32 pages, 4385 KB  
Article
Probabilistic Wind Speed Forecasting Under at Site and Regional Frameworks: A Comparative Evaluation of BART, GPR, and QRF
by Khaled Haddad and Ataur Rahman
Climate 2026, 14(1), 21; https://doi.org/10.3390/cli14010021 - 15 Jan 2026
Viewed by 14
Abstract
Reliable probabilistic wind speed forecasts are essential for integrating renewable energy into power grids and managing operational uncertainty. This study compares Quantile Regression Forests (QRF), Bayesian Additive Regression Trees (BART), and Gaussian Process Regression (GPR) under at-site and regional pooled frameworks using 21 [...] Read more.
Reliable probabilistic wind speed forecasts are essential for integrating renewable energy into power grids and managing operational uncertainty. This study compares Quantile Regression Forests (QRF), Bayesian Additive Regression Trees (BART), and Gaussian Process Regression (GPR) under at-site and regional pooled frameworks using 21 years (2000–2020) of daily wind data from eleven stations in New South Wales and Queensland, Australia. Models are evaluated via strict year-based holdout validation across seven metrics: RMSE, MAE, R2, bias, correlation, coverage, and Continuous Ranked Probability Score (CRPS). Regional QRF achieves exceptional point forecast stability with minimal RMSE increase but suffers persistent under-coverage, rendering probabilistic bounds unreliable. BART attains near-nominal coverage at individual sites but experiences catastrophic calibration collapse under regional pooling, driven by fixed noise priors inadequate for spatially heterogeneous data. In contrast, GPR maintains robust probabilistic skill regionally despite larger point forecast RMSE penalties, achieving the lowest overall CRPS and near-nominal coverage through kernel-based variance inflation. Variable importance analysis identifies surface pressure and minimum temperature as dominant predictors (60–80%), with spatial covariates critical for regional differentiation. Operationally, regional QRF is prioritised for point accuracy, regional GPR for calibrated probabilistic forecasts in risk-sensitive applications, and at-site BART when local data suffice. These findings show that Bayesian machine learning methods can effectively navigate the trade-off between local specificity and regional pooling, a challenge common to wind forecasting in diverse terrain globally. The methodology and insights are transferable to other heterogeneous regions, providing guidance for probabilistic wind forecasting and renewable energy grid integration. Full article
Show Figures

Figure 1

37 pages, 1680 KB  
Review
Renewable Energy-Driven Pumping Systems and Application for Desalination: A Review of Technologies and Future Directions
by Levon Gevorkov, Ehsan Saebnoori, José Luis Domínguez-García and Lluis Trilla
Appl. Sci. 2026, 16(2), 862; https://doi.org/10.3390/app16020862 - 14 Jan 2026
Viewed by 61
Abstract
Desalination is a vital solution to global water scarcity, yet its substantial energy demand persists as a major challenge. As the core energy-consuming components, pumps are fundamental to both membrane and thermal desalination processes. This review provides a comprehensive analysis of renewable energy [...] Read more.
Desalination is a vital solution to global water scarcity, yet its substantial energy demand persists as a major challenge. As the core energy-consuming components, pumps are fundamental to both membrane and thermal desalination processes. This review provides a comprehensive analysis of renewable energy source (RES)-driven pumping systems for desalination, focusing on the integration of solar photovoltaic and wind technologies. It examines the operational principles and efficiency of key pump types, such as high-pressure feed pumps for reverse osmosis, and underscores the critical role of energy recovery devices (ERDs) in minimizing net energy consumption. Furthermore, the paper highlights the importance of advanced control and energy management systems (EMS) in mitigating the intermittency of renewable sources. It details essential control strategies, including maximum power point tracking (MPPT), motor drive control, and supervisory EMS, that optimize the synergy between pumps, ERDs, and variable power inputs. By synthesizing current technologies and control methodologies, this review aims to identify pathways for designing more resilient, energy-efficient, and cost-effective desalination plants, supporting a sustainable water future. Full article
(This article belongs to the Section Energy Science and Technology)
Show Figures

Figure 1

38 pages, 7657 KB  
Article
Optimizing Energy Storage Systems with PSO: Improving Economics and Operations of PMGD—A Chilean Case Study
by Juan Tapia-Aguilera, Luis Fernando Grisales-Noreña, Roberto Eduardo Quintal-Palomo, Oscar Danilo Montoya and Daniel Sanin-Villa
Appl. Syst. Innov. 2026, 9(1), 22; https://doi.org/10.3390/asi9010022 - 14 Jan 2026
Viewed by 60
Abstract
This work develops a methodology for operating Battery Energy Storage Systems (BESSs) in distribution networks, connected in parallel with a medium- and small-scale photovoltaic Distributed Generator (PMGD), focusing on a real project located in the O’Higgins region of Chile. The objective is to [...] Read more.
This work develops a methodology for operating Battery Energy Storage Systems (BESSs) in distribution networks, connected in parallel with a medium- and small-scale photovoltaic Distributed Generator (PMGD), focusing on a real project located in the O’Higgins region of Chile. The objective is to increase energy sales by the PMGD while ensuring compliance with operational constraints related to the grid, PMGD, and BESSs, and optimizing renewable energy use. A real distribution network from Compañía General de Electricidad (CGE) comprising 627 nodes was simplified into a validated three-node, two-line equivalent model to reduce computational complexity while maintaining accuracy. A mathematical model was designed to maximize economic benefits through optimal energy dispatch, considering solar generation variability, demand curves, and seasonal energy sales and purchasing prices. An energy management system was proposed based on a master–slave methodology composed of Particle Swarm Optimization (PSO) and an hourly power flow using the successive approximation method. Advanced optimization techniques such as Monte Carlo (MC) and the Genetic Algorithm (GAP) were employed as comparison methods, supported by a statistical analysis evaluating the best and average solutions, repeatability, and processing times to select the most effective optimization approach. Results demonstrate that BESS integration efficiently manages solar generation surpluses, injecting energy during peak demand and high-price periods to maximize revenue, alleviate grid congestion, and improve operational stability, with PSO proving particularly efficient. This work underscores the potential of BESS in PMGD to support a more sustainable and efficient energy matrix in Chile, despite regulatory and technical challenges that warrant further investigation. Full article
(This article belongs to the Section Applied Mathematics)
26 pages, 17406 KB  
Article
Mapping the Spatial Distribution of Photovoltaic Power Plants in Northwest China Using Remote Sensing and Machine Learning
by Xiaoliang Shi, Wenyu Lyu, Weiqi Ding, Yizhen Wang, Yuchen Yang and Li Wang
Sustainability 2026, 18(2), 820; https://doi.org/10.3390/su18020820 - 14 Jan 2026
Viewed by 88
Abstract
Photovoltaic (PV) power generation is essential for achieving carbon neutrality and advancing renewable energy development. In Northwest China, the rapid expansion of PV installations requires accurate and timely spatial data to support effective monitoring and planning. Addressing the limitations of existing datasets in [...] Read more.
Photovoltaic (PV) power generation is essential for achieving carbon neutrality and advancing renewable energy development. In Northwest China, the rapid expansion of PV installations requires accurate and timely spatial data to support effective monitoring and planning. Addressing the limitations of existing datasets in spatiotemporal resolution and driver analysis, this study develops a scalable solar facility inventory framework on the Google Earth Engine (GEE) platform. The framework integrates Sentinel-1 SAR, Sentinel-2 multispectral imagery, and interpretable machine learning. Feature redundancy is first assessed using correlation-based metrics, after which a Random Forest classifier is applied to generate a 10 m resolution distribution map of utility-scale photovoltaic power plants as of December 2023. To elucidate model behavior, SHAP (SHapley Additive exPlanations) is used to identify key predictors, and MaxEnt is incorporated to provide a preliminary quantitative assessment of spatial drivers of PV deployment. The RFECV-optimized model, retaining 44 key features, achieves an overall accuracy of 98.4% and a Kappa coefficient of 0.96. The study region contains approximately 2560 km2 of PV installations, with pronounced clusters in northern Ningxia, central Shaanxi, and parts of Xinjiang and Gansu. SHAP analysis highlights the Enhanced Photovoltaic Index (EPVI), the Normalized Difference Built-up Index (NDBI), Sentinel-2 Band 8A, and related texture metrics as primary contributors to model predictions. High EPVI, NDBI, and Sentinel-2 Band 8A values contribute positively to PV classification, whereas vegetation-related indices (e.g., NDVI) exhibit predominantly negative contributions; these results indicate that PV mapping relies on the integrated discrimination of multiple spectral and texture features rather than on a single dominant variable. MaxEnt results indicate that grid accessibility and land-use constraints (e.g., nighttime light intensity reflecting human activity) are dominant drivers of PV clustering, often exerting more influence than solar irradiance alone. This framework provides robust technical support for PV monitoring and offers high-resolution spatial distribution data and driver insights to inform sustainable energy management and regional renewable-energy planning. Full article
Show Figures

Figure 1

22 pages, 2108 KB  
Article
Comprehensive Parameter Optimization of Composite Harmonic Injection for Capacitor Voltage Fluctuation Suppression of MMC
by Tan Li, Yingxin Wang, Bin Yuan and Yu Meng
Electronics 2026, 15(2), 359; https://doi.org/10.3390/electronics15020359 - 13 Jan 2026
Viewed by 145
Abstract
Modular multilevel converter (MMC) is widely employed in high-voltage direct current (HVDC) systems for the long-distance renewable energy transmission, where the larger submodule (SM) capacitors significantly increase its size, weight and cost. Conventional capacitor voltage fluctuation suppression methods, such as composite harmonic injection [...] Read more.
Modular multilevel converter (MMC) is widely employed in high-voltage direct current (HVDC) systems for the long-distance renewable energy transmission, where the larger submodule (SM) capacitors significantly increase its size, weight and cost. Conventional capacitor voltage fluctuation suppression methods, such as composite harmonic injection (CHI) strategies, can achieve lightweight MMC. However, these approaches often neglect the dynamic constraints between harmonic injection parameters and their coupled effect on modulation wave, which not only leads to suboptimal global solutions but also increases the risk of system overshoot. Therefore, this paper proposes a comprehensive CHI parameters optimization method to minimize capacitor voltage fluctuations, thereby allowing for a smaller SM capacitor. First, the analytical expression of SM average capacitor voltage is developed, incorporating the injected second-order harmonic circulating current and third-order harmonic voltage. On this basis, an objective function is defined to minimize the sum of the fundamental and second-order harmonic components of the average capacitor voltage, with the harmonic injection parameters and modulation index as optimization variables. Then, these parameters are optimized using a particle swarm optimization (PSO) algorithm, where their constraints are set to prevent modulation wave overshoot and additional power loss. Finally, the optimization method is validated through a ±500 kV, 1500 MW MMC-HVDC system under various power conditions in PSCAD/EMTDC (version 4.6.3). In addition, simulation results demonstrate that the proposed method can achieve a 13.33% greater reduction in SM capacitance value compared to conventional strategies. Full article
(This article belongs to the Special Issue Stability Analysis and Optimal Operation in Power Electronic Systems)
Show Figures

Figure 1

41 pages, 6791 KB  
Article
Integrated Biogas–Hydrogen–PV–Energy Storage–Gas Turbine System: A Pathway to Sustainable and Efficient Power Generation
by Artur Harutyunyan, Krzysztof Badyda and Łukasz Szablowski
Energies 2026, 19(2), 387; https://doi.org/10.3390/en19020387 - 13 Jan 2026
Viewed by 167
Abstract
The increasing penetration of variable renewable energy sources intensifies grid imbalance and challenges the reliability of small-scale power systems. This study addresses these challenges by developing and analyzing a fully integrated hybrid energy system that combines biogas upgrading to biomethane, photovoltaic (PV) generation, [...] Read more.
The increasing penetration of variable renewable energy sources intensifies grid imbalance and challenges the reliability of small-scale power systems. This study addresses these challenges by developing and analyzing a fully integrated hybrid energy system that combines biogas upgrading to biomethane, photovoltaic (PV) generation, hydrogen production via alkaline electrolysis, hydrogen storage, and a gas-steam combined cycle (CCGT). The system is designed to supply uninterrupted electricity to a small municipality of approximately 4500 inhabitants under predominantly self-sufficient operating conditions. The methodology integrates high-resolution, full-year electricity demand and solar resource data with detailed process-based simulations performed using Aspen Plus, Aspen HYSYS, and PVGIS-SARAH3 meteorological inputs. Surplus PV electricity is converted into hydrogen and stored, while upgraded biomethane provides dispatchable backup during periods of low solar availability. The gas-steam combined cycle enables flexible and efficient electricity generation, with hydrogen blending supporting dynamic turbine operation and further reducing fossil fuel dependency. The results indicate that a 10 MW PV installation coupled with a 2.9 MW CCGT unit and a hydrogen storage capacity of 550 kg is sufficient to ensure year-round power balance. During winter months, system operation is sustained entirely by biomethane, while in high-solar periods hydrogen production and storage enhance operational flexibility. Compared to a conventional grid-based electricity supply, the proposed system enables near-complete elimination of operational CO2 emissions, achieving an annual reduction of approximately 8800 tCO2, corresponding to a reduction of about 93%. The key novelty of this work lies in the simultaneous and process-level integration of biogas, hydrogen, photovoltaic generation, energy storage, and a gas-steam combined cycle within a single operational framework, an approach that has not been comprehensively addressed in the recent literature. The findings demonstrate that such integrated hybrid systems can provide dispatchable, low-carbon electricity for small communities, offering a scalable pathway toward resilient and decentralized energy systems. Full article
(This article belongs to the Special Issue Transitioning to Green Energy: The Role of Hydrogen)
Show Figures

Figure 1

21 pages, 6454 KB  
Article
Probabilistic Photovoltaic Power Forecasting with Reliable Uncertainty Quantification via Multi-Scale Temporal–Spatial Attention and Conformalized Quantile Regression
by Guanghu Wang, Yan Zhou, Yan Yan, Zhihan Zhou, Zikang Yang, Litao Dai and Junpeng Huang
Sustainability 2026, 18(2), 739; https://doi.org/10.3390/su18020739 - 11 Jan 2026
Viewed by 187
Abstract
Accurate probabilistic forecasting of photovoltaic (PV) power generation is crucial for grid scheduling and renewable energy integration. However, existing approaches often produce prediction intervals with limited calibration accuracy, and the interdependence among meteorological variables is frequently overlooked. This study proposes a probabilistic forecasting [...] Read more.
Accurate probabilistic forecasting of photovoltaic (PV) power generation is crucial for grid scheduling and renewable energy integration. However, existing approaches often produce prediction intervals with limited calibration accuracy, and the interdependence among meteorological variables is frequently overlooked. This study proposes a probabilistic forecasting framework based on a Multi-scale Temporal–Spatial Attention Quantile Regression Network (MTSA-QRN) and an adaptive calibration mechanism to enhance uncertainty quantification and ensure statistically reliable prediction intervals. The framework employs a dual-pathway architecture: a temporal pathway combining Temporal Convolutional Networks (TCN) and multi-head self-attention to capture hierarchical temporal dependencies, and a spatial pathway based on Graph Attention Networks (GAT) to model nonlinear meteorological correlations. A learnable gated fusion mechanism adaptively integrates temporal–spatial representations, and weather-adaptive modules enhance robustness under diverse atmospheric conditions. Multi-quantile prediction intervals are calibrated using conformalized quantile regression to ensure reliable uncertainty coverage. Experiments on a real-world PV dataset (15 min resolution) demonstrate that the proposed method offers more accurate and sharper uncertainty estimates than competitive benchmarks, supporting risk-aware operational decision-making in power systems. Quantitative evaluation on a real-world 40 MW photovoltaic plant demonstrates that the proposed MTSA-QRN achieves a CRPS of 0.0400 before calibration, representing an improvement of over 55% compared with representative deep learning baselines such as Quantile-GRU, Quantile-LSTM, and Quantile-Transformer. After adaptive calibration, the proposed method attains a reliable empirical coverage close to the nominal level (PICP90 = 0.9053), indicating effective uncertainty calibration. Although the calibrated prediction intervals become wider, the model maintains a competitive CRPS value (0.0453), striking a favorable balance between reliability and probabilistic accuracy. These results demonstrate the effectiveness of the proposed framework for reliable probabilistic photovoltaic power forecasting. Full article
(This article belongs to the Topic Sustainable Energy Systems)
Show Figures

Figure 1

31 pages, 3343 KB  
Article
GridFM: A Physics-Informed Foundation Model for Multi-Task Energy Forecasting Using Real-Time NYISO Data
by Ali Sayghe, Mohammed Ahmed Mousa, Salem Batiyah, Abdulrahman Husawi and Mansour Almuwallad
Energies 2026, 19(2), 357; https://doi.org/10.3390/en19020357 - 11 Jan 2026
Viewed by 138
Abstract
The rapid integration of renewable energy sources and increasing complexity of modern power grids demand advanced forecasting tools capable of simultaneously predicting multiple interconnected variables. While time series foundation models (TSFMs) have demonstrated remarkable zero-shot forecasting capabilities across diverse domains, their application in [...] Read more.
The rapid integration of renewable energy sources and increasing complexity of modern power grids demand advanced forecasting tools capable of simultaneously predicting multiple interconnected variables. While time series foundation models (TSFMs) have demonstrated remarkable zero-shot forecasting capabilities across diverse domains, their application in power grid operations remains limited due to complex coupling relationships between load, price, emissions, and renewable generation. This paper proposes GridFM, a novel physics-informed foundation model specifically designed for multi-task energy forecasting in power systems. GridFM introduces four key innovations: (1) a FreqMixer adaptation layer that transforms pre-trained foundation model representations to power-grid-specific patterns through frequency domain mixing without modifying base weights; (2) a physics-informed constraint module embedding power balance equations and zonal grid topology using graph neural networks; (3) a multi-task learning framework enabling joint forecasting of load demand, locational-based marginal prices (LBMP), carbon emissions, and renewable generation with uncertainty-weighted loss functions; and (4) an explainability module utilizing SHAP values and attention visualization for interpretable predictions. We validate GridFM using over 10 years of real-time data from the New York Independent System Operator (NYISO) at 5 min resolution, comprising more than 10 million data points across 11 load zones. Comprehensive experiments demonstrate that GridFM achieves state-of-the-art performance with an 18.5% improvement in load forecasting MAPE (achieving 2.14%), a 23.2% improvement in price forecasting (achieving 7.8% MAPE), and a 21.7% improvement in emission prediction compared to existing TSFMs including Chronos, TimesFM, and Moirai-MoE. Ablation studies confirm the contribution of each proposed component. The physics-informed constraints reduce physically inconsistent predictions by 67%, while the multi-task framework improves individual task performance by exploiting inter-variable correlations. The proposed model provides interpretable predictions supporting the Climate Leadership and Community Protection Act (CLCPA) 2030/2040 compliance objectives, enabling grid operators to make informed decisions for sustainable energy transition and carbon reduction strategies. Full article
Show Figures

Figure 1

29 pages, 2664 KB  
Article
Forecasting Solar Energy Production Using Artificial Neural Networks and Tyrannosaurus Optimization Algorithm
by Emre Güler and Mehmet Zeki Bilgin
Sustainability 2026, 18(2), 690; https://doi.org/10.3390/su18020690 - 9 Jan 2026
Viewed by 203
Abstract
Accurate forecasting of solar energy production plays a crucial role in optimizing power system reliability, scheduling, and integration of renewable energy sources into the grid. From a sustainability perspective, improved forecasting accuracy supports more efficient day-ahead planning, reduces imbalance costs, and contributes to [...] Read more.
Accurate forecasting of solar energy production plays a crucial role in optimizing power system reliability, scheduling, and integration of renewable energy sources into the grid. From a sustainability perspective, improved forecasting accuracy supports more efficient day-ahead planning, reduces imbalance costs, and contributes to the sustainable operation of solar energy systems. Artificial neural networks (ANNs) are widely applied for this purpose due to their capability to capture complex nonlinear relationships between meteorological variables and solar power output. However, the performance of ANNs depends on the number of layers, the number of neurons in the hidden layer, the max failure value, and the transfer function. This study proposes a hybrid forecasting model that combines artificial neural networks with the recently developed Tyrannosaurus Optimization Algorithm (TROA), a metaheuristic optimization method. The aim is to optimize the hyperparameters of artificial neural networks to minimize the Mean Absolute Percentage Error (MAPE) in solar energy forecasting. The results of the TROA were compared with other metaheuristic methods, such as Whale Optimization Algorithm (WOA), Particle Swarm Optimization (PSO), and Genetic Algorithm (GA). The TROA gave the network structure for ANNs, which forecasted closer to the actual values than other metaheuristic methods and showed success on 105 days of the test dataset, with an MAPE rate of 3.64%. Additionally, an MAPE of 1.42% was obtained over a test period of 18 days used for out-of-evaluation, indicating competitive performance compared to the other methods. These findings highlight the effectiveness of the TROA in forecasting solar energy using ANNs. Full article
(This article belongs to the Section Energy Sustainability)
Show Figures

Figure 1

24 pages, 4332 KB  
Article
Hotspots of Current Energy Potential in the Southwestern Tropical Atlantic
by Tarsila Sousa Lima, Syumara Queiroz, Maria Eduarda Américo Ishimaru, Eduardo José Araújo Correia Lima, Márcio das Chagas Moura and Moacyr Araujo
Energies 2026, 19(2), 329; https://doi.org/10.3390/en19020329 - 9 Jan 2026
Viewed by 287
Abstract
In the effort to mitigate climate change, the Marine Hydrokinetic (MHK) energy from ocean currents emerges as an important renewable source due to its large potential, although it remains underexploited. In the Southwestern Tropical Atlantic, surface potentials linked to the North Brazil Current [...] Read more.
In the effort to mitigate climate change, the Marine Hydrokinetic (MHK) energy from ocean currents emerges as an important renewable source due to its large potential, although it remains underexploited. In the Southwestern Tropical Atlantic, surface potentials linked to the North Brazil Current (NBC) are known, but the subsurface North Brazil Undercurrent (NBUC) remained unquantified. This study addressed this gap by applying a two-step approach using more than 20 years of high-resolution (1/12°) climatological and daily reanalysis data to estimate current power density (CPD) throughout the water column along the Brazilian shelf (4° N–12° S), with focus on energetic hotspots where maximum CPD exceeds 1000 W m−2. The climatological analysis revealed 12 persistent hotspots (H1–H12). Daily analyses show highly energetic but seasonally variable surface hotspots north of 4° S linked to the NBC (H4–H12; >885 W·m−2) and weaker but more stable subsurface hotspots south of 4° S associated with the NBUC at depths of 130–266 m (H1–H3; 831–808 W·m−2). These patterns are likely influenced by flow–topography interactions along the continental margin. Overall, subsurface resources exhibit greater reliability than surface counterparts, highlighting the importance of incorporating subsurface dynamics in future MHK assessments and development along the Brazilian margin. Full article
Show Figures

Figure 1

32 pages, 8987 KB  
Review
How Might Neural Networks Improve Micro-Combustion Systems?
by Luis Enrique Muro, Francisco A. Godínez, Rogelio Valdés and Rodrigo Montoya
Energies 2026, 19(2), 326; https://doi.org/10.3390/en19020326 - 8 Jan 2026
Viewed by 182
Abstract
Micro-combustion for micro-thermophotovoltaic (MTPV) and micro-thermoelectric (MTE) systems is gaining renewed interest as a pathway toward compact power generation with high energy density. This review examines how emerging artificial intelligence (AI) methodologies can accelerate the development of such systems by addressing longstanding modeling, [...] Read more.
Micro-combustion for micro-thermophotovoltaic (MTPV) and micro-thermoelectric (MTE) systems is gaining renewed interest as a pathway toward compact power generation with high energy density. This review examines how emerging artificial intelligence (AI) methodologies can accelerate the development of such systems by addressing longstanding modeling, optimization, and design challenges. We analyze four major research areas: artificial neural network (ANN)-based design optimization, AI-driven prediction of micro-scale flow variables, Physics-Informed Neural Networks for combustion modeling, and surrogate models that approximate high-fidelity computational fluid dynamics (CFD) and detailed chemistry solvers. These approaches enable faster exploration of geometric and operating spaces, improved prediction of nonlinear flow and reaction dynamics, and efficient reconstructions of thermal and chemical fields. The review outlines a wide range of future research directions motivated by advances in high-fidelity modeling, AI-based optimization, and hybrid data-physics learning approaches, while also highlighting key challenges related to data availability, model robustness, validation, and manufacturability. Overall, the synthesis shows that overcoming these limitations will enable the development of micro-combustors with higher energy efficiency, lower emissions, more stable and controllable flames, and the practical realization of commercially viable MTPV and MTE systems. Full article
(This article belongs to the Section I2: Energy and Combustion Science)
Show Figures

Figure 1

23 pages, 5069 KB  
Article
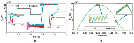
Processor-in-the-Loop Validation of an Advanced Hybrid MPPT Controller for Sustainable Grid-Tied Photovoltaic Systems Under Real Climatic Conditions
by Oumaima Echab, Noureddine Ech-Cherki, Omaima El Alani, Tourıa Gueddouch, Abdellatif Obbadi, Youssef Errami and Smail Sahnoun
Sustainability 2026, 18(2), 655; https://doi.org/10.3390/su18020655 - 8 Jan 2026
Viewed by 139
Abstract
The global shift toward sustainable energy systems has led to an increased adoption of PV systems, driven by their enhanced performance and environmental benefits, including reduced carbon emissions. Improving the efficiency of Grid-Tied Photovoltaic Systems (GTPVS) is essential for guaranteeing reliable and sustainable [...] Read more.
The global shift toward sustainable energy systems has led to an increased adoption of PV systems, driven by their enhanced performance and environmental benefits, including reduced carbon emissions. Improving the efficiency of Grid-Tied Photovoltaic Systems (GTPVS) is essential for guaranteeing reliable and sustainable renewable power integration. This research paper presents advanced hybrid Maximum Power Point Tracking (MPPT) designed for GTPVS to maximize PV energy harvesting and support grid sustainability. The proposed technique combines Advanced Variable Step Size Incremental Conductance (AVIC) for reference voltage generation and an Integral Backstepping Control (IBC) to regulate the control of the step-up converter. This hybrid technique enables rapid convergence speed, reduces power losses, and enhances stability under fast-changing environmental conditions, Partial Shading Conditions (PSCs), and grid disturbances conditions. This MPPT is evaluated via the MATLAB/Simulink environment, version 2020b, and validated in real time using a Processor-in-the-Loop (PIL) setup on the eZdsp TMS320F28335 platform. Comparative analysis with benchmark methods confirms its superiority, with an average tracking performance of 99.57%, a response time of 0.02 s, and a Total Harmonic Distortion (THD) of 0.69%, accompanied by negligible steady-state oscillations. These findings indicate the validity and sustainability of the AVIC-IBC MPPT for real-time GTPVS operating under realistic climatic conditions. Full article
(This article belongs to the Special Issue Sustainable Electrical Engineering and PV Microgrids)
Show Figures

Figure 1

29 pages, 14221 KB  
Article
Integrated Control of Hybrid Thermochemical–PCM Storage for Renewable Heating and Cooling Systems in a Smart House
by Georgios Martinopoulos, Paschalis A. Gkaidatzis, Luis Jimeno, Alberto Belda González, Panteleimon Bakalis, George Meramveliotakis, Apostolos Gkountas, Nikolaos Tarsounas, Dimosthenis Ioannidis, Dimitrios Tzovaras and Nikolaos Nikolopoulos
Electronics 2026, 15(2), 279; https://doi.org/10.3390/electronics15020279 - 7 Jan 2026
Viewed by 291
Abstract
The development of integrated renewable energy and high-density thermal energy storage systems has been fueled by the need for environmentally friendly heating and cooling in buildings. In this paper, MiniStor, a hybrid thermochemical and phase-change material storage system, is presented. It is equipped [...] Read more.
The development of integrated renewable energy and high-density thermal energy storage systems has been fueled by the need for environmentally friendly heating and cooling in buildings. In this paper, MiniStor, a hybrid thermochemical and phase-change material storage system, is presented. It is equipped with a heat pump, advanced electronics-enabled control, photovoltaic–thermal panels, and flat-plate solar collectors. To optimize energy flows, regulate charging and discharging cycles, and maintain operational stability under fluctuating solar irradiance and building loads, the system utilizes state-of-the-art power electronics, variable-frequency drives and modular multi-level converters. The hybrid storage is safely, reliably, and efficiently integrated with building HVAC requirements owing to a multi-layer control architecture that is implemented via Internet of Things and SCADA platforms that allow for real-time monitoring, predictive operation, and fault detection. Data from the MiniStor prototype demonstrate effective thermal–electrical coordination, controlled energy consumption, and high responsiveness to dynamic environmental and demand conditions. The findings highlight the vital role that digital control, modern electronics, and Internet of Things-enabled supervision play in connecting small, high-density thermal storage and renewable energy generation. This strategy demonstrates the promise of electronics-driven integration for next-generation renewable energy solutions and provides a scalable route toward intelligent, robust, and effective building energy systems. Full article
(This article belongs to the Special Issue New Insights in Power Electronics: Prospects and Challenges)
Show Figures

Figure 1

28 pages, 6116 KB  
Article
A Hybrid Energy Storage System and the Contribution to Energy Production Costs and Affordable Backup in the Event of a Supply Interruption—Technical and Financial Analysis
by Carlos Felgueiras, Alexandre Magalhães, Celso Xavier, Filipe Pereira, António Ferreira da Silva, Nídia Caetano, Florinda F. Martins, Paulo Silva, José Machado and Adriano A. Santos
Energies 2026, 19(2), 306; https://doi.org/10.3390/en19020306 - 7 Jan 2026
Viewed by 226
Abstract
Alternative energies are essential for meeting the global demand for environmentally friendly energy, especially as the use of fossil fuels is being reduced. In recent years, largely due to diminishing fossil fuel reserves, Portugal has been actively promoting investment in renewable energies to [...] Read more.
Alternative energies are essential for meeting the global demand for environmentally friendly energy, especially as the use of fossil fuels is being reduced. In recent years, largely due to diminishing fossil fuel reserves, Portugal has been actively promoting investment in renewable energies to reduce its reliance on energy imports and fossil fuels. However, despite the country’s high daily sunshine hours and utilization of wind and hydropower, energy production remains unstable due to climate variability. Climate instability leads to fluctuations in the energy supplied to the grid and can even partially withstand blackouts such as the one that occurred on 28 April 2025 on the Iberian Peninsula. To address this problem, energy storage systems are crucial to guarantee the stability of the supply during periods of low production or in situations such as the one mentioned above. This paper analyzes the feasibility of implementing an energy storage system to increase the profitability of a wind farm located in Alto Douro, Portugal. The study begins with a demand analysis, followed by simulations of the system’s performance in terms of profitability based on efficiency and power. Based on these assumptions, a modular lithium battery storage system with high efficiency and rapid charge/discharge capabilities was selected. This battery, with less autonomy but high capacity, is more profitable, since a 5% increase in efficiency results in high profits (€84,838) and curtailment (€70,962) using batteries with lower autonomy, i.e., 2 h (power rating of 5 MW combined with 10 MWh energy storage). Therefore, two scenarios (A and B) were considered, with one more optimistic (A) in which the priority is to discharge the batteries whenever possible. In the more realistic scenario (B), it is assumed that the batteries are fully charged before discharge. On the other hand, in the event of a blackout, it enables faster commissioning of the surrounding water installations, because solar and battery energy have no inertia, which facilitates the back start protocol. Full article
(This article belongs to the Special Issue Development and Efficient Utilization of Renewable and Clean Energy)
Show Figures

Figure 1

22 pages, 1269 KB  
Article
Probabilistic Power Flow Estimation in Power Grids Considering Generator Frequency Regulation Constraints Based on Unscented Transformation
by Jianghong Chen and Yuanyuan Miao
Energies 2026, 19(2), 301; https://doi.org/10.3390/en19020301 - 7 Jan 2026
Viewed by 138
Abstract
To address active power fluctuations in power grids induced by high renewable energy penetration and overcome the limitations of existing probabilistic power flow (PPF) methods that ignore generator frequency regulation constraints, this paper proposes a segmented stochastic power flow modeling method and an [...] Read more.
To address active power fluctuations in power grids induced by high renewable energy penetration and overcome the limitations of existing probabilistic power flow (PPF) methods that ignore generator frequency regulation constraints, this paper proposes a segmented stochastic power flow modeling method and an efficient analytical framework that incorporates the actions and capacity constraints of regulation units. Firstly, a dual dynamic piecewise linear power injection model is established based on “frequency deviation interval stratification and unit limit-reaching sequence ordering,” clarifying the hierarchical activation sequence of “loads first, followed by conventional units, and finally automatic generation control (AGC) units” along with the coupled adjustment logic upon reaching limits, thereby accurately reflecting the actual frequency regulation process. Subsequently, this model is integrated with the State-Independent Linearized Power Flow (DLPF) model to develop a segmented stochastic power flow framework. For the first time, a deep integration of unscented transformation (UT) and regulation-aware power allocation is achieved, coupled with the Nataf transformation to handle correlations among random variables, forming an analytical framework that balances accuracy and computational efficiency. Case studies on the New England 39-bus system demonstrate that the proposed method yields results highly consistent with those of Monte Carlo simulations while significantly enhancing computational efficiency. The DLPF model is validated to be applicable under scenarios where voltage remains within 0.95–1.05 p.u., and line transmission power does not exceed 85% of rated capacity, exhibiting strong robustness against parameter fluctuations and capacity variations. Furthermore, the method reveals voltage distribution patterns in wind-integrated power systems, providing reliable support for operational risk assessment in grids with high shares of renewable energy. Full article
Show Figures

Figure 1

Back to TopTop