Sign in to use this feature.

Years

Between: -

Subjects

remove_circle_outline
remove_circle_outline
remove_circle_outline
remove_circle_outline
remove_circle_outline
remove_circle_outline
remove_circle_outline
remove_circle_outline
remove_circle_outline

Journals

remove_circle_outline
remove_circle_outline
remove_circle_outline
remove_circle_outline
remove_circle_outline
remove_circle_outline
remove_circle_outline

Article Types

Countries / Regions

remove_circle_outline
remove_circle_outline
remove_circle_outline
remove_circle_outline
remove_circle_outline

Search Results (660)

Search Parameters:
Keywords = variable porosity

Order results
Result details
Results per page
Select all
Export citation of selected articles as:
27 pages, 1701 KB  
Article
Mapping Heat Stress and Evaporative Cooling Potentials in South European Cities: Humidity Constraints and Water-Based Cooling Opportunities
by Marko Mančić, Milena Rajić, Hristina Krstić, Nataša Petković, Vladan Jovanović, Milan Đorđević, Giannis Adamos and Tamara Rađenović
Urban Sci. 2026, 10(3), 136; https://doi.org/10.3390/urbansci10030136 - 3 Mar 2026
Viewed by 32
Abstract
Climate change is driven by global-scale warming, while cities additionally experience local amplification due to the urban heat island (UHI) effect (urban–rural temperature differences caused by urban form, materials, and reduced evapotranspiration). In this study, we address both dimensions by analyzing long-term near-surface [...] Read more.
Climate change is driven by global-scale warming, while cities additionally experience local amplification due to the urban heat island (UHI) effect (urban–rural temperature differences caused by urban form, materials, and reduced evapotranspiration). In this study, we address both dimensions by analyzing long-term near-surface climate variables and derived heat-exposure indicators for multiple South European cities and by translating climate signals into climate-suitability indicators for passive/evaporative cooling. In this study, heat-stress-relevant indicators and evaporative/adiabatic cooling opportunity across paired coastal and inland South European cities are quantified using long-term hourly reanalysis and scenario-based future projections. This paper compares coastal and inland city pairs from three regions: Nicosia and Limassol from Cyprus, Seville and Lisbon on the Iberian Peninsula, and Niš and Thessaloniki on the Balkans, to characterize recent heat stress and the prospective applications and limits of adiabatic cooling. ERA5/ERA5-Land variables from the Copernicus Climate Data Base, focusing on 2 m air temperature, 2 m dew point/relative humidity, and derived indicators: days above heat thresholds and “tropical nights”, were used to determine the differences between the local climate and compare severity of effects of global warming with respect to the specific climatic conditions of the chosen cities. Application of evaporative cooling was then tested with projections up to 2050 using Climate Consultant software, using regional temperature and humidity differences to explore comfort shifts and passive cooling applicability envelopes. Cross-city comparison of climate-suitability hours and cooling needs is included in the analysis. The novelty is a paired coastal–inland, multi-region South European design (Cyprus, Iberia, and Balkans) that combines long-term hourly reanalysis (1950–2025), scenario-based mid-century morphing, and a standardized psychrometric/adaptive-comfort framework to translate climate signals into comparable climate-suitability indicators for evaporative/adiabatic cooling across contrasting humidity regimes. The results provide planning direction by indicating that humid coastal cities should prioritize shading, reduced radiant load, ventilation/urban porosity and humidity-aware cooling, while hotter and drier inland cities retain a wider climatic window for evaporative cooling, subject to water-availability constraints. Full article
(This article belongs to the Section Urban Environment and Sustainability)
Show Figures

Figure 1

55 pages, 14077 KB  
Review
Polymeric Powders for Powder Bed Fusion: From Chemistry and Powder Characteristics to Process Parameters, Defects and Applications
by Sina Zinatlou Ajabshir, Helia Mohammadkamal, Zahra Zinatlou Ajabshir, Diego Barletta, Fabrizia Caiazzo and Massimo Poletto
Polymers 2026, 18(5), 622; https://doi.org/10.3390/polym18050622 - 2 Mar 2026
Viewed by 284
Abstract
Polymer powder bed fusion (PBF) is strongly influenced by powder chemistry and powder state, yet many studies discuss the materials and processing conditions in isolation. This review synthesises the literature using a powder-centred framework that connects polymer chemistry and powder production history to [...] Read more.
Polymer powder bed fusion (PBF) is strongly influenced by powder chemistry and powder state, yet many studies discuss the materials and processing conditions in isolation. This review synthesises the literature using a powder-centred framework that connects polymer chemistry and powder production history to measurable powder descriptors, and then links these descriptors to processing windows, defect mechanisms, and application outcomes. Key descriptors include crystallinity and thermal transitions, additive packages, particle size distribution, morphology, and surface texture. Environmental sensitivities are also considered, including moisture uptake, temperature effects, and optical response. These factors are related to powder spreading, energy absorption, and melt solidification or sintering to explain how flowability, packing density, and melt dynamics govern porosity, lack of fusion, distortion, and degradation. Powder qualification is discussed together with lot-to-lot variability and lifecycle effects, including ageing, reuse, and refresh, using the indicators commonly reported in laboratory and production settings and supported by emerging in situ monitoring. Application case studies are consolidated to illustrate how powder state and process control translate into repeatable qualification targets as polymer PBF moves toward a predictable and transferable manufacturing practice. Full article
(This article belongs to the Special Issue 3D Printing of Polymer Composites, 2nd Edition)
Show Figures

Graphical abstract

24 pages, 1505 KB  
Systematic Review
Constructed Wetlands as a Nature-Based Solution for Treating Industrial Dairy Wastewater: A Review
by Brenda Suemy Trujillo-García, Mayerlin Sandoval-Herazo, Jacel Adame-García, Oscar Marín-Peña, Graciela Nani, Joaquín Sangabriel-Lomelí, Lidilia Cruz-Rivero and Luis Carlos Sandoval-Herazo
Environments 2026, 13(3), 133; https://doi.org/10.3390/environments13030133 - 1 Mar 2026
Viewed by 141
Abstract
Constructed wetlands (CWs) have emerged as effective nature-based solutions (NbS) for the treatment of industrial dairy wastewater (DWW), which is characterized by high organic loads, elevated nutrient concentrations, and pronounced operational variability. Despite increasing implementation, quantitative engineering evidence supporting design optimization and scalability [...] Read more.
Constructed wetlands (CWs) have emerged as effective nature-based solutions (NbS) for the treatment of industrial dairy wastewater (DWW), which is characterized by high organic loads, elevated nutrient concentrations, and pronounced operational variability. Despite increasing implementation, quantitative engineering evidence supporting design optimization and scalability remains fragmented. Herein, we present a semi-quantitative synthesis of CW performance for DWW treatment, explicitly linking hydraulic and operational parameters with pollutant removal efficiencies. A systematic review of 38 peer-reviewed studies published between 1995 and 2025 was conducted in accordance with PRISMA 2020 guidelines. Treatment performance was normalized and evaluated as a function of hydraulic retention time (HRT), organic loading rate (OLR), system configuration, and climatic context. The results demonstrate that hybrid CWs combining vertical and horizontal subsurface flow most frequently achieved COD and BOD5 removal efficiencies exceeding 90% when operated within an observed operating envelope, typically including HRT ranges of 4–8 h (VSSF; n = 4) and 3–7 days (HSSF; n = 14), and OLR values below 30 g COD m−2 d−1 (n = 7, among studies reporting OLR). Operation outside this operating envelope was generally associated with reduced treatment stability and an increased likelihood of operational constraints (e.g., clogging). Substrate porosity, vegetation diversity, and climate further modulated long-term performance and system resilience. Based on the consolidated evidence, this review suggests transferable operational design envelopes and configuration-specific implementation pathways that translate empirical findings into practical engineering guidance, supporting the scalable adoption of CWs as low-energy NbS for decentralized and sustainable DWW management. Full article
(This article belongs to the Special Issue Editorial Board Members’ Collection Series: Wastewater Treatment)
Show Figures

Graphical abstract

33 pages, 1333 KB  
Review
From Biomass to Biofabrication: Advances in Substrate Treatment Technologies for Fungal Mycelium Composites
by Musiliu A. Liadi, Tawakalt O. Ayodele, Abodunrin Tijani, Ibrahim A. Bello, Niloy Chandra Sarker, C. Igathinathane and Hammed M. Ademola
Clean Technol. 2026, 8(2), 30; https://doi.org/10.3390/cleantechnol8020030 - 28 Feb 2026
Viewed by 109
Abstract
Mycelium-based composites (MBCs) have emerged as promising biofabricated materials that align with circular economy and clean technology goals by utilizing fungal networks to transform lignocellulosic residues into functional, biodegradable composites. Despite the MBC’s potentials, the intrinsic nature of the fungal strain, substrate physico-chemical [...] Read more.
Mycelium-based composites (MBCs) have emerged as promising biofabricated materials that align with circular economy and clean technology goals by utilizing fungal networks to transform lignocellulosic residues into functional, biodegradable composites. Despite the MBC’s potentials, the intrinsic nature of the fungal strain, substrate physico-chemical composition and engineering property variability remain significant hurdles that should be critically surmounted. Substrate treatment is central to determining growth kinetics, microstructural uniformity, and mechanical performance in MBC production. This review highlights recent advancements in physical, chemical, biological, and hybrid pretreatment methods, including comminution, pasteurization, alkali hydrolysis, enzymatic conditioning, microwave-assisted hydrolysis, ultrasound pretreatment, steam explosion, plasma activation, and irradiation. These technologies collectively enhance substrate digestibility, aeration, and permeability while reducing contamination. Optimization parameters—temperature, pH, C:N ratio, moisture content, particle size, porosity, and aeration—are examined as critical process levers influencing hyphal density, bonding efficiency, and composite uniformity. Evidence suggests that properly engineered substrate treatments accelerate colonization, strengthen hyphal networks, and significantly improve compressive, tensile, and flexural material properties. The review discusses emerging process control tools such as AI-assisted modeling, micro-CT porosity analysis, and sensor-integrated bioreactors that enable reproducible and energy-efficient fabrication. Collectively, the findings position substrate engineering as a foundational technology for scaling high-performance mycelium composites and advancing sustainable material innovation. Full article
(This article belongs to the Topic Advanced Composite Materials)
Show Figures

Figure 1

37 pages, 29995 KB  
Article
Durability Enhancement of Coal-Fired Biomass Ash Concrete Using Bio-Inspired Self-Healing Coatings
by Nisal Dananjana Rajapaksha, Mehrdad Ameri Vamkani, Zarina Yahya, Rahul V. Ralegaonkar, Michaela Gkantou, Francesca Giuntini and Ana Bras
Appl. Sci. 2026, 16(5), 2383; https://doi.org/10.3390/app16052383 - 28 Feb 2026
Viewed by 180
Abstract
Premature deterioration of reinforced concrete is driven largely by moisture and chloride ingress, which accelerate steel corrosion and shorten service life. This study investigates a dual strategy to enhance durability while supporting circular-economy goals: (i) incorporating coal-fired biomass ash (CBA) as a fine-aggregate [...] Read more.
Premature deterioration of reinforced concrete is driven largely by moisture and chloride ingress, which accelerate steel corrosion and shorten service life. This study investigates a dual strategy to enhance durability while supporting circular-economy goals: (i) incorporating coal-fired biomass ash (CBA) as a fine-aggregate replacement (0%, 20%, and 50%) and (ii) applying bio-inspired surface treatments to reduce transport pathways. To capture variability in CBA performance across different environmental and material contexts, two concrete systems—produced in India and the UK—were evaluated, each subjected to a distinct coating approach: a bacterial self-healing treatment or a cinnamaldehyde (CNM) organic barrier. Mechanical, transport, and multi-scale characterization was performed, including compressive strength, capillary absorption, chloride migration (NT Build 492), SEM/EDS, XRF, and XRD. The 20% CBA mixes maintained or slightly improved strength, while higher CBA contents increased porosity but reduced chloride transport in the UK mix. The bacterial coating reduced long-term water absorption by over 80% through CaCO3 mineralization, offering strong moisture resistance. The CNM coating decreased chloride migration by up to 68% via hydrophobic and ionic-blocking effects. Overall, moderate CBA with self-healing treatment enhances moisture control, whereas higher CBA with CNM provides effective chloride protection, extending the service life of CBA-based concrete. Full article
(This article belongs to the Special Issue Innovative Building Materials: Design, Properties and Applications)
Show Figures

Figure 1

16 pages, 906 KB  
Review
Kenaf Core as an Alternative Soilless Growing Medium: A Review
by Conner C. Austin, S. Brooks Parrish, David G. Clark and Ann C. Wilkie
Plants 2026, 15(4), 666; https://doi.org/10.3390/plants15040666 - 23 Feb 2026
Viewed by 278
Abstract
Kenaf (Hibiscus cannabinus) core, an abundant renewable byproduct rich in cellulose and hemicellulose, has emerged as a candidate to replace or supplement peat and coco coir in soilless culture. This review synthesizes the physical, chemical, and biological performance of ground kenaf [...] Read more.
Kenaf (Hibiscus cannabinus) core, an abundant renewable byproduct rich in cellulose and hemicellulose, has emerged as a candidate to replace or supplement peat and coco coir in soilless culture. This review synthesizes the physical, chemical, and biological performance of ground kenaf core and benchmarks it against conventional substrates. Kenaf core exhibits low bulk density (0.06 to 0.15 g cm−3), high total porosity (approximately 90%), and substantial plant available water (approximately 42%), supporting root aeration and water supply. Its pH (6.0–7.2) is near optimal for most crops, whereas electrical conductivity (EC) (3.2–4.7 dS m−1) can exceed recommended ranges for salt-sensitive species, which necessitates pre-leaching or blending. Growth studies show comparable shoot and root performance in blends containing 20 to 70% kenaf, with composted kenaf often outperforming raw core. Pure kenaf generally requires more frequent irrigation and may shrink at high proportions. We outline processing variables such as core purity, particle size, composting, and leaching that govern stability and plant response, identify critical data gaps (including standardized EC and pH methods, and long-term shrinkage), and frame a sustainability agenda. Practically, studies to date indicate that pre-leached kenaf core, incorporated at up to about 70% by volume into peat or coir-based blends with structurally stable components such as perlite, can maintain growth and quality for several ornamental and bedding crops under greenhouse and nursery conditions. At the same time, reports of poor performance in some conifers and early suppression in direct-sown vegetables underscore that the suitability of kenaf-based substrates remains crop specific and dependent on material processing and management. Full article
Show Figures

Figure 1

24 pages, 2576 KB  
Article
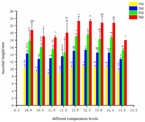
Optimization of Cultivation Substrate Formula and Key Physical Parameters for Domestication of Floccularia luteovirens by Response Surface Methodology
by Xu Zhao, Siyuan Gou, Lihua Tang, Tongjia Shi, Zhiqiang Zhao, Wensheng Li and Yan Wan
Life 2026, 16(2), 355; https://doi.org/10.3390/life16020355 - 19 Feb 2026
Viewed by 235
Abstract
Floccularia luteovirens is an edible and medicinal fungus with great development value on the Qinghai–Tibet Plateau, but its artificial domestication and cultivation are limited by the lack of systematic research on cultivation substrate formulas and key parameters. This study adopted the technical route [...] Read more.
Floccularia luteovirens is an edible and medicinal fungus with great development value on the Qinghai–Tibet Plateau, but its artificial domestication and cultivation are limited by the lack of systematic research on cultivation substrate formulas and key parameters. This study adopted the technical route of “preliminary screening—single-factor optimization—response surface collaborative optimization” to conduct research on the screening and optimization of its domestication cultivation substrate. Firstly, through the preliminary screening of 26 groups of formulas, a basic cultivation substrate formula with compatible complex nutrition and physical structure was determined. Secondly, single-factor experiments clarified that mixed sawdust was the optimal main substrate, corn flour was the optimal auxiliary substrate, the suitable substrate-to-water ratio was 1:1.6, and the suitable compactness was a substrate surface height of 12–12.5 cm (corresponding to a bulk density of 1.10–1.15 g/cm3 and a porosity of 60.6–63.3%). Finally, based on the response surface Box–Behnken model, with the main substrate, substrate-to-water ratio, and compactness as independent variables, and the total mycelial growth in 30 days as the response value, response surface optimization was performed to obtain the optimal formula: main substrate 76.002%, substrate-to-water ratio 1:1.721, and compactness 12.845 cm. Under these conditions, the mycelial growth reached 28.75 mm, which was highly consistent with the model’s predicted value (28.012 mm), and the constructed quadratic regression model showed excellent fitness (R2 = 0.9920, p = 0.0008). This study clarified the core influencing factors and adaptation mechanism of the cultivation substrate for Floccularia luteovirens, filled the research gap in the domestication cultivation substrate of this fungus, and provided basic technical parameters for its large-scale artificial cultivation. Full article
(This article belongs to the Section Microbiology)
Show Figures

Figure 1

23 pages, 6798 KB  
Article
Acoustic Emission Characteristics and Damage Evolution of Initially Damaged Limestone Under Freeze–Thaw Action
by Taoying Liu and Chang Tang
Appl. Sci. 2026, 16(4), 1988; https://doi.org/10.3390/app16041988 - 17 Feb 2026
Viewed by 158
Abstract
To investigate the effects of freeze–thaw (F-T) action on the mechanical properties, pore structure, internal progressive damage evolution laws, and failure characteristics of initially damaged limestone, intact limestone specimens were subjected to different initial damage states and numbers of F-T cycles. Subsequently, the [...] Read more.
To investigate the effects of freeze–thaw (F-T) action on the mechanical properties, pore structure, internal progressive damage evolution laws, and failure characteristics of initially damaged limestone, intact limestone specimens were subjected to different initial damage states and numbers of F-T cycles. Subsequently, the porosity and T2 spectrum distribution of the specimens were tested using nuclear magnetic resonance (NMR). Finally, uniaxial compression tests were performed while monitoring the acoustic emission system. The test results showed that, as the number of F-T cycles increased or the initial degree of damage intensified, the peak strength of the limestone decreased, and the porosity increased. The higher the number of F-T cycles of limestone, the wider the distribution range of ringing counts in the middle and later stages of loading. As the number of F-T cycles increased, the proportion of tensile cracks in the limestone interior gradually increased and became dominant. The b-value evolution curves generally showed a sudden drop in the later loading stage. The damage variable of limestone did not show regular changes with an increase in the F-T cycles. This results from the superposition of the initial damage and the F-T cycles. Full article
Show Figures

Figure 1

22 pages, 1529 KB  
Review
CO2–Binder Reaction Mechanisms in Geopolymer Wellbore Cements: Alternatives to API Class G Cement in CO2-Rich Environments (CCS)
by Omer Mohamed Bakri and Ahmed Abdulhamid Mahmoud
Molecules 2026, 31(4), 620; https://doi.org/10.3390/molecules31040620 - 10 Feb 2026
Cited by 1 | Viewed by 382
Abstract
API Classes of cement are susceptible to three major problems: carbonation, decalcification, and increased porosity of cement sheaths in CO2-rich environments. These degradation pathways in American petroleum institute (API) Class/ordinary Portland cement (OPC) systems are well documented in laboratory and field [...] Read more.
API Classes of cement are susceptible to three major problems: carbonation, decalcification, and increased porosity of cement sheaths in CO2-rich environments. These degradation pathways in American petroleum institute (API) Class/ordinary Portland cement (OPC) systems are well documented in laboratory and field observations for CO2-rich wellbore service. In contrast, while geopolymer/alkali-activated binders have been increasingly studied as alternatives, the evidence remains distributed across different precursor chemistries, exposure conditions, and test protocols, and a consolidated, mechanism-based synthesis specific to CO2 sequestration wells is still limited. Accordingly, this article presents a critical, narrative (non-systematic) review that synthesizes published laboratory and field studies on geopolymer/alkali-activated binders for CO2 sequestration wells, with emphasis on permeability, strength retention, and microstructural stability under CO2-rich exposure. The main outcome of this review is a mechanism-based synthesis that links CO2–binder reaction pathways (gel chemistry/phase evolution) to pore-network and transport changes, and consolidates quantitative performance benchmarks (permeability and strength retention) relative to API Class G/OPC, while defining the key validation gaps for qualification (HPHT, cyclic/tensile integrity, mixed fluids, and long-term monitoring). Laboratory tests have already demonstrated that geopolymer samples have ultralow permeability and preserve 90% of their strength after being treated with supercritical CO2 concentrations, while OPC loses its strength and produces macropores causing substantial growth of cement sheath porosity. Microstructural studies have shown that geopolymers do not contain portlandite but only N–A–S–H/C–A–S–H gels with low Ca content in concentrations high enough to create N–A–S–H/C–A–S–H gels, but do not suffer from multi-zone carbonation, as occurs for OPC concrete. Key challenges being tackled include slurry rheology, setting control and variability of precursors by designed admixture use and new performance specifications for higher-quality geopolymers. On the whole, geopolymers emerge as a sustainable and reliable alternative to traditional well cementing techniques for their sustainability well integrity. Full article
Show Figures

Figure 1

31 pages, 4057 KB  
Article
Cold Start Optimization Study of PEMFC Low Temperature Coolant-Assisted Heating Based on CAB-Net and LO-WOA
by Xinshu Yu, Jingyi Zhang, Jie Zhang, Sihan Chen, Yifan Lu and Dongji Xuan
Hydrogen 2026, 7(1), 24; https://doi.org/10.3390/hydrogen7010024 - 6 Feb 2026
Viewed by 236
Abstract
Proton Exchange Membrane Fuel Cells (PEMFCs) are highly valued for their zero emissions, low noise, and environmentally friendly characteristics. However, they face substantial difficulties when starting up in low-temperature conditions. Coolant-assisted heating is usually more effective than other methods because of its fast [...] Read more.
Proton Exchange Membrane Fuel Cells (PEMFCs) are highly valued for their zero emissions, low noise, and environmentally friendly characteristics. However, they face substantial difficulties when starting up in low-temperature conditions. Coolant-assisted heating is usually more effective than other methods because of its fast speed, high heat transfer efficiency, and simple structure. This study developed a three-dimensional multiphase non-isothermal PEMFC cold start model with coolant-assisted heating. Key parameters, including heat consumption rate, coolant flow rate, load current slope, initial membrane water content, catalyst layer porosity, and gas diffusion layer porosity, were selected as optimization variables. A Convolutional Neural Network–Attention Mechanism–Bidirectional Long Short-Term Memory Neural Network (CAB-Net) was employed as a surrogate model to predict the ice volume fraction during the cold start process. The CAB-Net model was further integrated with the Lexicographic Ordered Whale Optimization Algorithm (LO-WOA) to identify the optimal combination of parameters. The optimization aimed to minimize the maximum ice volume fraction (MIVF) in the Cathode Catalyst Layer (CCL) and reduce the energy consumption required to reach this fraction. The optimization results revealed that, compared to the baseline model (MIVF = 0.4519, energy consumption = 0.77264 J), the MIVF was reduced to 0.1471, representing a 67.45% decrease, while energy consumption was reduced to 0.70299 J, achieving a 9.01% decrease. The results underscore the efficacy of the proposed strategy in enhancing cold start performance under low-temperature conditions. Full article
(This article belongs to the Special Issue Hydrogen and Fuel Cell Technologies: A Clean Energy Pathway)
Show Figures

Figure 1

26 pages, 4800 KB  
Article
Porosity and Permeability Estimations from X-Ray Tomography Images and Data Using a Deep Learning Approach
by Edwar Herrera, Oriol Oms and Eduard Remacha
Appl. Sci. 2026, 16(3), 1613; https://doi.org/10.3390/app16031613 - 5 Feb 2026
Viewed by 339
Abstract
This work presents a novel deep learning workflow for estimating porosity and permeability from combined data, where numerical variables such as high-resolution bulk density (RHOB) and photoelectric factor (PEF) data are integrated with X-ray computed tomography (X-CT) image data, using a dual-energy X-CT [...] Read more.
This work presents a novel deep learning workflow for estimating porosity and permeability from combined data, where numerical variables such as high-resolution bulk density (RHOB) and photoelectric factor (PEF) data are integrated with X-ray computed tomography (X-CT) image data, using a dual-energy X-CT approach (DECT). Convolutional neural networks (CNNs) were calibrated with routine core analysis (RCAL) laboratory measurements from one well from Sinú-San Jacinto Basin (Colombia). The CNN architecture combines two main branches: An image branch, in which a CNN extracts spatial features from normalized X-CT sections using 3 × 3 convolution layers, ReLU activation, batch normalization, and maxPooling, and a numerical branch, which processes the input vectors corresponding to RHOB and PEF using fully connected dense layers and dropout regularization. Both branches are concatenated in a fusion layer, from which the model’s final predictions are made. Results indicate a strong correlation between porosity, permeability, RHOB and PEF logs, and CT images. The porosity model achieved excellent predictive performance, with an R2 = 0.996, MAE = 3.96 × 10−3, MSE = 3.82 × 10−5, and 0.064 maximum error. The permeability model also performed well, with a linear R2 = 0.983, though metrics reflected the wide dynamic range of permeability. Consequently, artificial neural networks (ANNs) can accurately predict porosity and permeability at various depths where no corresponding laboratory data exists, demonstrating excellent predictive capabilities over several rock intervals, in a high vertical resolution because of X-CT data scale (0.625 mm). Full article
Show Figures

Figure 1

21 pages, 11843 KB  
Article
rPET Nanofiber Membranes for Air Filtration: High Performance via Electrospinning Optimization
by Gabriela Brunosi Medeiros, Paulo Augusto Marques Chagas, Gustavo Cardoso da Mata, Daniela Patrícia Freire Bonfim, Daniela Sanches de Almeida and Mônica Lopes Aguiar
Nanomanufacturing 2026, 6(1), 4; https://doi.org/10.3390/nanomanufacturing6010004 - 5 Feb 2026
Viewed by 319
Abstract
Although recycled poly(ethylene terephthalate) (rPET) is an attractive, sustainable feedstock for electrospinning, optimization of processing variables for filtration performance remains limited. This study quantifies how polymer concentration, flow rate, and applied voltage govern fiber morphology and key filtration metrics—collection efficiency (η), [...] Read more.
Although recycled poly(ethylene terephthalate) (rPET) is an attractive, sustainable feedstock for electrospinning, optimization of processing variables for filtration performance remains limited. This study quantifies how polymer concentration, flow rate, and applied voltage govern fiber morphology and key filtration metrics—collection efficiency (η), pressure drop (ΔP), quality factor (Qf), and porosity—in rPET membranes. A fractional factorial design was employed to model interactions and identify trade-offs in filtration performance. The optimal condition was obtained at 16 wt.% PET, 1.2 mL·h−1, and 22 kV, yielding uniform fibers with an average diameter of 328.6 nm and high filtration efficiencies (95.65–99.99%). The permeability constants were 1.07 × 10−12 m2 (20 wt.% PET) and 1.15 × 10−13 m2 (8 wt.% PET), indicating an increase in permeability with increasing polymer concentration and fiber diameter. The 20 wt.% PET membrane delivered the highest Qf of 0.0646 Pa−1 with a low ΔP of 48.5 Pa at 4.8 cm·s−1, reflecting a favorable balance between collection and airflow resistance. In summary, higher PET concentrations reduce flow resistance and improve Qf, whereas lower concentrations yield finer fibers and high η at the expense of permeability. rPET nanofiber membranes, therefore, represent a sustainable and versatile route to high-efficiency, lower-pressure-drop air filters for residential, industrial, and commercial environments. Full article
(This article belongs to the Special Issue Nanomanufacturing: Feature Papers 2025)
Show Figures

Graphical abstract

28 pages, 7839 KB  
Article
Fiber-Reinforced Foam Concrete Using Quarry Micro Fines and Sugarcane Bagasse Ash: A Box–Behnken Design Optimization and Performance Assessment
by Ravindaran Thangavel, Sanjay Kumar Shukla and Mini K. Madhavan
Sustainability 2026, 18(3), 1517; https://doi.org/10.3390/su18031517 - 3 Feb 2026
Viewed by 290
Abstract
Foam concrete is well-appreciated for its thermal and acoustic benefits and is prepared by introducing foam into cement slurry/mortar. The current research examines the feasibility of Quarry Micro Fines (QMF), a waste generated from the quarries during sand manufacturing, as a substitute for [...] Read more.
Foam concrete is well-appreciated for its thermal and acoustic benefits and is prepared by introducing foam into cement slurry/mortar. The current research examines the feasibility of Quarry Micro Fines (QMF), a waste generated from the quarries during sand manufacturing, as a substitute for fine aggregate in the preparation of foam concrete. During the preparation of concrete, a portion of cement is replaced with sugarcane bagasse ash (SCBA), while polypropylene (PP) fibers are added to improve the shrinkage resistance and tensile strength of the resulting concrete. A three-factor, three-level Box–Behnken Design (BBD) in Response Surface Methodology (RSM) was used to optimize the compressive strength of foam concrete, considering QMF (0%, 50%, 100%) by weight of fine aggregate, SCBA (0%, 10%, 20%) by weight of cement, and PP fiber (0.2%, 0.4%, 0.6%) by volume of foam concrete as variables. The three mixtures, including control (FC), mix with 50% QMF, 10% SCBA, and 0.4% PP fiber (F50S10F0.4), and mix with 100% QMF, 10% SCBA, and 0.4% PP fiber (F100S10F0.4), were chosen for a more in-depth investigation based on the test results. While Q50S10F0.4 achieved the highest compressive strength (6.18 MPa), Q100S10F0.4 showed the best overall performance, with low water absorption of 14.10%, porosity of 20.17%, UPV 2388 m/s, and RCPT values of 1407.96 Coulombs. The modified mixtures exhibited enhanced bonding and pore enhancement as demonstrated by scanning electron microscopy and mercury intrusion porosimetry analyses. The study highlights the effective use of QMF, SCBA, and PP fibers in producing high-performance, sustainable foam concrete. Full article
(This article belongs to the Special Issue Resource Sustainability: Sustainable Materials and Green Engineering)
Show Figures

Figure 1

20 pages, 978 KB  
Review
Comparative Assessment of Functionalized Geopolymers
by Ștefan Mira, Adriana-Gabriela Schiopu, Mihai Oproescu and Ecaterina Magdalena Modan
Appl. Sci. 2026, 16(3), 1513; https://doi.org/10.3390/app16031513 - 2 Feb 2026
Viewed by 447
Abstract
This review provides a comprehensive and critical analysis of geopolymers, focusing on structure–property relationships and functionalization strategies for sustainable applications. A structured narrative review methodology was adopted, following PRISMA principles, based on literature retrieved from Web of Science, Scopus, ScienceDirect, and MDPI databases, [...] Read more.
This review provides a comprehensive and critical analysis of geopolymers, focusing on structure–property relationships and functionalization strategies for sustainable applications. A structured narrative review methodology was adopted, following PRISMA principles, based on literature retrieved from Web of Science, Scopus, ScienceDirect, and MDPI databases, primarily covering the period 2015–2025. The influence of precursor type, alkaline activators, and Si–Al ratio on reaction kinetics, microstructure, porosity, and mechanical performance is systematically discussed. Functionalization approaches using additives are critically reviewed with respect to durability, fire resistance, photocatalytic activity, and antibacterial performance. The analysis highlights that the geopolymer matrix primarily acts as stable and versatile support, while functional performance is governed by the controlled integration of active particles. Key limitations related to the variability of raw materials, lack of standardization, and long-term durability are identified. Future research directions are outlined, emphasizing the need for standardized processing protocols and the application-oriented design of multifunctional geopolymer systems. Full article
Show Figures

Figure 1

16 pages, 3788 KB  
Article
Rock-Physics-Constrained Intelligent Porosity Prediction for Fracture–Vuggy Carbonate Reservoirs: A Case Study from the XX Well Block, Tarim Oilfield
by Haitao Zhao, Xingliang Deng, Yufan Lei, Zhengyang Li, Yuan Ma and Ziran Jiang
Processes 2026, 14(3), 520; https://doi.org/10.3390/pr14030520 - 2 Feb 2026
Viewed by 270
Abstract
Fracture–vuggy carbonate reservoirs exhibit strong heterogeneity, spatial discontinuity, and highly variable porosity, which limit the effectiveness of traditional seismic attributes and conventional inversion. Focusing on the XX well block in the Tarim Basin, this study develops a rock-physics-constrained Physics-Constrained TransUNet method for intelligent [...] Read more.
Fracture–vuggy carbonate reservoirs exhibit strong heterogeneity, spatial discontinuity, and highly variable porosity, which limit the effectiveness of traditional seismic attributes and conventional inversion. Focusing on the XX well block in the Tarim Basin, this study develops a rock-physics-constrained Physics-Constrained TransUNet method for intelligent porosity prediction. A carbonate-specific rock-physics model is first established, considering mineral composition, pore type, and water saturation, ensuring physical consistency between porosity, elastic parameters, and seismic responses. On this basis, a deep-learning framework integrating U-Net multi-scale feature extraction and Transformer global modeling is constructed. By embedding rock-physics priors, regularization constraints, and log-derived porosity labels, the method forms a unified physics- and data-driven inversion scheme. Applications to multiple deep wells and 3D post-stack seismic data from the FI7 fault zone demonstrate stable training, rapid convergence, and strong capability in capturing nonlinear porosity–seismic relationships. Compared with conventional inversion, the proposed approach significantly improves prediction accuracy in cavern-dominated intervals, fractured zones, and areas with abrupt porosity changes, while maintaining robust lateral continuity. Inter-well sections and target-layer slices further verify its effectiveness in identifying fracture–dissolution–vug composite reservoirs. The method provides a practical and reliable workflow for porosity prediction in ultra-deep carbonate reservoirs, supporting fine reservoir characterization and sweet-spot evaluation. Full article
(This article belongs to the Section Petroleum and Low-Carbon Energy Process Engineering)
Show Figures

Figure 1

Back to TopTop