Polymeric Powders for Powder Bed Fusion: From Chemistry and Powder Characteristics to Process Parameters, Defects and Applications
Abstract
1. Introduction
2. Powder Bed Fusion Process and Operating Principle
3. Materials and Powders
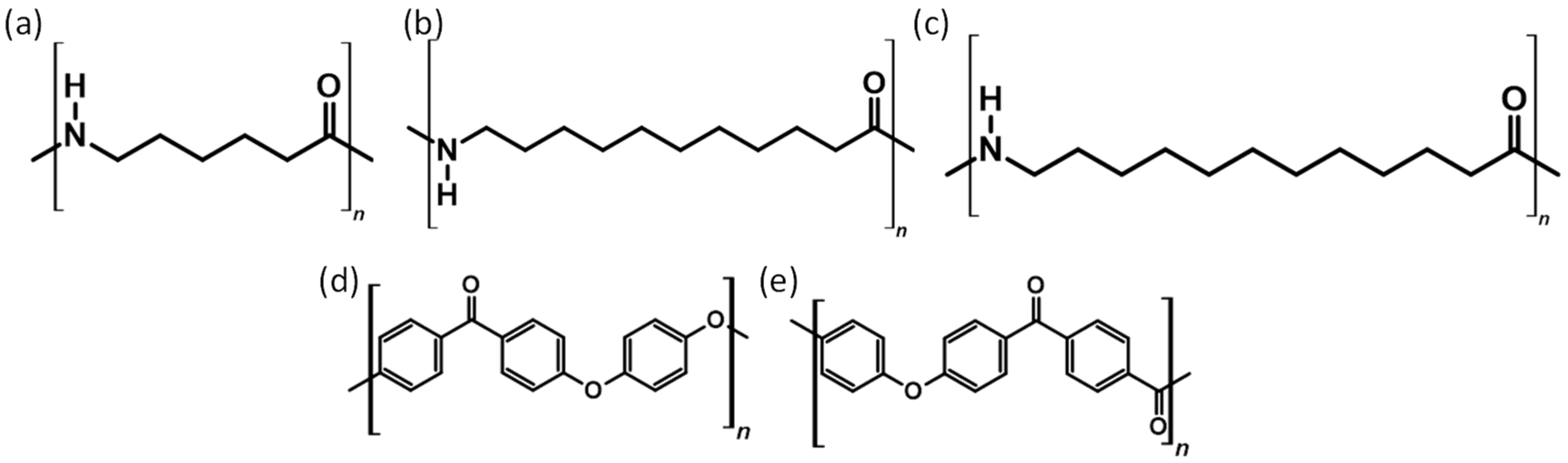
3.1. Polymer Families for PBF and 3D Printing
3.2. Polymer Chemistry and Additives
3.3. Powder Production Routes and Their Signatures
3.3.1. Milling and Grinding
3.3.2. Spray Drying
3.3.3. Precipitation and Melt Emulsification Routes
3.3.4. Advanced Techniques
3.4. Particle Attributes: Morphology, Size Distribution, and Surface Texture
4. Powder Characterisation and Qualification
4.1. Flowability and Rheology
4.2. Powder Spreading and Effective Parameters
5. Process Parameters and Strategies
Energy Input, Scan Strategy, and Thermal Management
6. Microstructure, Defects, and Process Windows
7. Sustainability and Lifecycle
Powder Ageing, Reuse, and Refresh Practice
8. PBF Application and Case Studies
9. Challenges and Outlook
10. Concluding Remarks
Author Contributions
Funding
Data Availability Statement
Conflicts of Interest
References
- Deckard, C.R. Method and Apparatus for Producing Parts by Selective Sintering. U.S. Patent 4,863,538, 5 September 1989. [Google Scholar]
- Deckard, C.R.; Beaman, J.J.; Darrah, J.F. Method for Selective Laser Sintering with Layerwise Cross-Scanning. U.S. Patent 5,155,324, 13 October 1992. [Google Scholar]
- Deckard, C.R. Apparatus for Producing Parts by Selective Sintering. U.S. Patent 5,597,589, 28 January 1997. [Google Scholar]
- ISO/ASTM 52900:2021(en); Additive Manufacturing—General Principles—Fundamentals and Vocabulary. ISO: Geneva, Switzerland, 2021.
- Stiller, T.; Truszkiewicz, E.; Meier, G.; Kraschitzer, W.; Kaindl, R.; Pinter, G.; Berer, M. Influence of process instabilities and elevated temperatures on mechanical properties of PBF-LB-manufactured polyamide 12. Rapid Prototyp. J. 2025, 31, 189–199. [Google Scholar] [CrossRef]
- Yan, M.; Tian, X. Mechanical property of powder bed fusion printed carbon fiber reinforced polyetheretherketone and enhanced interlayer strength by post-processing. Polym. Compos. 2024, 45, 13578–13588. [Google Scholar] [CrossRef]
- Hassanpour, M.; Narongdej, P.; Alterman, N.; Moghtadernejad, S.; Barjasteh, E. Effects of Post-Processing Parameters on 3D-Printed Dental Appliances: A Review. Polymers 2024, 16, 2795. [Google Scholar] [CrossRef] [PubMed]
- Berger, C.; Schimo-Aichhorn, G.; Gronau, S.; Saft, F.; Seiringer, S.; Scheithauer, U. Potential and challenges for Powder Bed Fusion—Laser Beam (PBF-LB) in industrial ceramic additive manufacturing. Open Ceram. 2024, 18, 100614. [Google Scholar] [CrossRef]
- Davies, R.; Agathos, K.; Evans, K.E.; Ghita, O. A quantitative, image-based analysis of the spreading performance of PolyArylEtherKetone polymer powders during Powder Bed Fusion Additive Manufacture. Powder Technol. 2025, 451, 120445. [Google Scholar] [CrossRef]
- Bjørk, R.; Tikare, V.; Frandsen, H.L.; Pryds, N. The Effect of Particle Size Distributions on the Microstructural Evolution During Sintering. J. Am. Ceram. Soc. 2013, 96, 103–110. [Google Scholar] [CrossRef]
- Kashfipour, M.A.; Mehra, N.; Zhu, J. A review on the role of interface in mechanical, thermal, and electrical properties of polymer composites. Adv. Compos. Hybrid Mater. 2018, 1, 415–439. [Google Scholar] [CrossRef]
- Walter, H.; Dermitzaki, E.; Wunderle, B.; Michel, B. Influence of moisture on humidity sensitive material parameters of polymers used in microelectronic applications. In 3rd Electronics System Integration Technology Conference ESTC; IEEE: New York, NY, USA, 2010; pp. 1–5. [Google Scholar] [CrossRef]
- Ranjan, R.; Zinatlou Ajabshir, S.; Barletta, D.; Poletto, M. Quantification of Triboelectric Charging of a Polypropylene-Based Powder During Wall Friction Shear Tests. Chem. Eng. Trans. 2025, 117, 781–786. [Google Scholar] [CrossRef]
- Yamauchi, Y.; Fujii, K.; Kigure, T.; Niino, T. Reducing Laser Exposure Time of PBF-LB/P by Providing High Energy Without Thermal Degradation and Its Effect on Part Strength and Process Time. J. Manuf. Sci. Eng. 2025, 147, 011005. [Google Scholar] [CrossRef]
- Li, J.; Yuan, S.; Zhu, J.; Li, S.; Zhang, W. Numerical Model and Experimental Validation for Laser Sinterable Semi-Crystalline Polymer: Shrinkage and Warping. Polymers 2020, 12, 1373. [Google Scholar] [CrossRef]
- Thakkar, R.; Jara, M.O.; Swinnea, S.; Pillai, A.R.; Maniruzzaman, M. Impact of Laser Speed and Drug Particle Size on Selective Laser Sintering 3D Printing of Amorphous Solid Dispersions. Pharmaceutics 2021, 13, 1149. [Google Scholar] [CrossRef]
- Sterner, E.S. Three Ways to Polyamides: The Impact of Polymerization Mechanism on Polymer Properties. J. Chem. Educ. 2019, 96, 2003–2008. [Google Scholar] [CrossRef]
- Wencke, Y.L.; Proes, F.; Imgrund, P.; Luinstra, G.A. Toward the Direct Synthesis of HDPE Powders for Powder Bed Fusion Based Additive Manufacturing. Macromol. Mater. Eng. 2021, 306, 2100477. [Google Scholar] [CrossRef]
- Schultz, J.P.; Martin, J.P.; Kander, R.G.; Suchicital, C.T.A. Selective Laser Sintering of Nylon 12-PEEK Blends Formed by Cryogenic Mechanical Alloying. In Proceedings of the International Solid Freeform Fabrication Symposium, Austin, TX, USA, 8–10 August 2000; pp. 119–124. [Google Scholar] [CrossRef]
- Schmidt, J.; Sachs, M.; Fanselow, S.; Wirth, K.-E.; Peukert, W. New Approaches Towards Production of Polymer Powders for Selective Laser Beam Melting of Polymers; AIP Publishing: Melville, NY, USA, 2017; p. 190008. [Google Scholar] [CrossRef]
- Dadbakhsh, S.; Verbelen, L.; Vandeputte, T.; Strobbe, D.; Van Puyvelde, P.; Kruth, J.-P. Effect of Powder Size and Shape on the SLS Processability and Mechanical Properties of a TPU Elastomer. Phys. Procedia 2016, 83, 971–980. [Google Scholar] [CrossRef]
- Lupone, F.; Padovano, E.; Casamento, F.; Badini, C. Process Phenomena and Material Properties in Selective Laser Sintering of Polymers: A Review. Materials 2021, 15, 183. [Google Scholar] [CrossRef]
- Meng, Q.; Song, X.; Han, S.; Abbassi, F.; Zhou, Z.; Wu, B.; Wang, X.; Araby, S. Mechanical and functional properties of polyamide/graphene nanocomposite prepared by chemicals free-approach and selective laser sintering. Compos. Commun. 2022, 36, 101396. [Google Scholar] [CrossRef]
- Mehrabi, M.; Gardy, J.; Talebi, F.A.; Farshchi, A.; Hassanpour, A.; Bayly, A.E. An investigation of the effect of powder flowability on the powder spreading in additive manufacturing. Powder Technol. 2023, 413, 117997. [Google Scholar] [CrossRef]
- Zinatlou Ajabshir, S.; Sofia, D.; Hare, C.; Barletta, D.; Poletto, M. Experimental characterisation of the spreading of polymeric powders in powder bed fusion additive manufacturing process at changing temperature conditions. Adv. Powder Technol. 2024, 35, 104412. [Google Scholar] [CrossRef]
- Wang, L.; Li, E.L.; Shen, H.; Zou, R.P.; Yu, A.B.; Zhou, Z.Y. Adhesion effects on spreading of metal powders in selective laser melting. Powder Technol. 2020, 363, 602–610. [Google Scholar] [CrossRef]
- Hu, Z.; Chen, H.; Yang, Z.; Yan, W. Critical role of electrostatic forces in powder spreading in micro laser powder bed fusion. Addit. Manuf. 2025, 109, 104848. [Google Scholar] [CrossRef]
- Mitterlehner, M.; Danninger, H.; Gierl-Mayer, C.; Gschiel, H. Investigation of the Influence of Powder Moisture on the Spreadability Using the Spreading Tester. BHM Berg-Und Hüttenmännische Monatshefte 2021, 166, 14–22. [Google Scholar] [CrossRef]
- Zinatlou Ajabshir, S.; Hare, C.; Sofia, D.; Barletta, D.; Poletto, M. Investigating the effect of temperature on powder spreading behaviour in powder bed fusion additive manufacturing process by Discrete Element Method. Powder Technol. 2024, 436, 119468. [Google Scholar] [CrossRef]
- Rüther, M.; Klippstein, S.H.; Ponusamy, S.K.; Rüther, T.; Schmid, H.J. Flowability of polymer powders at elevated temperatures for additive manufacturing. Powder Technol. 2023, 422, 118460. [Google Scholar] [CrossRef]
- Zhao, Y.; Chew, J.W. Effect of lognormal particle size distributions on particle spreading in additive manufacturing. Adv. Powder Technol. 2021, 32, 1127–1144. [Google Scholar] [CrossRef]
- Mussatto, A.; Groarke, R.; Neill, A.O.; Ahmed, M.; Delaure, Y.; Brabazon, D. Influences of powder morphology and spreading parameters on the powder bed topography uniformity in powder bed fusion metal additive manufacturing. Addit. Manuf. 2021, 38, 101807. [Google Scholar] [CrossRef]
- Yim, S.; Bian, H.; Aoyagi, K.; Yamanaka, K.; Chiba, A. Spreading behavior of Ti–48Al–2Cr–2Nb powders in powder bed fusion additive manufacturing process: Experimental and discrete element method study. Addit. Manuf. 2022, 49, 102489. [Google Scholar] [CrossRef]
- Barletta, D.; Poletto, M.; Santomaso, A.C. Chapter 4. Bulk Powder Flow Characterisation Techniques. In Powder Flow; Hare, C., Hassanpour, A., Pasha, M., Eds.; Royal Society of Chemistry: Cambridge, UK, 2019; pp. 64–146. [Google Scholar] [CrossRef]
- Lupo, M.; Zinatlou Ajabshir, S.; Sofia, D.; Barletta, D.; Poletto, M. Experimental metrics of the powder layer quality in the Selective Laser Sintering process. Powder Technol. 2023, 419, 118346. [Google Scholar] [CrossRef]
- Nan, W.; Gu, Y. Experimental investigation on the spreadability of cohesive and frictional powder. Adv. Powder Technol. 2022, 33, 103466. [Google Scholar] [CrossRef]
- Choudhury, S.S.; Annabattula, R.K.; Amirthalingam, M. A methodology for the development of functionally graded powder spreading in laser powder bed fusion process using discrete element method. Weld. World 2024, 68, 2259–2269. [Google Scholar] [CrossRef]
- Sasnauskas, A.; Otubela, M.; Bell, J.; Coban, A.; Zhang, W.; Babu, R.; Hooper, P.A.; Pham, M.-S.; Lupoi, R. Mechanical properties, carbon absorbance and melt pool analysis of laser melting of metal-polymer composite for metal additive manufacturing. J. Manuf. Process. 2025, 145, 642–655. [Google Scholar] [CrossRef]
- Yang, Y.; Rao, Z.; Zhou, T.; Zhou, P. Ray tracing heat source model for polymer powder bed fusion considering laser energy absorption and multiple reflection. Addit. Manuf. 2024, 91, 104363. [Google Scholar] [CrossRef]
- Tabriz, A.; Junqueira, L.A.; Kolipaka, S.S.; Hui, H.-W.; Boersen, N.; Roberts, S.; Jones, J.; Douroumis, D. Printabily of Pharmaceutical-Grade Polymers using Selective Laser Sintering with a CO2 Laser. AAPS PharmSciTech 2025, 26, 144. [Google Scholar] [CrossRef] [PubMed]
- Vande Ryse, R.; Edeleva, M.; Van Stichel, O.; D’hooge, D.R.; Pille, F.; Fiorio, R.; De Baets, P.; Cardon, L. Setting the Optimal Laser Power for Sustainable Powder Bed Fusion Processing of Elastomeric Polyesters: A Combined Experimental and Theoretical Study. Materials 2022, 15, 385. [Google Scholar] [CrossRef] [PubMed]
- Jaksch, A.; Cholewa, S.; Drummer, D. Impact of Layer Time and Hatch Conformity on the Behavior of Thin-Walled Components in Powder Bed Fusion of Polymers; AIP Publishing: Melville, NY, USA, 2024; p. 180003. [Google Scholar] [CrossRef]
- Bryant, J.S.; Bortner, M.J.; Williams, C.B. Powder bed fusion additive manufacturing of ultra-high molecular weight polyethylene using a novel laser scanning strategy. Addit. Manuf. 2024, 79, 103885. [Google Scholar] [CrossRef]
- Shen, F.; Zhu, W.; Zhou, K.; Ke, L.-L. Modeling the temperature, crystallization, and residual stress for selective laser sintering of polymeric powder. Acta Mech. 2021, 232, 3635–3653. [Google Scholar] [CrossRef]
- Chatham, C.A. Crystallization-coalescence relationships in laser powder bed fusion: Moving beyond the “sintering window.”. Addit. Manuf. 2025, 100, 104668. [Google Scholar] [CrossRef]
- Tan, L.J.; Zhu, W.; Sagar, K.; Zhou, K. Comparative study on the selective laser sintering of polypropylene homopolymer and copolymer: Processability, crystallization kinetics, crystal phases and mechanical properties. Addit. Manuf. 2021, 37, 101610. [Google Scholar] [CrossRef]
- Raigar, J.; Velu, R.; Agrawal, A.K.; Bakhshi, H. Optimization of selective laser sintering process parameters for phenolic thermoset composites using X-ray CT analysis. Materialia 2025, 42, 102451. [Google Scholar] [CrossRef]
- Salehi, A.; Pircheraghi, G.; Foudazi, R. Pore structure evolution during sintering of HDPE particles. Polymer 2019, 183, 121865. [Google Scholar] [CrossRef]
- Weinmann, S.; Bonten, C. Recycling of PA12 Powder for Selective Laser Sintering; AIP Publishing: Melville, NY, USA, 2020; p. 020056. [Google Scholar]
- Salehi, A.; Pircheraghi, G. Thermo-oxidative degradation during sintering of polyethylene particles. J. Appl. Polym. Sci. 2021, 138, 50373. [Google Scholar] [CrossRef]
- Antończak, A.J.; Wieczorek, M.; Dzienny, P.; Kryszak, B.; Krokos, A.; Gruber, P.; Olejarczyk, M.; Gazińska, M. First, do not degrade—Dual Beam Laser Sintering of polymers. Addit. Manuf. 2022, 53, 102715. [Google Scholar] [CrossRef]
- Alo, O.A.; Otunniyi, I.O.; Mauchline, D. Effects of reuse on morphology, size and shape distributions of PA 12 powder in selective laser sintering and quality of printed parts. J. Polym. Res. 2023, 30, 48. [Google Scholar] [CrossRef]
- Bai, J.; Zhang, B.; Song, J.; Bi, G.; Wang, P.; Wei, J. The effect of processing conditions on the mechanical properties of polyethylene produced by selective laser sintering. Polym. Test. 2016, 52, 89–93. [Google Scholar] [CrossRef]
- Kwon, D.; Park, E.; Ha, S.; Kim, N. Effect of humidity changes on dimensional stability of 3D printed parts by selective laser sintering. Int. J. Precis. Eng. Manuf. 2017, 18, 1275–1280. [Google Scholar] [CrossRef]
- Mwania, F.M.; Maringa, M.; van der Walt, J.G. A review of the techniques used to characterize laser sintering of polymeric powders for use and re-use in additive manufacturing. Manuf. Rev. 2021, 8, 14. [Google Scholar] [CrossRef]
- Vendittoli, V.; Mascolo, M.C.; Polini, W.; Walter, M.S.J.; Sorrentino, L.; Sover, A. Degradation effects of reused PA12 powder in selective laser sintering on material characteristics, dimensional accuracy and mechanical strength. Sci. Rep. 2025, 15, 34114. [Google Scholar] [CrossRef] [PubMed]
- Saleh Alghamdi, S.; John, S.; Roy Choudhury, N.; Dutta, N.K. Additive Manufacturing of Polymer Materials: Progress, Promise and Challenges. Polymers 2021, 13, 753. [Google Scholar] [CrossRef] [PubMed]
- Arefin, A.M.E.; Khatri, N.R.; Kulkarni, N.; Egan, P.F. Polymer 3D Printing Review: Materials, Process, and Design Strategies for Medical Applications. Polymers 2021, 13, 1499. [Google Scholar] [CrossRef]
- Yehia, H.M.; Hamada, A.; Sebaey, T.A.; Abd-Elaziem, W. Selective Laser Sintering of Polymers: Process Parameters, Machine Learning Approaches, and Future Directions. J. Manuf. Mater. Process. 2024, 8, 197. [Google Scholar] [CrossRef]
- Azam, M.U.; Belyamani, I.; Schiffer, A.; Kumar, S.; Askar, K. Progress in selective laser sintering ofmultifunctional polymer composites for strain- and self-sensing applications. J. Mater. Res. Technol. 2024, 30, 9625–9646. [Google Scholar] [CrossRef]
- Razzaq, M.H.; Zaheer, M.U.; Asghar, H.; Aktas, O.C.; Aycan, M.F.; Mishra, Y.K. Additive manufacturing for biomedical bone implants: Shaping the future of bones. Mater. Sci. Eng. R Rep. 2025, 163, 100931. [Google Scholar] [CrossRef]
- Zhenhong, L.; Yubao, L. Optimization of Precision Forging Process for Large Flange Cylinder Parts. Int. J. Precis. Eng. Manuf. 2025, 26, 1117–1129. [Google Scholar] [CrossRef]
- Zinatlou Ajabshir, S.; Kazeminezhad, M.; Kokabi, A.H. Manufacturing Thinned Friction-Stir Welded 1050 Aluminum By Post Rolling: Microstructure and Mechanical Properties. Mater. Tehnol. 2021, 55, 609–617. [Google Scholar] [CrossRef]
- Mallikarjuna, B.; Bhargav, P.; Hiremath, S.; Jayachristiyan, K.G.; Jayanth, N. A review on the melt extrusion-based fused deposition modeling (FDM): Background, materials, process parameters and military applications. Int. J. Interact. Des. Manuf. 2025, 19, 651–665. [Google Scholar] [CrossRef]
- Oguntuyi, S.D.; Nyembwe, K.; Shongwe, M.B.; Kabasele, J.; Mojisola, T. A review of the influence of sand properties on parts manufactured by rapid sand casting through additive manufacturing. Int. J. Adv. Manuf. Technol. 2025, 136, 1989–2002. [Google Scholar] [CrossRef]
- Mohammadkamal, H.; Caiazzo, F. The role of laser operation mode on thermal and mechanical behavior in powder bed fusion: A numerical study. Int. J. Adv. Manuf. Technol. 2025, 140, 3779–3796. [Google Scholar] [CrossRef]
- Liu, H.; Gu, D.; Xi, L.; Zhang, H.; Shi, K.; Wu, B.; Zhang, R.; Qi, J. High-Performance Aluminum-Based Materials Processed by Laser Powder Bed Fusion: Process, Microstructure, Defects and Properties Coordination. Addit. Manuf. Front. 2024, 3, 200145. [Google Scholar] [CrossRef]
- Qi, H.; Zhang, Z.; Huang, M.; Song, C.; Yang, X.; Tang, H. Enhancing the Mechanical Behaviors of 18Ni300 Steel through Microstructural Evolution in Electron Beam Powder Bed Fusion. J. Mater. Res. Technol. 2025, 36, 4215–4228. [Google Scholar] [CrossRef]
- Yim, S.; Wang, H.; Aoyagi, K.; Yamanaka, K.; Chiba, A. Comparative evaluation of powder spreading strategies to enhance powder bed quality in powder bed fusion additive manufacturing: A DEM simulation study. Powder Technol. 2025, 453, 120614. [Google Scholar] [CrossRef]
- Nan, W.; Ge, L.; Xuan, W.; Gu, Y. Transient jamming of granular flow by blade spreading. Powder Technol. 2024, 431, 119057. [Google Scholar] [CrossRef]
- Ashrafizadeh, S.M.; Ejtehadi, O.; Pelletier, R.; Habibnejad-Korayem, M.; Haeri, S.; Yue, S. Experimental and numerical investigation of re-coating process parameters on the spreadability of plasma-atomized powder. Powder Technol. 2025, 469, 121851. [Google Scholar] [CrossRef]
- Yuasa, K.; Tagami, M.; Yonehara, M.; Ikeshoji, T.-T.; Takeshita, K.; Aoki, H.; Kyogoku, H. Influences of powder characteristics and recoating conditions on surface morphology of powder bed in metal additive manufacturing. Int. J. Adv. Manuf. Technol. 2021, 115, 3919–3932. [Google Scholar] [CrossRef]
- Xiao, X.; Jin, Y.; Tan, Y.; Jiang, S.; Chen, R.; Peng, R. Modeling and numerical research on powder paving process of nylon powder in selective laser sintering. Comput. Part. Mech. 2023, 10, 415–425. [Google Scholar] [CrossRef]
- Svyetlichnyy, D.; Dubiel, B.; Łach, Ł.; Pasiowiec, H.; Ledwig, P. Modeling of Powder Delivery for Laser Powder Bed Fusion Manufacturing of Functionally Graded Materials. Appl. Sci. 2025, 15, 13033. [Google Scholar] [CrossRef]
- Brika, S.E.; Letenneur, M.; Dion, C.A.; Brailovski, V. Influence of particle morphology and size distribution on the powder flowability and laser powder bed fusion manufacturability of Ti-6Al-4V alloy. Addit. Manuf. 2020, 31, 100929. [Google Scholar] [CrossRef]
- Balbaa, M.A.; Ghasemi, A.; Fereiduni, E.; Elbestawi, M.A.; Jadhav, S.D.; Kruth, J.-P. Role of powder particle size on laser powder bed fusion processability of AlSi10mg alloy. Addit. Manuf. 2021, 37, 101630. [Google Scholar] [CrossRef]
- Gasper, A.N.D.; Szost, B.; Wang, X.; Johns, D.; Sharma, S.; Clare, A.T.; Ashcroft, I.A. Spatter and oxide formation in laser powder bed fusion of Inconel 718. Addit. Manuf. 2018, 24, 446–456. [Google Scholar] [CrossRef]
- Tang, M.; Pistorius, P.C. Oxides, porosity and fatigue performance of AlSi10Mg parts produced by selective laser melting. Int. J. Fatigue 2017, 94, 192–201. [Google Scholar] [CrossRef]
- Mohammadkamal, H.; Caiazzo, F. Numerical Study to Analyze the Influence of Process Parameters on Temperature and Stress Field in Powder Bed Fusion of Ti-6Al-4V. Materials 2025, 18, 368. [Google Scholar] [CrossRef]
- Mohammadkamal, H.; Caiazzo, F. Influence of absorptivity variation on Laser Powder Bed Fusion simulation and impact of process parameters on residual stress formation. Procedia CIRP 2024, 124, 335–340. [Google Scholar] [CrossRef]
- Mohammadkamal, H.; Caiazzo, F. Thermomechanical Simulation of Laser Powder Bed Fusion for Ti-6Al-4V: A Study on Residual Stress and Impact of Laser Process Parameters Using Volumetric Heat Source. In 2024 11th International Workshop on Metrology for AeroSpace (MetroAeroSpace); IEEE: New York, NY, USA, 2024; pp. 260–265. [Google Scholar] [CrossRef]
- Schur, R.; Ghods, S.; Wisdom, C.; Pahuja, R.; Montelione, A.; Arola, D.; Ramulu, M. Mechanical anisotropy and its evolution with powder reuse in Electron Beam Melting AM of Ti6Al4V. Mater. Des. 2021, 200, 109450. [Google Scholar] [CrossRef]
- Rosso, S.; Meneghello, R.; Biasetto, L.; Grigolato, L.; Concheri, G.; Savio, G. In-depth comparison of polyamide 12 parts manufactured by Multi Jet Fusion and Selective Laser Sintering. Addit. Manuf. 2020, 36, 101713. [Google Scholar] [CrossRef]
- Morano, C.; Alfano, M.; Pagnotta, L. Effect of Strain Rates and Heat Exposure on Polyamide (PA12) Processed via Selective Laser Sintering. Materials 2023, 16, 4654. [Google Scholar] [CrossRef] [PubMed]
- Gunputh, U.F.; Williams, G.; Pawlik, M.; Lu, Y.; Wood, P. Effect of Powder Bed Fusion Laser Sintering on Dimensional Accuracy and Tensile Properties of Reused Polyamide 11. Polymers 2023, 15, 4602. [Google Scholar] [CrossRef]
- Colucci, G.; Riccardi, D.; Giubilini, A.; Messori, M. Additive Manufacturing of a PA11 Prototype Fabricated via Selective Laser Sintering for Advanced Industrial Applications. Polymers 2025, 17, 3111. [Google Scholar] [CrossRef]
- Schlicht, S.; Gabriel, C.; Drummer, D. Low temperature powder bed fusion of polyamide 6: Transient process characteristics and process-dependent part properties. Prog. Addit. Manuf. 2025, 10, 3529–3543. [Google Scholar] [CrossRef]
- Ling, Z.; Wu, J.; Wang, X.; Li, X.; Zheng, J. Experimental study on the variance of mechanical properties of polyamide 6 during multi-layer sintering process in selective laser sintering. Int. J. Adv. Manuf. Technol. 2019, 101, 1227–1234. [Google Scholar] [CrossRef]
- Liu-lan, L.; Yu-sheng, S.; Fan-di, Z.; Shu-huai, H. Microstructure of selective laser sintered polyamide. J. Wuhan Univ. Technol. Sci. Ed. 2003, 18, 60–63. [Google Scholar] [CrossRef]
- Kleijnen, R.G.; Schmid, M.; Wegener, K. Production and Processing of a Spherical Polybutylene Terephthalate Powder for Laser Sintering. Appl. Sci. 2019, 9, 1308. [Google Scholar] [CrossRef]
- Cholewa, S.; Forstner, T.; Jaksch, A.; Drummer, D. Polybutylene terephthalate for laser-based powder bed fusion of polymers: Processing constraints driven by zero-shear viscosity. Prog. Addit. Manuf. 2025, 10, 4011–4019. [Google Scholar] [CrossRef]
- Pezold, D.; Wimmer, M.; Alfayez, F.; Bashir, Z.; Döpper, F. Evaluation of Polyethylene Terephthalate Powder in High Speed Sintering. Polymers 2022, 14, 2095. [Google Scholar] [CrossRef]
- Al-Hamidi, Y.; Mohammed, A.; Albakri, M. Selective laser sintering of HDPE: Impact of process parameters on mechanical properties, microstructure, and dimensional accuracy. Results Mater. 2025, 28, 100785. [Google Scholar] [CrossRef]
- Mwania, F.; Maringa, M.; van der Walt, J. Characterising Ultrasint PP Nat 01 Polypropylene to Examine Its Feasibility in Powder Bed Fusion. Powders 2025, 4, 26. [Google Scholar] [CrossRef]
- Wang, X.; Wang, Z.; Xiang, S.; Peng, M.; Li, G.; Huang, Y. Developing polypropylene copolymer powder with a wide sintering window for laser powder bed fusion via extrusion and in-blend annealing. Addit. Manuf. 2024, 86, 104188. [Google Scholar] [CrossRef]
- Mwania, F.M.; Maringa, M.; van der Walt, J.G. Investigating the Recyclability of Laser PP CP 75 Polypropylene Powder in Laser Powder Bed Fusion (L-PBF). Polymers 2022, 14, 1011. [Google Scholar] [CrossRef] [PubMed]
- Zhang, S.; Tang, H.; Tang, D.; Liu, T.; Liao, W. Effect of fabrication process on the microstructure and mechanical performance of carbon fiber reinforced PEEK composites via selective laser sintering. Compos. Sci. Technol. 2024, 246, 110396. [Google Scholar] [CrossRef]
- Benedetti, L.; Brulé, B.; Decraemer, N.; Davies, R.; Evans, K.E.; Ghita, O. A route to improving elongation of high-temperature laser sintered PEKK. Addit. Manuf. 2020, 36, 101540. [Google Scholar] [CrossRef]
- Chen, P.; Cai, H.; Li, Z.; Li, M.; Wu, H.; Su, J.; Wen, S.; Zhou, Y.; Liu, J.; Wang, C.; et al. Crystallization kinetics of polyetheretherketone during high temperature-selective laser sintering. Addit. Manuf. 2020, 36, 101615. [Google Scholar] [CrossRef]
- Benedetti, L.; Brulé, B.; Decreamer, N.; Evans, K.E.; Ghita, O. Shrinkage behaviour of semi-crystalline polymers in laser sintering: PEKK and PA12. Mater. Des. 2019, 181, 107906. [Google Scholar] [CrossRef]
- Salmoria, G.V.; Lauth, V.R.; Cardenuto, M.R.; Magnago, R.F. Characterization of PA12/PBT specimens prepared by selective laser sintering. Opt. Laser Technol. 2018, 98, 92–96. [Google Scholar] [CrossRef]
- Salmoria, G.V.; Leite, J.L.; Ahrens, C.H.; Lago, A.; Pires, A.T.N. Rapid manufacturing of PA/HDPE blend specimens by selective laser sintering: Microstructural characterization. Polym. Test. 2007, 26, 361–368. [Google Scholar] [CrossRef]
- Greiner, S.; Wudy, K.; Lanzl, L.; Drummer, D. Selective laser sintering of polymer blends: Bulk properties and process behavior. Polym. Test. 2017, 64, 136–144. [Google Scholar] [CrossRef]
- He, Z.; Ren, C.; Zhang, A.; Bao, J. Preparation and properties of styrene ethylene butylene styrene/polypropylene thermoplastic elastomer powder for selective laser sintering 3D printing. J. Appl. Polym. Sci. 2021, 138, 50908. [Google Scholar] [CrossRef]
- Rahman, M.M.; Ahmed, K.A.; Karim, M.; Hassan, J.; Roy, R.; Bustami, B.; Alam, S.M.N.; Younes, H. Optimization of Selective Laser Sintering Three-Dimensional Printing of Thermoplastic Polyurethane Elastomer: A Statistical Approach. J. Manuf. Mater. Process. 2023, 7, 144. [Google Scholar] [CrossRef]
- Liu, H.; Feng, J.; Cui, L.; Han, S.; Zhang, Q.; Li, M. Functional Finishing of TPU Fabricated Components Based on Selective Laser Sintering. Polym. Compos. 2025. [Google Scholar] [CrossRef]
- Ronca, A.; Rollo, G.; Cerruti, P.; Fei, G.; Gan, X.; Buonocore, G.G.; Lavorgna, M.; Xia, H.; Silvestre, C.; Ambrosio, L. Selective Laser Sintering Fabricated Thermoplastic Polyurethane/Graphene Cellular Structures with Tailorable Properties and High Strain Sensitivity. Appl. Sci. 2019, 9, 864. [Google Scholar] [CrossRef]
- Song, X.H.; Shi, Y.S.; Song, P.H.; Wei, Q.S.; Li, W. Effects of the Processing Parameters on Porosity of Selective Laser Sintered Aliphatic Polycarbonate. Adv. Mater. Res. 2014, 915–916, 1000–1004. [Google Scholar] [CrossRef]
- Strobbe, D.; Dadbakhsh, S.; Verbelen, L.; Van Puyvelde, P.; Kruth, J.-P. Selective laser sintering of polystyrene: A single-layer approach. Plast. Rubber Compos. 2018, 47, 2–8. [Google Scholar] [CrossRef]
- Velu, R.; Singamneni, S. Evaluation of the influences of process parameters while selective laser sintering PMMA powders. Proc. Inst. Mech. Eng. Part C J. Mech. Eng. Sci. 2015, 229, 603–613. [Google Scholar] [CrossRef]
- Yan, C.; Shi, Y.; Yang, J.; Liu, J. Investigation into the selective laser sintering of styrene–acrylonitrile copolymer and postprocessing. Int. J. Adv. Manuf. Technol. 2010, 51, 973–982. [Google Scholar] [CrossRef]
- Edo, G.I.; Ndudi, W.; Ali, A.M.; Yousif, E.; Jikah, A.N.; Isoje, E.F.; Igbuku, U.A.; Mafe, A.N.; Opiti, R.A.; Madueke, C.J.; et al. Biopolymers: An inclusive review. Hybrid Adv. 2025, 9, 100418. [Google Scholar] [CrossRef]
- Velu, R.; Jayashankar, D.K.; Subburaj, K. Additive processing of biopolymers for medical applications. In Additive Manufacturing; Elsevier: Amsterdam, The Netherlands, 2021; pp. 635–659. [Google Scholar] [CrossRef]
- Li, D.; Zhou, Y.; Chen, P.; Li, C.; Zhang, J.; Li, Z.; Zhou, Z.; Li, M.; Xu, Y. Polylactic Acid/Calcium Silicate Composite Scaffold Fabricated by Selective Laser Sintering with Coordinated Regulation of Bioactivity Induction, Degradation, and Mechanical Enhancement. J. Polym. Environ. 2025, 33, 1778–1791. [Google Scholar] [CrossRef]
- Minaev, N.V.; Demina, T.S.; Minaeva, S.A.; Dulyasova, A.A.; Minaeva, E.D.; Gonchukov, S.A.; Akopova, T.A.; Timashev, P.S. The Evolution of Surface-Selective Laser Sintering: Modifying and Forming 3D Structures for Tissue Engineering. Bull. Russ. Acad. Sci. Phys. 2020, 84, 1315–1320. [Google Scholar] [CrossRef]
- Alam, F.; Shukla, V.R.; Varadarajan, K.M.; Kumar, S. Microarchitected 3D printed polylactic acid (PLA) nanocomposite scaffolds for biomedical applications. J. Mech. Behav. Biomed. Mater. 2020, 103, 103576. [Google Scholar] [CrossRef] [PubMed]
- Zhou, X.; Zhou, G.; Junka, R.; Chang, N.; Anwar, A.; Wang, H.; Yu, X. Fabrication of polylactic acid (PLA)-based porous scaffold through the combination of traditional bio-fabrication and 3D printing technology for bone regeneration. Colloids Surfaces B Biointerfaces 2021, 197, 111420. [Google Scholar] [CrossRef] [PubMed]
- Wang, F.; Tankus, E.B.; Santarella, F.; Rohr, N.; Sharma, N.; Märtin, S.; Michalscheck, M.; Maintz, M.; Cao, S.; Thieringer, F.M. Fabrication and Characterization of PCL/HA Filament as a 3D Printing Material Using Thermal Extrusion Technology for Bone Tissue Engineering. Polymers 2022, 14, 669. [Google Scholar] [CrossRef]
- Beatrice, C.A.G.; Shimomura, K.M.B.; Backes, E.H.; Harb, S.V.; Costa, L.C.; Passador, F.R.; Pessan, L.A. Engineering printable composites of poly (ε-polycaprolactone)/β-tricalcium phosphate for biomedical applications. Polym. Compos. 2021, 42, 1198–1213. [Google Scholar] [CrossRef]
- Houck, H.A.; Müller, P.; Wegener, M.; Barner-Kowollik, C.; Du Prez, F.E.; Blasco, E. Shining Light on Poly(ethylene glycol): From Polymer Modification to 3D Laser Printing of Water Erasable Microstructures. Adv. Mater. 2020, 32, 2003060. [Google Scholar] [CrossRef]
- Yang, M.; Bu, J.; Shen, N.; Liu, S.; Xu, W. Design and Additive Manufacturing of Polyethylene-Based Hierarchical Composites by Selective Laser Sintering. Adv. Mater. Technol. 2025, 10, e2003060. [Google Scholar] [CrossRef]
- Cakmak, S. Compressible polyglycolic acid-based nanofibrous matrices as a bone filler: Fabrication, physicochemical characterisations, and biocompatibility evaluation. Mater. Technol. 2022, 37, 9–20. [Google Scholar] [CrossRef]
- Aihemaiti, P.; Jia, R.; Aiyiti, W.; Jiang, H.; Kasimu, A. Study on 3D printing process of continuous polyglycolic acid fiber-reinforced polylactic acid degradable composites. Int. J. Bioprinting 2024, 9, 734. [Google Scholar] [CrossRef] [PubMed]
- Necolau, M.I.; Ionita, M.; Pandele, A.M. Poly(propylene fumarate) Composite Scaffolds for Bone Tissue Engineering: Innovation in Fabrication Techniques and Artificial Intelligence Integration. Polymers 2025, 17, 1212. [Google Scholar] [CrossRef]
- Chao, Y.-D.; Liu, S.-C.; Yeh, D.-Q.; Kumar, A.; Tsai, J.-T.; Prajapati, M.J.; Jeng, J.-Y. Development of Carbon Black Coating on TPU Elastic Powder for Selective Laser Sintering. Materials 2024, 17, 3363. [Google Scholar] [CrossRef]
- Yu, Z.; Xing, F.; Li, J.; Wang, P.; Zhang, W.; Duan, H.; Li, J.; Xiong, Y. 3D printed polycaprolactone/phosphoester-modified poly(amino acid)–graphene oxide scaffold for meniscal regeneration. J. Mater. Chem. B 2025, 13, 11055–11074. [Google Scholar] [CrossRef]
- Zheng, B.; Bai, T.; Tao, X.; Ling, J. An Inspection into Multifarious Ways to Synthesize Poly(Amino Acid)s. Macromol. Rapid Commun. 2021, 42, 2100453. [Google Scholar] [CrossRef]
- Aliotta, L.; Gigante, V.; Duniau, A.; Gabrielli, S.; Sarasini, F.; Tirillò, J.; Lazzeri, A. Optimization of 3D printing parameters for recycled polybutylene succinate (PBS) using a granule-based 3D printer. Polym. Test. 2025, 153, 109038. [Google Scholar] [CrossRef]
- Colucci, G.; Piano, M.; Lupone, F.; Baruffaldi, D.; Frascella, F.; Bondioli, F.; Messori, M. Printability study by selective laser sintering of bio-based samples obtained by using PBS as polymeric matrix. Polym. Test. 2024, 131, 108327. [Google Scholar] [CrossRef]
- Sun, S.; Fei, G.; Wang, X.; Xie, M.; Guo, Q.; Fu, D.; Wang, Z.; Wang, H.; Luo, G.; Xia, H. Covalent adaptable networks of polydimethylsiloxane elastomer for selective laser sintering 3D printing. Chem. Eng. J. 2021, 412, 128675. [Google Scholar] [CrossRef]
- Wang, J.; Sun, S.; Li, X.; Fei, G.; Wang, Z.; Xia, H. Selective Laser Sintering of Polydimethylsiloxane Composites. 3D Print. Addit. Manuf. 2023, 10, 684–696. [Google Scholar] [CrossRef]
- Wu, C.; Fu, J.; Zhao, Y. Novel Nanoparticles Formed via Self-Assembly of Poly(ethylene glycol-b-sebacic anhydride) and Their Degradation in Water. Macromolecules 2000, 33, 9040–9043. [Google Scholar] [CrossRef]
- Kumar, N.; Langer, R.S.; Domb, A.J. Polyanhydrides: An overview. Adv. Drug Deliv. Rev. 2002, 54, 889–910. [Google Scholar] [CrossRef] [PubMed]
- Herwig, G.; Pérez-Madrigal, M.M.; Dove, A.P. Customized Fading Scaffolds: Strong Polyorthoester Networks via Thiol–Ene Cross-linking for Cytocompatible Surface-Eroding Materials in 3D Printing. Biomacromolecules 2021, 22, 1472–1483. [Google Scholar] [CrossRef] [PubMed]
- Shah, D.; Bhattacharya, S. Poly (ortho esters) (POEs) as cutting-edge biodegradable polymers for targeted cancer treatment and overcoming multidrug resistance. Biomed. Mater. 2025, 20, 042004. [Google Scholar] [CrossRef]
- Kuperkar, K.; Atanase, L.; Bahadur, A.; Crivei, I.; Bahadur, P. Degradable Polymeric Bio(nano)materials and Their Biomedical Applications: A Comprehensive Overview and Recent Updates. Polymers 2024, 16, 206. [Google Scholar] [CrossRef]
- Lodge, T.P.; Hiemenz, P.C. Polymer Chemistry, 3rd ed.; CRC Press: Boca Raton, FL, USA, 2020; ISBN 9780429190810. [Google Scholar]
- Saldívar-Guerra, E.; Vivaldo-Lima, E. Introduction to Polymers and Polymer Types. In Polymer Science, Engineering, and Sustainability; Wiley: Hoboken, NJ, USA, 2025; pp. 1–18. [Google Scholar]
- Evans, A.M.; Strauss, M.J.; Corcos, A.R.; Hirani, Z.; Ji, W.; Hamachi, L.S.; Aguilar-Enriquez, X.; Chavez, A.D.; Smith, B.J.; Dichtel, W.R. Two-Dimensional Polymers and Polymerizations. Chem. Rev. 2022, 122, 442–564. [Google Scholar] [CrossRef]
- Vaes, D.; Van Puyvelde, P. Semi-crystalline feedstock for filament-based 3D printing of polymers. Prog. Polym. Sci. 2021, 118, 101411. [Google Scholar] [CrossRef]
- Peng, Z.; Ye, L.; Ade, H. Understanding, quantifying, and controlling the molecular ordering of semiconducting polymers: From novices to experts and amorphous to perfect crystals. Mater. Horizons 2022, 9, 577–606. [Google Scholar] [CrossRef]
- Yang, M.; Li, W.; Dong, P.; Ma, Y.; He, Y.; Zhao, Z.; Chen, L. Temperature and strain rate sensitivity of yield strength of amorphous polymers: Characterization and modeling. Polymer 2022, 251, 124936. [Google Scholar] [CrossRef]
- Duan, H.; Gu, J.; Zeng, H.; Sun, H. Thermodynamic analyzing the intrinsic mechanisms of intelligent responses in amorphous polymer: Mathematical modelling and application in 4D-printed material. Appl. Math. Model. 2026, 150, 116333. [Google Scholar] [CrossRef]
- Allen, N.S.; Edge, M. Perspectives on additives for polymers. Part 2. Aspects of photostabilization and role of fillers and pigments. J. Vinyl Addit. Technol. 2021, 27, 211–239. [Google Scholar] [CrossRef]
- Hupfeld, T.; Sommereyns, A.; Riahi, F.; Doñate-Buendía, C.; Gann, S.; Schmidt, M.; Gökce, B.; Barcikowski, S. Analysis of the Nanoparticle Dispersion and Its Effect on the Crystalline Microstructure in Carbon-Additivated PA12 Feedstock Material for Laser Powder Bed Fusion. Materials 2020, 13, 3312. [Google Scholar] [CrossRef] [PubMed]
- Sommereyns, A.; Gann, S.; Schmidt, J.; Chehreh, A.B.; Lüddecke, A.; Walther, F.; Gökce, B.; Barcikowski, S.; Schmidt, M. Quality over Quantity: How Different Dispersion Qualities of Minute Amounts of Nano-Additives Affect Material Properties in Powder Bed Fusion of Polyamide 12. Materials 2021, 14, 5322. [Google Scholar] [CrossRef] [PubMed]
- George, A.A.; Dadmun, M.D. Impact of polymer molecular weight and dispersity on the coalescence of polypropylene powders suitable for laser powder bed fusion. Polymer 2024, 312, 127663. [Google Scholar] [CrossRef]
- George, A.; Bryant, J.S.; Taylor, T.; Bortner, M.J.; Williams, C.B.; Dadmun, M.D. Impact of polymer molecular weight blends on the powder bed fusion process and the properties of polypropylene printed parts. RSC Appl. Polym. 2025, 3, 1289–1302. [Google Scholar] [CrossRef]
- Campos, E.; Branquinho, J.; Carreira, A.S.; Carvalho, A.; Coimbra, P.; Ferreira, P.; Gil, M.H. Designing polymeric microparticles for biomedical and industrial applications. Eur. Polym. J. 2013, 49, 2005–2021. [Google Scholar] [CrossRef]
- Schmidt, J.; Plata, M.; Tröger, S.; Peukert, W. Production of polymer particles below 5 μm by wet grinding. Powder Technol. 2012, 228, 84–90. [Google Scholar] [CrossRef]
- Xi, S.; Zhang, P.; Huang, Y.; Kong, M.; Yang, Q.; Li, G. Laser sintering of cryogenically ground polymer powders into high-performance parts: The role of dry particle coating with a conductive flow agent. Polymer 2020, 186, 122044. [Google Scholar] [CrossRef]
- Liang, S.B.; Hu, D.P.; Zhu, C.; Yu, A.B. Production of Fine Polymer Powder under Cryogenic Conditions. Chem. Eng. Technol. 2002, 25, 401–405. [Google Scholar] [CrossRef]
- McColley, C.J.; Nason, J.A.; Harper, B.J.; Harper, S.L. An assessment of methods used for the generation and characterization of cryomilled polystyrene micro- and nanoplastic particles. Microplast. Nanoplast. 2023, 3, 20. [Google Scholar] [CrossRef]
- Maslen, C.; Chattopadhyay, P.; Kühne, M.T.; McConnell, G.; Simmchen, J. Cryogenic Milling of Consumer Plastics for High-Throughput Characterization of Polydisperse, Amorphous Microplastics. J. Appl. Polym. Sci. 2025, 142, e57651. [Google Scholar] [CrossRef]
- Yang, L.; Wang, L.; Chen, Y. Solid-state shear milling method to prepare PA12/boron nitride thermal conductive composite powders and their selective laser sintering 3D-printing. J. Appl. Polym. Sci. 2020, 137, 48766. [Google Scholar] [CrossRef]
- Strojewski, D.; Krupa, A. Spray drying and nano spray drying as manufacturing methods of drug-loaded polymeric particles. Polym. Med. 2022, 52, 101–111. [Google Scholar] [CrossRef]
- Beck-Broichsitter, M.; Schweiger, C.; Schmehl, T.; Gessler, T.; Seeger, W.; Kissel, T. Characterization of novel spray-dried polymeric particles for controlled pulmonary drug delivery. J. Control. Release 2012, 158, 329–335. [Google Scholar] [CrossRef]
- Anish, C.; Upadhyay, A.K.; Sehgal, D.; Panda, A.K. Influences of process and formulation parameters on powder flow properties and immunogenicity of spray dried polymer particles entrapping recombinant pneumococcal surface protein A. Int. J. Pharm. 2014, 466, 198–210. [Google Scholar] [CrossRef]
- Mys, N.; Van De Sande, R.; Verberckmoes, A.; Cardon, L. Processing of Polysulfone to Free Flowing Powder by Mechanical Milling and Spray Drying Techniques for Use in Selective Laser Sintering. Polymers 2016, 8, 150. [Google Scholar] [CrossRef] [PubMed]
- Mys, N.; Verberckmoes, A.; Cardon, L. Processing of Syndiotactic Polystyrene to Microspheres for Part Manufacturing through Selective Laser Sintering. Polymers 2016, 8, 383. [Google Scholar] [CrossRef] [PubMed]
- Dechet, M.A.; Demina, A.; Römling, L.; Gómez Bonilla, J.S.; Lanyi, F.J.; Schubert, D.W.; Bück, A.; Peukert, W.; Schmidt, J. Development of poly(L-lactide) (PLLA) microspheres precipitated from triacetin for application in powder bed fusion of polymers. Addit. Manuf. 2020, 32, 100966. [Google Scholar] [CrossRef]
- Dechet, M.A.; Baumeister, I.; Schmidt, J. Development of Polyoxymethylene Particles via the Solution-Dissolution Process and Application to the Powder Bed Fusion of Polymers. Materials 2020, 13, 1535. [Google Scholar] [CrossRef] [PubMed]
- Dechet, M.A.; Gómez Bonilla, J.S.; Grünewald, M.; Popp, K.; Rudloff, J.; Lang, M.; Schmidt, J. A novel, precipitated polybutylene terephthalate feedstock material for powder bed fusion of polymers (PBF): Material development and initial PBF processability. Mater. Des. 2021, 197, 109265. [Google Scholar] [CrossRef]
- Guan, K.; George, A.; Dadmun, M.D.; Bryant, J.S.; Bortner, M.J.; Williams, C.B. Expanding polymeric feedstocks for powder bed fusion via rational control of liquid–liquid phase separation. J. Polym. Sci. 2024, 62, 2605–2615. [Google Scholar] [CrossRef]
- Tischer, F.; Cholewa, S.; Groppe, P.; Granath, T.; Düsenberg, B.; Mandel, K.; Drummer, D.; Bück, A.; Peukert, W.; Schmidt, J. Magnetic polyamide 11 powder for the powder bed fusion process by liquid-liquid phase separation and crystallization. Addit. Manuf. 2024, 88, 104250. [Google Scholar] [CrossRef]
- Tischer, F.; Düsenberg, B.; Kaschta, J.; Bück, A.; Peukert, W.; Schmidt, J. Poly(butylene terephthalate) for Laser Powder Bed Fusion of Polymers: Feedstock Precipitation and Powder Characterization. ACS Appl. Polym. Mater. 2024, 6, 10401–10413. [Google Scholar] [CrossRef]
- Fanselow, S.; Emamjomeh, S.E.; Wirth, K.-E.; Schmidt, J.; Peukert, W. Production of spherical wax and polyolefin microparticles by melt emulsification for additive manufacturing. Chem. Eng. Sci. 2016, 141, 282–292. [Google Scholar] [CrossRef]
- Tischer, F.; Düsenberg, B.; Peukert, W.; Schmidt, J. Production of spherical ester wax powders by melt emulsification for Additive Manufacturing. Procedia CIRP 2022, 111, 33–36. [Google Scholar] [CrossRef]
- Pramanik, S.; Andreiev, A.; Hoyer, K.-P.; Krüger, J.T.; Hengsbach, F.; Kircheis, A.; Zhao, W.; Fischer-Bühner, J.; Schaper, M. Powder Production via Atomisation and Subsequent Laser Powder Bed Fusion Processing of Fe+316L Steel Hybrid Alloy. Powders 2023, 2, 59–74. [Google Scholar] [CrossRef]
- Reverchon, E.; Antonacci, A. Polymer microparticles production by supercritical assisted atomization. J. Supercrit. Fluids 2007, 39, 444–452. [Google Scholar] [CrossRef]
- Drummer, D.; Medina-Hernández, M.; Drexler, M.; Wudy, K. Polymer Powder Production for Laser Melting Through Immiscible Blends. Procedia Eng. 2015, 102, 1918–1925. [Google Scholar] [CrossRef]
- Yang, X.; Wei, Y.; Xi, S.; Huang, Y.; Kong, M.; Li, G. Preparation of spherical polymer powders for selective laser sintering from immiscible PA12/PEO blends with high viscosity ratios. Polymer 2019, 172, 58–65. [Google Scholar] [CrossRef]
- Sachs, M.; Schmidt, J.; Peukert, W.; Wirth, K.-E. Treatment of polymer powders by combining an atmospheric plasma jet and a fluidized bed reactor. Powder Technol. 2018, 325, 490–497. [Google Scholar] [CrossRef]
- Song, S.; Li, Y.; Bai, S.; Wang, Q. Production of spherical polymeric composite powder for selective laser sintering via plasma assisted solid state shear milling: From theory to piezoelectric application. Chem. Eng. J. 2021, 415, 129035. [Google Scholar] [CrossRef]
- Oliveira, M.B.; Mano, J.F. Polymer-based microparticles in tissue engineering and regenerative medicine. Biotechnol. Prog. 2011, 27, 897–912. [Google Scholar] [CrossRef]
- Schmidt, J.; Dechet, M.A.; Gómez Bonilla, J.S.; Hesse, N.; Bück, A.; Peukert, W. Characterization of Polymer Powders for Selective Laser Sintering. In Proceedings of the 2019 International Solid Freeform Fabrication Symposium, Austin, TX, USA, 12–14 August 2019; pp. 779–789. [Google Scholar] [CrossRef]
- Berretta, S.; Ghita, O.; Evans, K.E. Morphology of polymeric powders in Laser Sintering (LS): From Polyamide to new PEEK powders. Eur. Polym. J. 2014, 59, 218–229. [Google Scholar] [CrossRef]
- Orefice, L.; Remmelgas, J.; Neveu, A.; Francqui, F.; Khinast, J.G. A novel methodology for data analysis of dynamic angle of repose tests and powder flow classification. Powder Technol. 2024, 435, 119425. [Google Scholar] [CrossRef]
- Kalman, H. Quantification of mechanisms governing the angle of repose, angle of tilting, and Hausner ratio to estimate the flowability of particulate materials. Powder Technol. 2021, 382, 573–593. [Google Scholar] [CrossRef]
- Zinatlou Ajabshir, S.; Barletta, D.; Poletto, M. The Effect of Process Conditions on Powder Flow Properties for Slow Flow Regimes. KONA Powder Part. J. 2025, 42, 2025006. [Google Scholar] [CrossRef]
- Zinatlou Ajabshir, S.; Gucuyener, C.; Vivacqua, V.; Gobby, D.; Stitt, H.; Barletta, D.; Poletto, M. Flow behaviour of zeolite powders at high process temperatures. Powder Technol. 2022, 409, 117818. [Google Scholar] [CrossRef]
- Salehi, H.; Barletta, D.; Poletto, M.; Schütz, D.; Romirer, R. On the use of a powder rheometer to characterize the powder flowability at low consolidation with torque resistances. AIChE J. 2017, 63, 4788–4798. [Google Scholar] [CrossRef]
- Tan, Y.; Zhang, J.; Li, X.; Xu, Y.; Wu, C.Y. Comprehensive evaluation of powder flowability for additive manufacturing using principal component analysis. Powder Technol. 2021, 393, 154–164. [Google Scholar] [CrossRef]
- Hesse, N.; Dechet, M.; Bonilla, J.; Lübbert, C.; Roth, S.; Bück, A.; Schmidt, J.; Peukert, W. Analysis of Tribo-Charging during Powder Spreading in Selective Laser Sintering: Assessment of Polyamide 12 Powder Ageing Effects on Charging Behavior. Polymers 2019, 11, 609. [Google Scholar] [CrossRef]
- Cordova, L.; Bor, T.; de Smit, M.; Campos, M.; Tinga, T. Measuring the spreadability of pre-treated and moisturized powders for laser powder bed fusion. Addit. Manuf. 2020, 32, 101082. [Google Scholar] [CrossRef]
- Ruggi, D.; Barrès, C.; Charmeau, J.Y.; Fulchiron, R.; Barletta, D.; Poletto, M. A quantitative approach to assess high temperature flow properties of a PA 12 powder for laser sintering. Addit. Manuf. 2020, 33, 101143. [Google Scholar] [CrossRef]
- Ruggi, D.; Lupo, M.; Sofia, D.; Barrès, C.; Barletta, D.; Poletto, M. Flow properties of polymeric powders for selective laser sintering. Powder Technol. 2020, 370, 288–297. [Google Scholar] [CrossRef]
- Baesso, I.; Karl, D.; Spitzer, A.; Gurlo, A.; Günster, J.; Zocca, A. Characterization of powder flow behavior for additive manufacturing. Addit. Manuf. 2021, 47, 102250. [Google Scholar] [CrossRef]
- Ziegelmeier, S.; Christou, P.; Wöllecke, F.; Tuck, C.; Goodridge, R.; Hague, R.; Krampe, E.; Wintermantel, E. An experimental study into the effects of bulk and flow behaviour of laser sintering polymer powders on resulting part properties. J. Mater. Process. Technol. 2015, 215, 239–250. [Google Scholar] [CrossRef]
- Baserinia, R.; Brockbank, K.; Dattani, R. Correlating polyamide powder flowability to mechanical properties of parts fabricated by additive manufacturing. Powder Technol. 2022, 398, 117147. [Google Scholar] [CrossRef]
- Lupo, M.; Zinatlou Ajabshir, S.; Sofia, D.; Barletta, D.; Poletto, M. Discrete element method model calibration and validation for the spreading step of the powder bed fusion process to predict the quality of the layer surface. Particuology 2024, 94, 261–273. [Google Scholar] [CrossRef]
- Nan, W.; Pasha, M.; Bonakdar, T.; Lopez, A.; Zafar, U.; Nadimi, S.; Ghadiri, M. Jamming during particle spreading in additive manufacturing. Powder Technol. 2018, 338, 253–262. [Google Scholar] [CrossRef]
- Zinatlou Ajabshir, S.; Hare, C.; Barletta, D.; Poletto, M. Discrete Element Method Study on Spreading Behaviour of Non-spherical Polymeric Powder in Powder Bed Fusion with Blade and Roller Spreaders. Chem. Eng. Trans. 2025, 117, 787–792. [Google Scholar] [CrossRef]
- Zinatlou Ajabshir, S.; Hare, C.; Barletta, D.; Poletto, M. Assessment of the powder spreading parameters for non-spherical polymeric powder used in powder bed fusion process: A DEM simulation study. Addit. Manuf. 2026, 119, 105099. [Google Scholar] [CrossRef]
- Horn, M.; Schmitt, M.; Langer, L.; Schlick, G.; Seidel, C. Laser powder bed fusion recoater selection guide—Comparison of resulting powder bed properties and part quality. Powder Technol. 2024, 434, 119356. [Google Scholar] [CrossRef]
- Fox, H.; Kamaraj, A.B.; Drake, D. Investigating the effect of powder recoater blade material on the mechanical properties of parts manufactured using a powder-bed fusion process. Manuf. Lett. 2022, 33, 561–568. [Google Scholar] [CrossRef]
- Nan, W.; Ghadiri, M. Numerical simulation of powder flow during spreading in additive manufacturing. Powder Technol. 2019, 342, 801–807. [Google Scholar] [CrossRef]
- Dose, B.N.; Zinatlou Ajabshir, S.; Hassanpour, A.; Barletta, D.; Poletto, M. The Impact of Powder Delivery Process Parameters on Spreading Behaviour in Powder Bed Fusion Additive Manufacturing. Chem. Eng. Trans. 2025, 117, 793–798. [Google Scholar] [CrossRef]
- Le, T.-P.; Wang, X.; Davidson, K.P.; Fronda, J.E.; Seita, M. Experimental analysis of powder layer quality as a function of feedstock and recoating strategies. Addit. Manuf. 2021, 39, 101890. [Google Scholar] [CrossRef]
- Hantke, N.; Brocksieper, T.R.; Grimm, T.; Sehrt, J.T. Influence of Recoater Speed on Powder Bed and Part Quality in Powder Bed Fusion of Metals Using a Laser Beam. Metals 2025, 15, 225. [Google Scholar] [CrossRef]
- Salehi, H.; Cummins, J.; Gallino, E.; Harrison, N.; Hassanpour, A.; Bradley, M. A new approach to quantify powder’s bed surface roughness in additive manufacturing. Powder Technol. 2022, 407, 117614. [Google Scholar] [CrossRef]
- Van den Eynde, M.; Verbelen, L.; Van Puyvelde, P. Assessing polymer powder flow for the application of laser sintering. Powder Technol. 2015, 286, 151–155. [Google Scholar] [CrossRef]
- Davies, R.; Evans, K.; Ghita, O. Multivariate correlation of PolyArylEtherKetone powder properties for additive manufacturing and a method for predicting spreading in polymer powder bed fusion. Powder Technol. 2022, 410, 117871. [Google Scholar] [CrossRef]
- Ho, I.; Bryant, J.; Chatham, C.; Williams, C. Process parameter optimization in polymer powder bed fusion of final part properties in polyphenylene sulfide through design of experiments. Prog. Addit. Manuf. 2025, 10, 4979–4994. [Google Scholar] [CrossRef]
- Liu, L.; Zhu, S.; Zhang, Y.; Ma, S.; Wu, S.; Wei, B.; Yang, G. Process Study of Selective Laser Sintering of PS/GF/HGM Composites. Materials 2024, 17, 1066. [Google Scholar] [CrossRef]
- Dave, F.; Ali, M.; Mokhtari, M.; Sherlock, R.; Mcllhagger, A.; Tormey, D. Effect of pigments on laser beam transmission in diode laser transmission welding of poly(propylene). In Proceedings of the 39th International Conference of the Polymer Processing, Cartagena de Indias, Colombia, 19–23 May 2024. [Google Scholar] [CrossRef]
- Kovalev, O.B.; Gusarov, A.V.; Belyaev, V.V. Morphology of random packing of micro-particles and its effect on the absorption of laser radiation during selective melting of powders. Int. J. Eng. Sci. 2020, 157, 103378. [Google Scholar] [CrossRef]
- Lupo, G.; Niemann, M.; Goniva, C.; Szmyt, W.; Jia, X.; Turlo, V. Modeling of laser beam absorption on rough surfaces, powder beds and sparse powder layers. Results Phys. 2024, 67, 108043. [Google Scholar] [CrossRef]
- Tang, Y.; Fuh, J.Y.H.; Loh, H.T.; Wong, Y.S.; Lu, L. Direct laser sintering of a silica sand. Mater. Des. 2003, 24, 623–629. [Google Scholar] [CrossRef]
- Tong, Q.; Xue, K.; Wang, T.; Yao, S. Laser sintering and invalidating composite scan for improving tensile strength and accuracy of SLS parts. J. Manuf. Process. 2020, 56, 1–11. [Google Scholar] [CrossRef]
- Brown, B.; Lough, C.; Wilson, D.; Newkirk, J.; Liou, F. Atmosphere Effects in Laser Powder Bed Fusion: A Review. Materials 2024, 17, 5549. [Google Scholar] [CrossRef] [PubMed]
- Anand, S.; Kumar, A. Effect of Selective Laser Sintering Parameters on the Microstructural and Crystallographic Properties of Polyamide. MAPAN 2025, 40, 1041–1054. [Google Scholar] [CrossRef]
- Calignano, F.; Giuffrida, F.; Galati, M. Effect of the build orientation on the mechanical performance of polymeric parts produced by multi jet fusion and selective laser sintering. J. Manuf. Process. 2021, 65, 271–282. [Google Scholar] [CrossRef]
- El Magri, A.; Bencaid, S.E.; Vanaei, H.R.; Vaudreuil, S. Effects of Laser Power and Hatch Orientation on Final Properties of PA12 Parts Produced by Selective Laser Sintering. Polymers 2022, 14, 3674. [Google Scholar] [CrossRef]
- Slager, J.J.; Earp, B.C.; Ibrahim, A.M. Influence of Build Orientation and Part Thickness on Tensile Properties of Polyamide 12 Parts Manufactured by Selective Laser Sintering. Polymers 2024, 16, 2241. [Google Scholar] [CrossRef]
- Yang, L.; Gu, H.; Bashir, Z. A New Processing Method for Laser Sintering Polymer Powders at Low Bed Temperatures. Polymers 2024, 16, 3301. [Google Scholar] [CrossRef]
- Tan, P.; Zhou, M.; Tang, C.; Su, Y.; Qi, H.J.; Zhou, K. Multiphysics modelling of powder bed fusion for polymers. Virtual Phys. Prototyp. 2023, 18, e2257191. [Google Scholar] [CrossRef]
- Morano, C.; Pagnotta, L. Additive Manufactured Parts Produced Using Selective Laser Sintering Technology: Comparison between Porosity of Pure and Blended Polymers. Polymers 2023, 15, 4446. [Google Scholar] [CrossRef] [PubMed]
- Mostafaei, A.; Zhao, C.; He, Y.; Reza Ghiaasiaan, S.; Shi, B.; Shao, S.; Shamsaei, N.; Wu, Z.; Kouraytem, N.; Sun, T.; et al. Defects and anomalies in powder bed fusion metal additive manufacturing. Curr. Opin. Solid State Mater. Sci. 2022, 26, 100974. [Google Scholar] [CrossRef]
- Gu, D.; Shen, Y. Balling phenomena in direct laser sintering of stainless steel powder: Metallurgical mechanisms and control methods. Mater. Des. 2009, 30, 2903–2910. [Google Scholar] [CrossRef]
- Oyar, P. Laser Sintering Technology and Balling Phenomenon. Photomed. Laser Surg. 2018, 36, 72–77. [Google Scholar] [CrossRef] [PubMed]
- Golhin, A.P.; Tonello, R.; Frisvad, J.R.; Grammatikos, S.; Strandlie, A. Surface roughness of as-printed polymers: A comprehensive review. Int. J. Adv. Manuf. Technol. 2023, 127, 987–1043. [Google Scholar] [CrossRef]
- Karthik, R.; Elangovan, K.; Shankar, S.; Girisha, K.G. An experimental analysis on surface roughness of the selective laser sintered and unsintered Inconel 718 components using vibratory surface finishing process. Mater. Today Proc. 2022, 64, 220–224. [Google Scholar] [CrossRef]
- Klamert, V.; Schmid-Kietreiber, M.; Bublin, M. A deep learning approach for real time process monitoring and curling defect detection in Selective Laser Sintering by infrared thermography and convolutional neural networks. Procedia CIRP 2022, 111, 317–320. [Google Scholar] [CrossRef]
- Chen, P.; Wu, H.; Zhu, W.; Yang, L.; Li, Z.; Yan, C.; Wen, S.; Shi, Y. Investigation into the processability, recyclability and crystalline structure of selective laser sintered Polyamide 6 in comparison with Polyamide 12. Polym. Test. 2018, 69, 366–374. [Google Scholar] [CrossRef]
- Kobayashi, R.; Kigure, T.; Yamauchi, Y. Support-Free Low-Temperature Laser-Based Powder Bed Fusion of Polymers Using a Semi-Sintering Process. Polymers 2024, 16, 3278. [Google Scholar] [CrossRef]
- Sommereyns, A.; Hupfeld, T.; Gökce, B.; Barcikowski, S.; Schmidt, M. Evaluation of essential powder properties through complementary particle size analysis methods for laser powder bed fusion of polymers. Procedia CIRP 2020, 94, 116–121. [Google Scholar] [CrossRef]
- Patel, A.; Venoor, V.; Yang, F.; Chen, X.; Sobkowicz, M.J. Evaluating poly(ether ether ketone) powder recyclability for selective laser sintering applications. Polym. Degrad. Stab. 2021, 185, 109502. [Google Scholar] [CrossRef]
- Guo, Y.; Chen, H.; Tian, S.; Xu, Y.; Ma, K.; Ma, S.; Wang, X.; Zhang, Y.; Sun, Y. Investigation of the ageing conditions of PEEK powder for the selective laser sintering process. Virtual Phys. Prototyp. 2023, 18, e2273298. [Google Scholar] [CrossRef]
- Tang, H.; Zhang, S.; He, L.; Yang, Z.; Liu, T. 3D printing of high-stiffness and high-strength glass fiber reinforced PEEK composites by selective laser sintering. Compos. Part A Appl. Sci. Manuf. 2024, 187, 108470. [Google Scholar] [CrossRef]
- Yao, H.; Zhu, W.; Zhu, X.; Yi, X.; Yao, J.; Yuan, X.; Chen, F.; Han, X. Development of Hydroxyapatite/Polycaprolactone Composite Biomaterials for Laser Powder Bed Fusion: Evaluation of Powder Characteristics, Mechanical Properties and Biocompatibility. Polymers 2024, 16, 731. [Google Scholar] [CrossRef]
- Slager, J.J.; Green, J.T.; Levine, S.D.; Gonzalez, R.V. The Influence of Print Orientation and Discontinuous Carbon Fiber Content on the Tensile Properties of Selective Laser-Sintered Polyamide 12. Polymers 2025, 17, 2028. [Google Scholar] [CrossRef]
- Maurer, O.; Jacob, H.; Bähre, D. Reuse of Smoulder in Laser Powder-Bed Fusion of AlSi10Mg—Powder Characterization and Sample Analysis. Powders 2024, 3, 154–167. [Google Scholar] [CrossRef]
- Mohammadkamal, H.; Zinatlou Ajabshir, S.; Mostafaei, A. Additive Manufacturing at the Crossroads: Costs, Sustainability, and Global Adoption. J. Manuf. Mater. Process. 2025, 10, 5. [Google Scholar] [CrossRef]
- Wudy, K.; Drummer, D. Aging effects of polyamide 12 in selective laser sintering: Molecular weight distribution and thermal properties. Addit. Manuf. 2019, 25, 1–9. [Google Scholar] [CrossRef]
- Sanders, B.; Cant, E.; Kelly, C.A.; Jenkins, M. The Effect of Powder Re-Use on the Coalescence Behaviour and Isothermal Crystallisation Kinetics of Polyamide 12 within Powder Bed Fusion. Polymers 2024, 16, 612. [Google Scholar] [CrossRef]
- Joshua, R.J.N.; Raj, S.A.; Hameed Sultan, M.T.; Łukaszewicz, A.; Józwik, J.; Oksiuta, Z.; Dziedzic, K.; Tofil, A.; Shahar, F.S. Powder Bed Fusion 3D Printing in Precision Manufacturing for Biomedical Applications: A Comprehensive Review. Materials 2024, 17, 769. [Google Scholar] [CrossRef]
- Khanna, N.; Salvi, H.; Karaş, B.; Fairoz, I.; Shokrani, A. Cost Modelling for Powder Bed Fusion and Directed Energy Deposition Additive Manufacturing. J. Manuf. Mater. Process. 2024, 8, 142. [Google Scholar] [CrossRef]
- Rahmani, R.; Bashiri, B.; Lopes, S.I.; Hussain, A.; Maurya, H.S.; Vilu, R. Sustainable Additive Manufacturing: An Overview on Life Cycle Impacts and Cost Efficiency of Laser Powder Bed Fusion. J. Manuf. Mater. Process 2025, 9, 18. [Google Scholar] [CrossRef]
- Gor, M.; Soni, H.; Wankhede, V.; Sahlot, P.; Grzelak, K.; Szachgluchowicz, I.; Kluczyński, J. A Critical Review on Effect of Process Parameters on Mechanical and Microstructural Properties of Powder-Bed Fusion Additive Manufacturing of SS316L. Materials 2021, 14, 6527. [Google Scholar] [CrossRef]
- Tyagi, S.A.; Manjaiah, M. Additive manufacturing of titanium-based lattice structures for medical applications—A review. Bioprinting 2023, 30, e00267. [Google Scholar] [CrossRef]
- Wang, H.; Chen, P.; Su, J.; Li, Y.; Tian, Y.; Qi, L.; Yan, C.; Shi, Y. Enhanced processability and mechanical properties of poly-ether-ether-ketone/nano-silicon nitride composite scaffolds fabricated by laser powder bed fusion. J. Mater. Sci. Technol. 2025, 229, 296–308. [Google Scholar] [CrossRef]
- Kumar, S.; Malviya, R.; Sridhar, S.B.; Wadhwa, T.; Hani, U.; Talath, S.; Warsi, M.H. Powder bed fusion 3D printing for drug delivery and healthcare applications. Ann. 3D Print. Med. 2025, 18, 100200. [Google Scholar] [CrossRef]
- Seoane-Viaño, I.; Bendicho-Lavilla, C.; Alfassam, H.; Blanco-Fernández, B.; Basit, A.W.; Otero-Espinar, F.J. Selective Laser Sintering 3D Printing of Drug-Loaded Intravitreal Implants. Adv. Funct. Mater. 2025, 36, e08712. [Google Scholar] [CrossRef]
- Zakręcki, A.; Cieślik, J.; Bazan, A.; Turek, P. Innovative Approaches to 3D Printing of PA12 Forearm Orthoses: A Comprehensive Analysis of Mechanical Properties and Production Efficiency. Materials 2024, 17, 663. [Google Scholar] [CrossRef] [PubMed]
- Wu, Z.; Li, Y.; Shi, C.; Lu, Z.; Su, B. A general method for fabricating polymer-based intrinsic superhydrophobic objects by a selective laser sintering 3D printing strategy. Compos. Part B Eng. 2023, 264, 110910. [Google Scholar] [CrossRef]
- Vilardell, A.M.; Yadroitsava, I.; Wolf, W.K.C.; Du Plessis, A.; Tshibalanganda, M.; Kouprianoff, D.-P.; Garcia-Giralt, N.; Kobashi, M.; Yadroitsev, I. Laser powder bed fusion of polyamide-composite for antibacterial applications: Characterization and properties. Mater. Today Commun. 2022, 31, 103727. [Google Scholar] [CrossRef]
- Ding, B.; Zhang, Y.; Wang, J.; Mei, S.; Chen, X.; Li, S.; Zhao, W.; Zhang, X.; Shi, G.; He, Y.; et al. Selective laser sintering 3D-Printed conductive thermoplastic polyether-block-amide elastomer/carbon nanotube composites for strain sensing system and electro-induced shape memory. Compos. Commun. 2022, 35, 101280. [Google Scholar] [CrossRef]
- Zouggar, K.; Guerraiche, D.; Guerraiche, K.; Bendine, K.; Harmel, M.W.; Madani, K.; Campilho, R.D.S.G. Benchmarking PA12 and PA12CF35 for selective laser sintering of patient-specific implants: A thermo-mechanical analysis. J. Mech. Behav. Biomed. Mater. 2026, 175, 107311. [Google Scholar] [CrossRef] [PubMed]
- Bugatti, M.; Colosimo, B.M. The intelligent recoater: A new solution for in-situ monitoring of geometric and surface defects in powder bed fusion. Addit. Manuf. Lett. 2022, 3, 100048. [Google Scholar] [CrossRef]
- Sommereyns, A.; Leupold, S.; Rudlof, F.; Willeke, M.; Ghosh, A.; Ohannessian, B.; Merwin, D.; Elahi, R.; Barcikowski, S.; Vogel, N.; et al. Light matters: Quantifiable optical interaction between near-infrared laser radiation and nano-additivated polymers in all states of matter present in laser powder bed fusion. Addit. Manuf. 2024, 86, 104211. [Google Scholar] [CrossRef]
- Hassan, M.S.; Billah, K.M.M.; Hall, S.E.; Sepulveda, S.; Regis, J.E.; Marquez, C.; Cordova, S.; Whitaker, J.; Robison, T.; Keating, J.; et al. Selective Laser Sintering of High-Temperature Thermoset Polymer. J. Compos. Sci. 2022, 6, 41. [Google Scholar] [CrossRef]





















| Material | Powder Descriptors (PSD and Morphology) | Layer Thickness | Hatch Spacing/Distance | Scan Speed and Laser Power | Bed/Chamber Temperature | Atmosphere | Reuse/Refresh Protocol | Ref. |
|---|---|---|---|---|---|---|---|---|
| Polyamide 6 (PA6) | Spherical; average particle size 58.9 μm; Gaussian distribution. | 100–120 µm. | 0.3 mm. | 400, 3500 mm/s; 7, 15–30 W. | Bed: 140, 195 °C. | Nitrogen protecting atmosphere. | Virgin vs. 100% reused. | [88,225] |
| Polyamide 11 (PA11) | ~45 µm average size. Near-spherical. | 100 µm. | 0.25 mm- 0.09 (semi-sintering); 0.04 (melting). | Scan speed Not reported but build rate: 0.0033 mm/s; 10,000 mm/s (semi-sintering); 4000 mm/s (melting Power: 27 W; 4–15 W. | Bed: 187 °C; 23–190 °C while 150 °C (low-temp process to avoid ageing) Sintering window: 170–190 °C. | Argon recommended or Purged with Nitrogen. | Studied up to 10 cycles with 100% reused powder. | [85,86,226] |
| Polyamide 12 (PA12) | PSD: 20–80 µm recommended. Average particle size 53.8 μm Near-spherical “potato” shape. | 100–150 µm. Recommended to be at least 2× the average particle size. | 0.22–0.3 mm. | Speed: 2500–4000 mm/s. Power: 18–21 W or 75–95% of machine max. | Bed: 167–170 °C. Chamber: 135 °C. | Air or Argon or Nitrogen. | 30:70 to 50:50 ratio (Virgin: Used). Virgin vs. 100% reused. 70% refresh ratio commonly used. | [55,214,225,227] |
| PEEK (Polyetheretherketone) | Average ~75 µm. d10: 50 µm; d90: 108 µm. Morphology: Irregular and least spherical. | 80–100 µm. | 0.1–0.25 mm. | Speed: 2000–3000 mm/s. Power: 6–36 W depending on layer and recycle status. | Bed: 313 °C. Sintering window: 297.9–322.6 °C. | Argon (Ar) is highly recommended for maintaining hardness. Nitrogen (N) is acceptable but reduces hardness after 4 h of ageing. Air causes severe blackening and degradation. | Potential for 100% aged powder reuse in inert atmosphere. | [97,99,228,229,230] |
| PEKK (Polyetherketoneketone | Broad distribution. D10: 26 µm, D50: 52.8 µm, D90: 181.6 µm. Morphology: Heterogeneous and porous. | 120 µm. | Hatching energy density: 23.5 mJ/mm2. Beam offset: 0.39 mm. | Speed: 1000 mm/s Power: 8.5 W. | 292 °C | Inert (standard for PAEK family). | Information not detailed in sources. | [98] |
| PPS (Polyphenylene Sulfide) | Average ~75 µm. | 102 µm. | 0.1524–0.2286 mm. | Speed: 2000–3000 mm/s. Power: 12–18 W. | Bed: 240 °C. | Inert environment suggested. | Information not detailed in sources. | [204] |
| TPU (Thermoplastic Polyurethane) | 20–105 µm granulation. Near-spherical. | 75–200 µm. | 0.075–0.1 mm. | Speed: 7600 mm/s. Power: 60 W or Laser Power Ratio 1.0–2.0. | Bed: 95 °C. | Not specified (often ambient or low preheat). | 0% refresh ratio (100% reusable) for Flexa Black. | [105,107] |
| Polypropylene | Mean: 90–158 µm across reuse cycles. Irregular morphology. | 150 µm. Should be ~300 µm for this PSD. | 0.25 mm. | Speed: 4500 mm/s. Power: 35 W (Fill). | Bed: 128 °C. Removal chamber: 125 °C. | Information not detailed in sources. | 100% re-usable for 5 cycles without virgin mixing. | [96] |
| PET (Polyethylene Terephthalate) | Experimental grade from SABIC. | 100 µm. | Information not detailed in sources. | Speed: 90 mm/s Power: 100% lamp power. | Process: 190–228 °C. | Information not detailed in sources. | 100% virgin ratio typically reported. | [92] |
| HDPE (High-Density Polyethylene) | Average: 69.62 µm. | 100 µm. | 0.25 mm. | Energy density: 4.53–9.07 J/m. | Bed: 120–125 °C. Chamber: 120 °C. | Information not detailed in sources. | Information not detailed in sources. | [93] |
| PCL (Polycaprolactone) | Spherical with some wrinkles/micropores; D50 98 μm. | 100 µm | 0.1 mm. | 3600 mm/s; 2.8–5.6 W. | Bed: 50 °C | Nitrogen atmosphere. | Not explicitly detailed | [231] |
| PCL/HA (PCL/Hydroxyapatite) | Spherical; HA uniformly distributed on surface; D50 ~70 μm. | 100 µm | 0.1 mm. | 2400–3600 mm/s; 2.8–7.0 W. | Bed: 54–58 °C | Nitrogen atmosphere. | Not explicitly detailed | [231] |
| PA12-CF (Carbon Fiber reinforced) | PA12 particles < 100 µm; CF rod-shaped (80 µm length). | 100 µm | Single-window, constant-time pattern. | 400–2000 mm/s (multi-pass); 5 W. | Bed: 150–162 °C | Ambient air. | Only fresh (unused) powder used to ensure consistency | [232] |
| PA12/PF (Thermoset Composite) | PF: 60.5 µm; PA12: 58.0 µm. | 200 µm | 0.15 mm. | Speed: 100–250 mm/s. Power: 7–9 W. | Bed: 70 °C. | Information not detailed in sources. | Information not detailed in sources. | [47] |
Disclaimer/Publisher’s Note: The statements, opinions and data contained in all publications are solely those of the individual author(s) and contributor(s) and not of MDPI and/or the editor(s). MDPI and/or the editor(s) disclaim responsibility for any injury to people or property resulting from any ideas, methods, instructions or products referred to in the content. |
© 2026 by the authors. Licensee MDPI, Basel, Switzerland. This article is an open access article distributed under the terms and conditions of the Creative Commons Attribution (CC BY) license.
Share and Cite
Zinatlou Ajabshir, S.; Mohammadkamal, H.; Zinatlou Ajabshir, Z.; Barletta, D.; Caiazzo, F.; Poletto, M. Polymeric Powders for Powder Bed Fusion: From Chemistry and Powder Characteristics to Process Parameters, Defects and Applications. Polymers 2026, 18, 622. https://doi.org/10.3390/polym18050622
Zinatlou Ajabshir S, Mohammadkamal H, Zinatlou Ajabshir Z, Barletta D, Caiazzo F, Poletto M. Polymeric Powders for Powder Bed Fusion: From Chemistry and Powder Characteristics to Process Parameters, Defects and Applications. Polymers. 2026; 18(5):622. https://doi.org/10.3390/polym18050622
Chicago/Turabian StyleZinatlou Ajabshir, Sina, Helia Mohammadkamal, Zahra Zinatlou Ajabshir, Diego Barletta, Fabrizia Caiazzo, and Massimo Poletto. 2026. "Polymeric Powders for Powder Bed Fusion: From Chemistry and Powder Characteristics to Process Parameters, Defects and Applications" Polymers 18, no. 5: 622. https://doi.org/10.3390/polym18050622
APA StyleZinatlou Ajabshir, S., Mohammadkamal, H., Zinatlou Ajabshir, Z., Barletta, D., Caiazzo, F., & Poletto, M. (2026). Polymeric Powders for Powder Bed Fusion: From Chemistry and Powder Characteristics to Process Parameters, Defects and Applications. Polymers, 18(5), 622. https://doi.org/10.3390/polym18050622

