Sign in to use this feature.

Years

Between: -

Subjects

remove_circle_outline
remove_circle_outline
remove_circle_outline
remove_circle_outline
remove_circle_outline
remove_circle_outline
remove_circle_outline
remove_circle_outline
remove_circle_outline

Journals

remove_circle_outline
remove_circle_outline
remove_circle_outline
remove_circle_outline
remove_circle_outline
remove_circle_outline
remove_circle_outline
remove_circle_outline
remove_circle_outline
remove_circle_outline
remove_circle_outline
remove_circle_outline
remove_circle_outline

Article Types

Countries / Regions

remove_circle_outline
remove_circle_outline
remove_circle_outline
remove_circle_outline
remove_circle_outline
remove_circle_outline
remove_circle_outline
remove_circle_outline
remove_circle_outline
remove_circle_outline

Search Results (1,307)

Search Parameters:
Keywords = vaccine booster

Order results
Result details
Results per page
Select all
Export citation of selected articles as:
26 pages, 1082 KB  
Review
The Role of Vaccination in Adult Solid Organ Transplantation: Updated Reviews with Recent Guidelines
by Girish Mour, Sujay Dutta Paudel, Pranav Modi, Umesh Goswami, Jamilah Shubeilat, Lucy Ptak and Sandesh Parajuli
Microorganisms 2026, 14(1), 194; https://doi.org/10.3390/microorganisms14010194 - 15 Jan 2026
Abstract
Vaccination remains a cornerstone of infection prevention in adult solid organ transplant (SOT) recipients, a population at heightened risk for vaccine-preventable diseases due to chronic immunosuppression and comorbidities. Updated guidelines from the American Society of Transplantation Infectious Diseases Community of Practice (AST IDCOP) [...] Read more.
Vaccination remains a cornerstone of infection prevention in adult solid organ transplant (SOT) recipients, a population at heightened risk for vaccine-preventable diseases due to chronic immunosuppression and comorbidities. Updated guidelines from the American Society of Transplantation Infectious Diseases Community of Practice (AST IDCOP) and other international bodies emphasize the need for timely and comprehensive vaccination strategies before and after transplantation. This review synthesizes current literature and practice guidelines on vaccination in adult solid organ transplant (SOT) candidates and recipients. Published peer-reviewed studies, clinical trials, and consensus guidelines were evaluated, with emphasis on vaccination timing, safety, immunogenicity, dosing strategies, and serologic response monitoring in the SOT population. Comprehensive vaccination planning before transplantation, combined with appropriate post-transplant booster strategies, remains vital to improving long-term outcomes in SOT recipients. This review provides clinicians with an updated, evidence-based framework for integrating evolving vaccination guidelines into the care of adult transplant patients. Full article
Show Figures

Figure 1

8 pages, 211 KB  
Article
Family Decision to Immunize Against Respiratory Syncytial Virus and Associations with Seasonal Influenza and COVID-19 Vaccination
by Leah D. Kaye, Benjamin N. Fogel, Ruth E. Gardner, Brody J. Lipsett, Katherine E. Shedlock, Eric W. Schaefer, Ian M. Paul and Steven D. Hicks
Vaccines 2026, 14(1), 85; https://doi.org/10.3390/vaccines14010085 - 14 Jan 2026
Abstract
Background: Nirsevimab, a monoclonal antibody for respiratory syncytial virus (RSV), reduces medically attended RSV infections. It was introduced in the 2023–24 RSV season. This study examined the association between caregiver vaccination (seasonal influenza vaccine (SIV), COVID-19, and boosters) and intent to immunize infants [...] Read more.
Background: Nirsevimab, a monoclonal antibody for respiratory syncytial virus (RSV), reduces medically attended RSV infections. It was introduced in the 2023–24 RSV season. This study examined the association between caregiver vaccination (seasonal influenza vaccine (SIV), COVID-19, and boosters) and intent to immunize infants against RSV. Methods: Data from 118 caregivers with infants ≤ 8 months were analyzed. Chi-squared tests and logistic regression assessed the relationship between caregiver vaccination and intent to immunize against RSV. Results: In total, 74.6% of caregivers intended to immunize their infants against RSV. Intent was positively associated with caregiver receipt of a seasonal influenza vaccine (p < 0.001), COVID-19 vaccine (p < 0.001), and COVID-19 booster (p < 0.001). Intent was also associated with older child seasonal vaccination. Caregiver receipt of both COVID-19 vaccinations and boosters had a strong relationship with RSV immunization intent (OR 7.91 (1.90–33.0, p = 0.004)). Conclusions: Caregiver vaccination behaviors are linked to RSV immunization intent, helping physicians identify hesitant families and prepare for immunization conversations. Full article
(This article belongs to the Special Issue Recent Progress of Vaccines for Respiratory Syncytial Virus (RSV))
16 pages, 2757 KB  
Article
Analysis of the Short- and Long-Term Immune Response in BALB/c Mice Immunized with Total Naegleria fowleri Extract Co-Administered with Cholera Toxin
by Mara Gutiérrez-Sánchez, Maria de la Luz Ortega-Juárez, María Maricela Carrasco-Yépez, Rubén Armando Herrera-Ceja, Itzel Berenice Rodríguez-Mera and Saúl Rojas-Hernández
Trop. Med. Infect. Dis. 2026, 11(1), 22; https://doi.org/10.3390/tropicalmed11010022 - 12 Jan 2026
Viewed by 54
Abstract
Background: Naegleria fowleri is a free-living amoeba that inhabits warm freshwater and causes primary amoebic meningoencephalitis (PAM), a rapidly fatal infection with >95% mortality. Due to the lack of early diagnosis and effective therapy, preventive vaccination represents a promising strategy. Methods: This study [...] Read more.
Background: Naegleria fowleri is a free-living amoeba that inhabits warm freshwater and causes primary amoebic meningoencephalitis (PAM), a rapidly fatal infection with >95% mortality. Due to the lack of early diagnosis and effective therapy, preventive vaccination represents a promising strategy. Methods: This study evaluated short- and long-term immune protection in BALB/c mice (20 mice per group) immunized intranasally with total N. fowleri extract co-administered with cholera toxin (CT). Mice were challenged with a lethal dose of trophozoites either 24 h (short-term) or three months (long-term) after the fourth immunization; the latter group received a booster 24 h before challenge. Serum and nasal washes were analyzed for IgA and IgG antibodies by immunoblot, and lymphocyte subsets from nasal-associated lymphoid tissue (NALT) and nasal passages (NPs) were characterized by flow cytometry. Results: Immunization conferred complete (100%) survival in the 24 h group and 60% protection in the 3-month group, whereas all control mice died. Immunoblotting showed that IgA and IgG antibodies recognized major N. fowleri antigens of 37, 45, 48 and 19, 37, and 100 kDa, respectively. Flow cytometry revealed increased activated and memory B lymphocytes, dendritic cells, and expression of CCR10, integrin α4β1, and FcγRIIB receptors, particularly in the 24 h group. Conclusions: Intranasal immunization with N. fowleri extract plus CT elicited both systemic and mucosal immune responses capable of short- and long-term protection. These findings highlight the potential of this immunization strategy as a foundation for developing effective vaccines against PAM. Full article
(This article belongs to the Special Issue Naegleria fowleri and Emerging Amoebic Infections)
Show Figures

Figure 1

17 pages, 1459 KB  
Article
Temporal Dynamics of T Cell Immunity Induced by TbpBY167A Vaccine in Colostrum-Deprived Piglets Challenged with Glaesserella parasuis
by Alba González-Fernández, María José García-Iglesias, César B. Gutiérrez-Martín, Óscar Mencía-Ares and Sonia Martínez-Martínez
Vet. Sci. 2026, 13(1), 73; https://doi.org/10.3390/vetsci13010073 - 11 Jan 2026
Viewed by 87
Abstract
Glaesserella parasuis (G. parasuis) is a key pathogen responsible for swine respiratory disease, and the development of broadly protective vaccines is hampered by its high antigenic diversity. The iron-acquisition protein TbpB is a conserved vaccine candidate, but the cellular immune responses [...] Read more.
Glaesserella parasuis (G. parasuis) is a key pathogen responsible for swine respiratory disease, and the development of broadly protective vaccines is hampered by its high antigenic diversity. The iron-acquisition protein TbpB is a conserved vaccine candidate, but the cellular immune responses it elicits, particularly T-cell subset dynamics during immunization and challenge, remain insufficiently defined. This study characterized these responses after oral immunization of colostrum-deprived piglets with the TbpBY167A mutant. Ten colostrum-deprived piglets were allocated to immunized and non-immunized (PBS) groups, immunized at days 15 and 30 of life and subsequently challenged with G. parasuis (45 days old); peripheral blood mononuclear cells were collected at baseline, after each immunization, and at 1 and 3 days post-infection. Multiparametric flow cytometry was used to quantify major leukocyte subsets and T-cell phenotypes defined by sIgM, CD172a, CD3, TCRγδ, CD8α/β, CD4 and CD27 expression. Booster immunization induced significant expansion of B cells (p < 0.01), TCRγδ T cells (p < 0.01), CD8+ αβ T cells (p < 0.001) and CD4+ memory T cells (p < 0.01) in immunized piglets compared with controls. After challenge, CD8+ cytotoxic T cells in immunized animals rapidly shifted from naïve to memory phenotypes, peaking at 48–72 h (p < 0.01). These biphasic T-cell dynamics are consistent with the protective efficacy previously demonstrated for this vaccine in colostrum-deprived piglets, and support a key contribution of TCRγδ, CD8+ cytotoxic and CD4+ memory T cells to immunity against G. parasuis and to the design of next-generation vaccines. Full article
(This article belongs to the Section Veterinary Microbiology, Parasitology and Immunology)
Show Figures

Figure 1

32 pages, 1753 KB  
Review
Vaccination Strategies Against Hepatic Diseases: A Scoping Review
by Zahra Beyzaei, Bita Geramizadeh, Sara Karimzadeh and Ralf Weiskirchen
Vaccines 2026, 14(1), 49; https://doi.org/10.3390/vaccines14010049 - 31 Dec 2025
Viewed by 587
Abstract
Background/Objectives: Viral hepatitis remains a significant global cause of chronic liver disease, highlighting the importance of effective vaccination strategies. This review assesses recent evidence on vaccine safety and effectiveness. Methods: A comprehensive search of PubMed, Embase, Web of Science, and Scopus [...] Read more.
Background/Objectives: Viral hepatitis remains a significant global cause of chronic liver disease, highlighting the importance of effective vaccination strategies. This review assesses recent evidence on vaccine safety and effectiveness. Methods: A comprehensive search of PubMed, Embase, Web of Science, and Scopus identified English-language studies published from January 2000 to September 2025. Eligible studies evaluated vaccination for hepatitis A, B, C, or E, as well as vaccine responses in individuals with chronic liver disease or HIV infection. Of 5254 records screened, 166 studies met the inclusion criteria. Results: Hepatitis A vaccines demonstrated excellent safety, 95–100% short-term seroprotection, and durable immunity for both inactivated and live-attenuated formulations, with population-level reductions in disease incidence. Hepatitis B vaccines showed consistently strong immunogenicity across age groups, with over 90% seroprotection from recombinant and CpG-adjuvanted formulations. Effective prevention of mother-to-child transmission required maternal antiviral therapy, timely birth-dose vaccination, hepatitis B immunoglobulin (HBIG) administration, and post-vaccination serologic testing. Long-term data demonstrated immune persistence for up to 35 years and significant reductions in liver cancer following neonatal HBV vaccination. Limited studies in hepatitis C populations showed impaired responses, partially improved with higher or booster doses. Hepatitis E vaccines showed excellent safety and over 99% seroconversion. In non-viral liver disease and post-transplant populations, vaccine responses were reduced but remained clinically meaningful, especially with adjuvanted or higher-dose HBV vaccines. Among HIV-infected individuals, HAV vaccination was generally effective, while enhanced HBV regimens markedly improved seroprotection. Conclusions: Hepatitis A, B, and E vaccines are safe, immunogenic, and effective, with neonatal hepatitis B vaccination critical for preventing maternal transmission. No licensed HCV vaccine exists, and therapeutic HCV vaccines show limited efficacy. Optimized and targeted vaccination strategies are needed for individuals with chronic liver disease, HIV infection, HCV infection, transplant recipients, and other immunocompromised populations to maximize public health impact. Full article
(This article belongs to the Special Issue Vaccination and Public Health in the 21st Century)
Show Figures

Figure 1

20 pages, 509 KB  
Article
mRNA COVID-19 Vaccine Effectiveness Against Severe Outcomes Among Adults Hospitalized with COVID-19 from May 2021 to January 2023
by Gabriella Ess, Ashley M. Lew, Ashley Tippett, Luis W. Salazar, Chris Choi, Khalel De Castro, Elizabeth G. Taylor, Olivia D. Reese, Humerazehra Momin, Caroline R. Ciric, Amrita Banerjee, Amy Keane, Laura A. Puzniak, Robin Hubler, Srinivas Valluri, Benjamin Lopman, Nadine Rouphael, Satoshi Kamidani, John M. McLaughlin, Evan J. Anderson and Christina A. Rostadadd Show full author list remove Hide full author list
Vaccines 2026, 14(1), 45; https://doi.org/10.3390/vaccines14010045 - 30 Dec 2025
Viewed by 631
Abstract
Background/Objectives: COVID-19 mRNA vaccines protect against hospitalization, but less is known about real-world vaccine effectiveness (VE) against other severe outcomes. Methods: We enrolled adults hospitalized with acute respiratory illness at two hospitals in Atlanta, Georgia, USA from May 2021 to January [...] Read more.
Background/Objectives: COVID-19 mRNA vaccines protect against hospitalization, but less is known about real-world vaccine effectiveness (VE) against other severe outcomes. Methods: We enrolled adults hospitalized with acute respiratory illness at two hospitals in Atlanta, Georgia, USA from May 2021 to January 2023. Participants were eligible if they had standard-of-care COVID-19 testing or provided an upper respiratory swab for analysis. Vaccination status was confirmed through the state registry. mRNA COVID-19 VE among those with severe outcomes was determined using a test-negative case–control design with stepwise logistic regression adjusting for confounding variables. Results: Of 1973 participants eligible for analysis, 886 (44.9%) were unvaccinated, 641 (32.5%) received a primary series, and 446 (22.6%) received a primary series plus ≥ 1 booster. A total of 734 (37.2%) were positive for COVID-19. During the pre-Delta/Delta (2 May 2021–19 December 2021) vs. Omicron (20 December 2021–31 January 2023) eras, adjusted COVID-19 mRNA VE of a primary series compared to no vaccination was 85.5% (95% CI: 77.0%, 90.8%) vs. 38.2% (95% CI: 11.5%, 56.8%) overall, 90.0% (95% CI: 82.6%, 94.2%) vs. 54.4% (95% CI: 9.0%, 77.1%) among those with radiographic pneumonia, and 94.4% (95% CI: 80.5%, 98.4%) vs. 62.5% (95% CI: 19.0%, 82.7%) among those admitted to the ICU. VE against severe outcomes was highest within the 6 months following vaccination and during the pre-Delta/Delta era. A booster dose partially restored VE against Omicron-associated hospitalization and pneumonia. Conclusions: COVID-19 mRNA vaccines were effective at preventing hospitalization and other severe outcomes in adults during periods of pre-Delta/Delta and Omicron variant circulation. Full article
(This article belongs to the Section COVID-19 Vaccines and Vaccination)
Show Figures

Figure 1

17 pages, 1393 KB  
Article
Cellular Immunological Memory T Cells and IL15RA Gene Polymorphism in COVID-19 Vaccinated Individuals from Southern Brazil
by Grazielle Motta Rodrigues, Pâmela Portela da Silva, Maria Clara de Freitas Pinho, Taís da Silveira Fischer, Fernanda de Paris, Fabrício Souza Campos, Arthur Bandeira de Mello Garcia, Lucas Fernandes Jataí, Patricia Ashton-Prolla, Fernanda Sales Luiz Vianna and Clévia Rosset
Diagnostics 2026, 16(1), 89; https://doi.org/10.3390/diagnostics16010089 - 26 Dec 2025
Viewed by 420
Abstract
Background: The development of safe and effective vaccines against SARS-CoV-2 was crucial for controlling COVID-19 and establishing long-lasting immune memory in the population. Methods: This study evaluated cellular immune memory in individuals vaccinated with different regimens in Rio Grande do Sul using flow [...] Read more.
Background: The development of safe and effective vaccines against SARS-CoV-2 was crucial for controlling COVID-19 and establishing long-lasting immune memory in the population. Methods: This study evaluated cellular immune memory in individuals vaccinated with different regimens in Rio Grande do Sul using flow cytometry. Additionally, the rs2228059 polymorphism in the IL15RA gene was genotyped. A total of 62 participants were randomly recruited. Results: A decrease in memory T cell subsets in response to SARS-CoV-2 stimuli was observed in total CD3+, CD4+, and CD8+ T cells. Regarding the timing of the last vaccine dose, 94.4% of participants had received their final COVID-19 vaccination at least two years prior to recruitment. The rs2228059 polymorphism was genotyped in 443 individuals from the Rio Grande do Sul population. Among participants who received the ChAdOx1/ChAdOx1/BNT162b2 vaccination regimen and carried the TT genotype, an increase in CD8+ naive, CD8+ effector and CD4+ naive subsets was observed in stimulated cells. Although preliminary, the results suggest no major differences between vaccination regimens. Conclusions: The progressive reduction in memory T cell counts supports the need for booster doses, which is essential not only in the context of new emerging variants but also especially to maintain adequate cellular immune protection. Full article
(This article belongs to the Special Issue Opportunities in Laboratory Medicine in the Era of Genetic Testing)
Show Figures

Figure 1

22 pages, 3263 KB  
Article
Booster Immunisation with Skin-Patch-Delivered Unadjuvanted SARS-CoV-2 Spike Protein Vaccine Is Safe and Immunogenic in Healthy Adults
by Christopher L. D. McMillan, David A. Muller, Germain J. P. Fernando, Alexandra C. I. Depelsenaire, Cesar Jayashi-Flores, Kelly-Anne Masterman, Sarika Namjoshi, Kartik Vyas, Deborah Pascoe, Julian Hickling, Stephanie Wallace, Daniel Duijsings, Joelle Vink, Adam K. Wheatley, Jennifer Juno, Greg Siller and Angus H. Forster
Vaccines 2026, 14(1), 28; https://doi.org/10.3390/vaccines14010028 - 25 Dec 2025
Viewed by 558
Abstract
Background/Objective: Despite available SARS-CoV-2 vaccines, coverage gaps persist due to unequal distribution and limited access. Microarray patches offer a promising solution to address these challenges, providing a safer and easier-to-use alternative. We present a randomised, double-blind Phase I clinical trial evaluating the SARS-CoV-2 [...] Read more.
Background/Objective: Despite available SARS-CoV-2 vaccines, coverage gaps persist due to unequal distribution and limited access. Microarray patches offer a promising solution to address these challenges, providing a safer and easier-to-use alternative. We present a randomised, double-blind Phase I clinical trial evaluating the SARS-CoV-2 spike protein subunit vaccine, HexaPro, delivered via a high-density microarray patch (HD-MAP). Methods: Forty-four healthy adults aged 18–50 years were assigned to receive either 0 µg, 15 µg, or 45 µg of HexaPro via the HD-MAP, with the primary objective of assessing safety and tolerability. Results: The HD-MAP HexaPro vaccine was found to be safe and well tolerated, with only mild adverse events reported. Following vaccination significant increases in spike-specific IgG titers were observed by 7 days and remained stable through day 90. This IgG response effectively neutralised multiple SARS-CoV-2 variants. Additionally, the HexaPro HD-MAP was stable for up to 12 months at 40 °C. Conclusions: These findings support the continued clinical development of HD-MAPs as an alternative vaccination strategy. Full article
(This article belongs to the Section COVID-19 Vaccines and Vaccination)
Show Figures

Figure 1

18 pages, 2632 KB  
Article
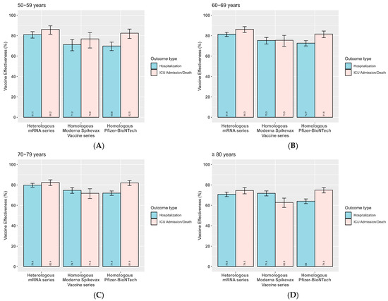
National Near Real-Time Vaccine Effectiveness Against COVID-19 Severe Outcomes Using the Screening Method Among Older Adults Aged ≥50 Years in Canada
by Robert MacTavish, Andreea Slatculescu, Dylan Ermacora, Katarina Vukovojac, Tanner Noth, Natalie Ward, Kathleen Laskoski, Daniela Fleming, Baanu Manoharan, Julie Laroche and Aissatou Fall
Vaccines 2026, 14(1), 26; https://doi.org/10.3390/vaccines14010026 - 24 Dec 2025
Viewed by 481
Abstract
Background/Objectives: It is critical to monitor real-world COVID-19 vaccine effectiveness (VE) in older adults, as they have been identified as a priority group for vaccination. This is the first study that aims to estimate national absolute vaccine effectiveness (aVE) against severe COVID-19 outcomes [...] Read more.
Background/Objectives: It is critical to monitor real-world COVID-19 vaccine effectiveness (VE) in older adults, as they have been identified as a priority group for vaccination. This is the first study that aims to estimate national absolute vaccine effectiveness (aVE) against severe COVID-19 outcomes among Canadian older adults aged ≥50 years. Methods: The screening method (SM) was implemented using standard and spline-based logistic regression models to estimate aVE and 95% confidence intervals (CIs) by outcome, age group, vaccination status, time since last dose, vaccine schedules, and variant of concern (VOC) period. Results: From 1 August 2021 to 30 November 2023, there were 103,822 severe COVID-19 cases, of which 72.9% were hospitalized, 8.2% were admitted to ICU, and 18.9% had died. A total of 23.1% of these cases were unvaccinated against COVID-19, 21.9% completed a primary series only, and 55.0% received at least one additional/booster dose. National aVE against severe COVID-19 outcomes remained moderate to high during Delta and original Omicron VOC predominance periods. Monthly age-specific aVE of at least two additional/booster doses remained stable during recombinant XBB.1.5/EG.5 VOC predominance, ranging from 61.0% (95% CI: 51.9–68.4%) to 69.8% (95% CI: 67.5–72.0%) against hospitalization, and 71.0% (95% CI: 62.8–77.4%) to 77.2% (95% CI: 74.2–79.9%) against ICU admission/death. Adjusted aVE was higher for last booster doses received within the past six months and with heterologous mRNA vaccine schedules. Conclusions: The SM is a useful method to estimate aVE in near real-time, enabling the assessment of temporal changes in aVE, guiding vaccine policy, and building vaccine confidence among populations at higher risk of severe outcomes. Full article
Show Figures

Figure 1

23 pages, 2132 KB  
Article
Novel Multistage Subunit Mycobacterium tuberculosis Nanoparticle Vaccine Confers Protection Against Experimental Infection in Prophylactic and Therapeutic Regimens
by Amir I. Tukhvatulin, Alina S. Dzharullaeva, Daria V. Vasina, Mikhail V. Fursov, Fatima M. Izhaeva, Denis A. Kleymenov, Dmitry N. Shcherbinin, Nikita B. Polyakov, Andrey I. Solovyev, Vladimir G. Zhukhovitsky, Alla S. Zhitkevich, Ilya V. Gordeychuk, Anna M. Litvinova, Victor A. Manuylov, Vasiliy D. Potapov, Artem P. Tkachuk, Vladimir A. Gushchin, Denis Y. Logunov and Alexander L. Gintsburg
Vaccines 2026, 14(1), 5; https://doi.org/10.3390/vaccines14010005 - 19 Dec 2025
Viewed by 484
Abstract
Background/Objectives: Tuberculosis (TB) remains the leading cause of death from a single infectious agent worldwide. In line with the World Health Organization’s (WHO) goal to end TB by 2035, the rapid development and clinical implementation of new, effective vaccines is urgently needed. [...] Read more.
Background/Objectives: Tuberculosis (TB) remains the leading cause of death from a single infectious agent worldwide. In line with the World Health Organization’s (WHO) goal to end TB by 2035, the rapid development and clinical implementation of new, effective vaccines is urgently needed. To support global TB control efforts, we developed a novel candidate subunit multistage vaccine. Methods: This vaccine incorporates multiple Mycobacterium tuberculosis antigens expressed during both dormant and active stages of infection, fused into a single recombinant protein (ESAT6-CFP10-Ag85A-Rv2660c-Rv1813c). The antigen was encapsulated in biodegradable poly(D,L-lactide-co-glycolide) (PLGA) nanoparticles along with the pattern recognition receptor (PRR) agonists monophosphoryl lipid A (MPLA) and muramyl dipeptide (MDP), which function as adjuvants. Results: Using a mixed intramuscular/nasal prime-boost regimen, the vaccine elicited a mixed Th1/Th17 cell-mediated immune response, as well as a robust humoral response characterized by sustained systemic IgG (lasting at least one year) and prominent local secretory IgA. The vaccine demonstrated protective efficacy as a prophylactic booster following BCG priming in both murine and guinea pig models and was also effective in a therapeutic setting in a murine infection model. Conclusions: The results of this study provide empirical evidence that multistage tuberculosis vaccines represent a promising strategy for achieving global TB control. Full article
Show Figures

Figure 1

19 pages, 3361 KB  
Article
Immunogenicity of Sulfated Lactosyl Archaeol Archaeosome-Adjuvanted Versus Non-Adjuvanted SARS-CoV-2 Spike Booster Vaccines in Young and Aged Balb/c Mice
by Felicity C. Stark, Bassel Akache, Tyler M. Renner, Gerard Agbayani, Lise Deschatelets, Renu Dudani, Blair A. Harrison, Usha D. Hemraz, Sophie Régnier, Matthew Stuible, Yves Durocher and Michael J. McCluskie
Vaccines 2025, 13(12), 1257; https://doi.org/10.3390/vaccines13121257 - 18 Dec 2025
Viewed by 394
Abstract
Background/Objectives: The rise of immune escape variants of the SARS-CoV-2 virus has prompted the development of vaccines based on the variant’s spike antigen sequence. Since variant-specific SARS-CoV-2 vaccines are mostly administered as boosters to individuals previously vaccinated with reference (Ref.) strain-based vaccines, a [...] Read more.
Background/Objectives: The rise of immune escape variants of the SARS-CoV-2 virus has prompted the development of vaccines based on the variant’s spike antigen sequence. Since variant-specific SARS-CoV-2 vaccines are mostly administered as boosters to individuals previously vaccinated with reference (Ref.) strain-based vaccines, a better understanding of their immunogenicity in this context is essential. Protein subunit vaccines have a well-established track record of safety. Herein, we assessed the ability of variant-specific protein subunit vaccine formulations to boost pre-existing Ref. strain-specific immune responses compared to boosting with a Ref. strain-specific formulation in young and aged female Balb/c mice. Methods: Following a priming vaccination series with Ref. spike protein adjuvanted with sulfated lactosyl archaeol (SLA) archaeosomes on days 0 and 21, immune responses were evaluated in young and aged female Balb/c mice. On day 91, mice received a third immunization with Ref., Beta, or Delta spike protein formulations, with or without SLA archaeosomes. Antibody titers, neutralization activity, and cellular immune responses were measured to assess the impact of the booster formulation. Results: Aged mice exhibited lower antibody titers throughout the study and a decline over time compared to young mice. After a third immunization, responses were boosted by all vaccine formulations (Ref., Beta, or Delta), with or without adjuvant. However, variant-specific antigen formulations did not overcome immune imprinting from the priming series or increase neutralization activity against the corresponding SARS-CoV-2 variants in either age group. Conclusions: Variant-specific protein subunit vaccines enhanced immune responses but did not overcome immune imprinting induced by the Ref. strain’s priming. The inclusion of SLA archaeosomes improved cellular immunity, supporting their potential role in optimizing booster vaccine performance, particularly in aged populations. Full article
(This article belongs to the Special Issue Novel Vaccines and Vaccine Technologies for Emerging Infections)
Show Figures

Figure 1

16 pages, 1283 KB  
Article
Socioeconomic Barriers to COVID-19 Booster Vaccination in Southern Italy: A Retrospective Study to Evaluate Association with the Social and Material Vulnerability Index in Apulia
by Nicola Bartolomeo, Letizia Lorusso, Niccolò Maldera and Paolo Trerotoli
Vaccines 2025, 13(12), 1255; https://doi.org/10.3390/vaccines13121255 - 18 Dec 2025
Viewed by 699
Abstract
Background: Socioeconomic disparities may affect COVID-19 booster vaccination uptake, potentially undermining public health efforts. This study assessed the association between first booster dose coverage and municipal socioeconomic deprivation in the Apulia region of southern Italy. A secondary objective was to evaluate whether [...] Read more.
Background: Socioeconomic disparities may affect COVID-19 booster vaccination uptake, potentially undermining public health efforts. This study assessed the association between first booster dose coverage and municipal socioeconomic deprivation in the Apulia region of southern Italy. A secondary objective was to evaluate whether SARS-CoV-2 incidence modified this relationship. Methods: We conducted a retrospective observational study including Apulian residents aged ≥5 years from 1 January 2021, to 31 December 2022. First booster doses were identified using an algorithm based on dose chronology and national guidelines. Vaccination and infection data were retrieved from regional databases. Socioeconomic deprivation was measured using the Social and Material Vulnerability Index (SMVI) developed by the Italian National Institute of Statistics (ISTAT). Booster coverage was calculated at the municipal level. A multivariable Poisson’s regression model was used to estimate the association between SMVI and booster uptake, adjusting for age group, primary vaccine type, SARS-CoV-2 incidence, and municipal vaccination rates. Analyses were stratified by sex. Results: A total of 2,732,258 individuals received a first booster dose. Booster coverage decreased with increasing SMVI. Among females, a significant reduction was observed in the highest deprivation category (RR > 102 vs. <99: 0.95; 95% CI: 0.94–0.97) and it was similar in males (RR: 0.95; 95% CI: 0.93–0.96). A significant interaction between age and deprivation was found in both sexes, with a sharper decline in younger individuals. Municipal vaccination rates were positively associated with booster uptake. SARS-CoV-2 incidence was positively associated with uptake only in males. Conclusions: The analysis revealed a significant association between lower socio-cultural level and lower adherence to the first booster dose of the COVID-19 vaccine. The decline is more pronounced among subjects younger than 50 years with high levels of vulnerability. The findings of this study suggest that to overthrow vaccine hesitancy, knowledge of the social setting allows for targeted communications to the different groups in the population. Further research is needed to define different approaches in the different social groups. Full article
Show Figures

Figure 1

15 pages, 1034 KB  
Article
Booster Vaccination Against Invasive Pneumococcal Disease and Hepatitis B in Previously Vaccinated Solid Organ Transplant Recipients Without Seroprotection
by Julie Sejerøe-Olsen, Moises Alberto Suarez-Zdunek, Thomas Helbo, Lise Bank Hornung, Charlotte Sværke Jørgensen, Kasper Rossing, Michael Perch, Allan Rasmussen, Sebastian Rask Hamm and Susanne Dam Nielsen
Vaccines 2025, 13(12), 1253; https://doi.org/10.3390/vaccines13121253 - 17 Dec 2025
Viewed by 525
Abstract
Background: Despite pre-transplantation vaccination against invasive pneumococcal disease (IPD) and hepatitis B virus (HBV), most solid organ transplant (SOT) recipients are without post-transplantation seroprotection against IPD and HBV. We aimed to determine the seroprotection rates and changes in antibody concentrations after booster vaccination [...] Read more.
Background: Despite pre-transplantation vaccination against invasive pneumococcal disease (IPD) and hepatitis B virus (HBV), most solid organ transplant (SOT) recipients are without post-transplantation seroprotection against IPD and HBV. We aimed to determine the seroprotection rates and changes in antibody concentrations after booster vaccination against IPD and HBV in SOT recipients without post-transplantation seroprotection after pre-transplantation vaccination. Furthermore, we aimed to identify risk factors associated with non-response to booster vaccination. Methods: In this prospective cohort study, we included adult SOT recipients without post-transplantation seroprotection against IPD who then received the 23-valent pneumococcal polysaccharide vaccine (PPSV23) booster, as well as adult SOT recipients without seroprotection against HBV who then received the Engerix-B® booster after pre-transplantation vaccination. Logistic regression models were used to analyze risk factors for non-response to booster vaccination. Results: We included 50 SOT recipients in analyses of booster vaccination against IPD and 52 SOT recipients in analyses of booster vaccination against HBV. Seroprotection rates were 52% after booster vaccination against IPD and 7.7% after booster vaccination against HBV. The median geometric mean concentration of pneumococcal antibodies increased from 0.54 µg/mL IgG (interquartile range, IQR: 0.35–0.77) to 1.21 µg/mL IgG (IQR: 0.87–1.62) after booster vaccination (p < 0.001). Having pre-transplantation seroprotection against IPD at time of listing was associated with lower odds of non-response to booster vaccination. We were not able to identify risk factors for non-response to HBV booster vaccination. Conclusions: Booster vaccination improved seroprotection against IPD, but not HBV. Further studies are needed to examine optimal vaccination strategies for SOT recipients. Full article
(This article belongs to the Special Issue Hepatitis Vaccines: Safety, Efficacy and Global Impact)
Show Figures

Figure 1

18 pages, 1368 KB  
Article
Vaccine Platform-Dependent Differential Impact on Microbiome Diversity: Potential Advantages of Protein Subunit Vaccines
by Hye Seong, Jin Gu Yoon, Eliel Nham, Yu Jung Choi, Ji Yun Noh, Hee Jin Cheong, Woo Joo Kim, Sooyeon Lim and Joon Young Song
Vaccines 2025, 13(12), 1248; https://doi.org/10.3390/vaccines13121248 - 15 Dec 2025
Viewed by 654
Abstract
Background: The COVID-19 pandemic accelerated the development of diverse vaccine platforms, including mRNA, adenoviral vector, and protein subunit vaccines. Given the growing evidence that the gut microbiome modulates vaccine-induced immunity, this study compared the effects of a protein subunit vaccine (NVX-CoV2373), an [...] Read more.
Background: The COVID-19 pandemic accelerated the development of diverse vaccine platforms, including mRNA, adenoviral vector, and protein subunit vaccines. Given the growing evidence that the gut microbiome modulates vaccine-induced immunity, this study compared the effects of a protein subunit vaccine (NVX-CoV2373), an mRNA vaccine (BNT162b2), and an adenoviral vector vaccine (ChAdOx1) on gut microbiome diversity following booster vaccination. Methods: We conducted a prospective cohort study involving 35 healthy adults who received an NVX-CoV2373 booster. Stool and blood samples were collected before vaccination and three weeks afterward. Gut microbiome profiles were analyzed using 16S rRNA gene sequencing, and the results were compared with our previous cohorts who received BNT162b2 or ChAdOx1 vaccines. Results: The NVX-CoV2373 booster was associated with a significant increase in the Shannon diversity index (p = 0.027), indicating enhanced alpha diversity. This finding contrasts with the decrease or absence of significant short-term change observed following repeated administrations of adenoviral vector and mRNA vaccines, respectively. Notably, NVX-CoV2373 vaccination was accompanied by an increased relative abundance of beneficial taxa such as Bacteroides fragilis and a decrease in Prevotella bivia. In comparison, repeated ChAdOx1 doses resulted in a sustained reduction in alpha diversity, whereas BNT162b2 showed a transient post-booster rise followed by a long-term decline in species richness. Conclusions: In the booster setting, the protein subunit vaccine NVX-CoV2373 exerted a distinct and favorable effect on gut microbiome diversity, increasing alpha diversity in contrast to the patterns observed with mRNA and adenoviral vector booster vaccines. Full article
(This article belongs to the Special Issue Human Immune Responses to Infection and Vaccination)
Show Figures

Figure 1

18 pages, 2197 KB  
Article
Long-Term Impact of Pneumococcal Conjugate Vaccines on the Burden of Pneumococcal Meningitis in Mozambique, 2013–2023
by Aquino Albino Nhantumbo, Goitom Weldegebriel, Linda de Gouveia, Reggis Katsande, Charlotte Elizabeth Comé, Alcides Moniz Munguambe, Vlademir Cantarelli, Cícero Dias, Rachid Muleia, Ezequias Fenias Sitoe, Eunice Veronica Zeca, Amir Seni, Ana Nicolau Tambo, Ana Cristina de Faria Neves Mussagi, Plácida Iliany Maholela, Ivano de Filippis and Eduardo Samo Gudo
Vaccines 2025, 13(12), 1246; https://doi.org/10.3390/vaccines13121246 - 15 Dec 2025
Viewed by 420
Abstract
Background: Mozambique introduced the 10-valent pneumococcal conjugate vaccine (PCV10) in 2013 using a three-dose primary series with no booster dose (3p+0) and later switched to the PCV13 using a schedule of two primary doses with one booster (2p+1). We aimed to describe the [...] Read more.
Background: Mozambique introduced the 10-valent pneumococcal conjugate vaccine (PCV10) in 2013 using a three-dose primary series with no booster dose (3p+0) and later switched to the PCV13 using a schedule of two primary doses with one booster (2p+1). We aimed to describe the burden and serotype distribution of pneumococcal meningitis in children under 5 years of age in Mozambique over an eleven-year period starting with the year of PCV10 introduction, and assess the impact of the PCV vaccine and schedule changes. Methods: We analysed meningitis surveillance data in Mozambique from March 2013 through to December 2023. Cerebrospinal fluid (CSF) samples were collected from eligible children in three referral hospitals (Maputo Central Hospital [south], Beira Central Hospital [central], and Nampula Central Hospital [north]). Culture and polymerase chain reaction assay (qPCR) were performed on each sample. S. pneumoniae-positive samples were subsequently serotyped using multiplex assay. We estimated annual incidence rates for pneumococcal meningitis in children under 5 years old following the PCVs’ introduction (2013–2023). The impact of the product switch and schedule change from PCV10/3p+0 to PCV13/2p+1 on the burden and serotype distribution of pneumococcal meningitis was assessed. Results: Of the 4075 CSF samples tested, 7.4% (301/4075) were positive for S. pneumoniae, 2.5% (103/4075) for H. influenzae, and 1.0% (42/4075) for N. meningitidis. Pneumococcal meningitis incidence in children under five reduced from 44.7 cases per 100,000 in 2013 to 4.6 cases per 100,000 in 2023, an 89.7% reduction. In the PCV13/2p+1 period (2020–2023), pneumococcal meningitis incidence was 51.2% lower than the PCV10/3p+0 period (2013–2017) (IRR 0.49, 95% CI 0.4–0.6; p < 0.001). PCV10-serotype pneumococcal meningitis incidence among children under five decreased by 65.6% in the PCV13/2p+1 period (IRR 0.34, 95% CI 0.2–0.6; p < 0.001). We detected zero cases of pneumococcal meningitis due to the PCV13-serotype in 2020–2023, whereas non-PCV10/13-serotypes increased by 76% (IRR 1.76, 95% CI 1.2–2.6; p = 0.004). The case–fatality proportion decreased by 71.9% (95% CI 62.9–84.8%) in the PCV13/2p+1 period. Conclusions: Since the introduction of PCVs in Mozambique, the burden of pneumococcal meningitis and deaths in children under 5 years of age has substantially decreased, as well as the prevalence of PCV13-serotypes. Higher valency PCVs are needed due to the increased prevalence of non-PCV10/13-serotypes. Funding: Gavi, The Vaccine Alliance, reference number: MOZ-HSS-2-INS; WHO Reference: 2014405143-0, creation DFC to support HIB & Surveillance System. Full article
(This article belongs to the Special Issue Pneumococcal Vaccines: Current Status and Future Prospects)
Show Figures

Figure 1

Back to TopTop