Sign in to use this feature.

Years

Between: -

Subjects

remove_circle_outline
remove_circle_outline
remove_circle_outline
remove_circle_outline
remove_circle_outline
remove_circle_outline
remove_circle_outline

Journals

Article Types

Countries / Regions

Search Results (209)

Search Parameters:
Keywords = vacancy engineering

Order results
Result details
Results per page
Select all
Export citation of selected articles as:
22 pages, 3453 KB  
Review
Diamond Sensor Technologies: From Multi Stimulus to Quantum
by Pak San Yip, Tiqing Zhao, Kefan Guo, Wenjun Liang, Ruihan Xu, Yi Zhang and Yang Lu
Micromachines 2026, 17(1), 118; https://doi.org/10.3390/mi17010118 - 16 Jan 2026
Viewed by 188
Abstract
This review explores the variety of diamond-based sensing applications, emphasizing their material properties, such as high Young’s modulus, thermal conductivity, wide bandgap, chemical stability, and radiation hardness. These diamond properties give excellent performance in mechanical, pressure, thermal, magnetic, optoelectronic, radiation, biosensing, quantum, and [...] Read more.
This review explores the variety of diamond-based sensing applications, emphasizing their material properties, such as high Young’s modulus, thermal conductivity, wide bandgap, chemical stability, and radiation hardness. These diamond properties give excellent performance in mechanical, pressure, thermal, magnetic, optoelectronic, radiation, biosensing, quantum, and other applications. In vibration sensing, nano/poly/single-crystal diamond resonators operate from MHz to GHz frequencies, with high quality factor via CVD growth, diamond-on-insulator techniques, and ICP etching. Pressure sensing uses boron-doped piezoresistive, as well as capacitive and Fabry–Pérot readouts. Thermal sensing merges NV nanothermometry, single-crystal resonant thermometers, and resistive/diode sensors. Magnetic detection offers FeGa/Ti/diamond heterostructures, complementing NV. Optoelectronic applications utilize DUV photodiodes and color centers. Radiation detectors benefit from diamond’s neutron conversion capability. Biosensing leverages boron-doped diamond and hydrogen-terminated SGFETs, as well as gas targets such as NO2/NH3/H2 via surface transfer doping and Pd Schottky/MIS. Imaging uses AFM/NV probes and boron-doped diamond tips. Persistent challenges, such as grain boundary losses in nanocrystalline diamond, limited diamond-on-insulator bonding yield, high temperature interface degradation, humidity-dependent gas transduction, stabilization of hydrogen termination, near-surface nitrogen-vacancy noise, and the cost of high-quality single-crystal diamond, are being addressed through interface and surface chemistry control, catalytic/dielectric stack engineering, photonic integration, and scalable chemical vapor deposition routes. These advances are enabling integrated, high-reliability diamond sensors for extreme and quantum-enhanced applications. Full article
Show Figures

Figure 1

15 pages, 3324 KB  
Article
Tuning Oxygen Reduction Kinetics in LaSrCoO4 with Strained Epitaxial Thin Films and Wrinkled Freestanding Membranes
by Habib Rostaghi Chalaki, Ebenezer Seesi, Mohammad El Loubani and Dongkyu Lee
Ceramics 2026, 9(1), 7; https://doi.org/10.3390/ceramics9010007 - 14 Jan 2026
Viewed by 191
Abstract
Sluggish oxygen reduction reaction (ORR) remains a critical barrier to advancing intermediate-temperature electrochemical energy devices. Here, we demonstrate that strain engineering in two platforms, epitaxial thin films and freestanding membranes, systematically tunes ORR kinetics in Ruddlesden-Popper LaSrCoO4. In epitaxial films, film [...] Read more.
Sluggish oxygen reduction reaction (ORR) remains a critical barrier to advancing intermediate-temperature electrochemical energy devices. Here, we demonstrate that strain engineering in two platforms, epitaxial thin films and freestanding membranes, systematically tunes ORR kinetics in Ruddlesden-Popper LaSrCoO4. In epitaxial films, film thickness is varied to control in-plane tensile strain, whereas in freestanding membranes strain relaxation during the release step using water-soluble sacrificial layers produces flat or wrinkled architectures. Electrochemical impedance spectroscopy analysis reveals more than an order of magnitude increase in the oxygen surface exchange coefficient for tensile-strained films relative to relaxed films, together with a larger oxygen vacancy concentration. Wrinkled freestanding membranes provide a further increase in oxygen surface exchange kinetics and a lower activation energy, which are attributed to increased active surface area and local strain variation. These results identify epitaxial tensile strain and controlled wrinkling as practical design parameters for optimizing ORR activity in Ruddlesden-Popper oxides. Full article
(This article belongs to the Special Issue Nanoceramics and Two-Dimensional Ceramic Materials)
Show Figures

Figure 1

16 pages, 3088 KB  
Article
Defect-Selective Luminescence in Hydroxyapatite Under Electron and Gallium Ion Beams
by Verónica J. Huerta, Fabián Martínez, Hanna M. Ochoa, Olivia A. Graeve and Manuel Herrera-Zaldívar
Materials 2026, 19(2), 321; https://doi.org/10.3390/ma19020321 - 13 Jan 2026
Viewed by 120
Abstract
We report a defect-selective luminescence response in calcium-deficient hydroxyapatite (HAp) induced by electron and ion irradiation. Compacted HAp pellets prepared from hydrothermally grown nanofibers were investigated to analyze defect-related luminescence using photoluminescence (PL) and cathodoluminescence (CL) techniques, both before and after compaction. Low-energy [...] Read more.
We report a defect-selective luminescence response in calcium-deficient hydroxyapatite (HAp) induced by electron and ion irradiation. Compacted HAp pellets prepared from hydrothermally grown nanofibers were investigated to analyze defect-related luminescence using photoluminescence (PL) and cathodoluminescence (CL) techniques, both before and after compaction. Low-energy electron beam irradiation (15 keV) produced a two-stage luminescent response, an initial enhancement arising from field-assisted activation of OH-channel vacancies (VOH and VOH + Hi), followed by an exponential decay attributed to defect annealing. Monochromatic transient CL measurements show that this rise–decay behavior is selective to the OH-related bands at 2.57 and 2.95 eV, whereas the 3.32 and 3.67 eV emissions exhibit only a monotonic exponential decay. The corresponding decay constants further indicate that the activated OH-channel vacancies anneal more rapidly than the other centers, consistent with their higher electron-capture probability and lower structural stability. In contrast, Ga+ ion irradiation (30 keV, 1.4 × 10−13 A/µm2) induced progressive monotonic luminescence quenching, primarily driven by selective annealing of oxygen vacancies in PO43 groups. These complementary pathways, electron-induced activation and ion-driven suppression, demonstrate that irradiation serves as a versatile tool for defect engineering in hydroxyapatite. Beyond providing fundamental insights into vacancy stability, these results open new routes for tailoring the optical, sensing, and bioimaging functionalities of HAp through controlled irradiation. Full article
(This article belongs to the Special Issue Hydroxyapatite and Hydroxyapatite-Based Materials)
Show Figures

Graphical abstract

24 pages, 2470 KB  
Review
Metal–Support Interactions in Single-Atom Catalysts for Electrochemical CO2 Reduction
by Alexandra Mansilla-Roux, Mayra Anabel Lara-Angulo and Juan Carlos Serrano-Ruiz
Nanomaterials 2026, 16(2), 103; https://doi.org/10.3390/nano16020103 - 13 Jan 2026
Viewed by 259
Abstract
Electrochemical CO2 reduction (CO2RR) is a promising route to transform a major greenhouse gas into value-added fuels and chemicals. However, its deployment is still hindered by the sluggish activation of CO2, poor selectivity toward multielectron products, and competition [...] Read more.
Electrochemical CO2 reduction (CO2RR) is a promising route to transform a major greenhouse gas into value-added fuels and chemicals. However, its deployment is still hindered by the sluggish activation of CO2, poor selectivity toward multielectron products, and competition with the hydrogen evolution reaction (HER). Single-atom catalysts (SACs) have emerged as powerful materials to address these challenges because they combine maximal metal utilization with well-defined coordination environments whose electronic structure can be precisely tuned through metal–support interactions. This minireview summarizes current understanding of how structural, electronic, and chemical features of SAC supports (e.g., porosity, heteroatom doping, vacancies, and surface functionalization) govern the adsorption and conversion of key CO2RR intermediates and thus control product distributions from CO to CH4, CH3OH and C2+ species. Particular emphasis is placed on selectivity descriptors (e.g., coordination number, d-band position, binding energies of *COOH and *OCHO) and on rational design strategies that exploit curvature, microenvironment engineering, and electronic metal–support interactions to direct the reaction along desired pathways. Representative SAC systems based primarily on N-doped carbons, complemented by selected examples on oxides and MXenes are discussed in terms of Faradaic efficiency (FE), current density and operational stability under practically relevant conditions. Finally, the review highlights remaining bottlenecks and outlines future directions, including operando spectroscopy and data-driven analysis of dynamic single-site ensembles, machine-learning-assisted DFT screening, scalable mechanochemical synthesis, and integration of SACs into industrially viable electrolyzers for carbon-neutral chemical production. Full article
Show Figures

Figure 1

15 pages, 2248 KB  
Article
Bandgap Engineering of Ga2O3 by MOCVD Through Alloying with Indium
by Md Minhazul Islam, A. Hernandez, H. Appuhami, A. Banerjee, Blas Pedro Uberuaga and F. A. Selim
Nanomaterials 2026, 16(2), 93; https://doi.org/10.3390/nano16020093 - 12 Jan 2026
Viewed by 204
Abstract
Ga2O3 and In2O3 are vital semiconductors with current and future electronic device applications. Here, we study the alloying of In2O3 and Ga2O3 (IGO) and the associated changes in structure, morphology, band [...] Read more.
Ga2O3 and In2O3 are vital semiconductors with current and future electronic device applications. Here, we study the alloying of In2O3 and Ga2O3 (IGO) and the associated changes in structure, morphology, band gap, and electrical transport properties. Undoped films of IGO were deposited on sapphire substrates with varying indium (In) percentage from zero to 100% by metal-organic chemical vapor deposition (MOCVD). Some films were annealed in H2 to induce electrical conductivity. The measurements showed the optical band gap decreased by adding In; this was confirmed by density functional (DFT) calculations, which revealed that the nature of the valence band maximum and conduction band minimum strongly relate to the chemistry and that the band gap drops by adding In. The as-grown films were highly resistive except for pure In2O3, which possesses p-type conductivity, likely arising from In vacancy-related acceptor states. N-type conductivity was induced in all films after H-anneal. DFT calculations revealed that the presence of In decreases the electron effective mass, which is consistent with the electrical transport measurements that showed higher electron mobility for higher In percentage. The work revealed the successful band gap engineering of IGO and the modification of its band structure while maintaining high-quality films by MOCVD. Full article
(This article belongs to the Section Synthesis, Interfaces and Nanostructures)
Show Figures

Figure 1

22 pages, 4259 KB  
Review
Stoichiometry-Controlled Surface Reconstructions in Epitaxial ABO3 Perovskites for Sustainable Energy Applications
by Habib Rostaghi Chalaki, Ebenezer Seesi, Gene Yang, Mohammad El Loubani and Dongkyu Lee
Crystals 2026, 16(1), 37; https://doi.org/10.3390/cryst16010037 - 1 Jan 2026
Viewed by 394
Abstract
ABO3 perovskite oxides are a versatile class of materials whose surfaces and interfaces play essential roles in sustainable energy technologies, including catalysis, solid oxide fuel and electrolysis cells, thermoelectrics, and energy-relevant oxide electronics. The interplay between point defects and surface reconstructions strongly [...] Read more.
ABO3 perovskite oxides are a versatile class of materials whose surfaces and interfaces play essential roles in sustainable energy technologies, including catalysis, solid oxide fuel and electrolysis cells, thermoelectrics, and energy-relevant oxide electronics. The interplay between point defects and surface reconstructions strongly affects interfacial stability, charge transport, and catalytic activity under operating conditions. This review summarizes recent progress in understanding how oxygen vacancies, cation nonstoichiometry, and electronic defects couple to atomic-scale surface rearrangements in representative perovskite systems. We first revisit Tasker’s classification of ionic surfaces and clarify how defect chemistry provides compensation mechanisms that stabilize otherwise polar or metastable terminations. We then discuss experimental and theoretical insights into defect-mediated reconstructions on perovskite surfaces and how they influence the performance of energy conversion devices. Finally, we conclude with a perspective on design strategies that leverage defect engineering and surface control to enhance functionality in energy applications, aiming to connect fundamental surface science with practical materials solutions for the transition to sustainable energy. Full article
(This article belongs to the Special Issue Exploring New Materials for the Transition to Sustainable Energy)
Show Figures

Figure 1

20 pages, 5227 KB  
Article
Hydrazine-Induced Sulfur Vacancies Promote Interfacial Charge Redistribution in ZnS/Gel-Derived TiO2 for Enhanced CO2 Activation and Methanation
by Zhongwei Zhang, Shuai Liu, Jiefeng Yan, Yang Meng, Dongming Hu and Fuyan Gao
Gels 2026, 12(1), 39; https://doi.org/10.3390/gels12010039 - 31 Dec 2025
Viewed by 239
Abstract
Defect engineering in semiconductor heterojunctions offers a promising route for enhancing the selectivity of photocatalytic CO2 conversion. In this work, a ZnS/gel-derived TiO2 photocatalyst featuring sulfur vacancies introduced via hydrazine hydrate (N2H4) treatment is developed. XRD, HRTEM, [...] Read more.
Defect engineering in semiconductor heterojunctions offers a promising route for enhancing the selectivity of photocatalytic CO2 conversion. In this work, a ZnS/gel-derived TiO2 photocatalyst featuring sulfur vacancies introduced via hydrazine hydrate (N2H4) treatment is developed. XRD, HRTEM, and XPS analyses confirm the formation of a crystalline heterointerface and a defect-rich ZnS surface, enabling effective interfacial electronic modulation. The optimized ZnS/gel-derived TiO2-0.48 composite achieves CH4 and CO yields of 6.76 and 14.47 μmol·g−1·h−1, respectively, with a CH4 selectivity of 31.8% and an electron selectivity of 65.1%, clearly outperforming pristine TiO2 and the corresponding single-component catalysts under identical conditions. Photoluminescence quenching, enhanced photocurrent response, and reduced charge-transfer resistance indicate significantly improved interfacial charge separation. Mott–Schottky analysis combined with optical bandgap measurements reveals pronounced interfacial charge redistribution in the composite system. Considering the intrinsic band structure of ZnS and gel-derived TiO2, a Z-scheme-compatible interfacial charge migration model is proposed, in which photogenerated electrons with strong reductive power are preferentially retained on ZnS, while holes with strong oxidative capability remain on gel-derived TiO2. This charge migration pathway preserves high redox potentials, facilitating multi-electron CO2 methanation and water oxidation. Density functional theory calculations further demonstrate that sulfur vacancies stabilize *COOH and *CO intermediates and reduce the energy barrier for *COOH formation from +0.51 eV to +0.21 eV, thereby promoting CO2 activation and CH4 formation. These results reveal that sulfur vacancies not only activate CO2 molecules but also regulate interfacial charge migration behavior. This work provides a synergistic strategy combining defect engineering and interfacial electronic modulation to enhance selectivity and mechanistic understanding in CO2-to-CH4 photoconversion. Full article
(This article belongs to the Special Issue Gels for Removal and Adsorption (3rd Edition))
Show Figures

Figure 1

19 pages, 10443 KB  
Article
Improving the Efficiency of Hydrogen Spillover by an Alkali Treatment Strategy for Boosting Formic Acid Dehydrogenation Performance
by Hao Du, Yun Chen, Hanyang Wang, Jishen Zhu, Siyi Ye, Jianwei Song, Gaixia Wei and Wenge Qiu
Catalysts 2026, 16(1), 26; https://doi.org/10.3390/catal16010026 - 29 Dec 2025
Viewed by 289
Abstract
Defect engineering has been demonstrated to be an attractive strategy to improve the catalytic performance of g−C3N4−based catalysts. Herein, three graphite carbon nitrides (labeled “CN”) containing a certain number of cyano groups and nitrogen vacancies are prepared successfully by [...] Read more.
Defect engineering has been demonstrated to be an attractive strategy to improve the catalytic performance of g−C3N4−based catalysts. Herein, three graphite carbon nitrides (labeled “CN”) containing a certain number of cyano groups and nitrogen vacancies are prepared successfully by calcination of the dicyandiamide−based CN in the presence of KOH, and the performances of the corresponding Pd−based catalysts are evaluated by using the formic acid (FA) dehydrogenation as a probe reaction. The characterizations of X−ray diffraction (XRD), scanning transmission electron microscopy (STEM), X−ray photoelectron spectra (XPS), hydrogen temperature−programmed desorption (H2−TPD), and hydrogen spillover experiments indicate that the high catalytic activity of Pd/CNK−0.5 is mainly attributed to its high efficient hydrogen spillover, relatively high dispersity of Pd species, and basicity due to the introduction of a proper amount of cyano groups and nitrogen vacancies. The low initial activity of Pd/CNK−0.75 may mainly be ascribed to its low hydrogen spillover ability and the strongly chemisorbed hydrogen on Pd single atoms or small clusters. Full article
(This article belongs to the Section Catalysis for Sustainable Energy)
Show Figures

Figure 1

12 pages, 1439 KB  
Article
Tensile Strain Effect on Thermoelectric Properties in Epitaxial CaMnO3 Thin Films
by Ebenezer Seesi, Mohammad El Loubani, Habib Rostaghi Chalaki, Avari Suber, Caden Kincaid and Dongkyu Lee
Appl. Sci. 2026, 16(1), 193; https://doi.org/10.3390/app16010193 - 24 Dec 2025
Viewed by 304
Abstract
A deterministic platform for engineering epitaxial strain in CaMnO3-δ (CMO) thermoelectric thin films is demonstrated using pulsed laser deposition, enabling precise control of the interplay between strain state and oxygen vacancy formation. High-quality epitaxial CMO films are grown on four different single [...] Read more.
A deterministic platform for engineering epitaxial strain in CaMnO3-δ (CMO) thermoelectric thin films is demonstrated using pulsed laser deposition, enabling precise control of the interplay between strain state and oxygen vacancy formation. High-quality epitaxial CMO films are grown on four different single crystalline substrates, which impose fully relaxed, partially relaxed, low tensile, and high tensile strain states, respectively. Increasing tensile strain induces a monotonic expansion of the unit cell volume and a systematic rise in oxygen vacancy concentration. Oxygen vacancies increase carrier concentration but decrease mobility due to enhanced scattering. Reducing tensile strain suppresses scattering of electrons by oxygen vacancies and increases both electrical conductivity (σ) and the Seebeck coefficient (S), mitigating the conventional inverse relationship between S and σ. Fully relaxed films exhibit σ approximately four orders of magnitude higher at room temperature than highly tensile strained films. These relaxed films also show the highest power factor (PF = S2·σ), exceeding strained films by up to six orders of magnitude. Strain-controlled oxygen vacancies thus provide a direct route to optimize charge transport and maximize the thermoelectric performance of CMO thin films. Full article
Show Figures

Figure 1

19 pages, 6887 KB  
Article
Influence of Ag/CeO2-Supported Catalysts Derived from Ce-MOFs on Low-Temperature Oxidation of Unregulated Methanol Emissions from Methanol Engines
by Zhongqiang Bao, Zhenguo Li, Hao Chen, Peng Zhang, Kaifeng Wang, Ding Luo, Limin Geng and Zhanming Chen
Catalysts 2025, 15(12), 1165; https://doi.org/10.3390/catal15121165 - 12 Dec 2025
Viewed by 660
Abstract
Methanol fuel engines can effectively reduce emissions of carbon monoxide and particulate matter, but they cause a substantial increase in emissions of unregulated pollutants like methanol and formaldehyde. In this study, Ag/CeO2 catalysts were prepared from metal–organic framework (MOF) and silver acetate [...] Read more.
Methanol fuel engines can effectively reduce emissions of carbon monoxide and particulate matter, but they cause a substantial increase in emissions of unregulated pollutants like methanol and formaldehyde. In this study, Ag/CeO2 catalysts were prepared from metal–organic framework (MOF) and silver acetate precursors using different methods and applied to the deep oxidation of methanol. The influence of preparation conditions on the types of active oxygen, surface chemical state, and oxygen vacancies was revealed by changing the calcination conditions and compared with the Ag/CeO2 catalyst prepared by traditional methods. At the same time, the low-temperature reaction pathway of methanol was explored. The results showed that calcination conditions greatly affected the structure of the catalyst. Among them, Ag/CeO2-A500 obtained by calcining Ag/Ce BTC in air at 500 °C had the best catalytic performance for methanol oxidation. The surface chemical state, overall oxygen vacancies, and the proportion of metallic silver may be key factors for its superior catalytic performance. Full article
(This article belongs to the Section Environmental Catalysis)
Show Figures

Graphical abstract

17 pages, 4281 KB  
Article
Development of Highly Active and Stable SmMnO3 Perovskite Catalysts for Catalytic Combustion
by Dinghua Ruan, Shipeng Wu, Chenyi Yuan, Zhen Huang, Wei Shen and Hualong Xu
Catalysts 2025, 15(12), 1149; https://doi.org/10.3390/catal15121149 - 5 Dec 2025
Viewed by 596
Abstract
The development of highly efficient and stable non-noble metal catalysts for volatile organic compound (VOCs) abatement remains a pressing challenge. Mn-based perovskites exhibit superior thermal stability as redox catalysts but suffer from limited activity in light alkane combustion. This study systematically investigates the [...] Read more.
The development of highly efficient and stable non-noble metal catalysts for volatile organic compound (VOCs) abatement remains a pressing challenge. Mn-based perovskites exhibit superior thermal stability as redox catalysts but suffer from limited activity in light alkane combustion. This study systematically investigates the performance of SmMnO3 (SMO) perovskite catalysts for propane oxidation through selective etching of Sm species. By precisely controlling the etching process, the removal of surface Sm exposes more active sites and significantly increases the specific surface area from 22.05 m2·g−1 for pristine SMO to 66.15 m2·g−1. SEM and N2 adsorption–desorption analysis revealed that prolonged etching induces surface roughening and pore channel expansion. XPS and XANES measurements confirmed that an increased Mn4+/Mn3+ ratio enhances reactant adsorption and accessibility to active sites. The etched catalysts exhibited markedly improved activity for propane oxidation, achieving a ~50 °C reduction in light-off temperature compared to the raw SMO. This performance enhancement is attributed to the synergistic effects of enhanced oxygen mobility, elevated Mn4+ content, and abundant oxygen vacancies. Further characterization via Raman spectroscopy and H2-TPR revealed weakened Jahn–Teller distortion and lower reduction temperatures, reflecting optimized Mn–O interactions and superior redox properties. Among the samples, SMO-20 demonstrated exceptional stability. Moreover, the SMO-20/cordierite monolithic catalyst maintained outstanding catalytic performance over 1000 h of operation. This work offers a facile and effective approach to engineer perovskite catalysts and provides new insights into structure–activity relationships in VOC oxidation. Full article
(This article belongs to the Special Issue Advanced Catalysts for Energy Conversion and Environmental Protection)
Show Figures

Graphical abstract

15 pages, 2483 KB  
Article
Scalable and Green Engineering of MoOx with Abundant Oxygen Vacancies for Efficient and Recyclable Aerobic Oxidative Desulfurization of Fuels
by Chao Wang, Mindan Ma, Ying Zhang, Yijin Zhang, Jiayi Chen, Junjian Li, Yao Lu, Xiaoyu Yao and Ming Zhang
Catalysts 2025, 15(12), 1146; https://doi.org/10.3390/catal15121146 - 5 Dec 2025
Viewed by 547
Abstract
Efficient oxidation of refractory sulfides, such as dibenzothiophene (DBT) and its derivatives, provides a promising strategy to produce fuel oils with ultra-low sulfur content, or even completely sulfur-free. In this study, a series of non-stoichiometric molybdenum oxides (MoOx) were synthesized via [...] Read more.
Efficient oxidation of refractory sulfides, such as dibenzothiophene (DBT) and its derivatives, provides a promising strategy to produce fuel oils with ultra-low sulfur content, or even completely sulfur-free. In this study, a series of non-stoichiometric molybdenum oxides (MoOx) were synthesized via a facile procedure and employed as efficient catalysts. These catalysts can effectively oxidize DBT and its derivatives into insoluble sulfones, which subsequently precipitate from the oil phase, achieving efficient sulfur removal. In this system, molecular oxygen from air can be activated by the MoOx catalysts with oxygen vacancies into superoxide radicals, which act as active oxygen species to efficiently oxidize refractory sulfides. Under atmospheric pressure at 120 °C, complete sulfur removal (100%) was achieved for both DBT and its derivatives, representing significantly milder conditions compared to conventional hydrodesulfurization. The aerobic oxidation system could be reused for up to 12 consecutive cycles without any significant decline in sulfur removal. And complete desulfurization (100%) was regained after a simple washing of the separated solid phase. Then, a possible reaction procedure was subsequently proposed to describe the desulfurization route. The remarkable catalytic performance, together with the facile synthesis strategy, indicates the potential of this approach for constructing other transition metal oxides used in various advanced aerobic oxidation reactions. Full article
(This article belongs to the Section Environmental Catalysis)
Show Figures

Figure 1

20 pages, 3615 KB  
Article
OVI-Guided Tuning of Oxygen Vacancies in Fly Ash Denitrification Catalysts
by Zhanfeng Qi, Shuyang Wang, Xiuli Guo, Guancheng Li and Jingliang Li
Materials 2025, 18(22), 5229; https://doi.org/10.3390/ma18225229 - 19 Nov 2025
Viewed by 417
Abstract
Denitrification catalysts are essential for reducing NOx emissions from combustion and protecting air quality. This study introduces and validates an Oxygen Vacancy Index (OVI) that quantifies redox-active vacancies and guides defect engineering in fly ash-derived catalysts. We apply a simple [...] Read more.
Denitrification catalysts are essential for reducing NOx emissions from combustion and protecting air quality. This study introduces and validates an Oxygen Vacancy Index (OVI) that quantifies redox-active vacancies and guides defect engineering in fly ash-derived catalysts. We apply a simple cascade strategy to tune defect types; procedural details are reported in Methods rather than in the abstract. The optimized catalyst shows an over-twofold increase in OVI compared with raw fly ash. Surface-related changes and point/line defects contribute comparably (≈one-third each) to the explained variance. OVI positively correlates with NO conversion, and the optimized material delivers high NO conversion at 400 °C. These results establish a quantitative process–structure–performance link. Looking ahead, the OVI framework can guide defect design in other waste-derived catalysts and support scale-up to monolith coatings and pilot-scale units. This OVI-guided route provides a simple, low-cost path to robust fly ash catalysts for industrial NOx control. Full article
(This article belongs to the Section Construction and Building Materials)
Show Figures

Graphical abstract

17 pages, 3371 KB  
Article
Oxygen-Vacancy-Rich V2O5@NC Composite with Enhanced Zinc-Storage Performance for Aqueous Zinc-Ion Batteries
by Taoyun Zhou, Pingyuan Liang, Shilin Li, Yun Cheng and Xinyu Li
Materials 2025, 18(22), 5216; https://doi.org/10.3390/ma18225216 - 18 Nov 2025
Viewed by 610
Abstract
The practical application of vanadium-based cathode materials in aqueous zinc-ion batteries (AZIBs) is severely hindered by vanadium dissolution, low electronic conductivity, and sluggish reaction kinetics in aqueous electrolytes. In this work, a three-dimensional confined V2O5@ nitrogen-doped carbon (V2 [...] Read more.
The practical application of vanadium-based cathode materials in aqueous zinc-ion batteries (AZIBs) is severely hindered by vanadium dissolution, low electronic conductivity, and sluggish reaction kinetics in aqueous electrolytes. In this work, a three-dimensional confined V2O5@ nitrogen-doped carbon (V2O5@NC) composite was rationally designed and constructed through a dual-regulation strategy combining oxygen-vacancy engineering and conductive network enhancement. In this architecture, the nitrogen-doped carbon framework provides a highly conductive network and robust structural support, while in situ carbonization induces the generation of oxygen vacancies within V2O5. These oxygen vacancies cause lattice distortion and expand the interlayer spacing, thereby accelerating Zn2+ diffusion and improving reaction kinetics. Benefiting from this synergistic effect, the V2O5@NC electrode exhibits an excellent specific capacity of 437 mAh g−1 at 0.1 A g−1 and maintains a remarkable 89.3% capacity retention after 2000 cycles at 3 A g−1, demonstrating outstanding rate performance and cycling stability. This study provides new insights and an effective design strategy for developing high-performance cathode materials for next-generation aqueous zinc-ion batteries. Full article
Show Figures

Figure 1

14 pages, 91576 KB  
Article
Engineering the Morphology and Properties of MoS2 Films Through Gaseous Precursor-Induced Vacancy Defect Control
by James Abraham, Nigel D. Shepherd, Chris Littler, A. J. Syllaios and Usha Philipose
Nanomaterials 2025, 15(22), 1723; https://doi.org/10.3390/nano15221723 - 14 Nov 2025
Viewed by 721
Abstract
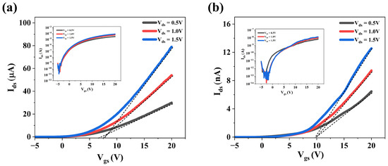
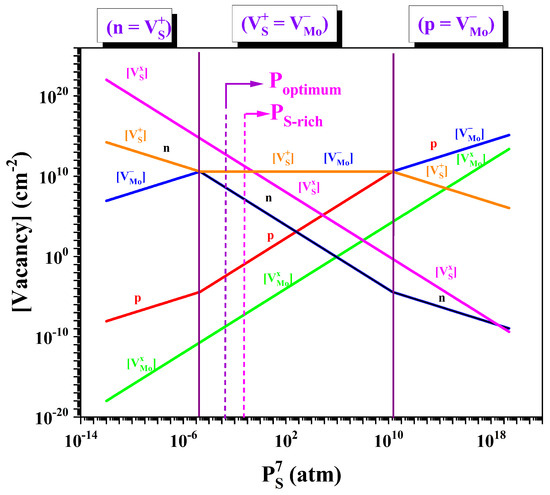
The morphology, structure, and composition of CVD-grown molybdenum disulfide (MoS2) films were investigated under varying precursor vapor pressures. Increasing sulfur vapor pressure transformed the film morphology from well-defined triangular domains to structures dominated by sulfur-terminated zigzag edges. These morphological changes [...] Read more.
The morphology, structure, and composition of CVD-grown molybdenum disulfide (MoS2) films were investigated under varying precursor vapor pressures. Increasing sulfur vapor pressure transformed the film morphology from well-defined triangular domains to structures dominated by sulfur-terminated zigzag edges. These morphological changes were accompanied by notable variations in both structural and electrical properties. Non-uniform precursor vapor distribution promoted the formation of intrinsic point defects. To elucidate this behavior, a thermodynamic model was developed to link growth parameters to native defect formation. The analysis considered molybdenum and sulfur vacancies in both neutral and charged states, with equilibrium concentrations determined from the corresponding defect formation reactions. Sulfur vapor pressure emerged as the dominant factor controlling defect concentrations. The model validated experimental observations, with films grown under optimum and sulfur-rich conditions, yielding a carrier concentration of 9.6×1011 cm2 and 7.5×1011 cm2, respectively. The major difference in the field-effect transistor (FET) performance of devices fabricated under these two conditions was the degradation of the field-effect mobility and the current switching ratio. The degradation observed is attributed to increased carrier scattering at charged vacancy defect sites. Full article
(This article belongs to the Section Synthesis, Interfaces and Nanostructures)
Show Figures

Figure 1

Back to TopTop