Sign in to use this feature.

Years

Between: -

Subjects

remove_circle_outline
remove_circle_outline
remove_circle_outline
remove_circle_outline
remove_circle_outline
remove_circle_outline
remove_circle_outline
remove_circle_outline
remove_circle_outline

Journals

Article Types

Countries / Regions

Search Results (38)

Search Parameters:
Keywords = user portrait

Order results
Result details
Results per page
Select all
Export citation of selected articles as:
40 pages, 6998 KB  
Article
Information-Cognitive Concept of Predicting Method for HCI Objects’ Perception Subjectivization Results Based on Impact Factors Analysis with Usage of Multilayer Perceptron ANN
by Andrii Pukach, Vasyl Teslyuk, Nataliia Lysa, Liubomyr Sikora and Bohdana Fedyna
Appl. Sci. 2025, 15(17), 9763; https://doi.org/10.3390/app15179763 - 5 Sep 2025
Cited by 1 | Viewed by 921
Abstract
An information-cognitive concept of a predicting method for obtaining specialized human–computer interaction (HCI) objects’ perception subjectivization results, based on impact factors analysis, with the use of multilayer perceptron (MP) artificial neural networks (ANNs), has been developed. The main purpose of the developed method [...] Read more.
An information-cognitive concept of a predicting method for obtaining specialized human–computer interaction (HCI) objects’ perception subjectivization results, based on impact factors analysis, with the use of multilayer perceptron (MP) artificial neural networks (ANNs), has been developed. The main purpose of the developed method is to increase the level of intellectualization and automation of research into relevant processes of HCI objects’ perception subjectivization, especially in the context of software products’ comprehensive support processes. The method is based on the developed conceptual models and the developed mathematical model, as well as a specialized developed algorithm. Results prediction is carried out on the basis of a preliminary in-depth analysis of a set of unique direct chains (UDCs) of neurons of the relevant encapsulated MP ANN, built on the basis of researching the results of isolated influences of each of the previously declared impact factors and further comparing the present direct chain (of each separate investigated modeling case) with UDCs from the aforementioned sets. As an example of practical approbation of the developed method, the appropriate practically applied problem of identifying a member of the support team, whose multifactor portrait is as close as possible to the corresponding multifactor portrait of a given client’s user, has been resolved. Full article
Show Figures

Figure 1

26 pages, 2931 KB  
Article
CB-MTE: Social Bot Detection via Multi-Source Heterogeneous Feature Fusion
by Meng Cheng, Yuzhi Xiao, Tao Huang, Chao Lei and Chuang Zhang
Sensors 2025, 25(11), 3549; https://doi.org/10.3390/s25113549 - 4 Jun 2025
Cited by 1 | Viewed by 1602
Abstract
Social bots increasingly mimic real users and collaborate in large-scale influence campaigns, distorting public perception and making their detection both critical and challenging. Traditional bot detection methods, constrained by single-source features, often fail to capture the complete behavioral and contextual characteristics of social [...] Read more.
Social bots increasingly mimic real users and collaborate in large-scale influence campaigns, distorting public perception and making their detection both critical and challenging. Traditional bot detection methods, constrained by single-source features, often fail to capture the complete behavioral and contextual characteristics of social bots, especially their dynamic behavioral evolution and group coordination tactics, resulting in feature incompleteness and reduced detection performance. To address this challenge, we propose CB-MTE, a social bot detection framework based on multi-source heterogeneous feature fusion. CB-MTE adopts a hierarchical architecture: user metadata is used to construct behavioral portraits, deep semantic representations are extracted from textual content via DistilBERT, and community-aware graph embeddings are learned through a combination of random walk and Skip-gram modeling. To mitigate feature redundancy and preserve structural consistency, manifold learning is applied for nonlinear dimensionality reduction, ensuring both local and global topology are maintained. Finally, a CatBoost-based collaborative reasoning mechanism enhances model robustness through ordered target encoding and symmetric tree structures. Experiments on the TwiBot-22 benchmark dataset demonstrate that CB-MTE significantly outperforms mainstream detection models in recognizing dynamic behavioral traits and detecting collaborative bot activities. These results confirm the framework’s capability to capture the complete behavioral and contextual characteristics of social bots through multi-source feature integration. Full article
(This article belongs to the Section Sensors and Robotics)
Show Figures

Figure 1

18 pages, 8881 KB  
Article
Implementation of Eye-Tracking Technology in the Domestic Tourism Marketing Complex
by Olena Sushchenko, Kateryna Kasenkova, Nataliia Pohuda and Mariana Petrova
Tour. Hosp. 2025, 6(2), 94; https://doi.org/10.3390/tourhosp6020094 - 22 May 2025
Cited by 2 | Viewed by 1896
Abstract
This study explores the potential of using eye-tracking technology as a marketing tool to enhance domestic tourism. By examining the visual preferences of users, this research aims to improve the informational resources and visual components of advertising campaigns for tourism destinations. An experiment [...] Read more.
This study explores the potential of using eye-tracking technology as a marketing tool to enhance domestic tourism. By examining the visual preferences of users, this research aims to improve the informational resources and visual components of advertising campaigns for tourism destinations. An experiment was conducted to determine which of three image categories—architecture (Ia), nature (In), and people (Ip)—captures more user attention. Participants’ eye movements were tracked to collect data on fixation time, first glance, and the order of image exploration. The findings indicate that images of people (Ip) attract more attention than images of architecture or nature, irrespective of pose, angle, or clothing. Within the Ip category, dynamic images of people in authentic clothing (Ip3–Ip5) held viewers’ attention longer, averaging 3.3 s compared to 1.3 s for static portrait photos (Ip6–Ip8). This study concludes that eye-tracking technology can effectively identify visual elements that interest potential tourists, facilitating the creation of compelling advertising content. This approach can support the development of a cohesive and engaging visual identity for tourism destinations, thereby enhancing marketing strategies and promoting sustainable tourism. Full article
(This article belongs to the Special Issue Smart Destinations: The State of the Art)
Show Figures

Figure 1

19 pages, 1061 KB  
Article
The Co-Creation of a Psychosocial Support Website for Advanced Cancer Patients Obtaining a Long-Term Response to Immunotherapy or Targeted Therapy
by Laura C. Zwanenburg, Marije L. van der Lee, José J. Koldenhof, Janneke van der Stap, Karijn P. M. Suijkerbuijk and Melanie P. J. Schellekens
Curr. Oncol. 2025, 32(5), 284; https://doi.org/10.3390/curroncol32050284 - 19 May 2025
Viewed by 1083
Abstract
Due to new treatment options, the number of patients living longer with advanced cancer is rapidly growing. While this is promising, many long-term responders (LTRs) face difficulties adapting to life with cancer due to persistent uncertainty, feeling misunderstood, and insufficient tools to navigate [...] Read more.
Due to new treatment options, the number of patients living longer with advanced cancer is rapidly growing. While this is promising, many long-term responders (LTRs) face difficulties adapting to life with cancer due to persistent uncertainty, feeling misunderstood, and insufficient tools to navigate their “new normal”. Using the Person-Based Approach, this study developed and evaluated a website in co-creation with LTRs, healthcare professionals, and service providers, offering evidence-based information and tools for LTRs. We identified the key issues (i.e., living with uncertainty, relationships with close others, mourning losses, and adapting to life with cancer) and established the website’s main goals: acknowledging and normalizing emotions, difficulties, and challenges LTRs face and providing tailored information and practical tools. The prototype was improved through repeated feedback from a user panel (n = 9). In the evaluation phase (n = 43), 68% of participants rated the website’s usability as good or excellent. Interview data indicated that participants experienced recognition through portrait videos and quotes, valued the psycho-education via written text and (animated) videos, and made use of the practical tools (e.g. conversation aid), confirming that the main goals were achieved. Approximately 90% of participants indicated they would recommend the website to other LTRs. The Dutch website—Doorlevenmetkanker (i.e., continuing life with cancer) was officially launched in March 2025 in the Netherlands. Full article
(This article belongs to the Section Psychosocial Oncology)
Show Figures

Figure 1

17 pages, 7710 KB  
Article
A Hair Drawing Evaluation Algorithm for Exactness Assessment Method in Portrait Drawing Learning Assistant System
by Yue Zhang, Nobuo Funabiki, Erita Cicilia Febrianti, Amang Sudarsono and Chenchien Hsu
Algorithms 2025, 18(3), 143; https://doi.org/10.3390/a18030143 - 4 Mar 2025
Viewed by 1553
Abstract
Nowadays, portrait drawing has become increasingly popular as a means of developing artistic skills and nurturing emotional expression. However, it is challenging for novices to start learning it, as they usually lack a solid grasp of proportions and structural foundations of the five [...] Read more.
Nowadays, portrait drawing has become increasingly popular as a means of developing artistic skills and nurturing emotional expression. However, it is challenging for novices to start learning it, as they usually lack a solid grasp of proportions and structural foundations of the five senses. To address this problem, we have studied Portrait Drawing Learning Assistant System (PDLAS) for guiding novices by providing auxiliary lines of facial features, generated by utilizing OpenPose and OpenCV libraries. For PDLAS, we have also presented the exactness assessment method to evaluate drawing accuracy using the Normalized Cross-Correlation (NCC) algorithm. It calculates the similarity score between the drawing result and the initial portrait photo. Unfortunately, the current method does not assess the hair drawing, although it occupies a large part of a portrait and often determines its quality. In this paper, we present a hair drawing evaluation algorithm for the exactness assessment method to offer comprehensive feedback to users in PDLAS. To emphasize hair lines, this algorithm extracts the texture of the hair region by computing the eigenvalues and eigenvectors of the hair image. For evaluations, we applied the proposal to drawing results by seven students from Okayama University, Japan and confirmed the validity. In addition, we observed the NCC score improvement in PDLAS by modifying the face parts with low similarity scores from the exactness assessment method. Full article
(This article belongs to the Section Evolutionary Algorithms and Machine Learning)
Show Figures

Figure 1

29 pages, 4009 KB  
Article
An Inspiration Recommendation System for Automotive Styling Design Based on User Behavior Data and Group Preferences
by Wanxin Cai, Mingqing Yang and Li Lin
Systems 2024, 12(11), 491; https://doi.org/10.3390/systems12110491 - 14 Nov 2024
Cited by 4 | Viewed by 3012
Abstract
Group preferences are crucial for Inspirational Solutions of Automotive Design (ISAD). However, sparse individual purchase behavior hinders the identification of group preferences. Therefore, a novel inspiration recommendation (IR) system based on multi-level mining of user behavior data is proposed. Firstly, the K-means algorithm [...] Read more.
Group preferences are crucial for Inspirational Solutions of Automotive Design (ISAD). However, sparse individual purchase behavior hinders the identification of group preferences. Therefore, a novel inspiration recommendation (IR) system based on multi-level mining of user behavior data is proposed. Firstly, the K-means algorithm is employed to cluster users based on a variety of features. The fixed association rule is then applied to filter and identify relevant subsets, forming the foundational basis for constructing a user portrait. The Nonlinear Bayesian Personalized Ranking (NBPR) is constructed to explore common preferences using explicit feedback. Finally, the item preference matrix is enriched with implicit feedback to compile a comprehensive recommendation list that caters to group preferences. Using a multi-user joint evaluation approach, we compare the performance of IR with baseline models across multiple metrics. This comparison demonstrates the robust reliability of the IR system and its ability to prioritize ISAD with preference-aligned groups. Our research overcomes data sparsity in the automotive recommendation system, providing a new method for embedding human elements in decision support systems. Full article
Show Figures

Figure 1

21 pages, 3026 KB  
Article
Relationship between Residential Patterns and Socioeconomic Statuses Based on Multi-Source Spatial Data: A Case Study of Nanjing, China
by Qinshi Huang, Jiao He and Weixuan Song
Land 2024, 13(10), 1634; https://doi.org/10.3390/land13101634 - 8 Oct 2024
Cited by 3 | Viewed by 2926
Abstract
The relationship between residential patterns and socioeconomic statuses highlights the complex interactions between the economic regime, welfare system, and neighborhood effects, which are crucial in urban inequality studies. With the diversification of the housing demand and supply system, the traditional analysis conducted separately [...] Read more.
The relationship between residential patterns and socioeconomic statuses highlights the complex interactions between the economic regime, welfare system, and neighborhood effects, which are crucial in urban inequality studies. With the diversification of the housing demand and supply system, the traditional analysis conducted separately from the ethnic or spatial segregation perspective fails to capture the rising inequalities and changing socio-spatial context. Taking Nanjing as an example, based on a multi-source database including the housing price, residential environmental quality, surrounding support facilities, and mobile phone user portrait data, this paper proposed a modified method for discovering the coupling relationship between residential patterns and socioeconomic statuses. It is found that socioeconomic status contributes to residential spatial aggregation and that the relationship between social and spatial dimensions of residential differentiation is tightly coupled and related. The lower socioeconomic strata were displaced to the periphery and the older urban core, while affluent inhabitants were more likely to settle voluntarily in segregated enclaves to isolate themselves from the general population through more flexible housing options. The heterogeneity of the urban socioeconomic dimension is primarily affected by consumption and occupational status, while housing prices mainly determine the divergence of spatial distribution. Full article
(This article belongs to the Section Urban Contexts and Urban-Rural Interactions)
Show Figures

Figure 1

18 pages, 4773 KB  
Article
An Energy Portrait-Based Identification Method of Building Users for Demand Response
by Ying Zhang, Zaixun Ling, Manjia Liu, Wenjie Gang and Lihong Su
Buildings 2024, 14(8), 2534; https://doi.org/10.3390/buildings14082534 - 16 Aug 2024
Cited by 2 | Viewed by 1481
Abstract
Demand response is an effective solution for balancing supply and demand in modern energy supply systems. For utility or load aggregators, it is important to accurately target potential consumers to participate in demand response programs to recruit a massive number of users. This [...] Read more.
Demand response is an effective solution for balancing supply and demand in modern energy supply systems. For utility or load aggregators, it is important to accurately target potential consumers to participate in demand response programs to recruit a massive number of users. This is especially important for the invitation-based demand response mode, which is currently often used in China. In this paper, a portrait-based method is proposed to effectively identify potential consumers for different demand response tasks based on historical loads. Eight indicators are proposed to quantify the energy consumption characteristics from different aspects, and an evaluation method is introduced. Then, a selection method based on the K-means clustering algorithm and support vector machine classifiers is proposed. The method is tested under two scenarios, including load shifting and monthly peak shaving. The results show that the proposed method can identify potential users effectively, and the accuracy of the trained classification model exceeds 99.9%. The proposed portrait-based identification method provides an effective way to describe users’ energy consumption characteristics and select potential users effectively, which is very useful for helping the utility or virtual plant with load management. Full article
Show Figures

Figure 1

21 pages, 86652 KB  
Article
Toward Unbiased High-Quality Portraits through Latent-Space Evaluation
by Doaa Almhaithawi, Alessandro Bellini and Tania Cerquitelli
J. Imaging 2024, 10(7), 157; https://doi.org/10.3390/jimaging10070157 - 28 Jun 2024
Viewed by 2617
Abstract
Images, texts, voices, and signals can be synthesized by latent spaces in a multidimensional vector, which can be explored without the hurdles of noise or other interfering factors. In this paper, we present a practical use case that demonstrates the power of latent [...] Read more.
Images, texts, voices, and signals can be synthesized by latent spaces in a multidimensional vector, which can be explored without the hurdles of noise or other interfering factors. In this paper, we present a practical use case that demonstrates the power of latent space in exploring complex realities such as image space. We focus on DaVinciFace, an AI-based system that explores the StyleGAN2 space to create a high-quality portrait for anyone in the style of the Renaissance genius Leonardo da Vinci. The user enters one of their portraits and receives the corresponding Da Vinci-style portrait as an output. Since most of Da Vinci’s artworks depict young and beautiful women (e.g., “La Belle Ferroniere”, “Beatrice de’ Benci”), we investigate the ability of DaVinciFace to account for other social categorizations, including gender, race, and age. The experimental results evaluate the effectiveness of our methodology on 1158 portraits acting on the vector representations of the latent space to produce high-quality portraits that retain the facial features of the subject’s social categories, and conclude that sparser vectors have a greater effect on these features. To objectively evaluate and quantify our results, we solicited human feedback via a crowd-sourcing campaign. Analysis of the human feedback showed a high tolerance for the loss of important identity features in the resulting portraits when the Da Vinci style is more pronounced, with some exceptions, including Africanized individuals. Full article
(This article belongs to the Topic Applications in Image Analysis and Pattern Recognition)
Show Figures

Figure 1

21 pages, 4869 KB  
Article
Assessment of User Preferences for In-Car Display Combinations during Non-Driving Tasks: An Experimental Study Using a Virtual Reality Head-Mounted Display Prototype
by Liang Li, Chacon Quintero Juan Carlos, Zijiang Yang and Kenta Ono
World Electr. Veh. J. 2024, 15(6), 264; https://doi.org/10.3390/wevj15060264 - 17 Jun 2024
Cited by 2 | Viewed by 3516
Abstract
The goal of vehicular automation is to enhance driver comfort by reducing the necessity for active engagement in driving. This allows for the performance of non-driving-related tasks (NDRTs), with attention shifted away from the driving process. Despite this, there exists a discrepancy between [...] Read more.
The goal of vehicular automation is to enhance driver comfort by reducing the necessity for active engagement in driving. This allows for the performance of non-driving-related tasks (NDRTs), with attention shifted away from the driving process. Despite this, there exists a discrepancy between current in-vehicle display configurations and the escalating demands of NDRTs. This study investigates drivers’ preferences for in-vehicle display configurations within highly automated driving contexts. Utilizing virtual reality head-mounted displays (VR-HMDs) to simulate autonomous driving scenarios, this research employs Unity 3D Shape for developing sophisticated head movement tracking software. This setup facilitates the creation of virtual driving environments and the gathering of data on visual attention distribution. Employing an orthogonal experiment, this experiment methodically analyses and categorizes the primary components of in-vehicle display configurations to determine their correlation with visual immersion metrics. Additionally, this study incorporates subjective questionnaires to ascertain the most immersive display configurations and to identify key factors impacting user experience. Statistical analysis reveals that a combination of Portrait displays with Windshield Head-Up Displays (W-HUDs) is favored under highly automated driving conditions, providing increased immersion during NDRTs. This finding underscores the importance of tailoring in-vehicle display configurations to individual needs to avoid distractions and enhance user engagement. Full article
Show Figures

Figure 1

19 pages, 2235 KB  
Article
Consumer Default Risk Portrait: An Intelligent Management Framework of Online Consumer Credit Default Risk
by Miao Zhu, Ben-Chang Shia, Meng Su and Jialin Liu
Mathematics 2024, 12(10), 1582; https://doi.org/10.3390/math12101582 - 18 May 2024
Cited by 3 | Viewed by 2799
Abstract
Online consumer credit services play a vital role in the contemporary consumer market. To foster their sustainable development, it is essential to establish and strengthen the relevant risk management mechanism. This study proposes an intelligent management framework called the consumer default risk portrait [...] Read more.
Online consumer credit services play a vital role in the contemporary consumer market. To foster their sustainable development, it is essential to establish and strengthen the relevant risk management mechanism. This study proposes an intelligent management framework called the consumer default risk portrait (CDRP) to mitigate the default risks associated with online consumer loans. The CDRP framework combines traditional credit information and Internet platform data to depict the portrait of consumer default risks. It consists of four modules: addressing data imbalances, establishing relationships between user characteristics and the default risk, analyzing the influence of different variables on default, and ultimately presenting personalized consumer profiles. Empirical findings reveal that “Repayment Periods”, “Loan Amount”, and “Debt to Income Type” emerge as the three variables with the most significant impact on default. “Re-payment Periods” and “Debt to Income Type” demonstrate a positive correlation with default probability, while a lower “Loan Amount” corresponds to a higher likelihood of default. Additionally, our verification highlights that the significance of variables varies across different samples, thereby presenting a personalized portrait from a single sample. In conclusion, the proposed framework provides valuable suggestions and insights for financial institutions and Internet platform managers to improve the market environment of online consumer credit services. Full article
Show Figures

Figure 1

18 pages, 4615 KB  
Article
Fake User Detection Based on Multi-Model Joint Representation
by Jun Li, Wentao Jiang, Jianyi Zhang, Yanhua Shao and Wei Zhu
Information 2024, 15(5), 266; https://doi.org/10.3390/info15050266 - 9 May 2024
Cited by 4 | Viewed by 2976
Abstract
The existing deep learning-based detection of fake information focuses on the transient detection of news itself. Compared to user category profile mining and detection, transient detection is prone to higher misjudgment rates due to the limitations of insufficient temporal information, posing new challenges [...] Read more.
The existing deep learning-based detection of fake information focuses on the transient detection of news itself. Compared to user category profile mining and detection, transient detection is prone to higher misjudgment rates due to the limitations of insufficient temporal information, posing new challenges to social public opinion monitoring tasks such as fake user detection. This paper proposes a multimodal aggregation portrait model (MAPM) based on multi-model joint representation for social media platforms. It constructs a deep learning-based multimodal fake user detection framework by analyzing user behavior datasets within a time retrospective window. It integrates a pre-trained Domain Large Model to represent user behavior data across multiple modalities, thereby constructing a high-generalization implicit behavior feature spectrum for users. In response to the tendency of existing fake user behavior mining to neglect time-series features, this study introduces an improved network called Sequence Interval Detection Net (SIDN) based on Sequence to Sequence (seq2seq) to characterize time interval sequence behaviors, achieving strong expressive capabilities for detecting fake behaviors within the time window. Ultimately, the amalgamation of latent behavioral features and explicit characteristics serves as the input for spectral clustering in detecting fraudulent users. The experimental results on Weibo real dataset demonstrate that the proposed model outperforms the detection utilizing explicit user features, with an improvement of 27.0% in detection accuracy. Full article
(This article belongs to the Special Issue 2nd Edition of Information Retrieval and Social Media Mining)
Show Figures

Figure 1

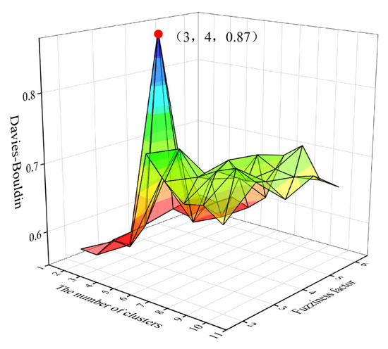
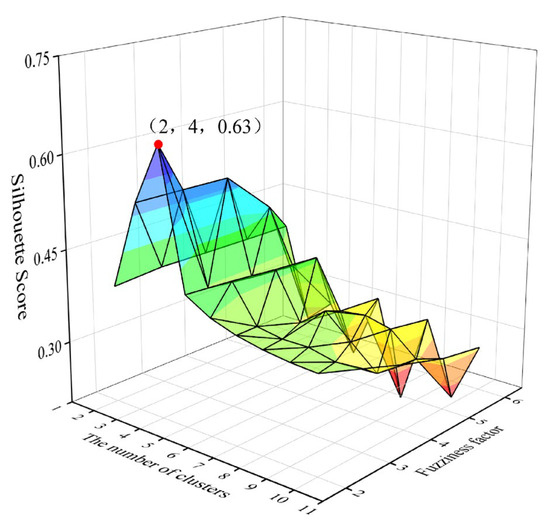
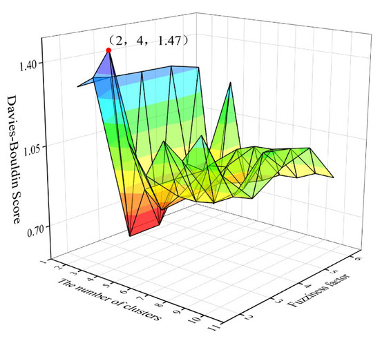
26 pages, 6615 KB  
Article
Charging Behavior Portrait of Electric Vehicle Users Based on Fuzzy C-Means Clustering Algorithm
by Aixin Yang, Guiqing Zhang, Chenlu Tian, Wei Peng and Yechun Liu
Energies 2024, 17(7), 1651; https://doi.org/10.3390/en17071651 - 29 Mar 2024
Cited by 12 | Viewed by 2039
Abstract
The rapid increase in electric vehicles (EVs) has led to a continuous expansion of electric vehicle (EV) charging stations, imposing significant load pressures on the power grid. Implementing orderly charging scheduling for EVs can mitigate the impact of large-scale charging on the power [...] Read more.
The rapid increase in electric vehicles (EVs) has led to a continuous expansion of electric vehicle (EV) charging stations, imposing significant load pressures on the power grid. Implementing orderly charging scheduling for EVs can mitigate the impact of large-scale charging on the power grid. However, the charging behavior of EVs significantly impacts the efficiency of orderly charging plans. By integrating user portrait technology and conducting research on optimized scheduling for EV charging, EV users can be accurately classified to meet the diverse needs of various user groups. This study establishes a user portrait model suitable for park areas, providing user group classification based on the user response potential for scheduling optimization. First, the FCM and feature aggregation methods are utilized to classify the quantities of features of EV users, obtaining user portrait classes. Second, based on these classes, a user portrait inventory for each EV is derived. Third, based on the priority of user response potential, this study presents a method for calculating the feature data of different user groups. The individual data information and priorities from the user portrait model are inputted into the EV-optimized scheduling model. The optimization focuses on the user charging cost and load fluctuation, with the non-dominated sorting genetic algorithm II utilized to obtain the solutions. The results demonstrate that the proposed strategy effectively addresses the matching issue between the EV user response potential and optimal scheduling modes without compromising the normal use of EVs by users. This classification approach facilitates the easier acceptance of scheduling tasks by participating users, leading to optimized outcomes that better meet practical requirements. Full article
(This article belongs to the Section E: Electric Vehicles)
Show Figures

Figure 1

19 pages, 24713 KB  
Article
Color Face Image Generation with Improved Generative Adversarial Networks
by Yeong-Hwa Chang, Pei-Hua Chung, Yu-Hsiang Chai and Hung-Wei Lin
Electronics 2024, 13(7), 1205; https://doi.org/10.3390/electronics13071205 - 25 Mar 2024
Cited by 5 | Viewed by 3817
Abstract
This paper focuses on the development of an improved Generative Adversarial Network (GAN) specifically designed for generating color portraits from sketches. The construction of the system involves using a GPU (Graphics Processing Unit) computing host as the primary unit for model training. The [...] Read more.
This paper focuses on the development of an improved Generative Adversarial Network (GAN) specifically designed for generating color portraits from sketches. The construction of the system involves using a GPU (Graphics Processing Unit) computing host as the primary unit for model training. The tasks that require high-performance calculations are handed over to the GPU host, while the user host only needs to perform simple image processing and use the model trained by the GPU host to generate images. This arrangement reduces the computer specification requirements for the user. This paper will conduct a comparative analysis of various types of generative networks which will serve as a reference point for the development of the proposed Generative Adversarial Network. The application part of the paper focuses on the practical implementation and utilization of the developed Generative Adversarial Network for the generation of multi-skin tone portraits. By constructing a face dataset specifically designed to incorporate information about ethnicity and skin color, this approach can overcome a limitation associated with traditional generation networks, which typically generate only a single skin color. Full article
(This article belongs to the Special Issue Artificial Intelligence in Image Processing and Computer Vision)
Show Figures

Figure 1

17 pages, 2156 KB  
Article
Novel Method of Edge-Removing Walk for Graph Representation in User Identity Linkage
by Xiaqing Xie, Wenyu Zang, Yanlin Hu, Jiangyu Ji and Zhihao Xiong
Electronics 2024, 13(4), 715; https://doi.org/10.3390/electronics13040715 - 9 Feb 2024
Cited by 1 | Viewed by 1743
Abstract
Random-walk-based graph representation methods have been widely applied in User Identity Linkage (UIL) tasks, which links overlapping users between two different social networks. It can help us to obtain more comprehensive portraits of criminals, which is helpful for improving cyberspace governance. Yet, random [...] Read more.
Random-walk-based graph representation methods have been widely applied in User Identity Linkage (UIL) tasks, which links overlapping users between two different social networks. It can help us to obtain more comprehensive portraits of criminals, which is helpful for improving cyberspace governance. Yet, random walk generates a large number of repeating sequences, causing unnecessary computation and storage overhead. This paper proposes a novel method called Edge-Removing Walk (ERW) that can replace random walk in random-walk-based models. It removes edges once they are walked in a walk round to capture the lhop features without repetition, and it walks the whole graph for several rounds to capture the different kinds of paths starting from a specific node. Experiments proved that ERW can exponentially improve the efficiency for random-walk-based UIL models, even maintaining better performance. We finally generalize ERW into a general User Identity Linkage framework called ERW-UIL and verify its performance. Full article
(This article belongs to the Special Issue Novel Methods Applied to Security and Privacy Problems)
Show Figures

Figure 1

Back to TopTop