Sign in to use this feature.

Years

Between: -

Subjects

remove_circle_outline
remove_circle_outline
remove_circle_outline
remove_circle_outline
remove_circle_outline
remove_circle_outline
remove_circle_outline
remove_circle_outline
remove_circle_outline

Journals

Article Types

Countries / Regions

Search Results (17)

Search Parameters:
Keywords = underwater weighing

Order results
Result details
Results per page
Select all
Export citation of selected articles as:
15 pages, 6244 KB  
Article
Detailed Investigation of Cobalt-Rich Crusts in Complex Seamount Terrains Using the Haima ROV: Integrating Optical Imaging, Sampling, and Acoustic Methods
by Yonghang Li, Huiqiang Yao, Zongheng Chen, Lixing Wang, Haoyi Zhou, Shi Zhang and Bin Zhao
J. Mar. Sci. Eng. 2025, 13(4), 702; https://doi.org/10.3390/jmse13040702 - 1 Apr 2025
Cited by 2 | Viewed by 1931
Abstract
The remotely operated vehicle (ROV), a vital deep-sea platform, offers key advantages, including operational duration via continuous umbilical power, high task adaptability, and zero human risk. It has become indispensable for deep-sea scientific research and marine engineering. To enhance surveys of cobalt-rich crusts [...] Read more.
The remotely operated vehicle (ROV), a vital deep-sea platform, offers key advantages, including operational duration via continuous umbilical power, high task adaptability, and zero human risk. It has become indispensable for deep-sea scientific research and marine engineering. To enhance surveys of cobalt-rich crusts (CRCs) on complex seamount terrains, the 4500-m-class Haima ROV integrates advanced payloads, such as underwater positioning systems, multi-angle cameras, multi-functional manipulators, subsea shallow drilling systems, sediment samplers, and acoustic crust thickness gauges. Coordinated control between deck monitoring and subsea units enables stable multi-task execution within single dives, significantly improving operational efficiency. Survey results from Caiwei Guyot reveal the following: (1) ROV-collected data were highly reliable, with high-definition video mapping CRCs distribution across varied terrains. Captured crust-bearing rocks weighed up to 78 kg, drilled cores reached 110 cm, and acoustic thickness measurements had a 1–2 cm margin of error compared to in situ cores; (2) Video and cores analysis showed summit platforms (3–5° slopes) dominated by tabular crusts with gravel-type counterparts, summit margins (5–10° slopes) hosting gravel crusts partially covered by sediment, and steep slopes (12–15° slopes) exhibiting mixed crust types under sediment coverage. Thicker crusts clustered at summit margins (14 and 15 cm, respectively) compared to thinner crusts on platforms and slopes (10 and 7 cm, respectively). The Haima ROV successfully investigated CRC resources in complex terrains, laying the groundwork for seamount crust resource evaluations. Future advancements will focus on high-precision navigation and control, high-resolution crust thickness measurement, optical imaging optimization, and AI-enhanced image recognition. Full article
Show Figures

Figure 1

13 pages, 1969 KB  
Article
Length–Weight Relationships of the Prized Sea Cucumber Holothuria lessoni from In Situ and Ex Situ Measurements
by Lea A. F. Djenidi, Steven W. Purcell, Aaron W. Thornton, Hugues Gossuin and Antoine Gilbert
J. Mar. Sci. Eng. 2024, 12(12), 2283; https://doi.org/10.3390/jmse12122283 - 12 Dec 2024
Cited by 2 | Viewed by 2677
Abstract
Fisheries science draws on morphometric data for stock assessments. Length–weight relationships are essential for estimating body weight from length measurements taken either underwater (in situ) or out of the water (ex situ). We examined morphometric models for the high-valued sea cucumber, Holothuria lessoni [...] Read more.
Fisheries science draws on morphometric data for stock assessments. Length–weight relationships are essential for estimating body weight from length measurements taken either underwater (in situ) or out of the water (ex situ). We examined morphometric models for the high-valued sea cucumber, Holothuria lessoni. From 77 specimens captured in 2024 (mean weight ± SD: 1774 ± 372 g), we measured body length and width in situ and ex situ, then weighed the animals ex situ. We compared morphometric models using four biometric parameters. The fitted relationships were more statistically significant (p < 0.001) when using in situ measurements compared to ex situ measurements. The length–weight relationship from our study was compared with those from two previous studies on the same species at the same location. Each study generated significantly (p < 0.001) different length–weight relationships. These findings suggest that length–weight relationships should be re-evaluated at regular intervals, as they may evolve over time. Our study indicates that estimation of body weight from length (and width) must rely on established relationships corresponding to whether the measurements are made in situ or ex situ. Our results suggest that in situ measurements could provide more reliable data for length–weight relationships in certain holothuroids. Full article
(This article belongs to the Special Issue Biodiversity and Population Ecology of Marine Invertebrates)
Show Figures

Figure 1

13 pages, 4590 KB  
Article
A More Comfortable Method for Hydrostatic Weighing: Head above Water at Total Lung Capacity
by Erin White, Silas Bergen, Annabelle Berggren, Lillian Brinkman, Brianna Carman, Lucas Crouse, Emma Hoffmann and Sara Twedt
J. Funct. Morphol. Kinesiol. 2024, 9(1), 41; https://doi.org/10.3390/jfmk9010041 - 28 Feb 2024
Viewed by 5481
Abstract
Hydrostatic weighing (HW) requires full submersion with the lungs at residual volume (RV) which is uncomfortable. Therefore, the purpose of this study was to find a more comfortable way to complete HW. A HW system was used to complete three comparisons: comparison 1: [...] Read more.
Hydrostatic weighing (HW) requires full submersion with the lungs at residual volume (RV) which is uncomfortable. Therefore, the purpose of this study was to find a more comfortable way to complete HW. A HW system was used to complete three comparisons: comparison 1: change in head position (head above water vs. head below water (HAW vs. HBW)), comparison 2: change in lung volume (total lung capacity (TLC) vs. RV), and comparison 3: change in head and lung volume changes. Participants were separated by males (n = 64) and females (n = 58). Comparison 1: HAW resulted in higher mean percent body fat (PBF) than HBW (4.5% overall, 3.8% in males, 5.4% in females, p < 0.05). Comparison 2: TLC resulted in lower mean PBF than RV (5.1% overall, 5.3% in males, 4.8% in females, p < 0.05). Comparison 3: HAW@TLC resulted in significantly lower (1.5% lower, p = 0.003) mean PBF for males but was not significantly lower for females or overall (0.6% higher, p = 0.39, 0.6% lower, p = 0.18, respectively) compared to HBW@RV. In conclusion, keeping the head above water and taking a deep inhale makes HW a more enjoyable, and accessible experience for everyone while still producing accurate PBF results. Full article
(This article belongs to the Special Issue Research on Sports Nutrition: Body Composition and Performance 3.0)
Show Figures

Figure 1

16 pages, 1352 KB  
Article
Fish Recognition in the Underwater Environment Using an Improved ArcFace Loss for Precision Aquaculture
by Liang Liu, Junfeng Wu, Tao Zheng, Haiyan Zhao, Han Kong, Boyu Qu and Hong Yu
Fishes 2023, 8(12), 591; https://doi.org/10.3390/fishes8120591 - 30 Nov 2023
Cited by 8 | Viewed by 3466
Abstract
Accurate fish individual recognition is one of the critical technologies for large-scale fishery farming when trying to achieve accurate, green farming and sustainable development. It is an essential link for aquaculture to move toward automation and intelligence. However, existing fish individual data collection [...] Read more.
Accurate fish individual recognition is one of the critical technologies for large-scale fishery farming when trying to achieve accurate, green farming and sustainable development. It is an essential link for aquaculture to move toward automation and intelligence. However, existing fish individual data collection methods cannot cope with the interference of light, blur, and pose in the natural underwater environment, which makes the captured fish individual images of poor quality. These low-quality images can cause significant interference with the training of recognition networks. In order to solve the above problems, this paper proposes an underwater fish individual recognition method (FishFace) that combines data quality assessment and loss weighting. First, we introduce the Gem pooing and quality evaluation module, which is based on EfficientNet. This module is an improved fish recognition network that can evaluate the quality of fish images well, and it does not need additional labels; second, we propose a new loss function, FishFace Loss, which will weigh the loss according to the quality of the image so that the model focuses more on recognizable fish images, and less on images that are difficult to recognize. Finally, we collect a dataset for fish individual recognition (WideFish), which contains and annotates 5000 images of 300 fish. The experimental results show that, compared with the state-of-the-art individual recognition methods, Rank1 accuracy is improved by 2.60% and 3.12% on the public dataset DlouFish and the proposed WideFish dataset, respectively. Full article
Show Figures

Figure 1

20 pages, 7069 KB  
Article
An Improved Multi-Objective Particle Swarm Optimization-Based Hybrid Intelligent Algorithm for Index Screening of Underwater Manned/Unmanned Cooperative System of Systems Architecture Evaluation
by Hao Zhou, Yunsheng Mao and Xuan Guo
Mathematics 2023, 11(20), 4389; https://doi.org/10.3390/math11204389 - 23 Oct 2023
Cited by 6 | Viewed by 2148
Abstract
An improved multi-objective particle swarm optimization algorithm is combined with a machine learning classifier to meet the needs of underwater manned/unmanned cooperative warfare architecture evaluation. Firstly, based on the traditional Cauchy variation method, the particles in the population are disturbed in a dynamic [...] Read more.
An improved multi-objective particle swarm optimization algorithm is combined with a machine learning classifier to meet the needs of underwater manned/unmanned cooperative warfare architecture evaluation. Firstly, based on the traditional Cauchy variation method, the particles in the population are disturbed in a dynamic way so that the particles trapped in the local optimal can jump out of the local optimal, and the convergence performance of the particle swarm optimization is improved. Secondly, the accuracy of the index set is analyzed based on the CART decision tree algorithm and the IWRF algorithm. A screening method of key indexes with fewer evaluation indexes and high evaluation accuracy is developed to solve the problem of a large number of evaluation indexes and unclear correlation of the underwater combat system. Through simulation, the extraction results of key indicators were verified, and the reliability coefficient of the final simulation experiment was 0.93, which can be considered as high reliability and effectiveness of the key indicators extracted in this study. By combining multi-objective optimization with machine learning and weighing evaluation efficiency and accuracy, a high-precision and rapid evaluation of a few indicators is achieved, which provides support for establishing an evaluation model of SoS architecture for underwater manned/unmanned cooperative operations. This research result can provide inspiration for the evaluation and evaluation of the system in order to analyze the accuracy of indicators and the evaluation effect and carry out research by simulating the actual system with tools with a high simulation degree. Full article
(This article belongs to the Section E1: Mathematics and Computer Science)
Show Figures

Figure 1

15 pages, 4700 KB  
Article
Underwater Source Counting with Local-Confidence-Level-Enhanced Density Clustering
by Yang Chen, Yuanzhi Xue, Rui Wang and Guangyuan Zhang
Sensors 2023, 23(20), 8491; https://doi.org/10.3390/s23208491 - 16 Oct 2023
Cited by 1 | Viewed by 1551
Abstract
Source counting is the key procedure of autonomous detection for underwater unmanned platforms. A source counting method with local-confidence-level-enhanced density clustering using a single acoustic vector sensor (AVS) is proposed in this paper. The short-time Fourier transforms (STFT) of the sound pressure and [...] Read more.
Source counting is the key procedure of autonomous detection for underwater unmanned platforms. A source counting method with local-confidence-level-enhanced density clustering using a single acoustic vector sensor (AVS) is proposed in this paper. The short-time Fourier transforms (STFT) of the sound pressure and vibration velocity measured by the AVS are first calculated, and a data set is established with the direction of arrivals (DOAs) estimated from all of the time–frequency points. Then, the density clustering algorithm is used to classify the DOAs in the data set, with which the number of the clusters and the cluster centers are obtained as the source number and the DOA estimations, respectively. In particular, the local confidence level is adopted to weigh the density of each DOA data point to highlight samples with the dominant sources and downplay those without, so that the differences in densities for the cluster centers and sidelobes are increased. Therefore, the performance of the density clustering algorithm is improved, leading to an improved source counting accuracy. Experimental results reveal that the enhanced source counting method achieves a better source counting performance than that of basic density clustering. Full article
(This article belongs to the Section Electronic Sensors)
Show Figures

Figure 1

17 pages, 562 KB  
Article
Cross-Layer Protocol Based on Directional Reception in Underwater Acoustic Wireless Sensor Networks
by Yao Sun, Wei Ge, Yingsong Li and Jingwei Yin
J. Mar. Sci. Eng. 2023, 11(3), 666; https://doi.org/10.3390/jmse11030666 - 21 Mar 2023
Cited by 9 | Viewed by 2733
Abstract
The long propagation delay of acoustic links leads to the complex randomness of packet collision, which reduces the network packet delivery rate (PDR) and aggravates network congestion. A single vector hydrophone with directional reception characteristics can concentrate the reception gain on a certain [...] Read more.
The long propagation delay of acoustic links leads to the complex randomness of packet collision, which reduces the network packet delivery rate (PDR) and aggravates network congestion. A single vector hydrophone with directional reception characteristics can concentrate the reception gain on a certain direction, which can increase spatial reuse, reduce packet collision, and help to improve the performance of the underwater acoustic wireless sensor networks (UASNs). Herein, this paper proposes a cross-layer protocol with low interference and low congestion (CLIC) based on directional reception. An integrated routing-medium access control (MAC) design is also devised in the CLIC scheme to use the directional beams to create the least-interfering, highest-capacity data transmission links, weighing key factors affecting network performance to obtain routes with low collisions and low congestion. Simulation results show that the CLIC has a higher packet delivery rate (PDR) and higher energy efficiency compared to the QELAR, CITP, and VBF protocols. Full article
(This article belongs to the Special Issue Underwater Wireless Communications: Recent Advances and Challenges)
Show Figures

Figure 1

13 pages, 3461 KB  
Article
The Strength and Elastic Modulus of Pervious Concrete Considering Pore and Fiber during Freeze–Thaw Cycles
by Yi Wu, Jun Dai, Bailei Shi and Bingquan Wu
Sustainability 2022, 14(23), 16217; https://doi.org/10.3390/su142316217 - 5 Dec 2022
Cited by 8 | Viewed by 2816
Abstract
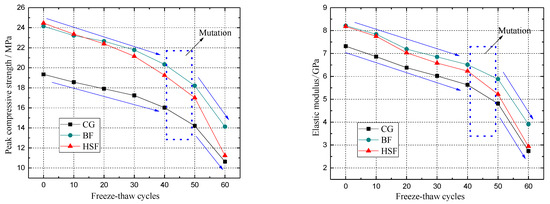
The interface between aggregate and cement matrix and the strength of the cementation layer between aggregates are the key factors affecting the strength of pervious concrete. The purpose of this paper is to evaluate the effects of porosity, compressive strength and elastic modulus [...] Read more.
The interface between aggregate and cement matrix and the strength of the cementation layer between aggregates are the key factors affecting the strength of pervious concrete. The purpose of this paper is to evaluate the effects of porosity, compressive strength and elastic modulus of pervious concrete before and after freeze–thaw cycles. The effective porosity and total porosity were obtained by the underwater weighing and CT (computed tomography) image analysis methods. Uniaxial and triaxle compression tests were carried out to obtain the strength and elastic modulus of pervious concrete considering pore and fiber. The results indicated that the effective modulus and effective stress were closely related to the porosity, and the continuous fracture of cementation points between aggregates caused damage to pervious concrete. Inclined shear failure of pervious concrete occurred under uniaxial pressure, and the strength and elastic modulus increased with increases in confining pressure. With the increase in freeze–thaw cycles, the porosity increased linearly, the strength and elastic modulus decreased and a mutational point appeared between 40 and 50 times during the freeze–thaw cycles. The fiber enhanced the strength of the cementation layer and increased the connection between aggregates, thus improving the strength and integrity of pervious concrete. This work is needed to serve as a reference for the fracture mechanism of pervious concrete and the effect of freeze–thaw cycles considering pore and fiber. Full article
Show Figures

Figure 1

19 pages, 4889 KB  
Article
Evaluation of Applicability of Minimum Required Compressive Strength for Cold Weather Concreting Based on Winter Meteorological Factors
by Jiahui Cui, Nguyen Duc Van, Feng Zhang and Yukio Hama
Materials 2022, 15(23), 8490; https://doi.org/10.3390/ma15238490 - 28 Nov 2022
Cited by 9 | Viewed by 2092
Abstract
In this paper, we evaluated the applicability of the minimum required compressive strength for cold weather concreting based on winter meteorological factors. In this study, a compressive strength test, dynamic elastic modulus test, hydration degree test, underwater weighing test, and freeze–thaw test were [...] Read more.
In this paper, we evaluated the applicability of the minimum required compressive strength for cold weather concreting based on winter meteorological factors. In this study, a compressive strength test, dynamic elastic modulus test, hydration degree test, underwater weighing test, and freeze–thaw test were performed to investigate the effect of compressive strength development at early ages on frost resistance of concrete. In particular, the ASTM equivalent number of cycles (CyASTMsp) of various locations was estimated based on winter meteorological factors. The results of experiments showed that the frost resistance of concrete at early ages increases with increased compressive strength. The relative dynamic modulus of elasticity of concrete of 5.0 MPa showed that it can be maintained above 90% within 18 freeze–thaw cycles. In addition, the CyASTMsp results showed that a compressive strength of 5.0 MPa can protect concrete from early age frost damage in all investigated locations, indicating that a compressive strength of 5.0 MPa is the minimum required for safe and reliable cold weather concreting. However, for concrete structures subjected to repeated freeze–thaw cycles, it is necessary to select a higher compressive strength value according to the construction condition. Full article
(This article belongs to the Special Issue New Findings in Cementitious Materials)
Show Figures

Figure 1

13 pages, 2528 KB  
Article
Rolled Dielectric Elastomer Antagonistic Actuators for Biomimetic Underwater Robots
by Toshiaki Nagai and Jun Shintake
Polymers 2022, 14(21), 4549; https://doi.org/10.3390/polym14214549 - 27 Oct 2022
Cited by 15 | Viewed by 3281
Abstract
In this study, an antagonistic actuator using dielectric elastomer actuators (DEAs) is developed to investigate the use of rolled DEAs in underwater robots. The actuator consists of a backbone, an elastic hinge, and two rolled DEAs placed in an antagonistic fashion, allowing for [...] Read more.
In this study, an antagonistic actuator using dielectric elastomer actuators (DEAs) is developed to investigate the use of rolled DEAs in underwater robots. The actuator consists of a backbone, an elastic hinge, and two rolled DEAs placed in an antagonistic fashion, allowing for the generation of bidirectional movements of the actuator tip. To prove this concept, an analytical model of the actuator is built. The experimental samples are fabricated based on the specification determined by the model. In the fabricated actuator, each rolled DEA has a diameter of 6 mm and a length of 21 mm. The whole device weighs 1.7 g. In the tested voltage range of 0–1200 V, the actuator exhibits a voltage-controllable angle and torque of up to 2.2° and 11.3 mN∙mm, respectively. The actuator is then implemented into a swimming robot, which shows forward speed of 0.9 mm/s at the applied voltage of 1000 V and the driving frequency of 10 Hz. The results demonstrate the feasibility of using rolled DEAs in underwater robots. Full article
(This article belongs to the Special Issue Polymer-Based Dielectric Materials)
Show Figures

Figure 1

16 pages, 1371 KB  
Article
New Equations for Hydrostatic Weighing without Head Submersion
by Jeff C. Tesch, Panayiotis Papadopoulos, Forrest Dolgener and Grant M. Tinsley
J. Funct. Morphol. Kinesiol. 2022, 7(3), 70; https://doi.org/10.3390/jfmk7030070 - 16 Sep 2022
Cited by 3 | Viewed by 3791
Abstract
New equations were derived to predict the density of the body (DB) by hydrostatic weighing with the head above water (HWHAW). Hydrostatic weighing with the head below water (HWHBW) was the criterion for DB measurement in 90 subjects (44 [...] Read more.
New equations were derived to predict the density of the body (DB) by hydrostatic weighing with the head above water (HWHAW). Hydrostatic weighing with the head below water (HWHBW) was the criterion for DB measurement in 90 subjects (44 M, 46 F). Head volume by immersion (HVIMM) was determined by subtracting the mass in water with the head below water (MWHBW) from the mass in water with the head above water (MWHAW), with subjects at residual lung volume. Equations were derived for head volume prediction (HVPRED) from head measurements and used to correct DB by HWHAW. Equations were also derived for HWHAW using direct regression of DB from uncorrected density (with MWHAW in place of MWHBW). Prediction equations were validated in 45 additional subjects (21 M, 24 F). Results were evaluated using equivalence testing, linear regression, Bland–Altman plots, and paired t-tests. Head girth, face girth, and body mass produced the smallest errors for HVPRED. In both M and F validation groups, equivalence (±2% fat by weight) was demonstrated between body fat percent (BF%) by HWHBW and BF% by HWHAW with HVPRED. Variance in computer-averaged samples of MWHAW was significantly less (p < 0.05) than MWHBW. Prediction error was smaller for BF% by HWHAW with HVPRED than for alternative methods. Conclusions: Equivalence between BF% by HWHBW and BF% by HWHAW with HVPRED was demonstrated and differences were not statistically significant. Weight fluctuations were smaller for HWHAW than HWHBW. Full article
Show Figures

Figure 1

13 pages, 933 KB  
Article
Implementing Multi-Criteria Analysis in the Selection of AUCHS for the Integration of Digital Technologies into the Tourism Offering: The Case of MeDryDive
by Angelos Manglis, Paschalina Giatsiatsou, Dimitra Papadopoulou, Vasiliki Drouga and Anastasia Fourkiotou
Heritage 2021, 4(4), 4460-4472; https://doi.org/10.3390/heritage4040246 - 23 Nov 2021
Cited by 6 | Viewed by 3879
Abstract
Focusing on both physical and virtual accessibility, this paper presents the methodology developed by MeDryDive for the selection of AUCHS (Accessible Underwater Cultural Heritage Sites) in Greece, Italy, Croatia, and Montenegro. MeDryDive is a project that aims at the promotion of AUCHS in [...] Read more.
Focusing on both physical and virtual accessibility, this paper presents the methodology developed by MeDryDive for the selection of AUCHS (Accessible Underwater Cultural Heritage Sites) in Greece, Italy, Croatia, and Montenegro. MeDryDive is a project that aims at the promotion of AUCHS in the Mediterranean as distinctive tourism destinations through personalized dry dive experiences. The candidate sites are assessed in order to be included in the transnational thematic tourism product “Dive in the Past” and promoted through Creative and Cultural Industry (CCI) applications, including a Serious Game, Augmented and Virtual Reality applications, and promotional videos, all developed in the context of the project. The main goal of the methodology is to meet the requirements for both the sustainability of the thematic tourism product and the digital applications’ development. The assessment of AUCHS is based on specific criteria that result from setting weighing factors and classifying indicators as either critical or non-critical. The criteria are categorized into core (feasibility) criteria and complementary (appropriateness) criteria for determining the total level of readiness. This set of criteria enables site selection through an elimination method, identifying the suitable pilot and follow-on sites for the integration of digital technologies into the tourism offering. Full article
Show Figures

Figure 1

19 pages, 9006 KB  
Article
A New Feature Extraction Method Based on Improved Variational Mode Decomposition, Normalized Maximal Information Coefficient and Permutation Entropy for Ship-Radiated Noise
by Dongri Xie, Haixin Sun and Jie Qi
Entropy 2020, 22(6), 620; https://doi.org/10.3390/e22060620 - 3 Jun 2020
Cited by 33 | Viewed by 4640
Abstract
Due to the existence of marine environmental noise, coupled with the instability of underwater acoustic channel, ship-radiated noise (SRN) signals detected by sensors tend to suffer noise pollution as well as distortion caused by the transmission medium, making the denoising of the raw [...] Read more.
Due to the existence of marine environmental noise, coupled with the instability of underwater acoustic channel, ship-radiated noise (SRN) signals detected by sensors tend to suffer noise pollution as well as distortion caused by the transmission medium, making the denoising of the raw detected signals the new focus in the field of underwater acoustic target recognition. In view of this, this paper presents a novel hybrid feature extraction scheme integrating improved variational mode decomposition (IVMD), normalized maximal information coefficient (norMIC) and permutation entropy (PE) for SRN signals. Firstly, the IVMD method is employed to decompose the SRN signals into a number of finite intrinsic mode functions (IMFs). The noise IMFs are then filtered out by a denoising method before PE extraction. Next, the MIC between each retained IMF and the raw SRN signal and PE of retained IMFs are calculated, respectively. After this, the norMICs are used to weigh the PE values of the retained IMFs and the sum of the weighted PE results is regarded as the classification parameter. Finally, the feature vectors are fed into the particle swarm optimization-based support vector machine multi-class classifier (PSO-SVM) to identify different types of SRN samples. The experimental results have indicated that the classification accuracy of the proposed method is as high as 99.1667%, which is much higher than that of other currently existing methods. Hence, the method proposed in this paper is more suitable for feature extraction of SRN signals in practical application. Full article
Show Figures

Figure 1

16 pages, 5686 KB  
Article
Influence of Restrained Condition on Mechanical Properties, Frost Resistance, and Carbonation Resistance of Expansive Concrete
by Nguyen Duc Van, Emika Kuroiwa, Jihoon Kim, Hyeonggil Choi and Yukio Hama
Materials 2020, 13(9), 2136; https://doi.org/10.3390/ma13092136 - 5 May 2020
Cited by 14 | Viewed by 3508
Abstract
This paper presents the results of an experimental investigation of the effect of the restrained condition on the mechanical properties, frost resistance, and carbonation resistance of expansive concrete with different water–binder ratios. In this study, length change ratio test, expansion strain test, compressive [...] Read more.
This paper presents the results of an experimental investigation of the effect of the restrained condition on the mechanical properties, frost resistance, and carbonation resistance of expansive concrete with different water–binder ratios. In this study, length change ratio test, expansion strain test, compressive strength test, mercury intrusion porosimetry test, underwater weighing test, freezing–thawing test, and accelerated carbonation test were performed to evaluate the mechanical properties, pore size distribution, total porosity, and durability of expansive concrete under both restrained and unrestrained conditions. The test results indicate that the length change ratio and expansion strain of the expansive concrete were controlled by the restrained condition. The compressive strength of expansive concrete was enhanced by the triaxial restraining when the amount of expansive additive was 40 kg/m3 of concrete. Two hypotheses were described to explain the change of pore structure change expansive mortar. The results also indicate that the carbonation resistance and frost resistance were improved by the uniaxial restrained condition. Furthermore, the effect of the restrained condition must be considered to evaluate not only the experimental results of the expansive concrete with a high EX replacement level but also the expansive concrete combining other cement replacement materials. Full article
(This article belongs to the Special Issue Concrete and Construction Materials)
Show Figures

Figure 1

20 pages, 4705 KB  
Article
Feature Extraction of Ship-Radiated Noise Based on Enhanced Variational Mode Decomposition, Normalized Correlation Coefficient and Permutation Entropy
by Dongri Xie, Hamada Esmaiel, Haixin Sun, Jie Qi and Zeyad A. H. Qasem
Entropy 2020, 22(4), 468; https://doi.org/10.3390/e22040468 - 20 Apr 2020
Cited by 29 | Viewed by 4270
Abstract
Due to the complexity and variability of underwater acoustic channels, ship-radiated noise (SRN) detected using the passive sonar is prone to be distorted. The entropy-based feature extraction method can improve this situation, to some extent. However, it is impractical to directly extract the [...] Read more.
Due to the complexity and variability of underwater acoustic channels, ship-radiated noise (SRN) detected using the passive sonar is prone to be distorted. The entropy-based feature extraction method can improve this situation, to some extent. However, it is impractical to directly extract the entropy feature for the detected SRN signals. In addition, the existing conventional methods have a lack of suitable de-noising processing under the presence of marine environmental noise. To this end, this paper proposes a novel feature extraction method based on enhanced variational mode decomposition (EVMD), normalized correlation coefficient (norCC), permutation entropy (PE), and the particle swarm optimization-based support vector machine (PSO-SVM). Firstly, EVMD is utilized to obtain a group of intrinsic mode functions (IMFs) from the SRN signals. The noise-dominant IMFs are then eliminated by a de-noising processing prior to PE calculation. Next, the correlation coefficient between each signal-dominant IMF and the raw signal and PE of each signal-dominant IMF are calculated, respectively. After this, the norCC is used to weigh the corresponding PE and the sum of these weighted PE is considered as the final feature parameter. Finally, the feature vectors are fed into the PSO-SVM multi-class classifier to classify the SRN samples. The experimental results demonstrate that the recognition rate of the proposed methodology is up to 100%, which is much higher than the currently existing methods. Hence, the method proposed in this paper is more suitable for the feature extraction of SRN signals. Full article
Show Figures

Figure 1

Back to TopTop