Sign in to use this feature.

Years

Between: -

Subjects

remove_circle_outline
remove_circle_outline
remove_circle_outline
remove_circle_outline
remove_circle_outline
remove_circle_outline
remove_circle_outline
remove_circle_outline
remove_circle_outline

Journals

remove_circle_outline
remove_circle_outline
remove_circle_outline
remove_circle_outline
remove_circle_outline
remove_circle_outline
remove_circle_outline
remove_circle_outline
remove_circle_outline
remove_circle_outline
remove_circle_outline
remove_circle_outline
remove_circle_outline
remove_circle_outline
remove_circle_outline
remove_circle_outline
remove_circle_outline
remove_circle_outline
remove_circle_outline
remove_circle_outline
remove_circle_outline

Article Types

Countries / Regions

remove_circle_outline
remove_circle_outline
remove_circle_outline
remove_circle_outline
remove_circle_outline
remove_circle_outline
remove_circle_outline
remove_circle_outline

Search Results (3,615)

Search Parameters:
Keywords = two-phase flows

Order results
Result details
Results per page
Select all
Export citation of selected articles as:
17 pages, 2572 KB  
Article
The Role of Clinopyroxene on the Rheology of Dry Olivine–Clinopyroxene Aggregates
by Xiaodong Zheng, Zhexuan Jiang, Jianfeng Li and Maoshuang Song
Minerals 2026, 16(2), 218; https://doi.org/10.3390/min16020218 - 20 Feb 2026
Abstract
To investigate the influence of a second-phase mineral on the rheology of mantle peridotite, we conducted high-temperature deformation experiments on dry olivine–clinopyroxene (Ol-Cpx) aggregates. Cylindrical samples were manufactured using hot-isostatic pressing techniques, with Ol as the matrix phase and [...] Read more.
To investigate the influence of a second-phase mineral on the rheology of mantle peridotite, we conducted high-temperature deformation experiments on dry olivine–clinopyroxene (Ol-Cpx) aggregates. Cylindrical samples were manufactured using hot-isostatic pressing techniques, with Ol as the matrix phase and Cpx added at volume fractions of fCpx = 0.1, 0.3, and 0.5. Deformation experiments were performed in a Paterson gas-medium apparatus at a confining pressure of ~300 MPa, temperatures ranging from 1423 to 1523 K, and strain rates of ~5 × 10−6 s−1, ~1 × 10−5 s−1, ~2 × 10−5 s−1, and ~5 × 10−5 s−1. The stress exponents (n = 3.4–4.3) for two-phase aggregates are comparable to those reported for both pure Ol and pure Cpx, indicating that dislocation creep remains the dominant deformation mechanism. Increasing Cpx content does not induce a transition of dominant mechanism but leads to a slight decrease in activation energy, consistent with predictions from two-phase rheological models and reflecting the increasing contribution of Cpx to bulk deformation. Normalized flow stresses fall between the Ol and Cpx end-members within the Taylor–Sachs bounds, indicating moderate strain partitioning between phases. Aggregates with fCpx = 0.5 show slightly reduced strength and lower effective stress exponents. This is attributed to enhanced dynamic recrystallization, which triggers grain-size reduction and thereby increases the contribution of diffusion-assisted deformation, even though dislocation creep remains the dominant mechanism. These results suggest that under dry conditions, Cpx primarily modulates the rheology of olivine-rich aggregates through microstructural evolution and strain partitioning rather than by altering the dominant deformation mechanism. Full article
Show Figures

Figure 1

19 pages, 3003 KB  
Article
A Transient Two−Phase Productivity Forecasting Method in Fractured Nanoporous Shale Gas Reservoirs
by Ruihan Zhang, Siliang He, Qianwen Zhang, Hongsha Xiao and Liehui Zhang
Nanomaterials 2026, 16(4), 264; https://doi.org/10.3390/nano16040264 - 17 Feb 2026
Viewed by 98
Abstract
Hydraulic fracturing is a critical technology for developing shale gas reservoirs, which are typical natural nanoporous media. However, the complex two−phase flow induced by fracturing fluid retention and the strong interference among hydraulic fractures introduce significant uncertainties to productivity forecasting. To address these [...] Read more.
Hydraulic fracturing is a critical technology for developing shale gas reservoirs, which are typical natural nanoporous media. However, the complex two−phase flow induced by fracturing fluid retention and the strong interference among hydraulic fractures introduce significant uncertainties to productivity forecasting. To address these challenges, this study proposes a transient productivity forecasting method to characterize fluid transport in fractured nanoporous media. This method introduces a gas−water two−phase pseudo−pressure function to reconstruct the flow equations, utilizing micro−segment discretization and the principle of superposition to accurately characterize pressure drop interference among fractures, enabling rapid dynamic productivity forecasting under realistic well trajectory conditions. The investigation reveals that while increasing fracture count, half−length, and permeability enhances productivity, these improvements exhibit significant diminishing marginal returns, indicating the existence of optimal economic thresholds for these engineering parameters. Conversely, elevated water saturation, skin factor, and stress sensitivity lead to a decline in productivity. Analysis of flow interference demonstrates that fractures at the wellbore extremities contribute significantly higher production than those in the central section due to reduced interference, while deviations in the wellbore trajectory further exacerbate production heterogeneity. Field application confirms that the proposed method achieves reliable production history matching under realistic well trajectories and accurately captures the typical three−stage production characteristics of shale gas wells, providing a robust basis for Estimated Ultimate Recovery (EUR) assessment and fracturing design optimization. Full article
Show Figures

Figure 1

20 pages, 3959 KB  
Article
Multifunctional Response Mechanisms of PCM-Modified Mortar: Linking Particle Size Distribution to Hydration Process, Thermal Conductivity, and Strength Evolution
by Yifang Ma, Lei Jin, Shuaipeng Wei, Ling Wang, Xuyang Zang, Junfei Zhang and Lei Zhang
Buildings 2026, 16(4), 803; https://doi.org/10.3390/buildings16040803 - 15 Feb 2026
Viewed by 186
Abstract
Microencapsulated phase change materials (MPCMs) offer a promising way to enhance the thermal performance of cement-based materials; however, their incorporation often compromises mechanical properties and durability, limiting practical application. A mechanistic understanding of how MPCM particle size governs the coupled thermal, mechanical, and [...] Read more.
Microencapsulated phase change materials (MPCMs) offer a promising way to enhance the thermal performance of cement-based materials; however, their incorporation often compromises mechanical properties and durability, limiting practical application. A mechanistic understanding of how MPCM particle size governs the coupled thermal, mechanical, and transport behavior of cementitious systems remains incomplete. In this paper, two organic MPCMs with identical core–shell chemistry but distinct particle sizes (mean diameters of 10.78 μm and 34.21 μm) were incorporated into mortar at dosages of 10 wt.% and 20 wt.% under w/b ratios of 0.35 and 0.45. The effects of MPCM particle size and content on hydration kinetics, rheology, strength development, pore transport behavior, and thermal conductivity were systematically investigated using isothermal calorimetry, flow spread testing, compressive strength measurements, capillary water absorption, thermal conductivity analysis, X-ray diffraction, and SEM–EDS characterization. Results show that MPCM incorporation delays early-age hydration and reduces peak hydration rates, with finer particles exerting a stronger inhibitory effect due to increased specific surface area and water adsorption. While all MPCM-modified mortars exhibit reduced compressive strength and increased capillary absorption, larger MPCM particles mitigate strength loss by limiting the total interfacial transition zone (ITZ) area and reducing ITZ connectivity. In contrast, smaller MPCM particles more effectively decrease thermal conductivity, achieving up to a 33% reduction, owing to enhanced interfacial thermal resistance. Microstructural observations confirm that MPCMs do not alter cement hydration products but influence performance through interfacial defects, porosity evolution, and particle-scale interactions. These findings demonstrate that MPCM particle size critically controls the trade-off between thermal regulation and structural integrity, providing quantitative guidance for designing PCM-modified concrete through optimizing particle-size. Full article
(This article belongs to the Section Building Materials, and Repair & Renovation)
Show Figures

Figure 1

37 pages, 3527 KB  
Review
Current Status and Future Prospects of Simulation Technology in Cleaning Systems for Crop Harvesters
by Peng Chen, Hongguang Yang, Chenxu Zhao, Jiayong Pei, Fengwei Gu, Yurong Wang, Zhaoyang Yu and Feng Wu
Agriculture 2026, 16(4), 446; https://doi.org/10.3390/agriculture16040446 - 14 Feb 2026
Viewed by 151
Abstract
The performance of the cleaning system in crop harvesters directly impacts overall operational efficiency and harvest quality. Against the background of traditional design relying on physical experiments—which is costly and provides limited mechanistic insight—Discrete Element Method (DEM), Computational Fluid Dynamics (CFD), and their [...] Read more.
The performance of the cleaning system in crop harvesters directly impacts overall operational efficiency and harvest quality. Against the background of traditional design relying on physical experiments—which is costly and provides limited mechanistic insight—Discrete Element Method (DEM), Computational Fluid Dynamics (CFD), and their coupled simulation (CFD-DEM) have become key means for in-depth study of the cleaning process, capable of revealing the complex interactions between particles and between particles and airflow. With the increasingly widespread and deep application of computer simulation technology in agricultural machinery research and development, it is particularly necessary to systematically review its research progress in cleaning systems. Therefore, this study provides a comprehensive and systematic analysis and summary of the key technologies in cleaning system simulation, aiming to address the current gap in systematic reviews of simulation technology in this field. Compared with previous studies that mostly focus on a single method or a specific crop type, this paper systematically reviews the application of three simulation technologies in cleaning systems of various crop harvesters. First, based on the working principle and core operational challenges of cleaning systems, the necessity of applying simulation technology is clarified. Second, the basic principles, modeling processes, and suitable application scenarios and key points for the cleaning simulation of each method are analyzed. Third, typical cases are reviewed to summarize their key achievements in structural innovation, parameter optimization of cleaning devices, and revealing the mechanisms of material separation. Finally, current bottlenecks in simulation applications are pointed out, and future development directions are outlined, including high-precision multi-field coupling, integration with intelligent algorithms, and the construction of digital twin systems. This study aims to provide systematic theoretical reference and methodological support for the innovative design and performance improvement of cleaning systems. Full article
(This article belongs to the Section Agricultural Technology)
Show Figures

Figure 1

27 pages, 13710 KB  
Article
Multi-Criteria Approach for the Study of Dam Silting Processes in Arid and Semi-Arid Regions: Example of the Assif El-Mal Watershed, Morocco
by M’bark Abidare, Lahcen Daoudi, Ali Rhoujjati and Nathalie Fagel
Sustainability 2026, 18(4), 1953; https://doi.org/10.3390/su18041953 - 13 Feb 2026
Viewed by 177
Abstract
In arid and semi-arid regions, the hydro-sedimentary processes responsible for reservoir siltation remain insufficiently studied. This study focuses on the Taskourt Dam, one of the major reservoirs in the Marrakech-Safi region in central Morocco. A 450 cm thick sediment core was collected from [...] Read more.
In arid and semi-arid regions, the hydro-sedimentary processes responsible for reservoir siltation remain insufficiently studied. This study focuses on the Taskourt Dam, one of the major reservoirs in the Marrakech-Safi region in central Morocco. A 450 cm thick sediment core was collected from the reservoir to assess the impact of extreme flood variability on sediment dynamic. A multi-approach analysis was conducted, including sequence analysis, grain-size and bulk and clay mineralogy of the sediments. In addition, hydrological parameters, instantaneous discharge, historical variations in daily water volumes in the reservoir, spillway discharge volumes, and siltation rates were determined through bathymetric surveys. The aim is to identify and evaluate the dynamics of sedimentation evolution within the reservoir. The results highlight two major phases in the siltation history of the Taskourt reservoir. (1) From 2011 to 2016, the siltation rate experienced rapid growth, marked by several major flood events. This intense sedimentary dynamic is illustrated by an accumulation of 418 cm of sediments. The floods of 2014 and 2016 strongly contributed to the intensification of flow energy and to a significant sediment load during this period. (2) From 2017 to 2023, the siltation significantly slowed down, associated with a prolonged drought period. This trend is recorded by a limited sedimentary deposit of 32 cm in thickness. This study provides valuable insights for the development of integrated sediment management strategies, supporting sustainable reservoir operation and effective planning, particularly in similar contexts worldwide. Full article
(This article belongs to the Section Air, Climate Change and Sustainability)
22 pages, 3461 KB  
Article
Theoretical Study on Boiling Heat Transfer Characteristics Under Wide-Range Working Conditions Inside Horizontal Micro-Fin Tubes
by Qingpu Li, Jinting Ye, Yuan Zhang, Ankang Kan, Zhen Tian, Yaqi Ding and Lei Li
J. Mar. Sci. Eng. 2026, 14(4), 355; https://doi.org/10.3390/jmse14040355 - 12 Feb 2026
Viewed by 156
Abstract
A database containing flow boiling heat transfer characteristics of various refrigerants inside micro-fin tubes with different structures under wide-range working conditions was built. Then the influencing mechanisms of refrigerant thermo-physical properties, fin structure and working conditions on nucleate boiling and forced-convection heat transfer [...] Read more.
A database containing flow boiling heat transfer characteristics of various refrigerants inside micro-fin tubes with different structures under wide-range working conditions was built. Then the influencing mechanisms of refrigerant thermo-physical properties, fin structure and working conditions on nucleate boiling and forced-convection heat transfer characteristics were analyzed qualitatively. To reveal the actual heat transfer mechanism of refrigerant inside the micro-fin tube, some existing correlations were selected for evaluating the experimental data within the database. The comparison results indicate that there is no correlation achieving high-precision prediction for all experimental data and the prediction accuracy of correlation is influenced significantly by working conditions, particularly mass flux and heat flux. Finally, to acquire a general theoretical model, a new correlation was proposed based on the fitting mechanism of the Hamilton et al. correlation as it exhibits the most concentrated prediction deviation, which means the number of variables affecting correlation prediction effect is the least. After verification, it can be discovered that the average prediction deviation of the new correlation for all experimental data is less than ±30% when the two-phase fluid Reynolds number is less than 3500, which is enough to validate the application value of the theoretical model. Full article
(This article belongs to the Section Marine Energy)
Show Figures

Figure 1

17 pages, 3436 KB  
Article
Design and Experiment of a Reflective Baffle Based on High-Modulus Carbon Fiber Composite Materials
by Heng Zhang, Xuchao Sun, Junsheng Yang, Yibin Liu, Yue Wang and Weimin Tong
Coatings 2026, 16(2), 234; https://doi.org/10.3390/coatings16020234 - 12 Feb 2026
Viewed by 164
Abstract
A reflective baffle for the optical system of a satellite camera based on the carbon fiber composite materials is designed and validated. Firstly, two typical reflective baffles including elliptical type and Stavroudis type are studied. High modulus carbon fiber composite materials are selected [...] Read more.
A reflective baffle for the optical system of a satellite camera based on the carbon fiber composite materials is designed and validated. Firstly, two typical reflective baffles including elliptical type and Stavroudis type are studied. High modulus carbon fiber composite materials are selected to achieve lightweight and high rigidity. The aluminum film is coated on the surface of vanes to enhance the surface spectral reflectivity. Then, temperature field under typical external heat flow is calculated and stray light suppression characteristics are analyzed. Finally, the finite element simulation and mechanical vibration experiment are performed to verify the reliability of the baffle structure. The results show that the reflective baffle meets the requirements of mechanical environment during the launch phase of satellite camera. It provides a reference for the design of the satellite camera baffles structure. Full article
(This article belongs to the Section Environmental Aspects in Colloid and Interface Science)
Show Figures

Figure 1

27 pages, 9986 KB  
Article
CFD-Based Design of Finned Surfaces for Enhanced Condensation Heat Transfer in a Grooved Heat Pipe
by Alessandra Magnabosco, Davide Fantin, Mario Junio Gabellone, Arianna Berto, Stefano Bortolin and Davide Del Col
Energies 2026, 19(4), 960; https://doi.org/10.3390/en19040960 - 12 Feb 2026
Viewed by 241
Abstract
Efficient condensation is fundamental for high-performance passive two-phase heat transfer devices, such as grooved heat pipes, which are widely used in thermal management for electronic, automotive, aerospace and energy systems. Enhancing condensation heat transfer requires precise control of the condensate distribution and liquid [...] Read more.
Efficient condensation is fundamental for high-performance passive two-phase heat transfer devices, such as grooved heat pipes, which are widely used in thermal management for electronic, automotive, aerospace and energy systems. Enhancing condensation heat transfer requires precise control of the condensate distribution and liquid drainage, which can be achieved through the optimization of fin geometry. This study investigates the condensation heat transfer over rectangular, trapezoidal and inverted trapezoidal fins under horizontal and vertical downflow conditions for four refrigerants (R134a, R245fa, R290 and R717) by means of three-dimensional steady-state CFD simulations using the volume-of-fluid (VOF) method. The fin surfaces, inspired by grooved wick heat pipes, are aimed at improving condensate removal and overall condensation heat transfer. The numerical model is validated through comparison with experimental data taken from the literature. Numerical results show that ammonia achieves the highest condensation heat transfer, due to its favorable thermophysical properties. In horizontal flow, inverted trapezoidal and rectangular fins yield up to 10% higher heat transfer than trapezoidal fins, with the inverted trapezoid promoting a more uniform condensate film. Vertical downflow enhances gravity-driven drainage, producing thinner, more stable films and up to 88% higher local heat flow rates in the grooves. These results provide insights into the coupled influence of geometry, working fluid, and flow conditions on condensation mechanisms, offering useful guidelines for the design and optimization of condensers in passive heat transfer devices. Full article
Show Figures

Figure 1

1 pages, 131 KB  
Retraction
RETRACTED: Davarpanah, A. Parametric Study of Polymer-Nanoparticles-Assisted Injectivity Performance for Axisymmetric Two-Phase Flow in EOR Processes. Nanomaterials 2020, 10, 1818
by Afshin Davarpanah
Nanomaterials 2026, 16(4), 235; https://doi.org/10.3390/nano16040235 - 12 Feb 2026
Viewed by 121
Abstract
The journal retracts the article “Parametric Study of Polymer-Nanoparticles-Assisted Injectivity Performance for Axisymmetric Two-Phase Flow in EOR Processes” [...] Full article
(This article belongs to the Special Issue Application of Nanoparticles for Oil Recovery)
19 pages, 14937 KB  
Article
Multiscale Characterization of Flow Instability for Gas–Liquid Two-Phase Flow
by Qing-Ming Sun, Qing-Chao Yu, Di Ba and Yang Du
Entropy 2026, 28(2), 210; https://doi.org/10.3390/e28020210 - 11 Feb 2026
Viewed by 106
Abstract
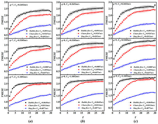
Gas–liquid two-phase flow instability is a key issue affecting the safety and efficiency of industrial systems, and the accurate characterization of its multiscale dynamic characteristics remains a challenge. This study proposes a novel approach based on time-shift multiscale equiprobable symbolic sample entropy (TMESE) [...] Read more.
Gas–liquid two-phase flow instability is a key issue affecting the safety and efficiency of industrial systems, and the accurate characterization of its multiscale dynamic characteristics remains a challenge. This study proposes a novel approach based on time-shift multiscale equiprobable symbolic sample entropy (TMESE) to characterize flow instability, which is validated using four evaluation metrics on eight typical time series. The TMESE method is applied to analyze the dynamic behaviors of bubble flow, slug flow, and churn flow both qualitatively and quantitatively. Results show that the TMESE distribution effectively captures evolutionary features of different flow patterns, and the joint distribution of average TMESE and complexity index (CI) provides a reliable quantitative measure of multiscale flow instability. Bubble flow exhibits the strongest instability, slug flow the least, and churn flow intermediate. Increasing gas or liquid superficial velocity raises average TMESE and CI values. These findings provide theoretical support for the prediction and control of gas–liquid two-phase flow systems in engineering applications. Full article
(This article belongs to the Special Issue Multiscale Entropy Approaches and Their Applications: Fourth Edition)
Show Figures

Figure 1

24 pages, 4095 KB  
Review
High-Efficiency Continuous Microreactors for Controlled Synthesis of Nanosized Particles of Functional Materials: Review
by Rufat Sh. Abiev
Nanomaterials 2026, 16(4), 234; https://doi.org/10.3390/nano16040234 - 11 Feb 2026
Viewed by 156
Abstract
The current state and prospects of microreactor synthesis of functional materials in single- and two-phase flows with a liquid continuous phase are analyzed. Microreactors allow fine control over the size, composition, structure, and properties of synthesized particles in co-precipitation processes. The results obtained [...] Read more.
The current state and prospects of microreactor synthesis of functional materials in single- and two-phase flows with a liquid continuous phase are analyzed. Microreactors allow fine control over the size, composition, structure, and properties of synthesized particles in co-precipitation processes. The results obtained by various teams provide grounds to expect fairly extensive capabilities for controlling the processes of nucleation and particle growth in microreactors—by controlling the pH, reagent concentrations, micromixing quality, and residence time in each of the reactor zones—in the nucleation growth zones. The advantages of microreactor synthesis have been demonstrated with a high quality of micromixing in a volume of 0.2–0.5 mL, which ensures the production of nanoparticles without impurities, a stoichiometric ratio of atoms in the product, and limitation of agglomerate growth due to a short residence time (in the order of several milliseconds). The transition to an industrial scale is very easy due to the fairly high productivity of a single microreactor (up to 10 m3/day for suspension, up to 200–300 kg/day for solid phase). Intensive mixing in microreactors with a diameter of 2–4 mm or less, due to Taylor vortices, contributed to the use of two-phase microreactors for the synthesis of both organic and inorganic substances. Full article
(This article belongs to the Section Inorganic Materials and Metal-Organic Frameworks)
Show Figures

Figure 1

15 pages, 2753 KB  
Article
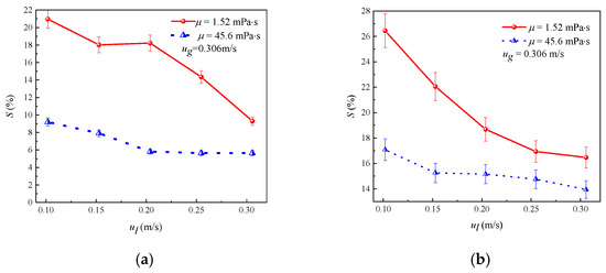
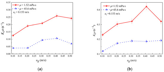
Study on Gas–Liquid Two-Phase Flow and Mass Transfer Characteristics in Microchannel Reactors
by Yongzhi Ning, Congcong Si, Bo Wang, Yang Xiang and Taihong Yan
Processes 2026, 14(4), 619; https://doi.org/10.3390/pr14040619 - 10 Feb 2026
Viewed by 156
Abstract
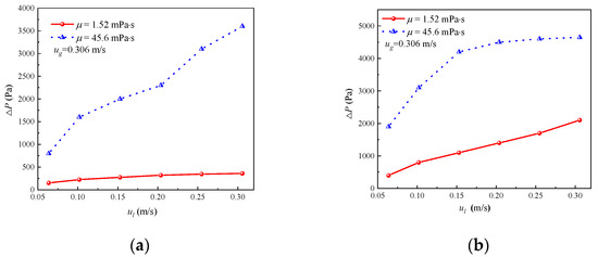
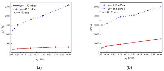
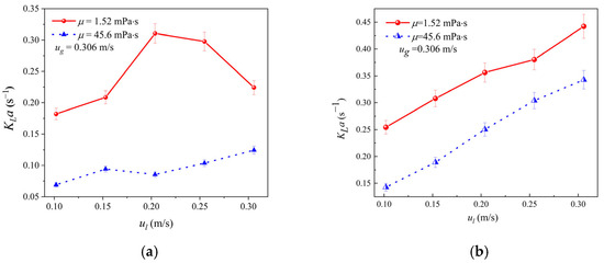
Owing to their superior mass and heat transfer performance, microreactors have emerged as a research hotspot in novel intensified equipment in recent years. This study experimentally investigates the gas–liquid flow behavior and mass transfer characteristics in microchannel reactors for viscous systems, focusing on [...] Read more.
Owing to their superior mass and heat transfer performance, microreactors have emerged as a research hotspot in novel intensified equipment in recent years. This study experimentally investigates the gas–liquid flow behavior and mass transfer characteristics in microchannel reactors for viscous systems, focusing on the effects of superficial gas and liquid velocities, viscosity, and spiral turbulence elements on T-type microchannel reactors (T-MCRs). Four flow regimes are identified in the T-MCR, where viscosity significantly influences regime distribution and Taylor bubble morphology. In contrast, the spiral-wired T-MCR (T-MCR-SW) is dominated by “serpentine Taylor flow”. Increased viscosity leads to elevated pressure drop and reduced CO2 saturation in both reactors, with the T-MCR-SW exhibiting a notably higher pressure drop. The impact of gas–liquid flow rates on CO2 saturation varies with reactor type and viscosity. The total volumetric mass transfer coefficient (KLa) of the T-MCR-SW is substantially higher than that of the T-MCR, but its pressure drop is nearly doubled. Thus, a balance between mass transfer efficiency and energy consumption must be considered for practical applications. This work provides valuable insights for the design and optimization of microreactors in viscous systems. Full article
(This article belongs to the Section Chemical Processes and Systems)
Show Figures

Figure 1

20 pages, 15443 KB  
Article
A Study on the Reduction of Light Load Loss in the Standalone Operation of LDC in Integrated Charging System for Electric Vehicles with 2-Transformer
by Yeongseon Lee, Seungmin Kim, Min-Jung Kim, Hee-Keun Shin and Dong-Hee Kim
Appl. Sci. 2026, 16(4), 1751; https://doi.org/10.3390/app16041751 - 10 Feb 2026
Viewed by 138
Abstract
This paper proposes a novel 2-transformer (2-Trans)-based integrated on-board charger (OBC) and low-voltage DC/DC converter (LDC) system for electric vehicles. Conventional integrated OBC–LDC systems employing a three-winding transformer suffer from reduced light-load efficiency during standalone LDC operation because core losses dominate when designers [...] Read more.
This paper proposes a novel 2-transformer (2-Trans)-based integrated on-board charger (OBC) and low-voltage DC/DC converter (LDC) system for electric vehicles. Conventional integrated OBC–LDC systems employing a three-winding transformer suffer from reduced light-load efficiency during standalone LDC operation because core losses dominate when designers size the transformer for high-power operation. In addition, concentrating multiple windings on a single magnetic core limits transformer design flexibility and causes complex magnetic coupling among the windings. To effectively reduce light-load losses and enhance transformer design freedom, this paper introduces a new integrated charging architecture that utilizes two independent transformers. The proposed system adopts a dual-active-bridge (DAB) converter for high-voltage battery charging and a phase-shift full-bridge (PSFB) converter for low-voltage battery charging. The system supports both simultaneous high- and low-voltage battery charging and standalone low-voltage battery operation, and a dual-phase-shift (DPS) control strategy enables independent and proper power flow control. Experimental results obtained from an 11 kW OBC and a 3 kW LDC prototype demonstrate up to a 33% reduction in light-load losses during standalone LDC operation and confirm the feasibility of improving power density through the proposed 2-Trans-based architecture. Full article
Show Figures

Figure 1

19 pages, 3913 KB  
Article
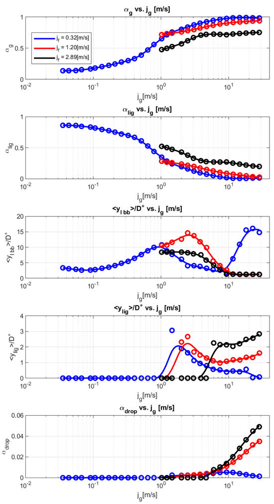
Objective Neural Network-Based Flow Regime Classifiers with Application to Vertical, Narrow, Rectangular Channels and Round Pipe Geometry
by Akshay Kumar Khandelwal, Charie A. Tsoukalas, Yang Zhao and Mamoru Ishii
J. Nucl. Eng. 2026, 7(1), 15; https://doi.org/10.3390/jne7010015 - 10 Feb 2026
Viewed by 227
Abstract
Objective neural network-based two-phase flow regime classifiers are developed for vertical, narrow, rectangular channels and a 1 inch round pipe using Kohonen Self-Organizing Maps. In the rectangular channel, the classifier uses five geometric inputs obtained from a two-sensor droplet-capable conductivity probe (DCCP-2): the [...] Read more.
Objective neural network-based two-phase flow regime classifiers are developed for vertical, narrow, rectangular channels and a 1 inch round pipe using Kohonen Self-Organizing Maps. In the rectangular channel, the classifier uses five geometric inputs obtained from a two-sensor droplet-capable conductivity probe (DCCP-2): the bulk gas void fraction αg, ligament void fraction αlig, normalized ligament chord length ylig, normalized large bubble chord length y,bb, and a droplet indicator. These parameters allow for the objective identification of bubbly/distorted bubbly, cap-turbulent, churn-turbulent, annular, rolling wispy, and wispy flow regimes, and yield quantitative transition boundaries in the (jf,jg) plane for a densely populated test matrix. In the round pipe, a four-sensor droplet-capable conductivity probe (DCCP-4) provides the mean and standard deviation of droplet, bubble, and ligament chord length distributions, which are used as inputs to a Self-Organizing Map (SOM) classifier that separates rolling annular and wispy annular regimes at high void fractions. The resulting regime maps are discussed in terms of the associated phase geometries and their impact on interfacial area, drag, and entrainment, providing regime-dependent geometric inputs that can be used to improve Two-Fluid Model closures for reactor downcomers, core channels, and other nuclear thermal–hydraulic applications. Full article
(This article belongs to the Special Issue Advances in Thermal Hydraulics of Nuclear Power Plants)
Show Figures

Figure 1

14 pages, 3488 KB  
Article
Study on the IMC Growth Mechanism of Cu/Sn-58Bi/Cu Joint Under Electromigration with Alternating Current
by Bo Wang, Peiying Zhu, Guopei Zhang, Chunyuan Deng, Kaixuan He, Wei Huang and Kailin Pan
Crystals 2026, 16(2), 127; https://doi.org/10.3390/cryst16020127 - 9 Feb 2026
Viewed by 163
Abstract
With the ongoing miniaturization of solder joints in three-dimensional integrated electronic packaging, electromigration reliability has become a pressing concern. This study systematically examines the interfacial intermetallic compound (IMC) growth behavior of Cu/Sn-58Bi/Cu joint under electromigration (EM) with a symmetrical square-wave alternating current (AC). [...] Read more.
With the ongoing miniaturization of solder joints in three-dimensional integrated electronic packaging, electromigration reliability has become a pressing concern. This study systematically examines the interfacial intermetallic compound (IMC) growth behavior of Cu/Sn-58Bi/Cu joint under electromigration (EM) with a symmetrical square-wave alternating current (AC). Electron backscatter diffraction (EBSD) was employed to perform statistical spatial analysis of Sn grain orientations within the joints to reveal the growth mechanism of interfacial IMC. Results demonstrate that the AC field markedly enhances the anisotropy of IMC growth in Cu/Sn-58Bi/Cu joints, exhibiting two phenomena: uniform growth on both sides and rapid growth (polar growth) on one side of the interfacial IMC. Among them, the IMC thickness difference characterization quantity ΔIMC reached as high as 45.56% for the latter. This is attributed to the directional regulation of atomic migration rate by Sn grain orientation (the angle θ between the c-axis and the electron flow) and is further amplified by the altered atomic diffusion pathways imposed by the Bi phase distribution. Specifically, the Sn grains exhibit a pronounced preferential orientation mode along the current path (horizontal direction), with an orientation gradient of 0.915 μm−1. The arrangement of Bi-rich phases alters the distribution of Sn grains in Cu/Sn-58Bi/Cu joints, thereby reshaping the internal electron transport pathways and significantly intensifying the orientation-dependent effect of IMC growth. Moreover, Sn grains adjacent to the Bi-rich phase boundaries (phase boundary grains) display a stronger tendency for c-axis orientation parallel to the current direction, exhibiting an average effective orientation parameter 1.948 times greater than that of bulk grains, which establishes a well-defined spatial orientation gradient. Full article
(This article belongs to the Special Issue Recent Research on Electronic Materials and Packaging Technology)
Show Figures

Figure 1

Back to TopTop