Sign in to use this feature.

Years

Between: -

Subjects

remove_circle_outline
remove_circle_outline
remove_circle_outline
remove_circle_outline
remove_circle_outline
remove_circle_outline
remove_circle_outline
remove_circle_outline
remove_circle_outline

Journals

Article Types

Countries / Regions

remove_circle_outline
remove_circle_outline
remove_circle_outline
remove_circle_outline

Search Results (159)

Search Parameters:
Keywords = tropical aquaculture

Order results
Result details
Results per page
Select all
Export citation of selected articles as:
21 pages, 2987 KB  
Article
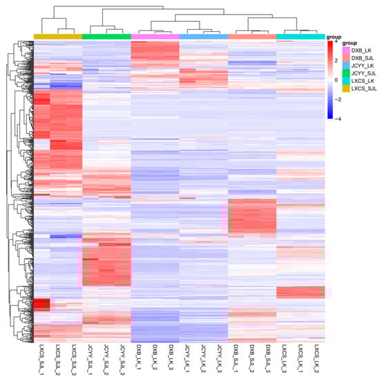
Lipidomic Profiling of Dechorionated Fertilized Eggs and Egg Chorion in Three Tropical Marine Fish Species: Insights into Reproductive Physiology and Nutrition
by Yi-Hong Liu, Hua-Yang Guo, Bao-Suo Liu, Teng-Fei Zhu, Lin Xian, Nan Zhang, Ke-Cheng Zhu, Jian-She Zhang and Dian-Chang Zhang
Biology 2026, 15(2), 172; https://doi.org/10.3390/biology15020172 - 17 Jan 2026
Viewed by 78
Abstract
Broodstock nutrition is a key determinant of reproductive output in marine fishes because lipids support yolk formation, embryonic development, and early larval viability. However, the allocation of lipid classes between fertilized eggs and the egg envelope (chorion) remains poorly characterized for many tropical [...] Read more.
Broodstock nutrition is a key determinant of reproductive output in marine fishes because lipids support yolk formation, embryonic development, and early larval viability. However, the allocation of lipid classes between fertilized eggs and the egg envelope (chorion) remains poorly characterized for many tropical species. In this study, we performed a comparative lipidomic analysis of dechorionated fertilized egg contents and isolated chorion from three tropical marine fishes (Trachinotus ovatus, Platax teira, and Plectropomus leopardus) using UHPLC–Q Exactive Orbitrap MS/MS. Multivariate analyses revealed clear tissue- and species-specific lipid patterns. Dechorionated eggs were enriched in energy-storage lipids, dominated by triacylglycerols and essential polyunsaturated fatty acids, whereas chorion tissues contained higher levels of structural and signaling lipids, including phosphatidylinositols and sphingolipids. Each species exhibited a distinct lipid signature, with T. ovatus characterized by higher secosteroids and free fatty acids, P. teira by glycerophosphoethanolamines and phosphoinositols, and P. leopardus by abundant triradylglycerols. Pathway enrichment highlighted glycerophospholipid metabolism and sphingolipid signaling as prominent processes during early development. These findings clarify lipid partitioning between dechorionated fertilized egg contents and the chorion and provide a biochemical rationale for optimizing species-specific broodstock diets to enhance egg quality in tropical marine aquaculture. Full article
Show Figures

Figure 1

20 pages, 4269 KB  
Article
Feasibility of Multi-Use Ocean Thermal Energy Conversion (OTEC) Platforms
by Andrea Copping, Hayley Farr, Christopher Rumple, Kyungmin Park and Zhaoqing Yang
J. Mar. Sci. Eng. 2026, 14(1), 64; https://doi.org/10.3390/jmse14010064 - 30 Dec 2025
Viewed by 290
Abstract
Many tropical islands and coastal communities suffer from high energy costs, unreliable electrical supplies, poverty, and underemployment, which are all exacerbated by climate change. Multi-use Ocean Thermal Energy Conversion (OTEC) systems could align with the goals and values of these underserved and remote [...] Read more.
Many tropical islands and coastal communities suffer from high energy costs, unreliable electrical supplies, poverty, and underemployment, which are all exacerbated by climate change. Multi-use Ocean Thermal Energy Conversion (OTEC) systems could align with the goals and values of these underserved and remote communities. Developing multi-use OTEC systems could help meet the United Nations’ Sustainable Development Goals #7 (Affordable and Clean Energy) and #13 (Climate Action). Multiple uses of OTEC water and power are explored in this study, including seawater air conditioning, desalination, support for aquaculture in tropical regions, and other uses. A use case for an onshore OTEC plant at the location of the existing OTEC plant in Kona, Hawaii, is examined to determine if sufficient thermal resources exist for OTEC power generation year-round, and to determine the potential for each value-added use. Potential environmental effects are evaluated using a new open-source numerical model for determining the risk from the discharge of large volumes of cold deep seawater in the ocean. Companies currently using the cold deep seawater pumped ashore at the Kona location were surveyed to determine their dependence on and interest in expanded OTEC and cold-water availability at the site. The analysis indicates that multi-use OTEC is feasible, with seawater air conditioning (SWAC), aquaculture, and desalination being the most compatible immediate additions, while future potential exists for adding extraction of critical minerals from seawater and e-fuel generation. Full article
(This article belongs to the Special Issue Ocean Thermal Energy Conversion and Utilization)
Show Figures

Figure 1

13 pages, 2069 KB  
Brief Report
Cryptic Divergence of Rochia nilotica (Gastropoda: Tegulidae) from Chuuk Lagoon, Federated States of Micronesia, Revealed by Morphological and Mitochondrial Genome Analyses
by Jong-Seop Shin, Yeong-Ji Park, Changju Lee, Heung-Sik Park, Dongsung Kim, Chi-une Song, Kyungman Kwon, Sang-Woo Hur, Byung-Hwa Min, June Kim and Hyun-Sung Yang
Animals 2025, 15(23), 3471; https://doi.org/10.3390/ani15233471 - 2 Dec 2025
Viewed by 440
Abstract
Rochia nilotica is a tropical Pacific gastropod inhabiting shallow coral reef habitats and supporting important marine resources in Pacific island nations. In this study, we analyzed specimens collected from Weno Island, Chuuk Atoll, Federation States of Micronesia (FSM), using an integrative approach that [...] Read more.
Rochia nilotica is a tropical Pacific gastropod inhabiting shallow coral reef habitats and supporting important marine resources in Pacific island nations. In this study, we analyzed specimens collected from Weno Island, Chuuk Atoll, Federation States of Micronesia (FSM), using an integrative approach that combined morphological characteristics, molecular phylogenetics (COX1 and 16S rRNA), and complete mitochondrial genome analysis. While the Chuuk population exhibited morphological features consistent with R. nilotica, molecular data revealed substantial genetic divergence. Phylogenetic analyses based on the complete mitochondrial genome (17,664 bp) clustered the Chuuk specimen with Rochia virgata. Phylogenies inferred from concatenated COX1 and 16S rRNA gene sequences yielded congruent topologies, placing the Chuuk lineage within the Rochia clade but clearly separated from other R. nilotica populations in New Caledonia and Mo’orea Island, French Polynesia. This genetic divergence is likely driven by the long-term geographic isolation of Chuuk Atoll. The lagoon’s fringing reefs descend rapidly into waters exceeding 4000 m, which may act as a barrier to restricting larval dispersal. Combined with the extremely short planktonic larval duration of R. nilotica (approximately four days), such environmental isolation may promote the formation of a distinct gene pool. Despite morphological uniformity, the observed genetic divergence suggests that the Chuuk population may represent a cryptic species. Our study provides a complete mitochondrial genome and offers robust phylogenetic framework that provides an understanding of species boundaries within Rochia. These findings underscore the importance of integrating genomic and morphological data for accurate species identification and have implications for conservation and sustainable aquaculture practices in geographically isolated reef ecosystems. Full article
Show Figures

Figure 1

22 pages, 1944 KB  
Article
Supplementation of Sage (Salvia officinalis) Essential Oil in Balanced Diets for Tropical Gar (Atractosteus tropicus) Larvae on Digestive and Antioxidant Enzyme Activities and Expression of Immune System Genes
by Yuliana Jiménez-León, Luis Daniel Jiménez-Martínez, Susana De La Rosa-García, Cesar Antonio Sepúlveda-Quiróz, Rafael Martínez-García, Graciela María Pérez-Jiménez, Otilio Méndez-Marín, Gloria Gertrudys Asencio-Alcudia and Carlos Alfonso Álvarez-González
Fishes 2025, 10(11), 586; https://doi.org/10.3390/fishes10110586 - 14 Nov 2025
Viewed by 467
Abstract
The tropical gar (Atractosteus tropicus) has significant ecological, economic, and cultural importance in southeast Mexico, where aquaculture is increasing and fish are frequently exposed to stress. In this sense, feed additives such as sage (Salvia officinalis) strengthen organisms’ growth, [...] Read more.
The tropical gar (Atractosteus tropicus) has significant ecological, economic, and cultural importance in southeast Mexico, where aquaculture is increasing and fish are frequently exposed to stress. In this sense, feed additives such as sage (Salvia officinalis) strengthen organisms’ growth, immune systems, antioxidant capacities, and digestive capabilities. A 30-day experiment was conducted on larvae to determine the effect of different concentrations of sage essential oil (0%, 0.5%, 1%, 1.5%, and 2% treatments) supplemented in balanced diets. Significant differences (p < 0.05) between 0.5% and 2% sage oil supplement treatments for average weight were found. The highest acid and alkaline proteases, chymotrypsin, leucine aminopeptidase, amylase, and lipase activities were obtained for the sage oil-supplemented treatments. In contrast, trypsin showed the highest activity for treatment 0%, followed by diets with 0.5% and 2% sage oil. Regarding the antioxidant enzymatic activity for GPx, CAT and SOD, the highest activity was obtained in the diet with 1% sage oil, while in PEROx, the highest activity was recorded in the treatment with 0%, 1.5% and 2% S. officinalis supplementation. On the other hand, for relative gene expression, the highest expression was observed in sage-supplemented treatments for the nod, zo-1, zo-2, and occ genes. In contrast, the lowest expression was found in supplemented treatments for the il-10 and muc2 genes. These findings suggest that incorporating sage essential oil into the diets of tropical gar larvae, particularly at concentrations of 1.66% and 1.77%, holds potential for enhancing aquaculture practices for this important species. Full article
(This article belongs to the Special Issue Use of Essential Oils in Aquaculture)
Show Figures

Graphical abstract

18 pages, 2686 KB  
Article
Sustainable Biopolymer Films from Amazonian Tambatinga Fish Waste: Gelatin Extraction and Performance for Food Packaging Applications
by Fernanda Ramalho Procopio, Rodrigo Vinícius Lourenço, Ana Mônica Q. B. Bitante, Paulo José do Amaral Sobral and Manuel Antônio Chagas Jacintho
Foods 2025, 14(22), 3866; https://doi.org/10.3390/foods14223866 - 12 Nov 2025
Viewed by 547
Abstract
Tambatinga (Colossoma macropomum × Piaractus brachypomus), a hybrid Amazonian fish recognized for its superior growth performance, represents a valuable and sustainable source of collagen-rich raw material. Due to its tropical origin, the species’ skin may contain higher levels of amino acids, [...] Read more.
Tambatinga (Colossoma macropomum × Piaractus brachypomus), a hybrid Amazonian fish recognized for its superior growth performance, represents a valuable and sustainable source of collagen-rich raw material. Due to its tropical origin, the species’ skin may contain higher levels of amino acids, which can enhance the functional and structural properties of gelatin derived from it. The valorization of fish processing residues for biopolymer production not only mitigates environmental impacts but also reinforces the principles of the circular economy within aquaculture systems. This study explores the development of biopolymer films from Tambatinga skin, an abundant by-product of Brazilian aquaculture. The skins were cleaned and subjected to a hot water–acid extraction process to obtain gelatin. The extracted gelatin exhibited high proline and hydroxyproline contents (12.47 and 9.84 g/100 g of amino acids, respectively) and a Bloom strength of 263.9 g, confirming its suitability for film formation. Films were prepared using 2 g of gelatin per 100 g of film-forming solution, with glycerol added at 10 and 20 g/100 g of gelatin. The resulting films were transparent, flexible, and showed uniform surfaces. Increasing the glycerol concentration reduced tensile strength (from 59.4 to 37.9 MPa) but improved elongation at break (from 116% to 159.1%) and modified the films’ thermal behavior. Moreover, Tambatinga gelatin films demonstrated excellent UV-blocking performance (below 300 nm) and lower water vapor permeability compared to other gelatin-based films reported in the literature. These findings highlight the potential of fish skin—typically regarded as industrial waste—as a renewable and high-value raw material for the production of sustainable biopolymers. This approach supports resource efficiency, waste reduction, and the broader goals of sustainable development and circular bioeconomy. Full article
Show Figures

Figure 1

12 pages, 2004 KB  
Article
Evaluating the Productivity of Jambu (Acmella oleracea) with Effluent from Tambaqui Culture: An Integrated Aquaculture—Agriculture Approach for the Amazon
by Glauber David Almeida Palheta, Andreza Mayra Baena Souza de Jesus, Larissa Matos Lima, Sávio Lucas de Matos Guerreiro, Nuno Filipe Alves Correia de Melo, Ronald Kennedy Luz, Fábio Carneiro Sterzelecki and Jessivaldo Rodrigues Galvão
Agriculture 2025, 15(22), 2332; https://doi.org/10.3390/agriculture15222332 - 9 Nov 2025
Viewed by 638
Abstract
The global demand for sustainable food systems requires innovative strategies that reconcile productivity with environmental stewardship, particularly in biodiversity-rich regions such as the Amazon. This study evaluated the cultivation of Acmella oleracea (jambu) using effluent from Colossoma macropomum (tambaqui) aquaculture as a partial [...] Read more.
The global demand for sustainable food systems requires innovative strategies that reconcile productivity with environmental stewardship, particularly in biodiversity-rich regions such as the Amazon. This study evaluated the cultivation of Acmella oleracea (jambu) using effluent from Colossoma macropomum (tambaqui) aquaculture as a partial substitute for chemical fertilizer. Five treatments were tested under greenhouse conditions: 100% fertilizer, 75% fertilizer, 50% fertilizer, 25% chemical, and 0% fertilizer. Significant treatment effects were observed for leaf number, plant height, stem diameter, and shoot biomass, while root biomass showed no differences. Treatments with 100%, 75%, and 50% fertilizer exhibited statistically similar performance across several growth parameters, indicating that up to 50% of the chemical fertilizer can be replaced by aquaculture effluent without significant yield reduction. Treatments with 50% fertilizer and 0% fertilizer showed reduced growth and higher tissue accumulation of nitrate and ammonium, reflecting nutritional imbalances. In parallel, tambaqui showed 100% survival and satisfactory growth, confirming the stability of the integrated system. These results highlight that, although exclusive use of effluent is insufficient to match chemical fertilizer, partial substitution represents a viable strategy to reduce input costs and recycle nutrients, reinforcing the bioeconomic potential of aqua-culture–agriculture integration in the Amazon. Full article
(This article belongs to the Section Agricultural Soils)
Show Figures

Graphical abstract

17 pages, 1450 KB  
Article
Enhancing Aquaculture Productivity via Polyculture with Colossoma macropomum: A Focus on Two Native Amazon Species
by Manhiro Flores-Iwasaki, Ronald Marcial-Ramos, Erik del Águila-Panduro, Miguelina Z. Silva-Zuta, Ilse S. Cayo-Colca and Segundo G. Chávez
Fishes 2025, 10(11), 563; https://doi.org/10.3390/fishes10110563 - 5 Nov 2025
Viewed by 1396
Abstract
Rapid population growth has increased the demand for sustainable systems to produce protein-rich foods. Aquaculture with native species offers a strategic alternative to enhance food security in the Amazon region. This study evaluated the productive performance of Liposarcus pardalis and Hypostomus hemicochliodon in [...] Read more.
Rapid population growth has increased the demand for sustainable systems to produce protein-rich foods. Aquaculture with native species offers a strategic alternative to enhance food security in the Amazon region. This study evaluated the productive performance of Liposarcus pardalis and Hypostomus hemicochliodon in polyculture with Colossoma macropomum at different stocking densities (1, 3, and 5 fish/m2) for 120 days. Both loricariid species exhibited high survival (>96%) and satisfactory growth, with optimal performance at intermediate densities (3 fish/m2). Polynomial regression estimated optimal stocking densities of 2.45 and 2.42 fish/m2 for L. pardalis and H. hemicochliodon, respectively. Polycultures with H. hemicochliodon yielded the highest biomass (22.11 ± 0.09 kg) and best feed conversion efficiency (FCE = 1.4), outperforming those with L. pardalis (19.36 ± 0.19 kg; FCE = 1.9). Although monoculture data for C. macropomum were not included, comparisons with published studies indicate that polyculture did not compromise its growth. The integration of native benthic, iliophagous species improves resource use and nutrient recycling, providing a sustainable strategy to enhance productivity and environmental efficiency in tropical aquaculture systems. Full article
(This article belongs to the Special Issue Integrated Multi-Trophic Aquaculture (IMTA))
Show Figures

Graphical abstract

17 pages, 1111 KB  
Article
Investigating Alternative Larval Feeding Strategies for Cherry Barb (Puntius titteya) Using Feed Attractants and Liquid Artemia Replacement Diets
by Travis G. Knorr, Casey A. Murray, Olivia I. Markham, Brittney D. Lacy, Amy L. Wood, Clayton N. Patmagrian and Matthew A. DiMaggio
Fishes 2025, 10(11), 540; https://doi.org/10.3390/fishes10110540 - 23 Oct 2025
Cited by 1 | Viewed by 530
Abstract
The cherry barb (Puntius titteya) is a staple of the ornamental aquaculture industry, with an estimated 60,000 individuals produced monthly in Florida, USA. On a commercial scale, small improvements in efficiency may yield considerable economic and operational benefits. This study investigated [...] Read more.
The cherry barb (Puntius titteya) is a staple of the ornamental aquaculture industry, with an estimated 60,000 individuals produced monthly in Florida, USA. On a commercial scale, small improvements in efficiency may yield considerable economic and operational benefits. This study investigated first-feeding protocols aimed at reducing the use of live Artemia spp. nauplii by evaluating microdiets (MDs) top-dressed with feed attractants and commercial liquid Artemia replacements (LAs). Larvae were fed MDs top-dressed with 0.25%, 0.50%, or 1.0% of L-alanine, betaine, or L-tryptophan for seven days. Diets with L-alanine and L-tryptophan significantly increased survival compared to the reference diet. A 21-day trial that tested three feed attractants combined into a single diet at previously determined inclusion levels (L-alanine, 0.5%; betaine, 0.25%; and L-tryptophan, 0.25%) showed no additive or synergistic survival benefits. No differences were observed for RNA/DNA ratios at 15 days post-hatch, suggesting no effect on larval quality. Additional experiments were conducted comparing the performance of two commercial LA diets (EZ Artemia Ultra [Zeigler Bros., Inc., Gardners, PA, USA] and LiquaLife® [Cargill Inc., Minneapolis, MN, USA]) against live Artemia. Partial Artemia replacement with EZ Artemia Ultra maintained comparable survival to larvae fed only Artemia. Larval growth was significantly reduced in 100% LA groups, suggesting limitations in nutrition or digestibility. These findings demonstrate that targeted use of feed attractants can enhance early rearing outcomes in P. titteya aquaculture, facilitating the goal of reducing Artemia use and increasing production efficiency and hatchery output. Full article
(This article belongs to the Special Issue Dietary Supplementation in Aquaculture)
Show Figures

Figure 1

22 pages, 3445 KB  
Article
Decoding the Impacts of Mating Behavior on Ovarian Development in Mud Crab (Scylla paramamosain, Estampador 1949): Insights from SMRT RNA-seq
by Chenyang Wu, Sadek Md Abu, Xiyi Zhou, Yang Yu, Mhd Ikhwanuddin, Waqas Waqas and Hongyu Ma
Biology 2025, 14(10), 1362; https://doi.org/10.3390/biology14101362 - 4 Oct 2025
Viewed by 1040
Abstract
Pubertal molting represents a pivotal transition in the life cycle of crustaceans, marking the shift from somatic growth to reproductive development. In mud crabs, mating is known to facilitate this process, yet the molecular mechanisms remain poorly understood. Here, we applied full-length transcriptome [...] Read more.
Pubertal molting represents a pivotal transition in the life cycle of crustaceans, marking the shift from somatic growth to reproductive development. In mud crabs, mating is known to facilitate this process, yet the molecular mechanisms remain poorly understood. Here, we applied full-length transcriptome sequencing to characterize changes in gene expression and alternative splicing (AS) across post-mating ovarian development. AS analysis revealed extensive transcript diversity, predominantly alternative first exon (AF) and alternative 5′ splice site (A5) events, enriched in genes linked to chromatin remodeling, protein regulation, and metabolism, underscoring AS as a fine-tuning mechanism in ovarian development. Comparative analyses revealed profound molecular reprogramming after mating. In the UM vs. M1 comparison, pathways related to serotonin and catecholamine signaling were enriched, suggesting early neuroendocrine regulation. Serotonin likely promoted, while dopamine inhibited, oocyte maturation, indicating a potential “inhibition–activation” switch. In the UM vs. M3 comparison, pathways associated with oxidative phosphorylation, ATP biosynthesis, and lipid metabolism were upregulated, reflecting heightened energy demands during vitellogenesis. ECM-receptor interaction, HIF-1, and IL-17 signaling pathways further pointed to structural remodeling and tissue regulation. Enhanced antioxidant defenses, including upregulation of SOD2, CAT, GPX4, and GSTO1, highlighted the importance of redox homeostasis. Together, these findings provide the first comprehensive view of transcriptional and splicing dynamics underlying post-mating ovarian maturation in Scylla paramamosain, offering novel insights into the molecular basis of crustacean reproduction. Full article
(This article belongs to the Section Marine and Freshwater Biology)
Show Figures

Figure 1

19 pages, 4745 KB  
Brief Report
Optimizing Shrimp Culture Through Environmental Monitoring: Effects of Water Quality and Metal Ion Profile on Whiteleg Shrimp (Litopenaeus vannamei) Performance in a Semi-Intensive Culture Pond
by Muhammad Farhan Nazarudin, Mohammad Amirul Faiz Zulkiply, Muhammad Hasif Samsuri, Nurul Aina Syakirah Khairil Anwar, Nur Syamimie Afiqah Jamal, Norfarrah Mohamed Alipiah, Mohd Ihsanuddin Ahmad, Norhariani Mohd Nor, Ina Salwany Md Yasin, Natrah Ikhsan, Mohammad Noor Amal Azmai and Mohd Hafiz Rosli
Water 2025, 17(19), 2818; https://doi.org/10.3390/w17192818 - 25 Sep 2025
Viewed by 3862
Abstract
Water quality management is crucial for sustainable whiteleg shrimp (Litopenaeus vannamei) aquaculture, though little research has comprehensively investigated the spatiotemporal fluctuation of trace elements in tropical semi-intensive ponds. This study investigated the water quality variations and trace element concentrations in an [...] Read more.
Water quality management is crucial for sustainable whiteleg shrimp (Litopenaeus vannamei) aquaculture, though little research has comprehensively investigated the spatiotemporal fluctuation of trace elements in tropical semi-intensive ponds. This study investigated the water quality variations and trace element concentrations in an earthen pond across a 56-day culture cycle during the dry season. Physicochemical parameters (temperature, pH, salinity, dissolved oxygen, ammonia, nitrite, and nitrate) and trace elements (Cu, Zn, Mn, Fe, and Mg) were measured concurrently with shrimp growth and survival. The DO and pH readings were observed to fluctuate significantly during the mid-to-late stages of culture, with DO nearing critical thresholds (<5.0 mg L−1). A sudden increase in ammonia and nitrite levels suggested the accumulation of organic matter and a microbial imbalance. Zinc concentrations (0.28–1.00 mg L−1) approached stress-inducing levels, while magnesium remained low (10.44–10.72 mg L−1). Pearson’s correlation revealed strong positive associations between ammonia and nitrate (r = 0.95) and between DO and pH (r = 0.94), while Mg was negatively correlated with Fe (r = −0.99) and nitrite (r = −0.88). Shrimp achieved 13.43 ± 0.73 g mean weight, with 77.8% survival and an FCR of 1.08. These results provide baseline evidence that combined water quality and trace element monitoring can become an early warning framework for pond management. Future studies integrating shrimp physiology and immune responses are needed to establish direct causal relationships. Full article
(This article belongs to the Section Water, Agriculture and Aquaculture)
Show Figures

Figure 1

35 pages, 1628 KB  
Review
Feed Additives in Aquaculture: Benefits, Risks, and the Need for Robust Regulatory Frameworks
by Ekemini Okon, Matthew Iyobhebhe, Paul Olatunji, Mary Adeleke, Nelson Matekwe and Reuben Okocha
Fishes 2025, 10(9), 471; https://doi.org/10.3390/fishes10090471 - 22 Sep 2025
Cited by 3 | Viewed by 2629
Abstract
Aquaculture currently supplies over half of the world’s fish and relies heavily on feed additives to enhance growth, improve feed efficiency, and increase disease resistance. This review consolidates peer-reviewed studies identified through targeted searches of Web of Science, Scopus, and Google Scholar, focusing [...] Read more.
Aquaculture currently supplies over half of the world’s fish and relies heavily on feed additives to enhance growth, improve feed efficiency, and increase disease resistance. This review consolidates peer-reviewed studies identified through targeted searches of Web of Science, Scopus, and Google Scholar, focusing on aquaculture feed additives. It emphasizes the principal classes of additives employed in finfish and shrimp cultivation, such as natural immunostimulants (including beta-glucans and nucleotides), probiotics, prebiotics, synbiotics, phytogenics, enzymes, and synthetic nutrients. For each, it summarizes their mechanisms of action, commonly reported inclusion rates, production outcomes, environmental risks, and regulatory statuses. Evidence indicates that immunostimulants enhance innate defences (including phagocyte activity and cytokine responses). Probiotics and prebiotics, on the other hand, regulate gut microbiota and barrier function. Phytogenics offer antimicrobial and antioxidant effects, and synthetic additives provide targeted nutrients or functional compounds that support growth and product quality. Where data are available, typical application ranges include probiotics in the order of 104–109 CFU per gram, prebiotics at approximately 2–10 g per kilogram, and pigments or antioxidants (such as astaxanthin) at 50–100 mg per kilogram. Significant gaps exist, notably the absence of species-specific dose–response data for tropical and subtropical aquaculture species, as well as limited experimental evidence regarding additive–additive interactions under commercial rearing conditions. Additional gaps include long-term ecological fate, regional regulatory discrepancies, and species-specific dose–response relationships. It is recommended that mechanistic studies employing omics approaches, standardised dose–response trials, and harmonized risk assessments be conducted to promote the sustainable and evidence-based application of feed additives. Full article
(This article belongs to the Special Issue Advances in Aquaculture Feed Additives)
Show Figures

Graphical abstract

20 pages, 1418 KB  
Article
Refining Larval Culture Protocols of Clownfish (Amphiprion ocellaris) to Reduce the Use of Live Feeds
by Casey A. Murray, Brittney D. Lacy, Olivia I. Markham and Matthew A. DiMaggio
Fishes 2025, 10(9), 461; https://doi.org/10.3390/fishes10090461 - 13 Sep 2025
Viewed by 1349
Abstract
Clownfish (Amphiprion ocellaris) are a staple commodity in the marine aquarium trade and an emerging model organism for research. Bottlenecks during larviculture affect the survival of juvenile fish and continued reliance on live feeds, such as rotifers (Brachionus spp.) and [...] Read more.
Clownfish (Amphiprion ocellaris) are a staple commodity in the marine aquarium trade and an emerging model organism for research. Bottlenecks during larviculture affect the survival of juvenile fish and continued reliance on live feeds, such as rotifers (Brachionus spp.) and Artemia spp. nauplii, increasing the complexity and cost of raising this species. This study utilized known digestive physiology of clownfish larvae to experimentally reduce the use of live feeds. First, larvae were weaned from rotifers to Artemia at three time points (3, 5, and 7 days post-hatch [DPH]), demonstrating that larvae can be transitioned to Artemia as early as 5 DPH without negative impacts on survival, total length (TL), or whole-body cortisol. A second weaning trial tested the introduction of a commercial microdiet (MD) at 5, 8, and 11 DPH. Survival was greatest when the MD was introduced at 5 DPH (mean ± SD; 64.47 ± 0.10%), and no differences in TL nor whole-body cortisol were detected, suggesting that Artemia may not be required prior to MD weaning. Next, three commercially available MDs were tested for their effects on survival, growth, and coloration of clownfish larvae. Survival and growth did not differ among diets, but fish fed TDO Chroma Boost™ exhibited significantly red-shifted hues, higher saturation, and greater brightness scores in some body regions compared to fish fed Golden Pearl or GEMMA Micro 300. A partial budget analysis indicated a net profit increase of ~$1.60 per fish, highlighting the potential for cost savings and streamlined clownfish production. Full article
(This article belongs to the Special Issue Intestinal Health of Aquatic Organisms)
Show Figures

Figure 1

15 pages, 2507 KB  
Article
Heat Tolerance in Magallana hongkongensis: Integrative Analysis of DNA Damage, Antioxidant Defense, and Stress Gene Regulation
by Tuo Yao, Xiaodi Wang, Jie Lu, Shengli Fu, Changhong Cheng and Lingtong Ye
Antioxidants 2025, 14(9), 1075; https://doi.org/10.3390/antiox14091075 - 2 Sep 2025
Viewed by 1195
Abstract
Water temperature stands as a crucial environmental element, exerting an impact on the survival and growth of organisms in aquaculture. Heat stress poses a significant threat to the survival and aquaculture of the Hong Kong oyster Magallana hongkongensis (also known as Crassostrea hongkongensis [...] Read more.
Water temperature stands as a crucial environmental element, exerting an impact on the survival and growth of organisms in aquaculture. Heat stress poses a significant threat to the survival and aquaculture of the Hong Kong oyster Magallana hongkongensis (also known as Crassostrea hongkongensis), yet the underlying physiological and molecular mechanisms remain poorly understood. This study investigated the effects of elevated temperatures (35 °C and 37 °C) on survival, DNA damage, antioxidant enzyme activities, and gene expression related to apoptosis, inflammation, and heat shock proteins (HSPs) in M. hongkongensis. The median lethal temperature (LT50) of M. hongkongensis was determined to be 37.09 °C, with significant mortality observed at 35 °C compared with the control (29 °C). Antioxidant enzyme activities (SOD, CAT, and GPx) and T-AOC were up-regulated initially but exhibited divergent patterns under prolonged stress, indicating a temperature-dependent threshold for oxidative defense. Comet assay results also showed that heat stress induced severe DNA damage in hemocytes. Moreover, heat stress significantly up-regulated mRNA expression of apoptosis-related genes (Caspase-2, Caspase-8, Bax, and P53), inflammatory genes (TNF, p38-MAPK, and AP-1), and HSP family members (Hsp70, Hsp90, Hsp27, and Hsp68). The expression peaks of these genes were generally earlier and more pronounced at 37 °C, reflecting intensified cellular damage and protective responses. Collectively, this study demonstrates that M. hongkongensis employs integrated antioxidant, apoptotic, inflammatory, and HSP-mediated mechanisms to counteract heat stress, but temperatures exceeding 35 °C disrupt these defenses, leading to survival impairment. These findings provide critical insights into the heat adaptation strategies of M. hongkongensis and serve as a scientific foundation for developing sustainable aquaculture practices to mitigate summer heat stress. Full article
(This article belongs to the Special Issue Natural Antioxidants and Aquatic Animal Health—2nd Edition)
Show Figures

Figure 1

19 pages, 935 KB  
Article
Effect of Nutrient Supplementation on the Biochemical Composition and Microbial Safety of Open-Pond Spirulina Cultivated in Cameroon
by Tchouli Noufeu, Tinghong Ming, Xiaoqun Zeng, Jiajie Xu, Mbezele Junior Yannick Ngaba, François Tchoumbougnang, Achille Njomoue Pandong, Salle Mpondo, Tchoulabi Keyeya and Moussa Gouife
Foods 2025, 14(17), 3009; https://doi.org/10.3390/foods14173009 - 28 Aug 2025
Viewed by 1721
Abstract
Spirulina (Arthrospira platensis) is globally recognized for its high nutritional value and potential as a sustainable food source. However, the influence of targeted nutrient supplementation on its biochemical composition and microbial safety under tropical open-pond conditions remains underexplored, particularly in sub-Saharan [...] Read more.
Spirulina (Arthrospira platensis) is globally recognized for its high nutritional value and potential as a sustainable food source. However, the influence of targeted nutrient supplementation on its biochemical composition and microbial safety under tropical open-pond conditions remains underexplored, particularly in sub-Saharan Africa. This study evaluated the effects of three nutrient supplementation regimes (compositions A, B, and C) and a control on Spirulina cultivated over 30 days in raceway ponds at the Nomayos Spirulina Production Farm in Cameroon. All treatments maintained physicochemical parameters within ranges favorable for Spirulina growth. Composition A significantly enhanced protein content (60.38 ± 0.68%), while composition C promoted carbohydrate accumulation (28.02 ± 0.41%). Microbial assessments revealed variable contamination levels, with composition B exhibiting the highest Escherichia coli (1.05 ± 0.075 × 105 CFU/g) and Salmonella/Shigella (4.09 ± 1.81 × 105 CFU/g) counts, potentially due to nutrient-induced changes or post-harvest handling factors. Correlation analyses revealed a moderate positive relationship between nitrogen input and protein synthesis (r = 0.309), which was not statistically significant (p = 0.329). Additionally, higher pH was significantly correlated with total mesophilic counts (r = 0.661, p = 0.019) and E. coli (r = 0.655, p = 0.020). These findings highlight the importance of nutrient formulation and environmental management in improving nutritional quality while minimizing microbial risks during Spirulina cultivation in tropical, low-tech settings. Full article
(This article belongs to the Section Food Nutrition)
Show Figures

Graphical abstract

16 pages, 1449 KB  
Article
The Effects of Salinity on the Survival, Growth, and Eco-Physiological Parameters of Juvenile Sea Urchin Diadema setosum
by Xuanliang Wang, Jieyu Zhang, Lei You, Yunyong Jin, Zhenhao Lin, Junhao Lin, Jinhui Wu and Zonghe Yu
Animals 2025, 15(16), 2462; https://doi.org/10.3390/ani15162462 - 21 Aug 2025
Viewed by 1533
Abstract
Diadema setosum is an economically important species in tropical and subtropical waters. To determine the optimal salinity for D. setosum aquaculture, we examined six salinity levels (20, 24, 28, 32, 36, and 40) during winter and spring, assessing their effects on survival, growth, [...] Read more.
Diadema setosum is an economically important species in tropical and subtropical waters. To determine the optimal salinity for D. setosum aquaculture, we examined six salinity levels (20, 24, 28, 32, 36, and 40) during winter and spring, assessing their effects on survival, growth, and eco-physiological parameters of juvenile D. setosum. Results showed that (1) in winter, the survival rate of juvenile D. setosum was highest at salinities of 28–36, with 100% survival at salinities of 32–36. During spring, all salinity groups reached 100% survival. (2) Juveniles exhibited optimal growth performances at salinities of 32–36 across all seasons, and negative growth occurred at lower salinities (20–24) during winter. (3) The juveniles exhibited higher oxygen consumption rate and ammonium excretion rate with an atomic O:N ratio > 25 at salinities of 32–36, indicating that carbon-based substrates were the primary catabolic substrate. Under salinity stress (<24 or >40), the O:N ratio declined significantly, reflecting that proteins were the main metabolic substrate. (4) Fecal excretion was higher in winter than in spring, possibly due to size and digestive efficiency differences. Studies confirmed that salinity and temperature exert significantly combined effects on D. setosum, with an optimal salinity range of 32–36. This work provides valuable insights for the breeding and aquaculture of this species. Full article
Show Figures

Figure 1

Back to TopTop