Supplementation of Sage (Salvia officinalis) Essential Oil in Balanced Diets for Tropical Gar (Atractosteus tropicus) Larvae on Digestive and Antioxidant Enzyme Activities and Expression of Immune System Genes
Abstract
1. Introduction
2. Materials and Methods
2.1. Chromatographic Characterization
2.2. Antimicrobial Activity
2.3. Sampling and Larviculture
2.4. Experimental Design
2.5. Preparation of Microparticulate Feeds
2.6. Fish Sampling
2.7. Digestive Enzyme Analysis
2.8. Antioxidant Enzyme Analysis
2.9. Analysis of Immune System Gene Expression
2.10. Statistical Analysis
3. Results
3.1. Chromatographic Characterization
3.2. Antimicrobial Activity of S. officinalis Essential Oil
3.3. Growth and Survival
3.4. Digestive Enzymes
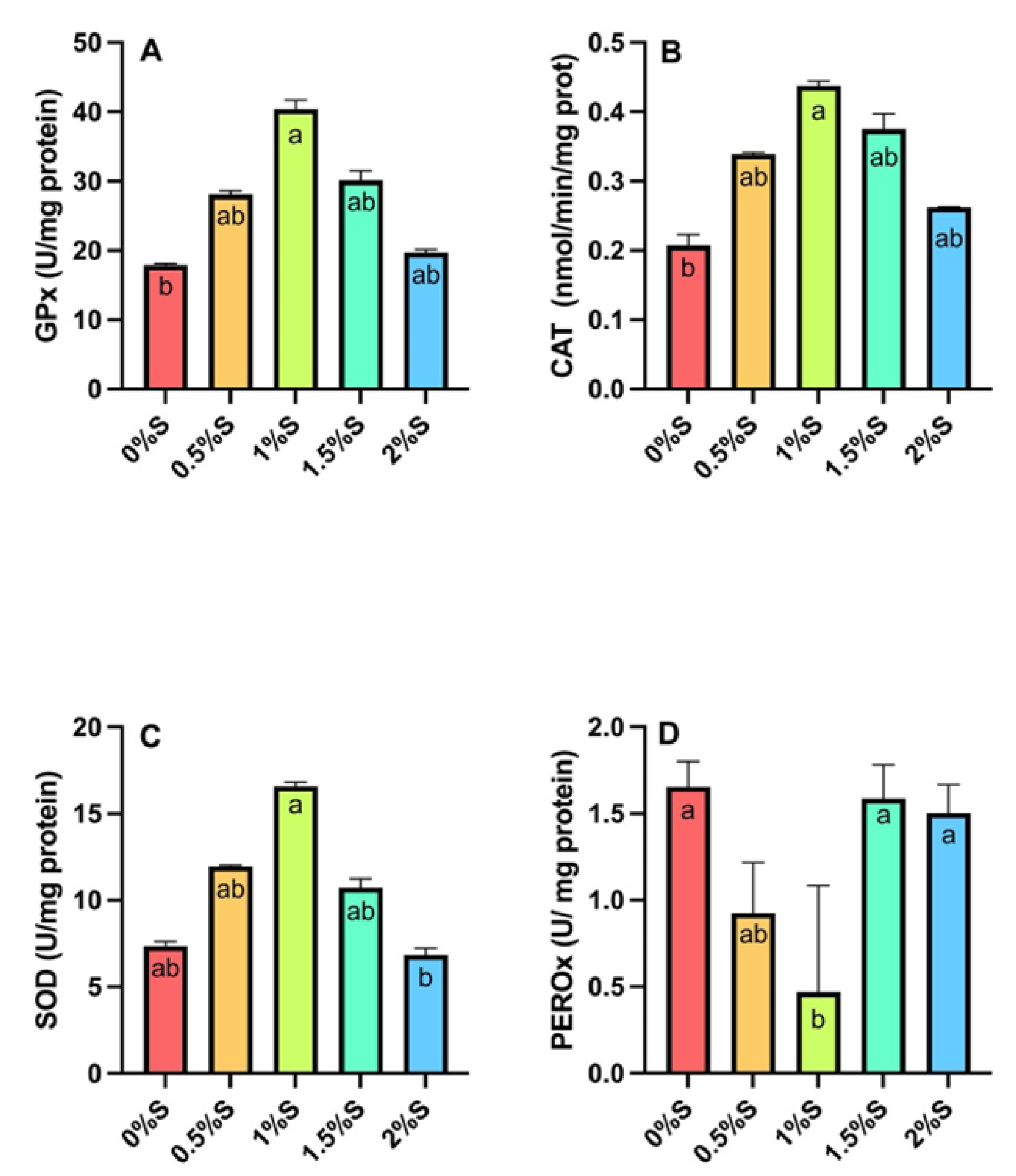
3.5. Oxidative Enzymes
3.6. Expression of Immune System Genes
4. Discussion
5. Conclusions
Author Contributions
Funding
Institutional Review Board Statement
Informed Consent Statement
Data Availability Statement
Acknowledgments
Conflicts of Interest
References
- FAO. Transformación Azul. Contribución de la Pesca y la Acuicultura al Nuevo Marco Estratégico de la FAO—COPPESAALC-XVIII-7. 2022. Available online: https://openknowledge.fao.org/items/b14f7614-8dbf-42c8-82af-fc71e68bc4ad (accessed on 17 May 2025).
- Manam, V.K. Fish feed nutrition and its management in aquaculture. Int. J. Fish. Aquat. Stud. 2023, 11, 58–61. [Google Scholar] [CrossRef]
- Rohani, M.F.; Islam, S.M.; Hossain, M.K.; Ferdous, Z.; Siddik, M.A.; Nuruzzaman, M.; Padeniya, U.; Brown, C.; Shahjahan, M. Probiotics, prebiotics and synbiotics improved the functionality of aquafeed: Upgrading growth, reproduction, immunity and disease resistance in fish. Fish Shellfish Immunol. 2022, 120, 569–589. [Google Scholar] [CrossRef]
- Wang, J.; Deng, L.; Chen, M.; Che, Y.; Li, L.; Zhu, L.; Chen, G.; Feng, T. Phytogenic feed additives as natural antibiotic alternatives in animal health and production: A review of the literature of the last decade. Anim. Nutr. 2024, 17, 244–264. [Google Scholar] [CrossRef]
- Onomu, A.J.; Okuthe, G.E. The Role of Functional Feed Additives in Enhancing Aquaculture Sustainability. Fishes 2024, 9, 167. [Google Scholar] [CrossRef]
- Firmino, J.P.; Galindo-Villegas, J.; Reyes-López, F.E.; Gisbert, E. Phytogenic Bioactive Compounds Shape Fish Mucosal Immunity. Front. Immunol. 2021, 12, 695973. [Google Scholar] [CrossRef]
- Farouk, S.M.; Yusuf, M.S.; El Nabtiti, A.A.S.; Abdelrazek, H.M.A. Effect of oregano essential oil supplementation on performance, biochemical, hematological parameters and intestinal histomorphometry of Japanese quail (Coturnix coturnix Japonica). Vet. Res. Forum 2020, 11, 219–227. [Google Scholar] [CrossRef]
- Hurtado, R.; Peltroche, N.; Mauricio, F.; Gallo, W.; Alvítez-Temoche, D.; Vilchez, L.; Mayta-Tovalino, F. Antifungal efficacy of four different concentrations of the essential oil of cinnamomum zeylanicum (Canela) against Candida albicans: An in vitro study. J. Int. Soc. Prev. Community Dent. 2020, 10, 724–730. [Google Scholar] [CrossRef]
- Jeena, K.; Liju, V.B.; Umadevi, N.P.; Kuttan, R. Antioxidant, Anti-inflammatory and Antinociceptive Properties of Black Pepper Essential Oil (Piper nigrum Linn). J. Essent. Oil-Bear. Plants 2014, 17, 1–12. [Google Scholar] [CrossRef]
- Metin, S.; Yigit, N.O.; Didinen, B.I.; Koca, S.B.; Ozmen, O.; Aslankoc, R.; Kara, N. Effects of sage (Salvia officinalis) essential oil on growth, health and antioxidant capacity of common carp (Cyprinus carpio). Vet. Res. Commun. 2024, 48, 911–921. [Google Scholar] [CrossRef] [PubMed]
- Zhao, H.; Ren, S.; Yang, H.; Tang, S.; Guo, C.; Liu, M.; Tao, Q.; Ming, T.; Xu, H. Peppermint essential oil: Its phytochemistry, biological activity, pharmacological effect and application. Biomed. Pharmacother. 2022, 154, 113559. [Google Scholar] [CrossRef] [PubMed]
- Pei, J.; Pan, X.; Wei, G.; Hua, Y. Research progress of glutathione peroxidase family (GPX) in redoxidation. Front. Pharmacol. 2023, 14, 1147414. [Google Scholar] [CrossRef]
- Ali, F.; Manzoor, U.; Khan, F.I.; Lai, D.; Khan, M.K.A.; Chandrashekharaiah, K.S.; Singh, L.R.; Dar, T.A. Effect of polyol osmolytes on the structure-function integrity and aggregation propensity of catalase: A comprehensive study based on spectroscopic and molecular dynamic simulation measurements. Int. J. Biol. Macromol. 2022, 209, 198–210. [Google Scholar] [CrossRef]
- Wang, Y.; Shi, H.; Li, T.; Yu, L.; Qi, Y.; Tian, G.; He, F.; Li, X.; Sun, N.; Liu, R. Size-dependent effects of nanoplastics on structure and function of superoxide dismutase. Chemosphere 2022, 309, 136768. [Google Scholar] [CrossRef]
- de Oliveira, F.K.; Santos, L.O.; Buffon, J.G. Mechanism of action, sources, and application of peroxidases. Food Res. Int. 2021, 143, 110266. [Google Scholar] [CrossRef] [PubMed]
- Farruggia, D.; Di Miceli, G.; Licata, M.; Leto, C.; Salamone, F.; Novak, J. Foliar application of various biostimulants produces contrasting response on yield, essential oil and chemical properties of organically grown sage (Salvia officinalis L.). Front. Plant Sci. 2024, 15, 1397489. [Google Scholar] [CrossRef] [PubMed]
- Conde-Hernández, L.A.; Luna-Guevara, M.L.; Luna-Guevara, J.J.; Pérez-Vázquez, J.; Aranda-García, R.J. Mexican sage (Salvia officinalis) extraction using factorial design and its effect on chemical and antibacterial properties. J. Chem. 2021, 2021, 5594278. [Google Scholar] [CrossRef]
- Durling, N.E.; Catchpole, O.J.; Grey, J.B.; Webby, R.F.; Mitchell, K.A.; Foo, L.Y.; Perry, N.B. Extraction of phenolics and essential oil from dried sage (Salvia officinalis) using ethanol-water mixtures. Food Chem. 2007, 101, 1417–1424. [Google Scholar] [CrossRef]
- Liu, Y.; Yu, X.; Zhao, J.; Zhang, H.; Zhai, Q.; Chen, W. The role of MUC2 mucin in intestinal homeostasis and the impact of dietary components on MUC2 expression. Int. J. Biol. Macromol. 2020, 164, 884–891. [Google Scholar] [CrossRef]
- Sun, H.; Wu, Y.; Zhang, Y.; Ni, B. IL-10-Producing ILCs: Molecular Mechanisms and Disease Relevance. Front. Immunol. 2021, 12, 650200. [Google Scholar] [CrossRef]
- Qiao, X.; Roth, I.; Féraille, E.; Hasler, U. Different effects of ZO-1, ZO-2 and ZO-3 silencing on kidney collecting duct principal cell proliferation and adhesion. Cell Cycle 2014, 13, 3059–3075. [Google Scholar] [CrossRef]
- Du, Y.; Duan, Y.; Zhang, S. The Role of Occludin in Vascular Endothelial Protection. In Endothelial Dysfunction—A Novel Paradigm; IntechOpen: London, UK, 2022. [Google Scholar] [CrossRef]
- Liu, Y.; Sheng, X.; Tang, X.; Xing, J.; Chi, H.; Zhan, W. Genome-wide identification, phylogenetic relationships and expression patterns of the NOD-like receptor (NLR) gene family in flounder (Paralichthys olivaceus). Fish Shellfish Immunol. 2023, 141, 109083. [Google Scholar] [CrossRef] [PubMed]
- Alanazi, S.M.; Alsaqer, R.A.; Alsaeed, F.I.; Almakhaytah, R.M.; Buwashl, N.T.; Mohamed, M.E.; Younis, N.S. Studying the actions of sage and thymoquinone combination on metabolic syndrome induced by high-fat diet in rats. Eur. Rev. Med. Pharmacol. Sci. 2023, 27, 2404–2418. [Google Scholar] [CrossRef]
- El-Kholy, K. Effect of marjoram (marjorana hortensis) or sage (Salvia officinalis) additives on growth performance and feed utilization of tilapia hybrid (oreochromis niloticus × oreochromis aureus) monosex fingerlings. J. Anim. Poult. Prod. 2012, 3, 115–126. [Google Scholar] [CrossRef]
- Sönmez, A.Y.; Bilen, S.; Alak, G.; Hisar, O.; Yanık, T.; Biswas, G. Growth performance and antioxidant enzyme activities in rainbow trout (Oncorhynchus mykiss) juveniles fed diets supplemented with sage, mint and thyme oils. Fish Physiol. Biochem. 2015, 41, 165–175. [Google Scholar] [CrossRef]
- Salomón, R.; Firmino, J.P.; Reyes-López, F.E.; Andree, K.B.; González-Silvera, D.; Esteban, M.A.; Tort, L.; Quintela, J.C.; Pinilla-Rosas, J.M.; Vallejos-Vidal, E.; et al. The growth promoting and immunomodulatory effects of a medicinal plant leaf extract obtained from Salvia officinalis and Lippia citriodora in gilthead seabream (Sparus aurata). Aquaculture 2020, 524, 735291. [Google Scholar] [CrossRef]
- Hussein, E.E.; El Basuini, M.F.; Ashry, A.M.; Habiba, M.M.; Teiba, I.I.; El-Rayes, T.K.; Khattab, A.A.A.; El-Hais, A.M.; Shahin, S.A.; El-Ratel, I.T.; et al. Effect of dietary sage (Salvia officinalis L.) on the growth performance, feed efficacy, blood indices, non-specific immunity, and intestinal microbiota of European sea bass (Dicentrarchus labrax). Aquac. Rep. 2023, 28, 101460. [Google Scholar] [CrossRef]
- Daniels, A.; Maiz-Tome, L. Atractosteus tropicus: IUCN Red List of Threatened Species; IUCN: Gland, Switzerland, 2018. [Google Scholar] [CrossRef]
- Maldonaldo, A.; Cruz, J.; Gómez, D.; López, L.; Fernández, A.; Peña-Marín, E.S.; Álvarez-González, C.A. Cultivo de Pejelagarto (Atractosteus tropicus); Centro del Cambio Global y Sustentabilidad A.C.: Tabasco, Mexico, 2020. [Google Scholar] [CrossRef]
- Márquez-Couturier, G.; Vázquez-Navarrete, C.J.; Contreras Sánchez, W.M.; Álvarez-González, C.A. Acuicultura Tropical Sustentable Una Estrategia para la Producción y Conservación del Pejelagarto (Atractosteus tropicus) en Tabasco, México, 2nd ed.; Universidad Juárez Autónoma de Tabasco: Tabasco, Mexico, 2015. [Google Scholar]
- Arellano-Carrasco, J.G.; Martínez-García, R.; Asiain-Hoyos, A.; Reta-Mendiola, J.L.; Díaz-Rivera, P.; Frías-Gómez, S.A.; Martínez-Burguete, T.; Asencio-Alcudia, G.G.; Jiménez-Martínez, L.D.; Guerrero-Zarate, R.; et al. Effects of Dietary Sodium Propionate on Growth, Digestive Enzyme Activity, and Expression of Immune System Genes in Juveniles of Tropical Gar (Atractosteus tropicus). Aquac. J. 2023, 3, 227–237. [Google Scholar] [CrossRef]
- Gobierno de México. Acuacultura|Pejelagarto. IMIPAS. 2017. Available online: https://www.gob.mx/imipas/acciones-y-programas/acuacultura-pejelagarto (accessed on 28 October 2025).
- Sepúlveda-Quiróz, C.A.; Martínez-García, R.; Asencio-Alcudia, G.G.; Pérez-Jiménez, G.M.; Jiménez-Martínez, L.D.; Alvarez-Villagomez, C.S.; De La Rosa-García, S.; Nuñez-Nogueira, G.; Guerrero-Zárate, R.; Méndez-Marín, O.; et al. Infraestructura y Desarrollo Tecnológico del Cultivo de Peces de agua Dulce y Marinos en Latinoamérica: Pejelagarto (Atractosteus tropicus); Red CYTET Larvaplus; Centro de Investigaciones Biológicas del Noroeste S.C.: La Paz, Mexico, 2025; p. 269. ISBN 978-607-7634-47-8. [Google Scholar]
- Arias-Rodríguez, L.; Páramo-Delgadillo, S.; Contreras-Sánchez, W.M.; Álvarez-González, C.A. Cariotipo del pejelagarto tropical Atractosteus tropicus (Lepisosteiformes: Lepisosteidae) y variación cromosómica en sus larvas y adultos. Rev. Biol. Trop. Int. J. Trop. Biol. 2009, 57, 529–539. [Google Scholar] [CrossRef]
- Del Rió-Portilla, M.A.; Vargas-Peralta, C.E.; Lafarga-De La Cruz, F.; Arias-Rodriguez, L.; Delgado-Vega, R.; Galván-Tirado, C.; Garciá-De-León, F.J. The complete mitochondrial DNA of the tropical gar (Atractosteus tropicus). Mitochondrial DNA 2016, 27, 557–558. [Google Scholar] [CrossRef] [PubMed]
- Jiménez-Martínez, L.D.; Álvarez-González, C.A.; De la Cruz-Hernández, E.; Tovar-Ramírez, D.; Galaviz, M.A.; Camarillo-Coop, S.; Martínez-García, R.; Concha-Frías, B.; Peña, E. Partial sequence characterization and ontogenetic expression of genes involved in lipid metabolism in the tropical gar (Atractosteus tropicus). Aquac. Res. 2018, 50, 162–172. [Google Scholar] [CrossRef]
- Jesús-De la Cruz Kde, M.; Ávila-Fernández, Á.; Peña-Marín, E.S.; Jiménez-Martínez, L.D.; Tovar-Ramírez, D.; Martínez-García, R.; Guerrero-Zárate, R.; Asencio-Alcudia, G.G.; Alvarez-González, C.A. Trypsin gene expression in adults and larvae of tropical gar Atractosteus tropicus. Fish Physiol. Biochem. 2020, 46, 145–155. [Google Scholar] [CrossRef]
- Jiménez Martínez, L.D.; Morales García, V.; Frías Quintana, C.A.; Castillo Collado Adel, C.; Asencio Alcudia, G.G.; Alvarez Villagomez, C.S.; Peña Marín, E.S.; Concha Frías, B.; Álvarez-González, C.A. Quality evaluation of reference gene expression on different tissues in adults of tropical gar Atractosteus tropicus. Pak. J. Zool. 2021, 54, 1–10. [Google Scholar] [CrossRef]
- Martínez-Burguete, T.; Peña-Marin, E.S.; García-Gasca, A.; Alvarez-González, C.A.; Llera-Herrera, R. Nutrigenomic marker discovery by de novo transcriptomic sequencing during early development of the tropical gar (Atractosteus tropicus). Aquac. Res. 2021, 52, 3829–3842. [Google Scholar] [CrossRef]
- Palacios Mejia, M.; Arias-Rodriguez, L.; Arciniega, M.; Rodríguez, V.; Barraza Sandoval, J.E.; Herrera, N.; Marroquín Mora, D.C.; Ulloa Rojas, J.B.; Márquez Couturier, G.; Voelker, G.; et al. Conservation genetics of the tropical gar (Atractosteus tropicus, Lepisosteidae). Conserv. Genet. 2023, 24, 405–415. [Google Scholar] [CrossRef]
- De La Cruz-Marín, E.; Martínez-García, R.; López-Hernández, J.F.; Méndez-Marín, O.; De la Rosa-García, S.C.; Peña-Marín, E.S.; Tovar-Ramírez, D.; Sepúlveda-Quiroz, C.A.; Pérez-Jiménez, G.M.; Jiménez-Martínez, L.D.; et al. Inulin Supplementation in Diets for Tropical Gar (Atractosteus tropicus) Larvae: Effects on Growth, Survival, and Digestive and Antioxidant Enzyme Activities. Aquac. J. 2023, 3, 43–55. [Google Scholar] [CrossRef]
- Pérez-Jiménez, G.M.; Peña-Marín, E.S.; Maytorena-Verdugo, C.I.; Sepúlveda-Quiroz, C.A.; Jiménez-Martínez, L.D.; De la Rosa-García, S.; Asencio-Alcudia, G.G.; Martínez, R.; Tovar-Ramírez, D.; Galaviz, M.A.; et al. Incorporation of Fructooligosaccharides in Diets Influence Growth Performance, Digestive Enzyme Activity, and Expression of Intestinal Barrier Function Genes in Tropical Gar (Atractosteus tropicus) Larvae. Fishes 2022, 7, 137. [Google Scholar] [CrossRef]
- Hernández-López, I.A.; Tovar-Ramírez, D.; De la Rosa-García, S.; Álvarez-Villagómez, C.S.; Asencio-Alcudia, G.G.; Martínez-Burguete, T.; Galaviz, M.A.; Guerrero-Zárate, R.; Martínez-García, R.; Peña-Marín, E.S.; et al. Dietary live yeast (Debaryomyces hansenii) provides no advantages in tropical gar, atractosteus tropicus (actinopterygii: Lepisosteiformes: Lepisosteidae), juvenile aquaculture. Acta Ichthyol. Piscat. 2021, 51, 311–320. [Google Scholar] [CrossRef]
- Maytorena-Verdugo, C.I.; Peña-Marín, E.S.; Alvarez-Villagómez, C.S.; Pérez-Jiménez, G.M.; Sepúlveda-Quiroz, C.A.; Alvarez-González, C.A. Inclusion of Mannan-Oligosaccharides in Diets for Tropical Gar Atractosteus tropicus Larvae: Effects on Growth, Digestive Enzymes, and Expression of Intestinal Barrier Genes. Fishes 2022, 7, 127. [Google Scholar] [CrossRef]
- Cigarroa-Ruiz, L.A.; Toledo-Solís, F.J.; Frías-Gómez, S.A.; Guerrero-Zárate, R.; Camarillo-Coop, S.; Alvarez-Villagómez, C.S.; Peña-Marín, E.S.; Galaviz, M.A.; Martínez-García, R.; Álvarez-González, C.A. Addition of β-glucans in diets for tropical gar (Atractosteus tropicus) larvae: Effects on growth, digestive enzymes and gene expression of intestinal epithelial integrity and immune system. Fish Physiol. Biochem. 2023, 49, 613–626. [Google Scholar] [CrossRef]
- Pérez-Jiménez, G.M.; Alvarez-Villagomez, C.S.; Martínez-Porchas, M.; Garibay-Valdez, E.; Sepúlveda-Quiroz, C.A.; Méndez-Marín, O.; Martínez-García, R.; Jesús-Contreras, R.; Alvarez-González, C.A.; De la Rosa-García, S.d.C. The Indigenous Probiotic Lactococcus lactis PH3-05 Enhances the Growth, Digestive Physiology, and Gut Microbiota of the Tropical Gar (Atractosteus tropicus) Larvae. Animals 2024, 14, 2663. [Google Scholar] [CrossRef]
- Frías-Quintana, C.; Álvarez-González, C.; Márquez-Couturier, G. Design of microdiets for the larviculture of tropical gar Atractosteus tropicus, Gill 1863. Univ. Cienc. 2010, 26, 265–282. [Google Scholar]
- Frías-Quintana, C.A.; Márquez-Couturier, G.; Alvarez-González, C.A.; Tovar-Ramírez, D.; Nolasco-Soria, H.; Galaviz-Espinosa, M.A.; Martínez-García, R.; Camarillo-Coop, S.; Martínez-Yañez, R.; Gisbert, E. Development of digestive tract and enzyme activities during the early ontogeny of the tropical gar Atractosteus tropicus. Fish Physiol. Biochem. 2015, 41, 1075–1091. [Google Scholar] [CrossRef]
- Guerrero-Zárate, R.; Olvera-Novoa, M.Á.; Jesus-Contreras, R.; Frías-Quintana, C.A.; Martínez-García, R.; Álvarez-González, C.A. Evaluation of protein and lipid ingredients through in vitro digestibility for tropical gar (Atractosteus tropicus) juveniles. Lat. Am. J. Aquat. Res. 2024, 52, 47–58. [Google Scholar] [CrossRef]
- Sepúlveda-Quiroz, C.A.; Pérez-Jiménez, G.M.; Asencio-Alcudia, G.G.; Mendoza-Porras, O.; Jiménez-Martínez, L.D.; Galaviz-Espinoza, M.A.; Tovar-Ramirez, D.; Martinez-Garcia, R.; Alvarez-Villagomez, C.S.; Alvarez-Gonzalez, C.A. Tryptophan Reduces Intracohort Cannibalism Behavior in Tropical Gar (Atractosteus tropicus) Larvae. Fishes 2024, 9, 40. [Google Scholar] [CrossRef]
- Bradford, M.M. A rapid and sensitive method for the quantitation of microgram quantities of protein utilizing the principle of protein-dye binding. Anal. Biochem. 1976, 72, 248–254. [Google Scholar] [CrossRef]
- World Organization for Animal Health (WOAH). Manual of Diagnostic Tests for Aquatic Animals, 11th ed.; WOAH: Paris, France, 2024. Available online: https://www.woah.org/es/que-hacemos/normas/codigos-y-manuales/ (accessed on 15 October 2025).
- Walter, H. Proteinases: Methods with hemoglobin, casein and azocoll as substrates. In Methods of Enzymatic Analysis; Bergmeyern, H.U., Ed.; Verlag Chemic Weinham: Weinheim, Germany, 1984; Volume V, pp. 270–277. [Google Scholar]
- Anson, M.L. The estimation of pepsin, trypsin, papain, and cathepsin with hemoglobin. J. Gen. Physiol. 1938, 22, 79–89. [Google Scholar] [CrossRef]
- Erlanger, B.F.; Kokowsky, N.; Cohen, W. The preparation and properties of two new chromogenic substrates of trypsin. Arch. Biochem. Biophys. 1961, 95, 271–278. [Google Scholar] [CrossRef]
- DelMar, E.G.; Largman, C.; Brodrick, J.W.; Geokas, M.C. A sensitive new substrate for chymotrypsin. Anal. Biochem. 1979, 99, 316–320. [Google Scholar] [CrossRef]
- Maroux, S.; Louvard, D.; Barath, J. The aminopeptidase from hog intestinal brush border. Biochim. Biophys. Acta Enzymol. 1973, 321, 282–295. [Google Scholar] [CrossRef]
- Robyt, J.F.; French, D. Multiple attack hypothesis of α-amylase action: Action of porcine pancreatic, human salivary, and Aspergillus oryzae α-amylases. Arch. Biochem. Biophys. 1967, 122, 8–16. [Google Scholar] [CrossRef]
- Versaw, W.K.; Cuppett, S.L.; Winters, D.D.; Williams, L.E. An Improved Colorimetric Assay for Bacterial Lipase in Nonfat Dry Milk. J. Food Sci. 1989, 54, 1557–1558. [Google Scholar] [CrossRef]
- Sepúlveda-Quiroz, C.A.; Peña-Marín, E.S.; Pérez-Morales, A.; Martínez-García, R.; Alvarez-Villagomez, C.S.; Maytorena-Verdugo, C.I.; Camarillo-Coop, S.; Vissio, P.G.; Sirkin, D.P.; Tovar-Ramírez, D.; et al. Fructooligosaccharide supplementation in diets for tropical gar (Atractosteus tropicus) juvenile: Effects on morphophysiology and intestinal barrier function. Aquac. Res. 2020, 52, 37–50. [Google Scholar] [CrossRef]
- Nieves-Rodríguez, K.N.; Álvarez-González, C.A.; Peña-Marín, E.S.; Vega-Villasante, F.; Martínez-García, R.; Camarillo-Coop, S.; Tovar-Ramírez, D.; Guzmán-Villanueva, L.T.; Andree, K.B.; Gisbert, E. Effect of β-Glucans in Diets on Growth, Survival, Digestive Enzyme Activity, and Immune System and Intestinal Barrier Gene Expression for Tropical Gar (Atractosteus tropicus) Juveniles. Fishes 2018, 3, 27. [Google Scholar] [CrossRef]
- Ilić, Z.S.; Kevrešan, Ž.; Šunić, L.; Stanojević, L.; Milenković, L.; Stanojević, J.; Milenković, A.; Cvetković, D. Chemical Profiling and Antioxidant Activity of Wild and Cultivated Sage (Salvia officinalis L.) Essential Oil. Horticulturae 2023, 9, 624. [Google Scholar] [CrossRef]
- Lee, S.; Kim, D.; Park, S.; Park, H. Phytochemistry and Applications of Cinnamomum camphora Essential Oils. Molecules 2022, 27, 2695. [Google Scholar] [CrossRef]
- Chen, Y.; Chen, F.; Liu, T.; Huang, Y.; Chen, Y.; Hsu, F. Analysis of Chemical Composition and Biological Activities of Essential Oils from Different Parts of Alpinia uraiensis Hayata. Molecules 2025, 30, 1515. [Google Scholar] [CrossRef]
- Tadtong, S.; Kamkaen, N.; Watthanachaiyingcharoen, R.; Ruangrungsi, N. Chemical Components of Four Essential Oils in Aromatherapy Recipe. Nat. Prod. Commun. 2015, 10, 1091–1092. [Google Scholar] [CrossRef]
- Zielińska-Błajet, M.; Feder-Kubis, J. Monoterpenes and Their Derivatives—Recent Development in Biological and Medical Applications. Int. J. Mol. Sci. 2020, 21, 7078. [Google Scholar] [CrossRef]
- Zhumaliyeva, G.; Zhussupova, A.; Zhusupova, G.E.; Błońska-Sikora, E.; Cerreto, A.; Omirbekova, N.; Zhunusbayeva, Z.; Gemejiyeva, N.; Ramazanova, M.; Wrzosek, M.; et al. Natural Compounds of Salvia L. Genus and Molecular Mechanism of Their Biological Activity. Biomedicines 2023, 11, 3151. [Google Scholar] [CrossRef]
- Assaggaf, H.M.; Mrabti, H.N.; Rajab, B.S.; Attar, A.A.; Alyamani, R.A.; Hamed, M.; Omari, N.E.; Menyiy, N.E.; Hazzoumi, Z.; Benali, T.; et al. Chemical Analysis and Investigation of Biological Effects of Salvia officinalis Essential Oils at Three Phenological Stages. Molecules 2022, 27, 5157. [Google Scholar] [CrossRef]
- Zdolec, N.; Franičević, M.; Klanac, L.; Kavain, I.; Batinić, J.; Zadravec, M.; Pleadin, J.; Čobanov, D.; Kiš, M. Antimicrobial Properties of Basil (Ocimum basilicum L.), Sage (Salvia officinalis L.), Lavender (Lavandula officinalis L.), Immortelle (Helichrysum italicum (Roth) G. Don), and Savory (Satureja montana L.) and Their Application in Hard Cheese Production. Hygiene 2024, 4, 135–145. [Google Scholar] [CrossRef]
- García-Beltrán, J.M.; Esteban, M.Á. Nature-identical compounds as feed additives in aquaculture. Fish Shellfish Immunol. 2022, 123, 409–416. [Google Scholar] [CrossRef]
- Kunkel, S.D.; Elmore, C.J.; Bongers, K.S.; Ebert, S.M.; Fox, D.K.; Dyle, M.C.; Bullard, S.A.; Adams, C.M. Ursolic Acid Increases Skeletal Muscle and Brown Fat and Decreases Diet-Induced Obesity, Glucose Intolerance and Fatty Liver Disease. PLoS ONE 2012, 7, e39332. [Google Scholar] [CrossRef]
- Mirghaed, A.T.; Hoseini, S.M.; Ghelichpour, M. Effects of dietary 1,8-cineole supplementation on physiological, immunological and antioxidant responses to crowding stress in rainbow trout (Oncorhynchus mykiss). Fish Shellfish Immunol. 2018, 81, 182–188. [Google Scholar] [CrossRef]
- Hoch, C.C.; Petry, J.; Griesbaum, L.; Weiser, T.; Werner, K.; Ploch, M.; Verschoor, A.; Multhoff, G.; Dezfouli, A.B.; Wollenberg, B. 1,8-cineole (eucalyptol): A versatile phytochemical with therapeutic applications across multiple diseases. Biomed. Pharmacother. 2023, 167, 115467. [Google Scholar] [CrossRef]
- Loussouarn, M.; Krieger-Liszkay, A.; Svilar, L.; Bily, A.; Birtić, S.; Havaux, M. Carnosic Acid and Carnosol, Two Major Antioxidants of Rosemary, Act through Different Mechanisms. Plant Physiol. 2017, 175, 1381–1394. [Google Scholar] [CrossRef]
- Li, X.; Zhang, Q.; Hou, N.; Li, J.; Liu, M.; Peng, S.; Zhang, Y.; Luo, Y.; Zhao, B.; Wang, S.; et al. Carnosol as a Nrf2 Activator Improves Endothelial Barrier Function Through Antioxidative Mechanisms. Int. J. Mol. Sci. 2019, 20, 880. [Google Scholar] [CrossRef]
- Li, K.; Wu, J.; Xu, S.; Li, X.; Zhang, Y.; Gao, X. Rosmarinic acid alleviates intestinal inflammatory damage and inhibits endoplasmic reticulum stress and smooth muscle contraction abnormalities in intestinal tissues by regulating gut microbiota. Microbiol. Spectr. 2023, 11, e01914-23. [Google Scholar] [CrossRef]
- Gonfa, Y.H.; Tessema, F.B.; Bachheti, A.; Rai, N.; Tadesse, M.G.; Singab, A.N.; Chaubey, K.K.; Bachheti, R.K. Anti-inflammatory activity of phytochemicals from medicinal plants and their nanoparticles: A review. Curr. Res. Biotechnol. 2023, 6, 100152. [Google Scholar] [CrossRef]
- Salehi, B.; Upadhyay, S.; Orhan, I.E.; Jugran, A.K.; Jayaweera, S.L.; Dias, D.A.; Sharopov, F.; Taheri, Y.; Martins, N.; Baghalpour, N.; et al. Therapeutic Potential of α- and β-Pinene: A Miracle Gift of Nature. Biomolecules 2019, 9, 738. [Google Scholar] [CrossRef]
- Amenotie, A.J.; Ben-Azu, B.; Esuku, D.T.; Chijioke, B.S.; Abo, E.; Ozah, E.O.; Lawrence, E.O.; Efejene, O.I.; Onyeukwu, O.B.; Alabi, B.A.; et al. Sabinene Inhibits Lipopolysaccharide-Induced Memory Decline by Enhancing Cholinergic Function, Decreasing Molybdenum Enzymes, and Suppressing Oxidative Stress and Neuroinflammation. Neurotox. Res. 2025, 43, 26. [Google Scholar] [CrossRef]
- Fu, Z.; Akula, S.; Thorpe, M.; Hellman, L. Marked difference in efficiency of the digestive enzymes pepsin, trypsin, chymotrypsin, and pancreatic elastase to cleave tightly folded proteins. Biol. Chem. 2021, 402, 861–867. [Google Scholar] [CrossRef]
- Arenas-Pardo, M.A.; Gaxiola-Cortés, M.G.; Barreto-Altamirano, A.F.; Del Carmen Paredes-Medina, A.; Palomino-Albarrán, I.G.; Balam-Uc, P.M.; Maldonado-Flores, J.C.; Álvarez-González, C.A. Changes in Digestive Enzyme Activities during Larval Development of Spotted Seatrout (Cynoscion nebulosus). Aquac. Nutr. 2024, 2024, 1309390. [Google Scholar] [CrossRef]
- Sharopov, F.S.; Wink, M.; Setzer, W.N. Radical Scavenging and Antioxidant Activities of Essential Oil Components—An Experimental and Computational Investigation. Nat. Prod. Commun. 2015, 10, 1934578X1501000135. [Google Scholar] [CrossRef]
- Baccouri, B.; Rajhi, I. Potential Antioxidant Activity of Terpenes. In Biochemistry; InTechOpen: London, UK, 2021. [Google Scholar] [CrossRef]
- Yang, N.; Xia, Z.; Shao, N.; Li, B.; Xue, L.; Peng, Y.; Zhi, F.; Yang, Y. Carnosic acid prevents dextran sulfate sodium-induced acute colitis associated with the regulation of the Keap1/Nrf2 pathway. Sci. Rep. 2017, 7, 11036. [Google Scholar] [CrossRef]
- Lin, G.; Li, N.; Li, D.; Chen, L.; Deng, H.; Wang, S.; Tang, J.; Ouyang, W. Carnosic acid inhibits NLRP3 inflammasome activation by targeting both priming and assembly steps. Int. Immunopharmacol. 2023, 116, 109819. [Google Scholar] [CrossRef]
- Habtemariam, S. Anti-Inflammatory Therapeutic Mechanisms of Natural Products: Insight from Rosemary Diterpenes, Carnosic Acid and Carnosol. Biomedicines 2023, 11, 545. [Google Scholar] [CrossRef]
- Vieira, S.F.; Ferreira, H.; Neves, N.M. Antioxidant and Anti-Inflammatory Activities of Cytocompatible Salvia officinalis Extracts: A Comparison between Traditional and Soxhlet Extraction. Antioxidants 2020, 9, 1157. [Google Scholar] [CrossRef]
- Abdel-Latif, H.M.; Abdel-Tawwab, M.; Khafaga, A.F.; Dawood, M.A. Dietary origanum essential oil improved antioxidative status, immune-related genes, and resistance of common carp (Cyprinus carpio L.) to Aeromonas hydrophila infection. Fish Shellfish. Immunol. 2020, 104, 1–7. [Google Scholar] [CrossRef]
- Karataş, T.; Korkmaz, F.; Karataş, A.; Yildirim, S. Effects of Rosemary (Rosmarinus officinalis) extract on growth, blood biochemistry, immunity, antioxidant, digestive enzymes and liver histopathology of rainbow trout, Oncorhynchus mykiss. Aquac. Nutr. 2020, 26, 1533–1541. [Google Scholar] [CrossRef]
- Ma, Y.; Shi, J.; Jia, L.; He, P.; Wang, Y.; Zhang, X.; Huang, Y.; Cheng, Q.; Zhang, Z.; Dai, Y.; et al. Oregano essential oil modulates colonic homeostasis and intestinal barrier function in fattening bulls. Front. Microbiol. 2023, 14, 1293160. [Google Scholar] [CrossRef] [PubMed]
- Abdel-Tawwab, M.; Elabd, H.; Mahboub, H.H.; Assayed, M.E.M.; Hamed, H.S.; Elsayyad, A.; Mohamed, E.M.M. The protective efficacy of dual dietary rosemary plus cinnamon mix against lead nitrate-induced immune suppression, genotoxicity, and oxidant/antioxidant status in Nile tilapia fingerlings. Aquac. Int. 2023, 32, 4009–4029. [Google Scholar] [CrossRef]
- Yildirim, A.; Türker, H. Bazı aromatik bitki esansiyel yağlarının patojenik balık bakterilerine karşı antibakteriyel aktivitesi. J. Limnol. Freshw. Fish. Res. 2018, 4, 67–74. [Google Scholar] [CrossRef]
- Terrazas-Pineda, K.A.; Alamilla-Beltrán, L.; Acero-Ortega, C.A.; Damas-Espinoza, J.A.; Calderón-Domínguez, G.; Mora-Escobedo, R.; Vega-Sánchez, V.; Anda, F.R.G. Antimicrobial Activity of Cinnamon, Tea Tree, and Thyme Essential Oils Against Pathogenic Bacteria Isolated from Tilapia (Oreochromis spp.) in Aquaculture Farms. Molecules 2025, 30, 2799. [Google Scholar] [CrossRef]
- Reis, D.R.; Ambrosi, A.; Di Luccio, M. Encapsulated essential oils: A perspective in food preservation. Future Foods 2022, 5, 100126. [Google Scholar] [CrossRef]





| Ingredients g/kg | Concentration of Salvia officinalis Essential Oil (%) | ||||
|---|---|---|---|---|---|
| 0 | 0.5 | 1 | 1.5 | 2 | |
| Fish meal a | 431 | 431 | 431 | 431 | 431 |
| Poultry meal a | 150 | 150 | 150 | 150 | 150 |
| Pork meal a | 150 | 150 | 150 | 150 | 150 |
| Corn starch b | 159 | 154 | 149 | 144 | 139 |
| Salvia sp. essential oil c | 0 | 5 | 10 | 15 | 20 |
| Fish oil d | 40 | 40 | 40 | 40 | 40 |
| Soy lecithin e | 40 | 40 | 40 | 40 | 40 |
| Grenetine f | 20 | 20 | 20 | 20 | 20 |
| Vit-Min Premix g | 5 | 5 | 5 | 5 | 5 |
| Vitamin C h | 5 | 5 | 5 | 5 | 5 |
| Chemical composition (g/100 g dry matter) | |||||
| Gross energy (Kj/g) | 17.69 | 17. 70 | 17.67 | 17.71 | 17.68 |
| Protein (%) | 43.69 | 44.57 | 43.33 | 42.99 | 43.14 |
| Ether extract (%) | 15.05 | 14.77 | 14.93 | 15.16 | 15.08 |
| Fiber (%) | 1.03 | 1.13 | 1.19 | 0.99 | 1.13 |
| Ash (%) | 15.06 | 14.92 | 14.16 | 15.26 | 14.38 |
| NFE (%) | 25.27 | 24.68 | 26.43 | 25.68 | 26. 25 |
| Gene Name | Symbol | Primer Sequence (5′-3′) | Amplicon Size (pb) | Reference |
|---|---|---|---|---|
| Elongation factor 1 α | ef-1 | FW: ACGCTGAAGGCCGGCATGGTG RV: GGATGTCCTTCACCGACACGTTC | - | [61] |
| Mucin 2 | muc-2 | FW: GGCCTCCTCAAGAGCACGGTG RV: TCTGCACGCTGGAGCACTCAATG | 100 | [62] |
| Interleucin-10 | il-10 | FW: TTATAAAGCCATGGGGGAGCTG RV: CTGCACAGTCTGCCTCTAGT | 91 | [47] |
| Occludens zone 1 | zo-1 | FW: TGTGCCTCAGATCACTCCAC RV: AAAGGCAGAGGGTTGGCTTC | 123 | [43] |
| Occludens zone 2 | zo-2 | FW: TACCCATGGAAAATGTGCCTCA RW: CGGGGTCTCTTCACGGTAAT | 88 | [43] |
| Occludine | occ | FW: TGACGAATACCACAGACTGAAG RW: CGATCATAGTCGCTGACCATC | 123 | [61] |
| Nucleotide-binding oligomerization | nod-2 | FW: GTAGTGAACAAGGAGGCGGAC RV: TGAGCTCATCCAGGCCATCG | 295 | [61] |
| Compound Name | % Retention Area | Compound Name | % Retention Area |
|---|---|---|---|
| Camphor | 27.368 | trans-β-Ocimene | 0.067 |
| 1,8-Cineole | 18.514 | cis-Sabinene hydrate | 0.063 |
| α-Pinene | 11.547 | cis-β-Ocimene | 0.053 |
| D-Limonene | 8.582 | δ-Cadinene | 0.052 |
| Linalyl acetate | 5.981 | α-Phellandrene | 0.05 |
| Camphene | 4.641 | Bornyl propionate | 0.046 |
| Borneol | 4.014 | Myrtenol | 0.045 |
| Bornyl acetate | 2.978 | α-Terpinene | 0.041 |
| β-Pinene | 2.886 | Neryl acetate | 0.039 |
| α-Terpineol | 1.815 | α-Campholenal | 0.038 |
| Linalool | 1.672 | Isoborneol | 0.033 |
| β-Myrcene | 1.368 | Pinocarvone | 0.033 |
| α-Terpinyl acetate | 1.272 | cis-Linalool oxide | 0.031 |
| trans-Sabinyl acetate | 1.072 | p-Cymen-8-ol | 0.031 |
| Sabinene | 0.774 | α-Gurjunene | 0.030 |
| β-Caryophyllene | 0.636 | α-Muurolene | 0.029 |
| p-Cymene | 0.591 | δ-Terpinyl acetate | 0.028 |
| cis-p-Mentha-2,8-dien-1-ol | 0.558 | trans-p-Mentha-2,8-dien-1-ol | 0.026 |
| 4-Terpineol | 0.412 | γ-Cadinene | 0.024 |
| γ-Terpinene | 0.321 | Longifolene | 0.023 |
| α-Humulene | 0.187 | Fenchol | 0.022 |
| Tricyclene | 0.185 | β-Elemene | 0.021 |
| Geranyl propionate | 0.184 | Thujone | 0.020 |
| α-Terpinolene | 0.165 | Shyobunol | 0.019 |
| Spathulenol | 0.142 | tau.-Cadinol | 0.017 |
| Geranyl acetate | 0.141 | δ-3-carene | 0.015 |
| α-Thujene | 0.114 | Carvacrol | 0.015 |
| Bicyclogermacrene | 0.089 | Alloaromadendrene | 0.013 |
| Viridiflorol | 0.083 | Aromandendrene | 0.011 |
| β-Caryophyllene oxide | 0.071 | α-Cadinol | 0.01 |
| Salvia officinalis Essential Oil (%) | |||||||
|---|---|---|---|---|---|---|---|
| Collection No. | Microorganism | Well Diffusion (mm) | Disk Diffusion (mm) | ||||
| 100 | 50 | 25 | 100 | 50 | 25 | ||
| NCIBM 11343 | Aeromonas hydrophila | 20.11 | 15.95 | 12.76 | 15.04 | 12.48 | 9.92 |
| CAIM 1873 | Aeromonas dhakensis | 19.95 | 16.12 | 13.17 | 12.64 | 10.72 | 7.52 |
| CAIM 1876 | Aeromonas ichthiosmia | 19.66 | 15.11 | 13.61 | 8.16 | 7.36 | 7.52 |
| CAIM 658 | Staphylococcus arlettae | 16.68 | 14.35 | 12.69 | NA | NA | NA |
| UJAT 002 | Staphylococcus arlettae | 15.94 | 13.83 | 12.51 | NA | NA | NA |
| ATCC 17802 | Vibrio parahaemolitycum | 19.80 | 17.50 | 13.91 | 13.60 | 11.41 | 9.14 |
| CAIM 1622 | Vibrio harveyi | 18.71 | 15.90 | 13.61 | NA | NA | NA |
| CIBGEN 001 | Vibrio campbellii | 19.35 | 16.47 | 14.00 | 9.80 | NA | NA |
| CIBGEN 002 | Vibrio diabolicus | 22.43 | 18.98 | 16.05 | 9.74 | 9.43 | 7.52 |
| CAIM 1910 | Photobacterium damselae | 17.97 | 16.12 | 14.42 | 14.45 | 12.60 | 11.17 |
| Indexes | 0%S | 0.5%S | 1%S | 1.5%S | 2%S |
|---|---|---|---|---|---|
| Initial weight (g) | 0.112 ± 0.061 | 0.111 ± 0.052 | 0.115 ± 0.041 | 0.117 ± 0.055 | 0.112 ± 0.057 |
| Final weight (g) | 0.23 ± 0.07 b | 0.48 ± 0.22 a | 0.42 ± 0.19 ab | 0.39 ± 0.08 ab | 0.49 ± 0.17 a |
| Weight gain (%) 2 | 47.1 ± 19.5 | 73.9 ± 9.6 | 69.1 ± 12.7 | 69.4 ± 6.4 | 75.1 ± 9.47 |
| SGR (%/day) 1 | 5.2 ± 0.3 | 6.0 ± 0.4 | 5.8 ± 0.4 | 5.8 ± 0.2 | 6.0 ± 0.4 |
| CF 3 | 0.29 ± 0.08 | 0.33 ± 0.03 | 0.37 ± 0.04 | 0.33 ± 0.05 | 0.33 ± 0.02 |
| DFI (g) 4 | 1.12 ± 0.04 | 1.11 ± 0.07 | 1.15 ± 0.05 | 1.17 ± 0.03 | 1.12 ± 0.05 |
| FCR 5 | 4.13 ± 2.17 | 1.34 ± 0.39 | 2.05 ± 0.74 | 2.71 ± 1.69 | 1.41 ± 0.73 |
| Survival (%) 6 | 41.7 ± 11.5 | 58.3 ± 15.3 | 45.0 ± 10.0 | 41.7 ± 20.8 | 61.7 ± 27.5 |
Disclaimer/Publisher’s Note: The statements, opinions and data contained in all publications are solely those of the individual author(s) and contributor(s) and not of MDPI and/or the editor(s). MDPI and/or the editor(s) disclaim responsibility for any injury to people or property resulting from any ideas, methods, instructions or products referred to in the content. |
© 2025 by the authors. Licensee MDPI, Basel, Switzerland. This article is an open access article distributed under the terms and conditions of the Creative Commons Attribution (CC BY) license (https://creativecommons.org/licenses/by/4.0/).
Share and Cite
Jiménez-León, Y.; Jiménez-Martínez, L.D.; De La Rosa-García, S.; Sepúlveda-Quiróz, C.A.; Martínez-García, R.; Pérez-Jiménez, G.M.; Méndez-Marín, O.; Asencio-Alcudia, G.G.; Álvarez-González, C.A. Supplementation of Sage (Salvia officinalis) Essential Oil in Balanced Diets for Tropical Gar (Atractosteus tropicus) Larvae on Digestive and Antioxidant Enzyme Activities and Expression of Immune System Genes. Fishes 2025, 10, 586. https://doi.org/10.3390/fishes10110586
Jiménez-León Y, Jiménez-Martínez LD, De La Rosa-García S, Sepúlveda-Quiróz CA, Martínez-García R, Pérez-Jiménez GM, Méndez-Marín O, Asencio-Alcudia GG, Álvarez-González CA. Supplementation of Sage (Salvia officinalis) Essential Oil in Balanced Diets for Tropical Gar (Atractosteus tropicus) Larvae on Digestive and Antioxidant Enzyme Activities and Expression of Immune System Genes. Fishes. 2025; 10(11):586. https://doi.org/10.3390/fishes10110586
Chicago/Turabian StyleJiménez-León, Yuliana, Luis Daniel Jiménez-Martínez, Susana De La Rosa-García, Cesar Antonio Sepúlveda-Quiróz, Rafael Martínez-García, Graciela María Pérez-Jiménez, Otilio Méndez-Marín, Gloria Gertrudys Asencio-Alcudia, and Carlos Alfonso Álvarez-González. 2025. "Supplementation of Sage (Salvia officinalis) Essential Oil in Balanced Diets for Tropical Gar (Atractosteus tropicus) Larvae on Digestive and Antioxidant Enzyme Activities and Expression of Immune System Genes" Fishes 10, no. 11: 586. https://doi.org/10.3390/fishes10110586
APA StyleJiménez-León, Y., Jiménez-Martínez, L. D., De La Rosa-García, S., Sepúlveda-Quiróz, C. A., Martínez-García, R., Pérez-Jiménez, G. M., Méndez-Marín, O., Asencio-Alcudia, G. G., & Álvarez-González, C. A. (2025). Supplementation of Sage (Salvia officinalis) Essential Oil in Balanced Diets for Tropical Gar (Atractosteus tropicus) Larvae on Digestive and Antioxidant Enzyme Activities and Expression of Immune System Genes. Fishes, 10(11), 586. https://doi.org/10.3390/fishes10110586

