Sign in to use this feature.

Years

Between: -

Subjects

remove_circle_outline
remove_circle_outline
remove_circle_outline
remove_circle_outline
remove_circle_outline
remove_circle_outline
remove_circle_outline
remove_circle_outline
remove_circle_outline

Journals

Article Types

Countries / Regions

Search Results (35)

Search Parameters:
Keywords = triangle interpolation

Order results
Result details
Results per page
Select all
Export citation of selected articles as:
14 pages, 255 KB  
Article
The Retention of Information in the Presence of Increasing Entropy Using Lie Algebras Defines Fibonacci-Type Sequences
by Joseph E. Johnson
Symmetry 2025, 17(9), 1454; https://doi.org/10.3390/sym17091454 - 4 Sep 2025
Viewed by 455
Abstract
In the general linear Lie algebra of continuous linear transformations in n dimensions, we show that unequal Abelian scaling transformations on the components of a vector can stabilize the system information in the presence of Markov component transformations on the vector, which, alone, [...] Read more.
In the general linear Lie algebra of continuous linear transformations in n dimensions, we show that unequal Abelian scaling transformations on the components of a vector can stabilize the system information in the presence of Markov component transformations on the vector, which, alone, would lead to increasing entropy. The more interesting results follow from seeking Diophantine (integer) solutions, with the result that the system can be stabilized with constant information for each of a set of entropy rates (k=1,2,3, ). The first of these—the simplest—where k=1, results in the Fibonacci sequence, with information determined by the olden mean, and Fibonacci interpolating functions. Other interesting results include the fact that a new set of higher order generalized Fibonacci sequences, functions, golden means, and geometric patterns emerges for k=2, 3,  Specifically, we define the kth order golden mean as Φk=k/2+(k/2)2+1 for k =1, 2, 3, .. One can easily observe that one can form a right triangle with sides of 1 and k/2 and that this will give a hypotenuse of (k/2)2+1. Thus, the sum of the k/2 side plus the hypotenuse of these triangles so proportioned will give geometrically the exact value of the golden means for any value of k relative to the third side with a value of unity. The sequential powers of the matrix (k2+1,k,k,1) for any integer value of k provide a generalized Fibonacci sequence. Also, using the general equation expressed as Φk=k2+(k/2)2+1 for k =1,2,3, , one can easily prove that Φk=k+1/Φk which is a generalization of the familiar equation expressed as Φ=1+1/Φ. We suggest that one could look for these new ratios and patterns in nature, with the possibility that all of these systems are connected with the retention of information in the presence of increasing entropy. Thus, we show that two components of the general linear Lie algebra (GL(n,R)), acting simultaneously with certain parameters, can stabilize the information content of a vector over time. Full article
(This article belongs to the Special Issue Supersymmetry Approaches in Quantum Mechanics and Field Theory)
32 pages, 2983 KB  
Article
TS-SMOTE: An Improved SMOTE Method Based on Symmetric Triangle Scoring Mechanism for Solving Class-Imbalanced Problems
by Shihao Song and Sibo Yang
Symmetry 2025, 17(8), 1326; https://doi.org/10.3390/sym17081326 - 14 Aug 2025
Viewed by 551
Abstract
The imbalanced classification problem is a key research in machine learning as the relevant algorithms tend to focus on the features and patterns of the majority class instead of insufficient learning of the minority class, resulting in unsatisfactory performance of machine learning. Scholars [...] Read more.
The imbalanced classification problem is a key research in machine learning as the relevant algorithms tend to focus on the features and patterns of the majority class instead of insufficient learning of the minority class, resulting in unsatisfactory performance of machine learning. Scholars have attempted to solve this problem and proposed many ideas at the data and algorithm levels. The SMOTE (Synthetic Minority Over-sampling Technique) method is an effective approach at the data level. In this paper, we propose an oversampling method based on SMOTE and symmetric regular triangles scoring mechanism. This method uses symmetrical triangles to flatten the plane, and then establishes a suitable scoring mechanism to select the minority samples that participate in the synthesis. After selecting the minority samples, it conducts multiple linear interpolations according to the established rules to generate new minority samples. In the experimental section, we select 30 imbalanced datasets to test their performance of the proposed method and some classical oversampling methods under different indicators. In order to demonstrate the performance of these oversampling methods with classifiers, we select three different classifiers and test their performance. The experimental results show that the TS-SMOTE method has the best performance. Full article
(This article belongs to the Special Issue Advances in Neural Network/Deep Learning and Symmetry/Asymmetry)
Show Figures

Figure 1

16 pages, 335 KB  
Article
Locally RSD-Generated Parametrized G1-Spline Surfaces Interpolating First-Order Data over 3D Triangular Meshes
by László L. Stachó
AppliedMath 2025, 5(3), 83; https://doi.org/10.3390/appliedmath5030083 - 2 Jul 2025
Viewed by 318
Abstract
Given a triangular mesh in R3 with a family of points associated with its vertices along with vectors associated with its edges, we propose a novel technique for the construction of locally generated fitting parametrized G1-spline interpolation surfaces. The method consists of [...] Read more.
Given a triangular mesh in R3 with a family of points associated with its vertices along with vectors associated with its edges, we propose a novel technique for the construction of locally generated fitting parametrized G1-spline interpolation surfaces. The method consists of a G1 correction over the mesh edges of the mesh triangles, produced using reduced side derivatives (RSDs) introduced earlier by the author in terms of the barycentric weight functions. In the case of polynomial RSD shape functions, we establish polynomial edge corrections via an algorithm with an independent interest in determining the optimal GCD cofactors with the lowest degree for arbitrary families of polynomials. Full article
9 pages, 6245 KB  
Article
Multi-Instance Zero-Watermarking Algorithm for Vector Geographic Data
by Qifei Zhou, Lin Yan, Zihao Wang, Na Ren and Changqing Zhu
ISPRS Int. J. Geo-Inf. 2025, 14(2), 54; https://doi.org/10.3390/ijgi14020054 - 30 Jan 2025
Viewed by 923
Abstract
To address the variability and complexity of attack types, this paper proposes a multi-instance zero-watermarking algorithm that goes beyond the conventional one-to-one watermarking approach. Inspired by the class-instance paradigm in object-oriented programming, this algorithm constructs multiple zero watermarks from a single vector geographic [...] Read more.
To address the variability and complexity of attack types, this paper proposes a multi-instance zero-watermarking algorithm that goes beyond the conventional one-to-one watermarking approach. Inspired by the class-instance paradigm in object-oriented programming, this algorithm constructs multiple zero watermarks from a single vector geographic dataset to enhance resilience against diverse attacks. Normalization is applied to eliminate dimensional and deformation inconsistencies, ensuring robustness against non-uniform scaling attacks. Feature triangle construction and angle selection are further utilized to provide resistance to interpolation and compression attacks. Moreover, angular features confer robustness against translation, uniform scaling, and rotation attacks. Experimental results demonstrate the superior robustness of the proposed algorithm, with normalized correlation values consistently maintaining 1.00 across various attack scenarios. Compared with existing methods, the algorithm exhibits superior comprehensive robustness, effectively safeguarding the copyright of vector geographic data. Full article
(This article belongs to the Topic Recent Advances in Security, Privacy, and Trust)
Show Figures

Figure 1

20 pages, 321 KB  
Article
Some Innovative Results for Interpolative Reich–Rus–Ćirić-Type Contractions in Rectangular m-Metric Spaces
by Muhammad Zahid, Ali Raza and Safeer Hussain Khan
Axioms 2024, 13(12), 829; https://doi.org/10.3390/axioms13120829 - 27 Nov 2024
Viewed by 793
Abstract
In this paper, we study the existence of fixed points for interpolative Reich–Rus–Ćirić-type contractions in the setting of rectangular m-metric spaces. The use of the rectangular inequality, in place of the conventional triangle inequality, introduces a higher level of complexity in the [...] Read more.
In this paper, we study the existence of fixed points for interpolative Reich–Rus–Ćirić-type contractions in the setting of rectangular m-metric spaces. The use of the rectangular inequality, in place of the conventional triangle inequality, introduces a higher level of complexity in the computations, requiring more careful and refined analysis. We consider two distinct cases based on the sum of the interpolative exponents: one where the sum is less than 1, and another where the sum exceeds 1. The results we present generalize several existing theorems in the literature, and each is supplemented with illustrative examples to demonstrate their applicability. Moreover, we deduce corresponding results on m-metric spaces from these results, which are new themselves. They are also validated through examples. Full article
19 pages, 7670 KB  
Article
Automated Maximum Torque per Ampere Identification for Synchronous Reluctance Machines with Limited Flux Linkage Information
by Shuo Wang, Vasyl Varvolik, Yuli Bao, Ahmed Aboelhassan, Michele Degano, Giampaolo Buticchi and He Zhang
Machines 2024, 12(2), 96; https://doi.org/10.3390/machines12020096 - 29 Jan 2024
Cited by 4 | Viewed by 2594
Abstract
The synchronous reluctance machine is well-known for its highly nonlinear magnetic saturation and cross-saturation characteristics. For high performance and high-efficiency control, the flux-linkage maps and maximum torque per ampere table are of paramount importance. This study proposes a novel automated online searching method [...] Read more.
The synchronous reluctance machine is well-known for its highly nonlinear magnetic saturation and cross-saturation characteristics. For high performance and high-efficiency control, the flux-linkage maps and maximum torque per ampere table are of paramount importance. This study proposes a novel automated online searching method for obtaining accurate flux-linkage and maximum torque per ampere Identification. A limited 6 × 2 dq-axis flux-linkage look-up table is acquired by applying symmetric triangle pulses during the self-commissioning stage. Then, three three-dimensional modified linear cubic spline interpolation methods are applied to extend the flux-linkage map. The proposed golden section searching method can be easily implemented to realize higher maximum torque per ampere accuracy after 11 iterations with a standard drive, which is a proven faster solution with reduced memory sources occupied. The proposed algorithm is verified and tested on a 15-kW SynRM drive. Furthermore, the iterative and execution times are evaluated. Full article
(This article belongs to the Special Issue Electrical Machines and Drives: Modeling, Simulation and Testing)
Show Figures

Figure 1

19 pages, 3788 KB  
Article
Investigation of the Application of Complex Function Theory in Underground Mine Design: A Case Study
by Lihai Tan, Huaide Peng, Xuefeng Si and Qibin Lin
Appl. Sci. 2023, 13(22), 12142; https://doi.org/10.3390/app132212142 - 8 Nov 2023
Cited by 1 | Viewed by 1417
Abstract
This study, with the engineering background of the design of a stope involving a sublevel mining method in a certain underground metal mine, explored the application of stress-solving methods based on the complex variable function theory in actual engineering. Three mathematical calculation models [...] Read more.
This study, with the engineering background of the design of a stope involving a sublevel mining method in a certain underground metal mine, explored the application of stress-solving methods based on the complex variable function theory in actual engineering. Three mathematical calculation models based on the functions of a complex variable were established. Through triangle interpolation, mapping functions of a plane with a roadway section and a plane with the stope section were determined. An improved Schwarz alternating method was adopted to study the stability of the roadway and the influence of an adjacent roadway from the perspective of the stress field. In addition, in light of the distribution characteristics of a gangue in the stope, the design parameters of a pillar were optimized, with the pillar’s optimal dimensions determined. The results showed that when the magnitudes of two far-field principal stresses in the rock mass are relatively close, the distribution of the surrounding rock stress around the roadway is more uniform, and tensile stress is less likely to occur. The excavation of a neighboring roadway exacerbates to some extent the side stress of the other roadway, especially the compressive stress concentration on the side closer to the neighboring roadway. However, when the distance between the two roadways is significantly larger than the roadway size, this effect is not pronounced. In the engineering case studied in this research, the thickness of the pillar is approximately linearly positively correlated with the safety factor of the pillar approximately linearly negatively correlated with the recovery rate. Overall, this research explored the application of the complex variable function theory in an underground mine design, demonstrating its accuracy and practicality. Full article
Show Figures

Figure 1

17 pages, 4083 KB  
Article
Applying New Algorithms for Numerical Integration on the Sphere in the Far Field of Sound Pressure
by Stjepan Piličić, Ante Skoblar, Roberto Žigulić and Luka Traven
Acoustics 2023, 5(4), 999-1015; https://doi.org/10.3390/acoustics5040057 - 28 Oct 2023
Viewed by 2661
Abstract
For some sound sources, the function of the square of sound pressure amplitudes on the sphere in the far field is an integrable function or can be integrated with geometrical simplifications, so an exact or approximated analytical expression for the sound power can [...] Read more.
For some sound sources, the function of the square of sound pressure amplitudes on the sphere in the far field is an integrable function or can be integrated with geometrical simplifications, so an exact or approximated analytical expression for the sound power can be calculated. However, often the sound pressure on the sphere in the far field can only be defined in discrete points, for which a numerical integration is required for the calculation of the sound power. In this paper, two new algorithms, Anchored Radially Projected Integration on Spherical Triangles (ARPIST) and Spherical Quadrature Radial Basis Function (SQRBF), for surface numerical integration are used to calculate the sound power from the sound pressures on the sphere surface in the far field, and their solutions are compared with the analytical and the finite element method solution. If function values are available at any location on a sphere, ARPIST has a greater accuracy and stability than SQRBF while being faster and easier to implement. If function values are available only at user-prescribed locations, SQRBF can directly calculate weights while ARPIST needs data interpolation to obtain function values at predefined node locations, which reduces the accuracy and increases the calculation time. Full article
Show Figures

Figure 1

28 pages, 9610 KB  
Article
Triangle-Mesh-Rasterization-Projection (TMRP): An Algorithm to Project a Point Cloud onto a Consistent, Dense and Accurate 2D Raster Image
by Christina Junger, Benjamin Buch and Gunther Notni
Sensors 2023, 23(16), 7030; https://doi.org/10.3390/s23167030 - 8 Aug 2023
Cited by 6 | Viewed by 3722
Abstract
The projection of a point cloud onto a 2D camera image is relevant in the case of various image analysis and enhancement tasks, e.g., (i) in multimodal image processing for data fusion, (ii) in robotic applications and in scene analysis, and (iii) for [...] Read more.
The projection of a point cloud onto a 2D camera image is relevant in the case of various image analysis and enhancement tasks, e.g., (i) in multimodal image processing for data fusion, (ii) in robotic applications and in scene analysis, and (iii) for deep neural networks to generate real datasets with ground truth. The challenges of the current single-shot projection methods, such as simple state-of-the-art projection, conventional, polygon, and deep learning-based upsampling methods or closed source SDK functions of low-cost depth cameras, have been identified. We developed a new way to project point clouds onto a dense, accurate 2D raster image, called Triangle-Mesh-Rasterization-Projection (TMRP). The only gaps that the 2D image still contains with our method are valid gaps that result from the physical limits of the capturing cameras. Dense accuracy is achieved by simultaneously using the 2D neighborhood information (rx,ry) of the 3D coordinates in addition to the points P(X,Y,V). In this way, a fast triangulation interpolation can be performed. The interpolation weights are determined using sub-triangles. Compared to single-shot methods, our algorithm is able to solve the following challenges. This means that: (1) no false gaps or false neighborhoods are generated, (2) the density is XYZ independent, and (3) ambiguities are eliminated. Our TMRP method is also open source, freely available on GitHub, and can be applied to almost any sensor or modality. We also demonstrate the usefulness of our method with four use cases by using the KITTI-2012 dataset or sensors with different modalities. Our goal is to improve recognition tasks and processing optimization in the perception of transparent objects for robotic manufacturing processes. Full article
Show Figures

Figure 1

27 pages, 27314 KB  
Article
A New Multi-Level Grid Multiple-Relaxation-Time Lattice Boltzmann Method with Spatial Interpolation
by Zhixiang Liu, Shengyong Li, Jun Ruan, Wenbo Zhang, Liping Zhou, Dongmei Huang and Jingxiang Xu
Mathematics 2023, 11(5), 1089; https://doi.org/10.3390/math11051089 - 22 Feb 2023
Cited by 11 | Viewed by 3635
Abstract
The traditional multi-level grid multiple-relaxation-time lattice Boltzmann method (MRT-LBM) requires interpolation calculations in time and space. It is a complex and computationally intensive process. By using the buffer technique, this paper proposes a new multi-level grid MRT-LBM which requires only spatial interpolation calculations. [...] Read more.
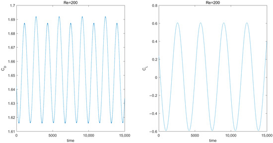
The traditional multi-level grid multiple-relaxation-time lattice Boltzmann method (MRT-LBM) requires interpolation calculations in time and space. It is a complex and computationally intensive process. By using the buffer technique, this paper proposes a new multi-level grid MRT-LBM which requires only spatial interpolation calculations. The proposed method uses a center point format to store multi-level grid information. The grid type determination in the flow field calculation domain is done using the axis aligned bounding box (AABB) triangle overlap test. According to the calculation characteristics of MRT-LBM, the buffer grid is proposed for the first time at the interface of different levels of grids, which is used to remove the temporal interpolation calculation and simplify the spatial interpolation calculation. The corresponding multi-level grid MRT-LBM algorithm is also presented for two-dimensional and three-dimensional flow field calculation problems. For the two-dimensional problem of flow around a circular cylinder, the simulation results show that a four-level grid MRT-LBM proposed in this paper can accurately obtain the aerodynamic coefficients and Strouhal number at different Reynolds numbers, and it has about 1/9 of the total number of grids as a single-level grid MRT-LBM and is 6.76 times faster. For the three-dimensional flow calculation problem, the numerical experiments of flow past a sphere are simulated to verify the numerical precision of the presented method at Reynolds numbers = 100, 200, 250, 300, and 1000. With the streamlines and velocity contours, it is demonstrated that the multi-level grid MRT-LBM can be calculated accurately even at the interface of different size grids. Full article
(This article belongs to the Section E1: Mathematics and Computer Science)
Show Figures

Figure 1

16 pages, 5299 KB  
Article
Normalized Weighting Schemes for Image Interpolation Algorithms
by Olivier Rukundo
Appl. Sci. 2023, 13(3), 1741; https://doi.org/10.3390/app13031741 - 29 Jan 2023
Cited by 7 | Viewed by 3245
Abstract
Image interpolation algorithms pervade many modern image processing and analysis applications. However, when their weighting schemes inefficiently generate very unrealistic estimates, they may negatively affect the performance of the end-user applications. Therefore, in this work, the author introduced four weighting schemes based on [...] Read more.
Image interpolation algorithms pervade many modern image processing and analysis applications. However, when their weighting schemes inefficiently generate very unrealistic estimates, they may negatively affect the performance of the end-user applications. Therefore, in this work, the author introduced four weighting schemes based on some geometric shapes for digital image interpolation operations. Moreover, the quantity used to express the extent of each shape’s weight was the normalized area, especially when the sums of areas exceeded a unit square size. The introduced four weighting schemes are based on the minimum side-based diameter (MD) of a regular tetragon, hypotenuse-based radius (HR), the virtual pixel length-based height for the area of the triangle (AT), and the virtual pixel length for hypotenuse-based radius for the area of the circle (AC). At the smaller scaling ratio, the image interpolation algorithm based on the HR scheme scored the highest at 66.6% among non-traditional image interpolation algorithms presented. However, at the higher scaling ratio, the AC scheme-based image interpolation algorithm scored the highest at 66.6% among non-traditional algorithms presented, and, here, its image interpolation quality was generally superior or comparable to the quality of images interpolated by both non-traditional and traditional algorithms. Full article
(This article belongs to the Special Issue Recent Advances in Image Processing)
Show Figures

Figure 1

10 pages, 1069 KB  
Article
On a Surface Associated to the Catalan Triangle
by Marilena Jianu, Sever Achimescu, Leonard Dăuş, Ion Mierluş-Mazilu, Adela Mihai and Daniel Tudor
Axioms 2022, 11(12), 685; https://doi.org/10.3390/axioms11120685 - 30 Nov 2022
Cited by 2 | Viewed by 1843
Abstract
We define a surface that interpolates the ballot numbers in the Catalan triangle corresponding to every pair of nonnegative integers (except for the origin). We study the geometric properties of this surface and prove that it contains exactly five half-lines. The mean curvature [...] Read more.
We define a surface that interpolates the ballot numbers in the Catalan triangle corresponding to every pair of nonnegative integers (except for the origin). We study the geometric properties of this surface and prove that it contains exactly five half-lines. The mean curvature and the Gauss curvature of the surface are also calculated. Full article
(This article belongs to the Special Issue Differential Geometry and Its Application)
Show Figures

Figure 1

11 pages, 1867 KB  
Article
Cheney–Sharma Type Operators on a Triangle with Straight Sides
by Teodora Cătinaş
Symmetry 2022, 14(11), 2446; https://doi.org/10.3390/sym14112446 - 18 Nov 2022
Cited by 2 | Viewed by 1558
Abstract
We consider two types of Cheney–Sharma operators for functions defined on a triangle with all straight sides. We construct their product and Boolean sum, we study their interpolation properties and the orders of accuracy and we give different expressions of the corresponding remainders, [...] Read more.
We consider two types of Cheney–Sharma operators for functions defined on a triangle with all straight sides. We construct their product and Boolean sum, we study their interpolation properties and the orders of accuracy and we give different expressions of the corresponding remainders, highlighting the symmetry between the methods. We also give some illustrative numerical examples. Full article
(This article belongs to the Special Issue Numerical Analysis, Approximation Theory, Differential Equations)
Show Figures

Figure 1

14 pages, 3850 KB  
Article
RT Engine: An Efficient Hardware Architecture for Ray Tracing
by Run Yan, Libo Huang, Hui Guo, Yashuai Lü, Ling Yang, Nong Xiao, Yongwen Wang, Li Shen and Mengqiao Lan
Appl. Sci. 2022, 12(19), 9599; https://doi.org/10.3390/app12199599 - 24 Sep 2022
Cited by 5 | Viewed by 4751
Abstract
The reality of the ray tracing technology that leads to its rendering effect is becoming increasingly apparent in computer vision and industrial applications. However, designing efficient ray tracing hardware is challenging due to memory access issues, divergent branches, and daunting computation intensity. This [...] Read more.
The reality of the ray tracing technology that leads to its rendering effect is becoming increasingly apparent in computer vision and industrial applications. However, designing efficient ray tracing hardware is challenging due to memory access issues, divergent branches, and daunting computation intensity. This article presents a novel architecture, a RT engine (Ray Tracing engine), that accelerates ray tracing. First, we set up multiple stacks to store information for each ray so that the RT engine can process many rays parallel in the system. The information in these stacks can effectively improve the performance of the system. Second, we choose the three-phase break method during the triangle intersection test, which can make the loop break earlier. Third, the reciprocal unit adopts the approximation method, which combines Parabolic Synthesis and Second-Degree interpolation. Combined with these strategies, we implement our system at RTL level with agile chip development. Simulation and experimental results show that our architecture achieves a performance per area which is 2.4 × greater than the best reported results for ray tracing on dedicated hardware. Full article
Show Figures

Figure 1

16 pages, 1382 KB  
Article
Towards Incompressible Laminar Flow Estimation Based on Interpolated Feature Generation and Deep Learning
by Thi-Thu-Huong Le, Hyoeun Kang and Howon Kim
Sustainability 2022, 14(19), 11996; https://doi.org/10.3390/su141911996 - 22 Sep 2022
Cited by 8 | Viewed by 2788
Abstract
For industrial design and the improvement of fluid flow simulations, computational fluid dynamics (CFD) solvers offer practical functions and conveniences. However, because iterative simulations demand lengthy computation times and a considerable amount of memory for sophisticated calculations, CFD solvers are not economically viable. [...] Read more.
For industrial design and the improvement of fluid flow simulations, computational fluid dynamics (CFD) solvers offer practical functions and conveniences. However, because iterative simulations demand lengthy computation times and a considerable amount of memory for sophisticated calculations, CFD solvers are not economically viable. Such limitations are overcome by CFD data-driven learning models based on neural networks, which lower the trade-off between accurate simulation performance and model complexity. Deep neural networks (DNNs) or convolutional neural networks (CNNs) are good illustrations of deep learning-based CFD models for fluid flow modeling. However, improving the accuracy of fluid flow reconstruction or estimation in these earlier methods is crucial. Based on interpolated feature data generation and a deep U-Net learning model, this work suggests a rapid laminar flow prediction model for inference of Naiver–Stokes solutions. The simulated dataset consists of 2D obstacles in various positions and orientations, including cylinders, triangles, rectangles, and pentagons. The accuracy of estimating velocities and pressure fields with minimal relative errors can be improved using this cutting-edge technique in training and testing procedures. Tasks involving CFD design and optimization should benefit from the experimental findings. Full article
(This article belongs to the Section Sustainable Management)
Show Figures

Figure 1

Back to TopTop