Sign in to use this feature.

Years

Between: -

Subjects

remove_circle_outline
remove_circle_outline
remove_circle_outline
remove_circle_outline
remove_circle_outline
remove_circle_outline
remove_circle_outline
remove_circle_outline

Journals

Article Types

Countries / Regions

Search Results (42)

Search Parameters:
Keywords = transmission tower foundation

Order results
Result details
Results per page
Select all
Export citation of selected articles as:
21 pages, 5944 KB  
Article
Effect of Vibratory Mixing on the Quasi-Static and Dynamic Compressive Properties of a Sustainable Concrete for Transmission Tower Foundations
by Guangtong Sun, Xingliang Chen, Fei Yang, Xinri Wang, Wanhui Feng and Hongzhong Li
Buildings 2026, 16(2), 310; https://doi.org/10.3390/buildings16020310 - 11 Jan 2026
Viewed by 79
Abstract
This study addresses the need for flexible and high-toughness materials for transmission tower pile foundations subjected to typhoons and earthquakes by investigating the static and dynamic mechanical behavior of rubberized concrete prepared using vibratory mixing. The objectives are to assess how vibratory mixing [...] Read more.
This study addresses the need for flexible and high-toughness materials for transmission tower pile foundations subjected to typhoons and earthquakes by investigating the static and dynamic mechanical behavior of rubberized concrete prepared using vibratory mixing. The objectives are to assess how vibratory mixing influences strength evolution, failure modes, strain rate sensitivity, and energy absorption of rubberized concrete compared with conventional mixing at 0%, 20%, and 30% rubber contents. Quasi-static compression tests and Split Hopkinson Pressure Bar (SHPB) dynamic compression tests were conducted to quantify these effects. The results show that vibratory mixing significantly improves the paste–aggregate–rubber interfacial structure. It increases the compressive strength by 8.4–30% compared with conventional mixing and reduces the strength loss at the 30% rubber content from 51.12% to 38.98%. Under high-speed impact loading, vibratory mixed rubber concrete exhibits higher peak strength, stronger energy absorption capacity, and a more stable strain rate response. The mixture with 20% rubber content shows the best comprehensive performance and is suitable for impact-resistant design of transmission tower foundations. Future research should extend this work by considering different rubber particle sizes and vibratory mixing frequencies to identify optimal combinations, and by incorporating quantitative fragment size distribution analysis under impact loading to further clarify the fracture mechanisms and enhance the application of rubberized concrete. Full article
(This article belongs to the Section Building Materials, and Repair & Renovation)
Show Figures

Figure 1

23 pages, 5292 KB  
Article
Research on Rapid 3D Model Reconstruction Based on 3D Gaussian Splatting for Power Scenarios
by Huanruo Qi, Yi Zhou, Chen Chen, Lu Zhang, Peipei He, Xiangyang Yan and Mengqi Zhai
Sustainability 2026, 18(2), 726; https://doi.org/10.3390/su18020726 - 10 Jan 2026
Viewed by 236
Abstract
As core infrastructure of power transmission networks, power towers require high-precision 3D models, which are critical for intelligent inspection and digital twin applications of power transmission lines. Traditional reconstruction methods, such as LiDAR scanning and oblique photogrammetry, suffer from issues including high operational [...] Read more.
As core infrastructure of power transmission networks, power towers require high-precision 3D models, which are critical for intelligent inspection and digital twin applications of power transmission lines. Traditional reconstruction methods, such as LiDAR scanning and oblique photogrammetry, suffer from issues including high operational risks, low modeling efficiency, and loss of fine details. To address these limitations, this paper proposes a 3D Gaussian Splatting (3DGS)-based method for power tower 3D reconstruction to enhance reconstruction efficiency and detail preservation capability. First, a multi-view data acquisition scheme combining “unmanned aerial vehicle + oblique photogrammetry” was designed to capture RGB images acquired by Unmanned Aerial Vehicle (UAV) platforms, which are used as the primary input for 3D reconstruction. Second, a sparse point cloud was generated via Structure from Motion. Finally, based on 3DGS, Gaussian model initialization, differentiable rendering, and adaptive density control were performed to produce high-precision 3D models of power towers. Taking two typical power tower types as experimental subjects, comparisons were made with the oblique photogrammetry + ContextCapture method. Experimental results demonstrate that 3DGS not only achieves high model completeness (with the reconstructed model nearly indistinguishable from the original images) but also excels in preserving fine details such as angle steels and cables. Additionally, the final modeling time is reduced by over 70% compared to traditional oblique photogrammetry. 3DGS enables efficient and high-precision reconstruction of power tower 3D models, providing a reliable technical foundation for digital twin applications in power transmission lines. By significantly improving reconstruction efficiency and reducing operational costs, the proposed method supports sustainable power infrastructure inspection, asset lifecycle management, and energy-efficient digital twin applications. Full article
Show Figures

Figure 1

24 pages, 6004 KB  
Article
Influence of Backfill Soil on the Uplift Bearing Capacity of Prefabricated Foundations for Temporary Transition Towers
by Qingyu Meng, Hanyu Ning, Keqin Yan, Shufeng Long and Mengxin Kang
Buildings 2025, 15(24), 4403; https://doi.org/10.3390/buildings15244403 - 5 Dec 2025
Viewed by 285
Abstract
In response to the non-reusable nature and prolonged construction period of traditional foundations for temporary and transitional towers, this paper designs a fully reusable all-metal prefabricated foundation for 35 kV–110 kV transmission lines. The uplift bearing capacity of the fully metallic prefabricated foundation [...] Read more.
In response to the non-reusable nature and prolonged construction period of traditional foundations for temporary and transitional towers, this paper designs a fully reusable all-metal prefabricated foundation for 35 kV–110 kV transmission lines. The uplift bearing capacity of the fully metallic prefabricated foundation was investigated through a series of eight reduced-scale model tests (scale 1:3). Weathered sand and silty clay were selected as backfill materials, with relative density and foundation embedment depth as test variables. The load–displacement curves were plotted, and the ultimate uplift capacity was determined based on the load corresponding to the onset of a sharp transition in these curves. The test results demonstrated that the ultimate uplift capacity of foundations with weathered sand backfill was significantly superior to that of counterparts with silty clay under comparable conditions. Specifically, at an embedment depth of 1.2 m and high relative density, the ultimate load of the weathered sand backfill was 33.3% higher than that of the silty clay backfill. The ultimate uplift capacity increased markedly with higher relative density. When the degree of compaction increased from 0.7 to 0.9, the ultimate capacity of the weathered sand backfill increased by 100.0%, substantially exceeding the 30.4% increase observed for the silty clay backfill. Furthermore, the ultimate capacity exhibited greater sensitivity to the embedment depth in weathered sand. As the embedment depth increased from 0.5 m to 1.2 m, the ultimate capacity of the weathered sand backfill increased by 191%, far surpassing the 114% increase for the silty clay backfill. This study provides experimental evidence and theoretical references for the design and construction of assembled foundations for temporary tower structures. The conclusions of this study are based on model test conditions and require further verification through prototype tests and numerical simulation. Full article
Show Figures

Figure 1

18 pages, 6097 KB  
Article
Impact Characteristic Analysis of Tower Foundation Under Concealed Conductive Paths with Grounding Grid Based on a Scaled Model
by Ziheng Pu, Ruize Qin, Peng Li and Tian Wu
Appl. Sci. 2025, 15(22), 12143; https://doi.org/10.3390/app152212143 - 16 Nov 2025
Viewed by 311
Abstract
Concealed conductive connections between a transmission tower’s grounding grid and its foundation can cause a portion of the lightning strike current to enter the foundation and concentrate at the concealed conduction locations, thereby increasing the risk of foundation deterioration. To investigate the impact [...] Read more.
Concealed conductive connections between a transmission tower’s grounding grid and its foundation can cause a portion of the lightning strike current to enter the foundation and concentrate at the concealed conduction locations, thereby increasing the risk of foundation deterioration. To investigate the impact characteristics of such currents on the foundation under this operating condition, this study first establishes an electro-thermal-mechanical coupled finite-element model of the tower foundation that incorporates a subsurface concealed conductive loop, and compares the foundation’s temperature rise and mechanical characteristics under lightning currents and under power-frequency follow currents. The results indicate that power-frequency follow current poses a substantially greater hazard to the foundation than lightning current. Based on similarity theory, scaling laws for the foundation subjected to the impacts of power-frequency follow current are then derived. Considering that the intrinsic electro-thermal properties of the foundation cannot be altered in the scaled model, a parameter correction method is proposed according to quasi-similarity criteria. The corrected scaled-model results are compared with those of the prototype in simulation, and principal indicators exhibit deviations within 3%. A physical scaled model was subsequently designed and fabricated for impact testing, and ultrasonic inspection was used to assess potential damage in the concealed conduction region. The results show that under the action of power-frequency follow currents, the maximum temperature at the concealed conductive region reaches 124 °C, with deviations of 2.83% from the prototype simulation and 3.58% from the scaled-model simulation. The tower foundation was subjected to 20 power-frequency follow current impacts. After each impact and subsequent cooling, ultrasonic measurements of wave propagation velocity at the concealed conduction center decreased from 3.797 km/s to 3.571 km/s. The observed reduction in wave speed indicates a loss of local concrete structural integrity and suggests the risk of performance degradation and initiation of microcracks. These findings provide a reference basis for assessing the safety of tower foundations under concealed conduction conditions. Full article
Show Figures

Figure 1

26 pages, 7381 KB  
Article
Diffusive–Mechanical Coupled Phase Field for the Failure Analysis of Reinforced Concrete Under Chloride Erosion
by Jingqiu Yang, Quanjun Zhu, Jianyu Ren and Li Guo
Buildings 2025, 15(19), 3580; https://doi.org/10.3390/buildings15193580 - 4 Oct 2025
Viewed by 711
Abstract
The construction of large-scale infrastructure, such as power facilities, requires extensive use of reinforced concrete. The durability degradation of reinforced concrete structures in chloride environments involves multi-physics coupling effects, chloride ion diffusion, rebar corrosion, and concrete damage. Existing models neglect the coupling mechanisms [...] Read more.
The construction of large-scale infrastructure, such as power facilities, requires extensive use of reinforced concrete. The durability degradation of reinforced concrete structures in chloride environments involves multi-physics coupling effects, chloride ion diffusion, rebar corrosion, and concrete damage. Existing models neglect the coupling mechanisms among these processes and the influence of mesoscale structural characteristics. Therefore, this study proposes a diffusive–mechanical coupled phase field by integrating the phase field, chloride ion diffusion, and mechanical equivalence for rebar corrosion, establishing a multi-physics coupling analysis framework at the mesoscale. The model incorporates heterogeneous meso-structure of concrete and constructs a dynamic coupling function between the phase field damage variable and chloride diffusion coefficient, enabling full-process simulation of corrosion-induced cracking under chloride erosion. Numerical results demonstrate that mesoscale heterogeneity significantly affects crack propagation paths, with increased aggregate content delaying the initiation of rebar corrosion. Moreover, the case with corner-positioned rebar exhibits earlier cracking compared to the case with centrally located rebar. Furthermore, larger clear spacing delays delamination failure. Comparisons with the damage mechanics model and experimental data confirm that the proposed model more accurately captures tortuous crack propagation behavior, especially suitable for evaluating the durability of reinforced concrete components in facilities such as transmission tower foundations, substation structures, and marine power facilities. This research provides a highly accurate numerical tool for predicting the service life of reinforced concrete power infrastructure in chloride environments. Full article
(This article belongs to the Section Building Materials, and Repair & Renovation)
Show Figures

Figure 1

21 pages, 6206 KB  
Article
Research on Stability of Transmission Tower Slopes with Different Slope Ratios Under Rainfall Conditions and Reinforcement Effects of Anti-Slide Piles
by Guoliang Huang, Xiaolong Huang, Caiyan Lin, Ji Shi, Xiongwu Tao, Jiaxiang Lin and Bingxiang Yuan
Buildings 2025, 15(12), 2066; https://doi.org/10.3390/buildings15122066 - 16 Jun 2025
Cited by 1 | Viewed by 1076
Abstract
With the extensive construction of high-voltage power grid projects in complex mountainous terrains, rainfall-induced slope instability poses a significant threat to the safety of transmission tower foundations. This study focuses on a power transmission and transformation project in Huizhou City, Guangdong Province. Using [...] Read more.
With the extensive construction of high-voltage power grid projects in complex mountainous terrains, rainfall-induced slope instability poses a significant threat to the safety of transmission tower foundations. This study focuses on a power transmission and transformation project in Huizhou City, Guangdong Province. Using MIDAS GTS NX 2019 (v1.2), an unsaturated seepage-mechanics coupling model was established to systematically investigate the influence of slope ratios (1:0.75, 1:1, and 1:1.25) on slope stability under rainfall conditions and the reinforcement effects of anti-slide piles. The results demonstrate that slope ratios significantly govern slope responses. For steep slopes (1:0.75), post-rainfall matrix suction loss reached 43.2%, peak displacement attained 74.49 mm, and the safety factor decreased by 12.5%. In contrast, gentle slopes (1:1.25) exhibited superior stability. Anti-slide piles effectively controlled displacement growth (≤9.15%), but pile bending moments increased markedly with steeper slope ratios, accompanied by a notable expansion of the plastic zone at the slope toe. The study reveals a destabilization mechanism characterized by “seepage–strength degradation–displacement synergy” and recommends engineering practices adopting slope ratios of 1:1–1:1.25, combined with anti-slide piles (spacing ≤ 1.5 m) and dynamic drainage measures. These findings provide critical guidance for the design of transmission tower slopes in mountainous regions. Full article
Show Figures

Figure 1

20 pages, 7742 KB  
Article
Structural Response and Failure Analysis of Transmission Towers Under Foundation Sliding with Consideration of Wind Effects
by Weifeng Qin, Jianfeng Yao, Zhitong Liu, Yong Guo, Guohui Shen and Zhibin Tu
Energies 2025, 18(11), 2878; https://doi.org/10.3390/en18112878 - 30 May 2025
Cited by 1 | Viewed by 1679
Abstract
To investigate the failure evolution and structural response of transmission towers under the combined effects of foundation sliding and wind loads, this study used the foundation sliding incident of Tower No. 39 on the Xiaoxing transmission line as a case for numerical back-analysis. [...] Read more.
To investigate the failure evolution and structural response of transmission towers under the combined effects of foundation sliding and wind loads, this study used the foundation sliding incident of Tower No. 39 on the Xiaoxing transmission line as a case for numerical back-analysis. A transmission tower model was first developed based on the finite element method, and the simulation results were compared with field observations to validate the model, with particular focus on the consistency of typical failure modes such as leg bending and cross-bracing instability. On this basis, the structural response under the combined action of foundation lateral displacement, settlement, and wind loads was further simulated. The results indicate that foundation sliding significantly affects the structural stability of transmission towers, with single-foundation sliding being more destructive than the simultaneous sliding of multiple foundations on the same side. Moreover, the coupling of foundation sliding and wind load substantially reduces the critical displacement required to trigger structural failure. Finally, critical displacement thresholds are proposed, which can serve as reference criteria for damage assessment and engineering intervention when changes in foundation conditions occur. Full article
Show Figures

Figure 1

16 pages, 2659 KB  
Article
Influence of Roughness Factor on the Bearing Characteristics of Rock-Socketed Piles
by Zhilin Wang, Qingye Shi, Hongming Li, Tao Xiao, Zhihao Tang, Xiang Huang and Bai Yang
Buildings 2025, 15(11), 1785; https://doi.org/10.3390/buildings15111785 - 23 May 2025
Viewed by 731
Abstract
With the rapid development of the national economy, the construction of super high-rise buildings, long-span bridges, high-speed railways, and transmission towers has become increasingly common. It is also more frequent to build structures on karst foundations, which imposes higher demands on foundation engineering, [...] Read more.
With the rapid development of the national economy, the construction of super high-rise buildings, long-span bridges, high-speed railways, and transmission towers has become increasingly common. It is also more frequent to build structures on karst foundations, which imposes higher demands on foundation engineering, especially pile foundations. To study the influence of the roughness factor (RF) on the bearing characteristics of rock-socketed pile, model pile load tests were conducted with different RF values (0.0, 0.1, 0.2, and 0.3) to reveal the failure modes of the test pile, analyze the characteristics of the load–displacement curves and the axial force and resistance exertion law of the pile, and discuss the influence of the RF on the ultimate bearing capacity of the test pile. Based on the load transfer law of test piles, a load transfer model considering the relative pile–soil displacement and the shear dilatancy effect of pile–rock is established to analyze its load transfer characteristics. The results show that the failure mode of the test pile is splitting failure. The load–displacement curves are upward concave and slowly varying. The pile side resistance and the pile tip resistance mainly bear the load on the pile top. As the load on the pile top increases, the pile tip resistance gradually comes into play, and when the ultimate load is reached, the pile tip resistance bears 72.12% to 79.22% of the upper load. The pile side resistance is mainly borne by the rock-socketed section, and the pile side resistance increases sharply after entering the rock layer, but it decreases slightly with increasing depth, and the peak point is located in the range of 1.25D below the soil–rock interface. Increasing the roughness of the pile can greatly improve the ultimate bearing capacity. In this study, the ultimate bearing capacity of the test pile shows a trend of increasing and then decreasing with the gradual increase in RF from 0.0 to 0.3, and the optimal RF is 0.2. The load transfer model of pile–soil relative displacement and pile–rock shear dilatancy effect, as well as the pile tip load calculation model, were established. The calculation results were compared with the test results and engineering measured data, respectively, and they are in good agreement. Full article
(This article belongs to the Special Issue Advances in Building Foundation Engineering)
Show Figures

Figure 1

16 pages, 3833 KB  
Article
Cooling Efficiency of Two-Phase Closed Thermosyphon Installed in Cast-in-Place Pile Foundation for Overhead Transmission Lines in High-Latitude Permafrost Regions
by Lei Zhao, Yao Xiao, Yunhu Shang, Yan Lu and Xuyang Wu
Processes 2025, 13(4), 1080; https://doi.org/10.3390/pr13041080 - 3 Apr 2025
Viewed by 910
Abstract
Ground temperature conditions are key factors affecting the stability of cast-in-place pile foundations for transmission towers in permafrost regions. With global climate warming, the ground temperature environment in permafrost regions has undergone significant changes, leading to an increasing risk of disasters for these [...] Read more.
Ground temperature conditions are key factors affecting the stability of cast-in-place pile foundations for transmission towers in permafrost regions. With global climate warming, the ground temperature environment in permafrost regions has undergone significant changes, leading to an increasing risk of disasters for these pile foundations. However, research on the prevention and control of pile foundation diseases caused by permafrost degradation is relatively limited, and engineering practices are insufficient. To address this, this study proposes embedding a two-phase closed thermosyphon (TPCT) inside a concrete pile foundation to create a composite structural system with both load-bearing and cooling functions. A mathematical model is developed to focus on the cooling performance and temperature control efficiency of the composite structure. The results indicate that: (1) The TPCT can alleviate, to some extent, the downward shift of the permafrost table around the transmission tower foundation due to climate warming. The cooling effect of the TPCT slows the rate of permafrost degradation, but its control effect on the permafrost table is limited. (2) The performance of the cast-in-place piles with an embedded TPCT is closely related to temperature, with an effective operational period from early October to late March each year. (3) This device effectively mitigates the impact of permafrost degradation due to climate change, significantly lowering the risk of foundation-related issues in transmission towers. The findings of this study are crucial for maintaining ground temperature stability in cast-in-place pile foundations for transmission projects in high-latitude permafrost areas, as well as enhancing the theoretical framework for pile foundation design. Full article
(This article belongs to the Topic Applied Heat Transfer)
Show Figures

Figure 1

19 pages, 4763 KB  
Article
The Bearing Characteristics of a Grillage Root Foundation Based on a Transparent Soil Material: Enhancing the Bearing Capacity
by Zehui Ma, Junjie Wang, Xuefeng Huang, Zhifeng Ren and Hao Wang
Materials 2025, 18(7), 1470; https://doi.org/10.3390/ma18071470 - 26 Mar 2025
Cited by 1 | Viewed by 813
Abstract
The construction of a power grillage is of great significance for promoting local economic development. Identifying the characteristics of foundation damage is a prerequisite for ensuring the normal service of the power grillage. To investigate the bearing mechanism and failure mode of the [...] Read more.
The construction of a power grillage is of great significance for promoting local economic development. Identifying the characteristics of foundation damage is a prerequisite for ensuring the normal service of the power grillage. To investigate the bearing mechanism and failure mode of the grillage root foundations, a novel research method with a transparent soil material was used to conduct model tests on different types of foundations using particle image velocimetry (PIV) technology. The results indicate that, compared to traditional foundations, the uplift and horizontal bearing capacities of grillage root foundations increased by 34.35% to 38.89% and by 10.76% to 14.29%, respectively. Furthermore, increasing the base plate size and burial depth can further enhance the extent of the soil displacement field. Additionally, PIV analysis revealed that the roots improve pile–soil interactions, transferring the load to the surrounding undisturbed soil and creating a parabolic displacement field during the uplift process, which significantly suppresses foundation displacement. Lastly, based on experimental data, an Elman neural network was employed to construct a load-bearing capacity prediction model, which was optimized using genetic algorithms (GAs) and the whale optimization algorithm (WOA), maintaining a prediction error within 3%. This research demonstrates that root arrangement enhances the bearing capacity and stability of foundations, while optimized neural networks can accurately predict the bearing capacity of grillage root foundations, thus broadening the application scope of transparent soil materials and offering novel insights into the application of artificial intelligence technology in geotechnical engineering. For stakeholders in the bearing manufacturing industry, this study provides important insights on how to improve load-bearing capacity and stability through the optimization of the basic design, which can help reduce material costs and construction challenges, and enhance the reliability of power grillage infrastructure. Full article
(This article belongs to the Section Mechanics of Materials)
Show Figures

Figure 1

13 pages, 2528 KB  
Article
Study of the Static Performance of Guyed Towers in High-Voltage Transmission Lines
by Haoyuan Chen, Yongan Wang, Hong Yin, Liwei Xia, Hengbang Wan, Musoke Paul Kalungi and Aizhu Zhu
Buildings 2024, 14(12), 3960; https://doi.org/10.3390/buildings14123960 - 13 Dec 2024
Cited by 1 | Viewed by 1872
Abstract
Guyed towers in high-voltage transmission lines consist of the tower body, guy wire system, and foundation. A well-designed guy wire system with optimized tension levels is essential to maintain the stability of the tower under wind loads and other external forces. In practical [...] Read more.
Guyed towers in high-voltage transmission lines consist of the tower body, guy wire system, and foundation. A well-designed guy wire system with optimized tension levels is essential to maintain the stability of the tower under wind loads and other external forces. In practical operation, to prevent excessive corrosion of the pinned metal components at the tower base, these connections are often encased in concrete, altering the base connection conditions and affecting the structural forces on the tower. This study develops a finite element analysis model based on two guyed tower structures from a high-voltage transmission line project. By measuring the actual tensions of the guy wire and testing the basic material performance, this model considers the effects of varying base connection conditions and different guy wire tension levels. Under designed ice load and extreme wind load conditions, the analysis focuses on changes in tower body stress, tower-top displacement and inclination, and guy wire forces. The results indicate that when the tower base is uniformly pinned or fixed, the initial guy wire tension has minimal impact on maximum tower stress but significantly affects maximum tower displacement and inclination when the tower was under the ice and wind load conditions. The base connection condition has a pronounced impact on the stress states of the tower and guy wire system, especially under the designed wind loads. In particular, when the base is fixed, the maximum base stress in Tower 1 under the wind loads is 270% higher than in a pinned condition. The initial guy wire tension level significantly affects the guy wire force under the ice and wind loads; for example, when Tower 1 is subjected to approximately 85% of the design level of high wind load, some guy wires reach full relaxation prematurely, presenting localized strength failure risks at the tower foot, potentially threatening the tower safety under extreme design loads. Full article
(This article belongs to the Section Building Structures)
Show Figures

Figure 1

22 pages, 14750 KB  
Article
Safety Status Prediction Model of Transmission Tower Based on Improved Coati Optimization-Based Support Vector Machine
by Xinxi Gong, Yaozhong Zhu, Yanhai Wang, Enyang Li, Yuhao Zhang and Zilong Zhang
Buildings 2024, 14(12), 3815; https://doi.org/10.3390/buildings14123815 - 28 Nov 2024
Cited by 1 | Viewed by 1381
Abstract
Natural calamities have historically impacted operational mountainous power transmission towers, including high winds and ice accumulation, which can result in pole damage or diminished load-bearing capability, compromising their structural integrity. Consequently, developing a safety state prediction model for transmission towers may efficiently monitor [...] Read more.
Natural calamities have historically impacted operational mountainous power transmission towers, including high winds and ice accumulation, which can result in pole damage or diminished load-bearing capability, compromising their structural integrity. Consequently, developing a safety state prediction model for transmission towers may efficiently monitor and evaluate potential risks, providing early warnings of structural dangers and diminishing the likelihood of bending or collapse incidents. This paper presents a safety state prediction model for transmission towers utilizing improved coati optimization-based SVM (ICOA-SVM). Initially, we optimize the coati optimization algorithm (COA) through inverse refraction learning and Levy flight strategy. Subsequently, we employ the improved coati optimization algorithm (ICOA) to refine the penalty parameters and kernel function of the support vector machine (SVM), thereby developing the safety state prediction model for the transmission tower. A finite element model is created to simulate the dynamic reaction of the transmission tower under varying wind angles and loads; ultimately, wind speed, wind angle, and ice cover thickness are utilized as inputs to the model, with the safe condition of the transmission tower being the output. The predictive outcomes indicate that the proposed ICOA-SVM model exhibits rapid convergence and high prediction accuracy, with a 62.5% reduction in root mean square error, a 59.6% decrease in average relative error, and a 75.0% decline in average absolute error compared to the conventional support vector machine. This work establishes a scientific foundation for the safety monitoring and maintenance of transmission towers, effectively identifying possible dangers and substantially decreasing the likelihood of accidents. Full article
Show Figures

Figure 1

18 pages, 10228 KB  
Article
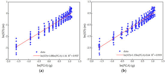
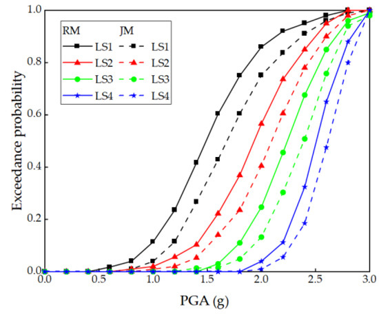
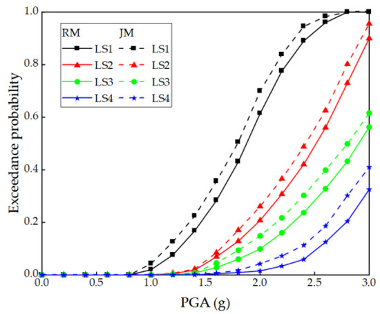
Seismic Fragility Analysis of the Transmission Tower-Line System Considering Bolt Slippage
by Jia-Xiang Li, Chao Zhang and Jin-Peng Cheng
Appl. Sci. 2024, 14(23), 10909; https://doi.org/10.3390/app142310909 - 25 Nov 2024
Cited by 4 | Viewed by 1670
Abstract
Seismic fragility analysis can directly reflect the damage probability of the transmission tower-line system and effectively evaluate the seismic performance. To accurately estimate the failure probability of transmission tower-line systems under earthquakes, the tower-line system model considering bolt slippage was established in this [...] Read more.
Seismic fragility analysis can directly reflect the damage probability of the transmission tower-line system and effectively evaluate the seismic performance. To accurately estimate the failure probability of transmission tower-line systems under earthquakes, the tower-line system model considering bolt slippage was established in this paper. Subsequently, through the pushover analysis, different limit states of transmission lines subjected to earthquakes were determined. Finally, 15 seismic waves were selected to study the seismic fragility of a tower-line system by conducting an incremental dynamic analysis on the tower-line system, and seismic fragility curves were drawn. The influences of bolt slippage and foundation deformation on the seismic fragility of the tower are discussed. The results show that the bolt slippage behavior can affect the seismic fragility of tower-line systems and has opposite effects on the transmission tower with a fixed foundation and the transmission tower with foundation deformation. Full article
(This article belongs to the Section Civil Engineering)
Show Figures

Figure 1

19 pages, 4391 KB  
Article
Research on Bearing Capacity of a Novel Prestressed Concrete Prefabricated Foundation with High Uplift Resistance Characteristic
by Wei Zhang, Zhengzhong Ding, Hewen Kang, Pengzhong Lin, Guolu Wen, Deng Yong, Chouxiao Lu, Jiawei Wang, Xiangrui Meng, Kunjie Rong and Li Tian
Buildings 2024, 14(12), 3743; https://doi.org/10.3390/buildings14123743 - 24 Nov 2024
Cited by 2 | Viewed by 1865
Abstract
Unlike traditional building structures, transmission tower foundations endure significant vertical and horizontal loads, with particularly high uplift resistance requirements in complex terrains. Moreover, challenges such as difficult material transport and low construction efficiency arise in these regions. This study, based on practical projects, [...] Read more.
Unlike traditional building structures, transmission tower foundations endure significant vertical and horizontal loads, with particularly high uplift resistance requirements in complex terrains. Moreover, challenges such as difficult material transport and low construction efficiency arise in these regions. This study, based on practical projects, proposes a novel high uplift resistance prestressed concrete prefabricated foundation (HURPCPF) tailored for transmission line systems in complex terrains. A refined finite element model is developed using ABAQUS to analyze its performance under uplift, compressive, and horizontal loads. Comparative studies with cast-in-situ concrete foundations evaluate the HURPCPF’s bearing capacity, while parametric analysis explores the impacts of foundation depth and dimensions. The results show that the proposed HURPCPF exhibits a linear load–displacement relationship, with uniform deformation and good integrity under compressive and uplift conditions. During overturning, the tilt angle is less than 1/500, meeting safety standards. The design of prestressed steel strands and internal reinforcement effectively distributes tensile stress, with a maximum stress of 290 MPa, well below the yield stress of 400 MPa. Compared to cast-in-situ concrete foundations, the displacement at the top of the HURPCPF’s column differs by less than 7%, indicating comparable bearing performance. As foundation depth and size increase, vertical displacement of the HURPCPF decreases, enhancing its uplift resistance. Full article
(This article belongs to the Section Building Structures)
Show Figures

Figure 1

14 pages, 3313 KB  
Article
Accurate Measurement of Tower Grounding Resistance for Single-Tower and Multi-Tower Parallel Scenarios Based on the Clamp Meter Method: For the Sustainable Operation of Towers
by Yixuan Zhang, Zoujun Wang, Kaiwen Feng, Yirui Zhang, Zhitong Tian, Zhihui Zheng and Hailiang Lu
Sustainability 2024, 16(17), 7551; https://doi.org/10.3390/su16177551 - 31 Aug 2024
Cited by 2 | Viewed by 2082
Abstract
Transmission tower grounding safety is a critical element that significantly impacts the reliability and sustainability of power grids. Tower grounding resistance is a significant grounding characteristic parameter. In order to accurately measure the grounding resistance of towers using the clamp meter method in [...] Read more.
Transmission tower grounding safety is a critical element that significantly impacts the reliability and sustainability of power grids. Tower grounding resistance is a significant grounding characteristic parameter. In order to accurately measure the grounding resistance of towers using the clamp meter method in both single-tower and multi-tower parallel scenarios, this paper establishes theoretical calculation models for measuring tower grounding resistance using the clamp meter method. Considering the interaction between the artificial grounding device and the tower foundation, this paper models and simulates transmission towers and lightning shield wires, analyzing the influencing factors on the grounding resistance measurement results using the clamp meter method in both single- and multi-tower parallel scenarios. The results show that for single towers, the clamp meter measurement results increase with decreasing foundation root spacing and increasing length of the artificial device’s extension lines, but the changes are relatively small. In multi-tower grounding scenarios, due to the shunting effect of the parallel branches formed by the towers and lightning shield wires, the value is smaller than in single-tower grounding scenarios. Changing the number of parallel towers and the type of lightning shield wire produces little effect on the measurement results. However, changes in soil resistivity have the most significant impact. Therefore, correction formulas for the impact of soil resistivity on clamp meter measurements are proposed and then verified by applying them to field tests. Full article
Show Figures

Figure 1

Back to TopTop