Seismic Fragility Analysis of the Transmission Tower-Line System Considering Bolt Slippage
Abstract
1. Introduction
2. Fragility Analysis
2.1. Analysis Framework
2.2. FEM of the TTLS
2.3. Seismic Wave
3. Limit State Determination
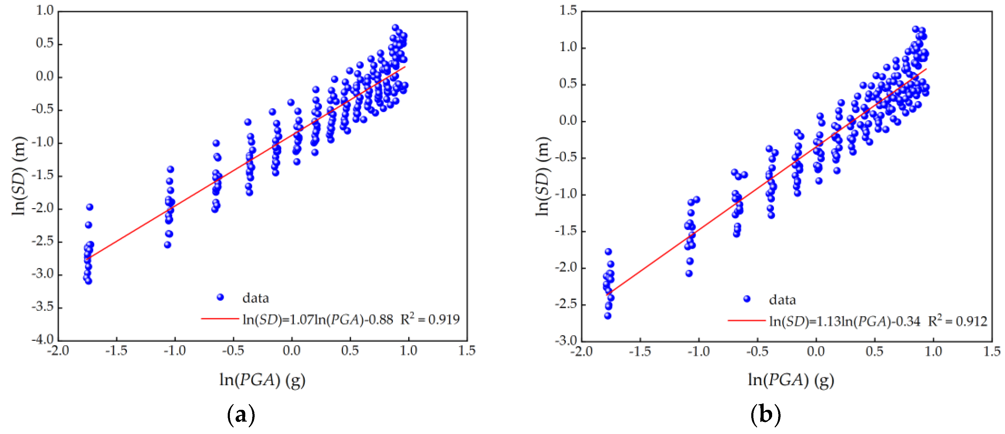
3.1. Method
3.2. Results Analysis
3.3. Divided the Limit State
4. Seismic Fragility Analysis of the TTLS with Fixed Foundation
5. Seismic Fragility Analysis of the TTLS with Foundation Deformation
5.1. Foundation Settlement Analysis
5.2. Foundation Horizontal Displacement Analysis
6. Conclusions
- (1)
- Considering the bolt reciprocating slippage behavior, the seismic fragility of the TTLS without foundation deformation increases, with the failure probability increasing more obviously in both the severe damage limit state and the collapse limit state;
- (2)
- Foundation deformation leads to an increase in the failure probability of the TTLSs subjected to earthquakes and changes the weak position of the tower. However, ignoring the bolt slippage would overestimate the seismic fragility of the TTLSs with foundation deformation;
- (3)
- The limit states of the TTLSs are determined by the maximum stress ratio of the compressed diagonal members.
Author Contributions
Funding
Institutional Review Board Statement
Informed Consent Statement
Data Availability Statement
Conflicts of Interest
References
- Tian, L.; Yi, S.; Qu, B. Orienting ground motion inputs to achieve maximum seismic displacement demands on electricity transmission towers in near-fault regions. J. Struct. Eng-ASCE. 2018, 144, 04018017. [Google Scholar] [CrossRef]
- Tian, L.; Ma, R.; Pan, H.; Qiu, C.; Li, W. Progressive collapse analysis of long-span transmission tower-line system under multi-component seismic excitations. Adv. Struct. Eng. 2017, 20, 1920–1932. [Google Scholar] [CrossRef]
- Tian, L.; Zhou, M.; Pan, H.; Xin, A.; Liu, Y. Shaking table tests of a reduced-scale UHV transmission tower-line system subjected to near-fault ground motions. Int. J. Struct. Stab. Dy. 2020, 20, 2040015. [Google Scholar] [CrossRef]
- Tian, L.; Gai, X.; Qu, B. Shake table tests of steel towers supporting extremely long-span electricity transmission lines under spatially correlated ground motions. Eng. Struct. 2017, 132, 791–807. [Google Scholar] [CrossRef]
- Dong, X.; Tian, L.; Bi, W.; Li, C.; Liu, J. Effect of fault crossing angle and location on seismic behavior of transmission tower-line system. J. Earthq. Eng. 2023, 27, 4073–4093. [Google Scholar] [CrossRef]
- Wei, W.; Hu, Y.; Pi, Y. Seismic responses of transmission tower-line system under multi-component ground motions. Adv. Struct. Eng. 2023, 26, 1093–1113. [Google Scholar] [CrossRef]
- Tian, L.; Yang, M.; Liu, S.; Liu, J.; Gao, G.; Yang, Z. Collapse failure analysis and fragility analysis of a transmission tower-line system subjected to the multidimensional ground motion of different input directions. Structures 2023, 48, 1018–1028. [Google Scholar] [CrossRef]
- Tian, L.; Yang, M.; Liu, J.; Ma, Z.; Gong, J.; Chen, H.; Luo, X. Shake table test and seismic fragility analysis of transmission tower-line system considering duration effect. Thin Wall Struct. 2024, 197, 111584. [Google Scholar] [CrossRef]
- Kassem, M.; Beddu, S.; Min, W.; Tan, C.; Nazri, F. Quantification of the seismic behavior of a steel transmission tower subjected to single and repeated seismic excitations using vulnerability function and collapse margin ratio. Appl. Sci. 2022, 12, 1984. [Google Scholar] [CrossRef]
- Park, H.; Choi, B.; Kim, J.; Lee, T. Seismic performance evaluation of high voltage transmission towers in South Korea. KSCE J. Civ. Eng. 2016, 20, 2499–2505. [Google Scholar] [CrossRef]
- Pan, H.; Tian, L.; Fu, X.; Li, H. Sensitivities of the seismic response and fragility estimate of a transmission tower to structural and ground motion uncertainties. J. Constr. Steel Res. 2020, 167, 105941. [Google Scholar] [CrossRef]
- Li, J.; Cheng, J.; Zhang, C.; Qu, C.; Zhang, X.; Jiang, W. Seismic response study of a steel lattice transmission tower considering the hysteresis characteristics of bolt joint slippage. Eng. Struct. 2023, 281, 115754. [Google Scholar] [CrossRef]
- Li, B.; Zhang, Y. A new joint-slippage model for galvanized steel bolted joints with slippage. Structures 2021, 34, 1034–1047. [Google Scholar] [CrossRef]
- An, L.; Wu, J.; Jiang, W. Experimental and numerical study of the axial stiffness of bolted joints in steel lattice transmission tower legs. Eng. Struct. 2021, 187, 490–503. [Google Scholar] [CrossRef]
- Darestani, Y.; Shafieezadeh, A.; Cha, K. Effect of modelling complexities on extreme wind hazard performance of steel lattice transmission towers. Struct. Infrastruct. Eng. 2020, 16, 898–915. [Google Scholar] [CrossRef]
- Li, J.; Zhang, C.; Cheng, J.; Gu, X.; Wang, H.; Jiang, W. Experimental study on the hysteretic performance of bolted lap joints of a transmission tower. J. Vib. Shock. 2023, 42, 10–18+120. [Google Scholar]
- Ma, L.; Bocchini, P. Hysteretic model of single-bolted angle connections for lattice steel towers. J. Eng. Mech. 2019, 145, 04019052. [Google Scholar] [CrossRef]
- Yang, F.; Li, Q.; Yang, J.; Zhu, B. Assessment on the stress state and the maintenance schemes of the transmission tower above goaf of coal mine. Eng. Fail. Anal. 2013, 31, 236–247. [Google Scholar] [CrossRef]
- Shu, Q.; Yuan, G.; Zhao, H.; Ye, S. The behaviour of the power transmission tower subjected to horizontal support’s movements. Eng. Struct. 2016, 123, 166–180. [Google Scholar] [CrossRef]
- Shu, Q.; Zhao, H.; Yuan, G.; Ma, W.; Ye, S.; Zhou, J. Impact of wind loads on the resistance capacity of the transmission tower subjected to ground surface deformations. Thin Wall Struct. 2018, 131, 619–630. [Google Scholar] [CrossRef]
- Li, J.; Cheng, J.; Zhang, Z.; Zhang, C. Seismic response study of tower-line system considering bolt slippage under foundation displacement. Steel Compos. Struct. 2024, 52, 135–143. [Google Scholar]
- Argyroudis, S.; Pitilakis, K. Seismic fragility curves of shallow tunnels in alluvial deposits. Earthq. Spectra. 2012, 35, 1–12. [Google Scholar] [CrossRef]
- Fu, X.; Li, H. Uncertainty analysis of the strength capacity and failure path for a transmission tower under a wind load. J. Wind. Eng. Ind. Aerod. 2018, 173, 147–155. [Google Scholar] [CrossRef]
- Yang, F.; Zhu, B.; Xing, H. The slip characteristics and parametric study of bolted connections for transmission towers. Eng. Mech. 2017, 34, 116–127. [Google Scholar]
- Jayaram, N.; Shome, N.; Rahnama, M. Development of earthquake vulnerability functions for tall buildings. Earthq. Eng. Struct. D. 2012, 41, 1495–1514. [Google Scholar] [CrossRef]
- GB50011-2010; Code for Seismic Design of Buildings. China Architecture & Building Press: Beijing, China, 2016.
- Tian, L.; Liu, K. Uncertainty analysis of the dynamic responses of a transmission tower-line system subjected to cable rupture. J. Aerospace Eng. 2021, 34, 04020088. [Google Scholar] [CrossRef]
- DL/T 5486-2020; Technical Specification for the Design of Steel Supporting Structures of Overhead Transmission Line. China Planning Press: Beijing, China, 2020.
- Pan, H.; Li, C.; Tian, L. Seismic fragility analysis of transmission towers considering effects of soil-structure interaction and depth-varying ground motion inputs. Bull. Earthq. Eng. 2021, 19, 4311–4337. [Google Scholar] [CrossRef]
- Tian, L.; Pan, H.; Ma, R. Probabilistic seismic demand model and fragility analysis of transmission tower subjected to near-field ground motions. J. Constr. Steel Res. 2019, 156, 266–275. [Google Scholar] [CrossRef]
- Tian, L.; Pan, H.; Ma, R.; Qiu, C. Collapse simulations of a long span transmission tower-line system subjected to near-fault ground motions. Earthq. Struct. 2017, 13, 211–220. [Google Scholar]
- Gong, J.; Zhi, X. Earthquake failure mode and collapse fragility of a 1000 kV outgoing line frame considering interactions in the tower line system. Structures 2020, 27, 626–638. [Google Scholar] [CrossRef]
- Liu, J.; Tian, L.; Yang, M.; Meng, X. Probabilistic framework for seismic resilience assessment of transmission tower-line systems subjected to mainshock-aftershock sequences. Reliab. Eng. Syst. Saf. 2023, 242, 109755. [Google Scholar] [CrossRef]
- Tian, L.; Li, H.; Wang, W. Effects of ground motion spatial variation on seismic response of a power transmission tower-line system. J. Vib. Shock. 2013, 32, 79–87. [Google Scholar]























| Type | Diameter (mm) | Mass (kg/m) | Area (mm2) | Elastic Modulus (MPa) |
|---|---|---|---|---|
| LGJ630/45 | 33.60 | 2.06 | 666.55 | 63,000 |
| JLB20A-150 | 15.75 | 0.9894 | 148.07 | 147,200 |
| Case No. | Seismic Wave | Recording Station | Magnitude (Moment Magnitude) |
|---|---|---|---|
| SW1 | Kern County | LA-Hollywood Stor FF | 7.36 |
| SW2 | San Fernando | Anza Post Office | 6.61 |
| SW3 | Friuli_Italy-01 | Barcis | 6.5 |
| SW4 | Tabas_Iran | Bajestan | 7.35 |
| SW5 | Imperial Valley-06 | Cerro Prieto | 6.53 |
| SW6 | Trinidad | Rio Dell Overpass-FF | 7.2 |
| SW7 | Irpinia_Italy-01 | Auletta | 6.9 |
| SW8 | Corinth_Greece | Corinth | 6.6 |
| SW9 | Ierissos_Greece | Ierissos | 6.7 |
| SW10 | Taiwan SMART1(25) | SMART1 C00 | 6.5 |
| SW11 | Borah Peak_ID-01 | ANL-767 Reactor Plant (Bsmt) | 6.88 |
| SW12 | Taiwan SMART1(45) | SMART1 C00 | 7.3 |
| SW13 | Superstition Hills-02 | Kornbloom Road (temp) | 6.54 |
| SW14 | Spitak_Armenia | Gukasian | 6.77 |
| SW15 | Loma Prieta | APEEL 10-Skyline | 6.93 |
| Limit State | RM | JM | ||||||
|---|---|---|---|---|---|---|---|---|
| Uniform Load | Inverted Triangle Load | Height Equivalent Load | Average Value | Uniform Load | Inverted Triangle Load | Height Equivalent Load | Average Value | |
| LS1 | 0.61 | 0.61 | 0.62 | 0.61 | 1.10 | 1.11 | 1.13 | 1.11 |
| LS2 | 0.80 | 0.81 | 0.83 | 0.81 | 1.64 | 1.66 | 1.68 | 1.66 |
| LS3 | 1.12 | 1.13 | 1.15 | 1.13 | 2.17 | 2.19 | 2.20 | 2.19 |
| LS4 | 1.21 | 1.22 | 1.25 | 1.23 | 2.32 | 2.34 | 2.35 | 2.34 |
Disclaimer/Publisher’s Note: The statements, opinions and data contained in all publications are solely those of the individual author(s) and contributor(s) and not of MDPI and/or the editor(s). MDPI and/or the editor(s) disclaim responsibility for any injury to people or property resulting from any ideas, methods, instructions or products referred to in the content. |
© 2024 by the authors. Licensee MDPI, Basel, Switzerland. This article is an open access article distributed under the terms and conditions of the Creative Commons Attribution (CC BY) license (https://creativecommons.org/licenses/by/4.0/).
Share and Cite
Li, J.-X.; Zhang, C.; Cheng, J.-P. Seismic Fragility Analysis of the Transmission Tower-Line System Considering Bolt Slippage. Appl. Sci. 2024, 14, 10909. https://doi.org/10.3390/app142310909
Li J-X, Zhang C, Cheng J-P. Seismic Fragility Analysis of the Transmission Tower-Line System Considering Bolt Slippage. Applied Sciences. 2024; 14(23):10909. https://doi.org/10.3390/app142310909
Chicago/Turabian StyleLi, Jia-Xiang, Chao Zhang, and Jin-Peng Cheng. 2024. "Seismic Fragility Analysis of the Transmission Tower-Line System Considering Bolt Slippage" Applied Sciences 14, no. 23: 10909. https://doi.org/10.3390/app142310909
APA StyleLi, J.-X., Zhang, C., & Cheng, J.-P. (2024). Seismic Fragility Analysis of the Transmission Tower-Line System Considering Bolt Slippage. Applied Sciences, 14(23), 10909. https://doi.org/10.3390/app142310909

