Sign in to use this feature.

Years

Between: -

Subjects

remove_circle_outline
remove_circle_outline
remove_circle_outline
remove_circle_outline
remove_circle_outline
remove_circle_outline
remove_circle_outline
remove_circle_outline
remove_circle_outline

Journals

remove_circle_outline
remove_circle_outline
remove_circle_outline
remove_circle_outline
remove_circle_outline
remove_circle_outline

Article Types

Countries / Regions

remove_circle_outline
remove_circle_outline
remove_circle_outline
remove_circle_outline
remove_circle_outline

Search Results (667)

Search Parameters:
Keywords = transient stability analysis

Order results
Result details
Results per page
Select all
Export citation of selected articles as:
20 pages, 4388 KB  
Article
Development and Validation of SEC-UV/HRMS Procedure for Simultaneous Determination of BSA and Its Association Products
by Blaž Hodnik, Žiga Čamič and Matevž Pompe
Molecules 2026, 31(6), 1001; https://doi.org/10.3390/molecules31061001 - 16 Mar 2026
Abstract
Monitoring peptide and protein self-association is essential for understanding biological function, formulation stability, and aggregation mechanisms. While size-exclusion chromatography (SEC) is routinely used to quantify protein-size variants under native conditions, its hyphenation to high-resolution mass spectrometry (HRMS) for simultaneous structural characterization remains limited. [...] Read more.
Monitoring peptide and protein self-association is essential for understanding biological function, formulation stability, and aggregation mechanisms. While size-exclusion chromatography (SEC) is routinely used to quantify protein-size variants under native conditions, its hyphenation to high-resolution mass spectrometry (HRMS) for simultaneous structural characterization remains limited. Here, we report the development and validation of a robust SEC-UV/HRMS method optimized for native-like analysis of bovine serum albumin (BSA) monomers and higher-order oligomers using standard-flow electrospray ionization. Systematic evaluation of source parameters, mobile-phase composition, and chromatographic conditions enabled retention of native BSA structure, minimized in-source unfolding, and enhanced MS sensitivity, allowing detection of oligomers up to the heptamer. A short, narrow-bore 200 Å UHPLC SEC separation column was used. Low-flow separations (~0.05 mL/min) enabled efficient ionization and 10 min run times. An accelerated 60 °C stress-testing protocol demonstrated that SEC-MS can semi-quantitatively monitor oligomerization dynamics, complementing UV-based quantification and revealing transient species not resolved by UV alone. The method showed acceptable linearity, precision, and sample stability, and comparison with SEC-RALS/LALS confirmed molecular-weight trends across aggregation states. Overall, the developed SEC-UV/HRMS workflow provides a rapid, sensitive, and widely accessible approach for UV-based quantification of monomer- and HRMS-based characterizing protein aggregation in research and quality control in pharmaceutical laboratories. Full article
(This article belongs to the Special Issue Applied Chemistry in Europe, 2nd Edition)
Show Figures

Graphical abstract

32 pages, 24330 KB  
Article
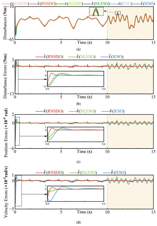
Reciprocal Neural State–Disturbance Observer for Model-Free Trajectory Tracking of Robotic Manipulators
by Binluan Wang, Yuchen Peng, Hongzhe Jin and Jie Zhao
Mathematics 2026, 14(6), 983; https://doi.org/10.3390/math14060983 - 13 Mar 2026
Viewed by 59
Abstract
High-precision trajectory tracking of robotic manipulators is fundamentally challenged by strong nonlinear dynamics, unmodeled uncertainties, and external disturbances. This paper proposes a Reciprocal Neural State–Disturbance Observer (RNSDO) featuring a neural activation mechanism for adaptive gain modulation and a reciprocally coupled state–disturbance estimation architecture. [...] Read more.
High-precision trajectory tracking of robotic manipulators is fundamentally challenged by strong nonlinear dynamics, unmodeled uncertainties, and external disturbances. This paper proposes a Reciprocal Neural State–Disturbance Observer (RNSDO) featuring a neural activation mechanism for adaptive gain modulation and a reciprocally coupled state–disturbance estimation architecture. By reshaping the observer error dynamics through mutual feedback between state and disturbance estimation, the proposed structure alleviates the conflict between fast transient disturbance reconstruction and steady-state noise suppression, while requiring only position measurements. A decentralized position controller is designed based on RNSDO. The global asymptotic stability of the resulting closed-loop system is rigorously established via Lyapunov analysis. Extensive simulations on a PUMA 560 and experiments on a 7-DOF Franka FR3 robotic manipulator demonstrate highly consistent performance trends. The proposed method achieves improved state and disturbance estimation accuracy and enhanced robustness against unmodeled dynamics and payload variations compared with a linear Improved Extended State Observer (IESO), a classical Nonlinear Extended State Observer (NLESO), and a model-based Nonlinear Disturbance Observer-based Adaptive Robust Controller (NDO-ARC). Furthermore, the algorithm exhibits excellent real-time feasibility with a minimal computational footprint. Full article
(This article belongs to the Special Issue Mathematical Methods for Intelligent Robotic Control and Design)
Show Figures

Figure 1

22 pages, 2644 KB  
Article
Thermal Stress Response in Flat-Tubular Solid Oxide Fuel Cells Induced by Transient Temperature Rise During Thermal Cycling
by Yuxing Hu, Qi Xu, Chengtian Wang and Fuxing Miao
Energies 2026, 19(6), 1452; https://doi.org/10.3390/en19061452 - 13 Mar 2026
Viewed by 59
Abstract
High-temperature Solid Oxide Fuel Cells (SOFCs) typically operate under conditions involving repeated thermal cycling. The transient temperature rise during thermal cycling directly affects the stress distribution within the SOFC structure, particularly inducing non-uniform thermal stresses in the electrolyte layer. This can readily lead [...] Read more.
High-temperature Solid Oxide Fuel Cells (SOFCs) typically operate under conditions involving repeated thermal cycling. The transient temperature rise during thermal cycling directly affects the stress distribution within the SOFC structure, particularly inducing non-uniform thermal stresses in the electrolyte layer. This can readily lead to cracking and fracture of the SOFCs, potentially degrading overall system performance. Therefore, investigating the effects of cyclic thermal loading on structural stress distribution is essential for optimizing SOFC design. To this end, this study developed a coupled thermo-chemo-mechanical finite element analysis for a planar tubular SOFC. The model is employed to analyze the influence of thermal impact on the thermal stress distribution within the cell structure under multiple thermal cycling conditions. The results indicate that both the transient temperature rise during SOFC operation and the number of thermal cycles significantly affect the peak stress in the electrolyte layer and the overall performance stability of the cell. By optimizing the geometric configuration of the flat-tubular and the transient temperature rise during thermal cycling, the thermal stress field distribution in the electrolyte can be improved. These findings provide theoretical guidance for optimizing the design and engineering application of high-temperature SOFCs. Full article
Show Figures

Figure 1

19 pages, 6148 KB  
Article
Excavation in the Vicinity of an Anti-Flood Embankment—A Case Study
by Michał Grodecki
Appl. Sci. 2026, 16(6), 2729; https://doi.org/10.3390/app16062729 - 12 Mar 2026
Viewed by 82
Abstract
According to Polish law, it is prohibited to perform excavations or locate buildings closer than 50 m to an embankment. In order to obtain exemption from this ban, filtration and stability analysis of the embankments and excavation in flood conditions must be performed. [...] Read more.
According to Polish law, it is prohibited to perform excavations or locate buildings closer than 50 m to an embankment. In order to obtain exemption from this ban, filtration and stability analysis of the embankments and excavation in flood conditions must be performed. This paper presents the results of a numerical investigation of a real case on the interactions between an excavation and an embankment. A transient flow model was used for filtration simulations, and the obtained pore pressure distributions automatically underwent stability analysis. The stability and filtration simulation results are presented. The safe design of an excavation support is proven. Changes in the values of the Stability Factor (SF) and stability loss mechanism (sliding surface location) during a flood are observed and discussed, with possible explanations given. A parametric study focused on the influence of the length and stiffness of the steel sheet pile wall on the embankment and excavation behavior. The relationship between wall length and the Stability Factor (SF) is strongly nonlinear and differs significantly between the various phases of flooding. Shortening of the wall may lead to either a decrease or increase in the bending moment. The main novelty of this work is the combination of excavation support and anti-flood embankment analysis, for which references are very limited. Also, the parametric study is considered novel, with no similar analyses being found in the literature. The problem of the reasonable selection of design values of the bending moment in the sheet pile wall is also often omitted. Additionally, one of the analyzed excavations is located on the waterside, where usually only excavations located on the airside are taken into account. All numerical simulations were performed using the ZSOIL.PC FEM (Finite Element Method) system. Full article
(This article belongs to the Section Civil Engineering)
Show Figures

Figure 1

20 pages, 3358 KB  
Article
CFD Simulation of a Vertical-Axis Savonius-Type Micro Wind Turbine Using Meteorological Data from an Educational Environment
by José Cabrera-Escobar, Carlos Mauricio Carrillo Rosero, César Hernán Arroba Arroba, Santiago Paúl Cabrera Anda, Catherine Cabrera-Escobar and Raúl Cabrera-Escobar
Clean Technol. 2026, 8(2), 40; https://doi.org/10.3390/cleantechnol8020040 - 12 Mar 2026
Viewed by 174
Abstract
This study presents a two-dimensional computational fluid dynamics analysis of a vertical-axis Savonius-type wind turbine under atmospheric conditions representative of an educational environment located in the Ecuadorian Andean region. Unlike previous studies conducted under sea-level meteorological conditions, this research is performed under high-altitude [...] Read more.
This study presents a two-dimensional computational fluid dynamics analysis of a vertical-axis Savonius-type wind turbine under atmospheric conditions representative of an educational environment located in the Ecuadorian Andean region. Unlike previous studies conducted under sea-level meteorological conditions, this research is performed under high-altitude conditions (2723 m a.s.l.). The unsteady flow around the rotor was simulated using a two-dimensional approach based on the Unsteady Reynolds-Averaged Navier–Stokes (URANS) equations, discretized with the finite volume method and coupled with the k–ω Shear Stress Transport (SST) turbulence model. The rotor rotation was modeled using sliding mesh technique, employing a second-order implicit time scheme to ensure numerical stability and adequate temporal resolution. The numerical model was configured for a tip speed ratio of 0.8 and a wind speed of 3.9 m/s. The time step was defined based on a constant angular advancement of the rotor per time iteration, ensuring numerical stability and adequate temporal resolution. The aerodynamic torque was obtained by integrating the pressure and viscous forces acting on the blades, allowing the calculation of the mechanical power generated and the power coefficient. The results showed a periodic and stable torque behavior after the initial transient cycles, yielding an average torque of 0.7687 N·m and a mechanical power of 5.17 W, while the power coefficient reached a value of 0.2102. Analysis of the flow fields revealed the formation of a low-velocity wake downstream of the rotor, regions of high turbulent kinetic energy associated with periodic vortex shedding, and a significant pressure difference between the advancing and returning blades, confirming that turbine operation is dominated by drag forces. The numerical results were validated through comparison with previous studies, showing good agreement and demonstrating the reliability of the proposed Computational Fluid Dynamics (CFD) approach. This study highlights the potential of Savonius turbines for low-power applications in urban and educational environments, as well as the usefulness of CFD as a tool for evaluating and optimizing their aerodynamic performance. Full article
Show Figures

Figure 1

10 pages, 2936 KB  
Technical Note
Modified Midface Repositioning Using PLLA/PCL Barbed Threads: An Anatomically Guided Fixed-Anchorage Technical Report with Illustrative Cases
by Luiz Tonon, Renata Viana, Alessandra Haddad and Luiz Eduardo Avelar
Cosmetics 2026, 13(2), 65; https://doi.org/10.3390/cosmetics13020065 - 12 Mar 2026
Viewed by 105
Abstract
Background: Floating barbed threads are commonly used for minimally invasive midface lifting and rely on mobile subcutaneous tissue for support, which may limit stability. Fixation is primarily achieved by barb engagement within the subcutaneous fat and fibrous septa of the retinacula cutis. Objectives: [...] Read more.
Background: Floating barbed threads are commonly used for minimally invasive midface lifting and rely on mobile subcutaneous tissue for support, which may limit stability. Fixation is primarily achieved by barb engagement within the subcutaneous fat and fibrous septa of the retinacula cutis. Objectives: To describe an anatomically guided modification of the APTOS Excellence Visage Soft (PLLA/PCL) thread technique, positioning the terminal segment posterior to the zygomatic retaining ligament line with the aim to enhancing mechanical stability. This technical report presents the anatomical rationale, procedural steps, and illustrative clinical cases demonstrating feasibility. Methods: The modified technique uses a single-entry point at the superior zygomatic margin, with five threads per hemiface. After linear insertion, the cannula is rotated laterally and inferiorly to position the terminal barbs posterior to the zygomatic retaining ligament line, thereby transferring tensile load toward a more fixed anatomical structure. Representative cases were documented and are presented. Results: Illustrative cases showed immediate midface elevation with improved malar projection and softening of the nasolabial and mentolabial folds. Standardized 3D imaging and vector analysis demonstrated a superolateral pattern of soft tissue displacement along the intended vectors, consistent with the proposed fixed-anchorage concept. The procedure was well tolerated, with only mild and transient local effects observed. One illustrative case included photographic follow-up at 12 months, in which preservation of midface contour and malar projection was visually appreciable. Conclusions: Redirecting the terminal thread segment posterior to the zygomatic retaining ligament line is a feasible modification that may contribute to improved vector stability by engaging a fixed fascial structure. Observations—including one case with 12-month follow-up—support the anatomical plausibility of the approach, although controlled studies with objective endpoints are necessary to confirm long-term efficacy and reproducibility. Full article
(This article belongs to the Section Cosmetic Technology)
Show Figures

Figure 1

32 pages, 2455 KB  
Article
Symmetry-Inspired Comparative Evaluation of Metaheuristic Algorithms for Optimized Control of Distributed Generation Microgrids with Active Loads
by Hafiz Arslan Khan, Muhammad Salman Fakhar, Syed Abdul Rahman Kashif, Ahmed Ali and Akhtar Rasool
Symmetry 2026, 18(3), 463; https://doi.org/10.3390/sym18030463 - 9 Mar 2026
Viewed by 182
Abstract
Optimizing the control parameters of an islanded microgrid with active load integration presents a challenging operational research problem since current methodologies frequently fail to reach the ideal balance or symmetry between transient response, stability, and efficiency. The conventional methods, such as the canonical [...] Read more.
Optimizing the control parameters of an islanded microgrid with active load integration presents a challenging operational research problem since current methodologies frequently fail to reach the ideal balance or symmetry between transient response, stability, and efficiency. The conventional methods, such as the canonical Particle Swarm Optimization (PSO), have settling time and voltage ripple minimization constraints, indicating possible improvement scopes. This research addresses this gap by employing advanced metaheuristic algorithms such as Accelerated Particle Swarm Optimization (APSO), Accelerated Particle Swarm Optimization with variable α (APSO α), Accelerated Particle Swarm Optimization with Normal Distribution (APSO_G), Rayleigh Distribution Accelerated Particle Swarm Optimization (RDAPSO), Rayleigh Distribution Accelerated Particle Swarm Optimization with variable α (RDAPSO α), and the Dragonfly Algorithm (DA). The algorithms were tested for their performance by using CEC Standard Benchmark functions from 2017, 2019, and 2022, providing a basis for rigorous and symmetrical testing and validation. The optimized RDAPSO α algorithm showed a significant reduction in voltage ripple, which was reduced from 4 V to 0.47 V, with an 88.25% reduction. It also showed a 46.32% improvement in settling time, which was reduced from 184.2 ms to 98.9 ms compared to PSO. A detailed statistical analysis was conducted to enhance the reliability and symmetry of the outcomes using Multivariate Analysis of Variance (MANOVA), the Mann–Whitney U test, the Friedman test, and the Bonferroni test. The results show that RDAPSO α offers a significant edge over the rest of the algorithms, with improvements that can be declared statistically superior in optimizing microgrids with improved symmetry in performance. Full article
(This article belongs to the Special Issue Symmetry with Power Systems: Control and Optimization)
Show Figures

Figure 1

22 pages, 3614 KB  
Article
Assessing Time–Frequency Analysis Methods for Non-Stationary EMG Bursts: Application to an Animal Model of Parkinson’s Disease
by Fernando Daniel Farfán, Ana Lía Albarracín, Leonardo Ariel Cano and Eduardo Fernández
Sensors 2026, 26(5), 1688; https://doi.org/10.3390/s26051688 - 7 Mar 2026
Viewed by 317
Abstract
Time–frequency (TF) characterization of electromyographic (EMG) bursts is essential for accurately assessing muscle function, particularly when the signals exhibit a high degree of nonstationarity. In this exploratory study, we investigated the temporal dynamics of the spectral components associated with short-latency EMG bursts using [...] Read more.
Time–frequency (TF) characterization of electromyographic (EMG) bursts is essential for accurately assessing muscle function, particularly when the signals exhibit a high degree of nonstationarity. In this exploratory study, we investigated the temporal dynamics of the spectral components associated with short-latency EMG bursts using several TF analysis techniques. Specifically, we compared the performance and interpretability of spectrograms obtained via the short-time Fourier transform (STFT), the continuous wavelet transform (CWT), and noise-assisted multivariate empirical mode decomposition (NA-MEMD), applied to EMG signals recorded from the biceps femoris muscle of freely moving rats in an animal model of Parkinson’s disease, acquired using chronically implanted bipolar electrodes during treadmill locomotion. For each method, we evaluated its effectiveness in capturing transient variations in frequency content, the stability of extracted features across bursts, and the extent to which these features reflect physiologically meaningful aspects of muscle activation. The results show that TF approaches reveal complementary information about burst structure; NA-MEMD provides greater adaptability to nonlinear and nonstationary components, whereas STFT- and CWT-based representations offer more controlled and comparable analyses. Overall, these findings highlight the value of TF analysis as a methodological tool for evaluating muscle function and provide a solid foundation for selecting analytical strategies in studies where EMG bursts exhibit complex and highly variable spectral profiles. Full article
Show Figures

Figure 1

32 pages, 1485 KB  
Article
Machine and Deep Learning Approaches for Wind Turbine Model Parameter Prediction Within the Framework of IEC 61400-27 Standard
by Javier Jiménez-Ruiz, Andrés Honrubia-Escribano and Emilio Gómez-Lázaro
Electronics 2026, 15(5), 1104; https://doi.org/10.3390/electronics15051104 - 6 Mar 2026
Viewed by 166
Abstract
The increasing penetration of renewable energy sources in power systems has intensified the need for accurate modelling of generation units under transient conditions. Despite the widespread adoption of the IEC 61400-27 generic wind turbine models, their parametrization remains a critical challenge. Classical optimization-based [...] Read more.
The increasing penetration of renewable energy sources in power systems has intensified the need for accurate modelling of generation units under transient conditions. Despite the widespread adoption of the IEC 61400-27 generic wind turbine models, their parametrization remains a critical challenge. Classical optimization-based approaches are time-consuming, prone to convergence to local minima in the high-dimensional non-convex parameter space and require substantial expert knowledge. To address this gap, this paper proposes a machine learning- and deep learning-based methodology for estimating the key mechanical parameters of Type III wind turbines. A synthetic database of 10,000 active power responses was generated using DIgSILENT PowerFactory via its Python Application Programming Interface, covering a wide range of voltage dip conditions and mechanical parameter combinations. A comparative analysis of eight machine learning and deep learning algorithms for this task is performed. Validation is performed on both the synthetic dataset and two real manufacturer-validated wind turbine models. The results demonstrate that the proposed methodology enables fast and accurate identification of the mechanical parameters of wind turbines, maintaining reliable estimation performance even in the presence of measurement noise, thereby supporting its applicability in power system stability studies. Full article
(This article belongs to the Topic Advances in Wind Energy Technology: 2nd Edition)
Show Figures

Figure 1

27 pages, 1815 KB  
Article
A Stability-Aware Adaptive Fractional-Order Speed Control Framework for IPMSM Electric Vehicles in Field-Weakening Operation
by Chih-Chung Chiu, Wei-Lung Mao and Feng-Chun Tai
Energies 2026, 19(5), 1326; https://doi.org/10.3390/en19051326 - 5 Mar 2026
Viewed by 176
Abstract
High-performance speed regulation of interior permanent magnet synchronous motor (IPMSM) drives in electric vehicle (EV) applications becomes particularly challenging in the field-weakening region, where voltage constraints, parameter variations, and nonlinear aerodynamic loads significantly affect the closed-loop stability. To address these challenges, this paper [...] Read more.
High-performance speed regulation of interior permanent magnet synchronous motor (IPMSM) drives in electric vehicle (EV) applications becomes particularly challenging in the field-weakening region, where voltage constraints, parameter variations, and nonlinear aerodynamic loads significantly affect the closed-loop stability. To address these challenges, this paper proposes a stability-aware adaptive fractional-order speed control framework for EV traction systems. The framework integrates a fractional-order PI (FOPI) core to provide iso-damping robustness, a bounded fuzzy gain-scheduling mechanism for real-time adaptation, and an offline multi-objective optimization layer for systematic parameter tuning. A Lyapunov-based qualitative analysis is provided to justify closed-loop ultimate boundedness under adaptive gain modulation and field-weakening constraints. The fuzzy scheduler is explicitly structured to regulate the error energy dissipation rate by modulating the proportional and integral gains while preserving the gain boundedness. The controller parameters are optimized using a diversity-driven fractional-order multi-objective PSO algorithm to balance the tracking accuracy and control effort. The proposed framework was validated using a high-fidelity MATLAB/Simulink–CarSim 2023 co-simulation platform under the aggressive US06 driving cycle. The results demonstrated a zero-overshoot transient response, robustness against a 2.5× inertia mismatch, and sustained performance under flux-linkage and inductance variations in deep field-weakening operation. Compared with conventional PI-based strategies, the proposed approach reduced the speed RMSE by 82%, lowered the current THD from 18.5% to 3.2%, and reduced the cumulative DC-link current-squared index by 6.7%. These results validate the practical robustness and computational feasibility of the proposed stability-aware framework for EV traction control. Full article
Show Figures

Graphical abstract

34 pages, 1511 KB  
Article
Finite-Time Contractivity Profiling of a Two-Parameter Parallel Root-Finding Scheme via a kNN–LLE Proxy
by Mudassir Shams, Andrei Velichko and Bruno Carpentieri
Mathematics 2026, 14(5), 879; https://doi.org/10.3390/math14050879 - 5 Mar 2026
Viewed by 197
Abstract
Parallel iterative schemes are widely used for the simultaneous computation of all distinct roots of nonlinear equations in scientific computing and engineering. While high-order parallel methods can provide substantial acceleration, their practical performance is often dominated by the choice of internal real-valued parameters [...] Read more.
Parallel iterative schemes are widely used for the simultaneous computation of all distinct roots of nonlinear equations in scientific computing and engineering. While high-order parallel methods can provide substantial acceleration, their practical performance is often dominated by the choice of internal real-valued parameters introduced by correction/acceleration mechanisms, which may strongly affect convergence speed and numerical robustness. Classical parameter-selection strategies—based on analytical sufficient conditions, trial-and-error experimentation, or qualitative dynamical diagnostics (basins of attraction, bifurcation-style inspection, and parameter planes)—are typically problem-dependent, expensive to scale, and difficult to automate reproducibly. In this work, we propose a data-driven framework for systematic parameter optimization based on finite-time contractivity profiling. The approach uses k-nearest neighbors (kNN) micro-series analysis to estimate a proxy profile of the largest Lyapunov exponent (LLE) along the iteration index, summarizing the transient contraction/expansion behavior of the solver trajectories. Two profile-based scores, the minimum score Smin and the moment score Smom, are introduced to rank candidate parameter pairs and to construct stability landscapes over (α,β) grids. As a testbed, we apply the framework to a bi-parametric two-step parallel Weierstrass-type scheme and demonstrate that the learned parameter regions yield faster and more reliable convergence than generic or manually tuned choices. Extensive numerical experiments show that the proposed profiling-based optimization consistently improves convergence rate and robustness across the considered nonlinear test problems, providing a scalable and reproducible alternative to heuristic and dynamical-system-based tuning. Full article
(This article belongs to the Section E1: Mathematics and Computer Science)
Show Figures

Figure 1

15 pages, 3252 KB  
Communication
Experimental Research into the Thermal Properties of Structural Barriers Produced Using Additive Methods and Phase Change Materials (PCMs)
by Beata Anwajler, Krystian Grabowski, Tullio de Rubeis, Monika Nowakowska, Paweł Leśniewski and Jacek Kasperski
Fibers 2026, 14(3), 33; https://doi.org/10.3390/fib14030033 - 4 Mar 2026
Viewed by 344
Abstract
Construction technologies and materials engineering are collaborating to develop new solutions that enhance energy efficiency. One such solution is thermal barriers filled with phase change material. Thanks to their thermal properties, these innovative barriers are being used in an increasing number of construction [...] Read more.
Construction technologies and materials engineering are collaborating to develop new solutions that enhance energy efficiency. One such solution is thermal barriers filled with phase change material. Thanks to their thermal properties, these innovative barriers are being used in an increasing number of construction projects. Additive manufacturing enables the production of architected thermal barriers with controlled cellular topologies and customized heat transfer pathways. This study investigates the thermal performance of lightweight partitions produced using masked stereolithography (m-SLA) 3D printing, focusing on two geometries: open-cell Kelvin structures and closed-cell honeycomb structures. Two strategies for incorporating phase change material were evaluated: direct addition of 10% and 30% paraffin oil by weight to the photopolymer resin and post-print filling of cellular voids with a PCM-based gel. The aim was to establish the effect of topology and PCM distribution on steady-state thermal parameters and transient temperature stabilization. Experimental testing under cyclic heating–cooling conditions revealed that increasing paraffin oil content significantly improves thermal performance. The open-cell Kelvin structure with 30% PCM exhibited the lowest thermal conductivity (λ = 0.0289 W/(m·K)) and the highest thermal resistance (R = 0.697 m2·K/W). Honeycomb structures achieved λ = 0.0360 W/(m·K) and R = 0.590 m2·K/W at the same PCM content. Transient analysis demonstrated enhanced temperature stabilization, with maximum ΔT values of 29.55 K (30% PCM) and 28.61 K (honeycomb 30%). These results confirm that the geometry produced by additive manufacturing plays a decisive role in governing heat transfer and latent heat utilization in PCM-based thermal barriers. Full article
Show Figures

Figure 1

27 pages, 5952 KB  
Article
Battery Energy Storage Systems for Primary Frequency Regulation Applied to a Thermal Generation Plant
by Oscar Andrés Tobar-Rosero, John E. Candelo-Becerra, Jhon Montano, Luis F. Quintero-Henao and Fredy E. Hoyos
Electricity 2026, 7(1), 22; https://doi.org/10.3390/electricity7010022 - 3 Mar 2026
Viewed by 376
Abstract
This study presents the use of a Battery Energy Storage System (BESS) and a thermal power plant to enhance Primary Frequency Regulation (PFR) in a power system. This integration seeks to mitigate operational challenges, such as the reduction in system inertia and frequency [...] Read more.
This study presents the use of a Battery Energy Storage System (BESS) and a thermal power plant to enhance Primary Frequency Regulation (PFR) in a power system. This integration seeks to mitigate operational challenges, such as the reduction in system inertia and frequency regulation, which are heightened when increasing renewable energy use in power grids with high hydroelectric generation. The proposed solution enables thermal generators to operate at optimal capacity, while the BESS provides a rapid frequency response, thereby enhancing operational efficiency and compliance with national standards. The process was structured in five stages: criteria definition, analysis, design, models, and evaluation. A comprehensive methodological approach was adopted, including dynamic system modeling and BESS sizing based on regulatory parameters. The method was tested with real data from a thermal plant under the conditions of the Colombian electricity market. The simulation results highlight the effectiveness of the proposed BESS, with a response time of approximately 0.6 s and regulation maintenance for over 30 s, reducing mechanical stress and preventing frequency overshoot. The control strategy was designed to maintain the energy neutrality of the BESS, thereby stabilizing its state of charge over the operational horizon. The results show that the BESS targets high-frequency transients and the generator focuses on low-frequency adjustments, managed by an Energy Management System (EMS) with a unified control approach. Full article
Show Figures

Figure 1

21 pages, 3133 KB  
Article
Lyapunov-Based Synthesis of Self-Organizing Nonlinear Integrators for Stage Motion Control Under Parametric Uncertainty
by Raigul Tuleuova, Nurgul Shazhdekeyeva, Sharbat Nurzhanova, Aigul Myrzasheva, Saltanat Sharmukhanbet, Maxot Rakhmetov, Makhatova Valentina and Lyailya Kurmangaziyeva
Computation 2026, 14(3), 64; https://doi.org/10.3390/computation14030064 - 3 Mar 2026
Viewed by 209
Abstract
Linear integrators are traditionally used in motion control systems to compensate for static effects and suppress low-frequency disturbances. However, their use is inevitably accompanied by phase delays that limit the performance and robustness of control systems, especially in conditions of parametric uncertainty. In [...] Read more.
Linear integrators are traditionally used in motion control systems to compensate for static effects and suppress low-frequency disturbances. However, their use is inevitably accompanied by phase delays that limit the performance and robustness of control systems, especially in conditions of parametric uncertainty. In this regard, nonlinear integrators have been considered for several decades as a promising alternative that can weaken phase constraints and improve the quality of transients. In this paper, the concept of nonlinear integrators is reinterpreted in the context of self-organizing motion control of precision stages. In contrast to traditional approaches focused primarily on frequency analysis and the method of describing the function, a method is proposed for the synthesis of a self-organizing control system for nonlinear SISO objects based on catastrophe theory, namely in the class of elliptical dynamics with the property of structural stability. The control action is formed in such a way that transitions between stable modes occur due to bifurcation-conditioned self-organization, without using external switching logic. To ensure strict analytical guarantees of stability, the Lyapunov gradient-velocity vector function method is used, which guarantees aperiodic robust stability, suppression of oscillatory and chaotic modes, as well as monotonic convergence of trajectories under conditions of parameter uncertainty. The parameters of the nonlinear integrator are adapted using Self-Organizing Maps (SOM), while any parameter changes are allowed only within the regions that meet the conditions of Lyapunov stability. This approach ensures the alignment of analytical and data-oriented methods without violating the structural stability of the system. The results of numerical experiments demonstrate the superiority of the proposed method in comparison with classical linear and adaptive regulators in problems of controlling the movement of stages, especially near bifurcation boundaries and with significant parametric uncertainty. The results obtained confirm that the integration of nonlinear integrators with catastrophe theory and self-organization mechanisms forms a promising basis for the creation of robust and high-precision motion control systems of a new generation. Full article
(This article belongs to the Section Computational Engineering)
Show Figures

Figure 1

12 pages, 2797 KB  
Article
Facile Fabrication of Carbon Paper-Supported Fe Catalyst Under Pulse Laser Irradiation for Degradation of Rhodamine B
by Wenhao Bai, Fei Chang, Xiaohan Fan and Wei Tian
Nanomaterials 2026, 16(5), 314; https://doi.org/10.3390/nano16050314 - 28 Feb 2026
Viewed by 339
Abstract
Persistent organic pollutants, such as Rhodamine B (RhB), pose significant environmental and health risks, necessitating the development of advanced oxidation technologies for effective removal. While heterogeneous photo-Fenton catalysts are known for their high degradation efficiency, their practical application is often limited by complex [...] Read more.
Persistent organic pollutants, such as Rhodamine B (RhB), pose significant environmental and health risks, necessitating the development of advanced oxidation technologies for effective removal. While heterogeneous photo-Fenton catalysts are known for their high degradation efficiency, their practical application is often limited by complex synthesis processes, catalyst detachment, and difficult recovery. This study proposes an innovative laser-induced, one-step synthesis strategy to fabricate metal/carbon nanocomposite catalytic layers directly onto flexible carbon paper. The as-prepared composites exhibit strong interfacial interaction between metal nanoparticles and the carbon matrix, as indicated by XPS analysis, and demonstrate enhanced catalytic activity in the UV/H2O2 system. Notably, the integrated composites exhibit exceptional catalytic activity in the UV/H2O2 system, achieving complete degradation of a 20 mg/L RhB solution within just 1.5 h. The enhanced performance is attributed to the facilitated Fe3+/Fe2+ cycling and efficient generation of hydroxyl radicals (·OH), although the underlying charge separation mechanism requires further investigation with techniques such as photoluminescence spectroscopy and transient photocurrent measurements. This work not only demonstrates the high activity and stability of the photo-Fenton catalyst but also provides a green, rapid fabrication approach for the development of efficient and integrable catalytic devices for wastewater treatment. Full article
(This article belongs to the Special Issue Advanced Manufacturing of Nanomaterials)
Show Figures

Graphical abstract

Back to TopTop