Sign in to use this feature.

Years

Between: -

Subjects

remove_circle_outline
remove_circle_outline
remove_circle_outline
remove_circle_outline
remove_circle_outline
remove_circle_outline
remove_circle_outline
remove_circle_outline
remove_circle_outline

Journals

remove_circle_outline
remove_circle_outline
remove_circle_outline
remove_circle_outline
remove_circle_outline
remove_circle_outline
remove_circle_outline
remove_circle_outline
remove_circle_outline
remove_circle_outline
remove_circle_outline
remove_circle_outline
remove_circle_outline
remove_circle_outline
remove_circle_outline
remove_circle_outline

Article Types

Countries / Regions

remove_circle_outline
remove_circle_outline
remove_circle_outline
remove_circle_outline
remove_circle_outline
remove_circle_outline
remove_circle_outline
remove_circle_outline
remove_circle_outline

Search Results (4,342)

Search Parameters:
Keywords = traffic area

Order results
Result details
Results per page
Select all
Export citation of selected articles as:
22 pages, 6823 KB  
Article
Exploring the Spatial Distribution of Traditional Villages in Yunnan, China: A Geographic-Grid MGWR Approach
by Xiaoyan Yin, Shujun Hou, Xin Han and Baoyue Kuang
Buildings 2026, 16(2), 295; https://doi.org/10.3390/buildings16020295 (registering DOI) - 10 Jan 2026
Abstract
Traditional villages are vital carriers of cultural heritage and key foundations for rural revitalization and sustainable development, yet rapid urbanization increasingly threatens their survival, making it necessary to clarify their spatial distribution and driving mechanisms to support effective conservation and rational utilization. Yunnan [...] Read more.
Traditional villages are vital carriers of cultural heritage and key foundations for rural revitalization and sustainable development, yet rapid urbanization increasingly threatens their survival, making it necessary to clarify their spatial distribution and driving mechanisms to support effective conservation and rational utilization. Yunnan Province, home to 777 nationally recognized traditional villages and the highest number in China, offers a representative context for such analysis. Methodologically, this study uses a 12 km × 12 km geographic grid (3005 cells) rather than administrative units. The count of catalogued traditional villages in each cell is taken as the dependent variable, and nine indicators selected from five dimensions (traffic accessibility, natural topography, climatic conditions, socioeconomic factors, and historical and cultural factors) serve as explanatory variables. Assuming that relationships between villages and their environment are spatially nonstationary and operate at multiple spatial scales, we combine spatial autocorrelation analysis with a multiscale geographically weighted regression (MGWR) model to detect clustering patterns and estimate location-specific coefficients and bandwidths. The results indicate that: (1) traditional villages in Yunnan exhibit significant clustering, with over 60% concentrated in Dali, Baoshan, Honghe, and Lijiang; (2) the spatial pattern follows a “more in the northwest, fewer in the southeast, dense in mountainous areas” distribution, shaped by both natural and socioeconomic factors; (3) natural geographic factors show the strongest associations, with sunshine duration and water availability strongly promoting village presence, while slope exhibits regionally differentiated effects; (4) socioeconomic development and transportation accessibility are generally negatively associated with village distribution, but in tourism-driven areas such as Dali and Lijiang, road improvements have facilitated protection and revitalization; and (5) historical and cultural factors, particularly proximity to nationally protected cultural heritage sites, contribute to spatial clustering and long-term preservation. The MGWR model achieves strong explanatory power (R2 = 0.555, adjusted R2 = 0.495) and outperforms OLS and standard GWR, confirming its suitability for analyzing the spatial mechanisms of traditional villages. Finally, the study offers targeted recommendations for the conservation and sustainable development of traditional villages in Yunnan. Full article
(This article belongs to the Special Issue Advanced Study on Urban Environment by Big Data Analytics)
Show Figures

Figure 1

14 pages, 498 KB  
Article
Intrusion Detection for Internet of Vehicles CAN Bus Communications Using Machine Learning: An Empirical Study on the CICIoV2024 Dataset
by Hop Le and Izzat Alsmadi
Future Internet 2026, 18(1), 42; https://doi.org/10.3390/fi18010042 - 9 Jan 2026
Viewed by 59
Abstract
The rapid integration of connectivity and automation in modern vehicles has significantly expanded the attack surface of in-vehicle networks, particularly the Controller Area Network (CAN) bus, which lacks native security mechanisms. This study investigates machine learning-based intrusion detection for Internet of Vehicles (IoV) [...] Read more.
The rapid integration of connectivity and automation in modern vehicles has significantly expanded the attack surface of in-vehicle networks, particularly the Controller Area Network (CAN) bus, which lacks native security mechanisms. This study investigates machine learning-based intrusion detection for Internet of Vehicles (IoV) environments using the CICIoV2024 dataset. Unlike prior studies that rely on highly redundant traffic traces, this work applies strict de-duplication to eliminate repetitive CAN frames, resulting in a dataset of unique attack signatures. To ensure statistical robustness despite the reduced data size, Stratified K-Fold Cross-Validation was employed. Experimental results reveal that while traditional models like Random Forest (optimized with ANOVA feature selection) maintain stability (F1-Macro ≈ 0.64), Deep Learning models fail to generalize (F1-Macro < 0.55) when denied the massive redundancy they typically require. These findings challenge the “near-perfect” detection rates reported in the literature, suggesting that previous benchmarks may reflect data leakage rather than true anomaly detection capabilities. The study concludes that lightweight models offer superior resilience for resource-constrained vehicular environments when evaluated on realistic, non-redundant data. Full article
Show Figures

Figure 1

24 pages, 1272 KB  
Systematic Review
How Extended Reality Is Shaping Smart Cities: A Systematic Literature Review
by Marina Ricci, Nicola Mosca, Moh Rafik and Maria Di Summa
Appl. Sci. 2026, 16(2), 679; https://doi.org/10.3390/app16020679 - 8 Jan 2026
Viewed by 100
Abstract
XR technologies enhance the sustainable development of urban areas by merging digital and physical worlds. In smart city contexts, XR has been applied in miscellaneous ways, from supporting urban planning and design through immersive visualization, to improving traffic and navigation services via real-time [...] Read more.
XR technologies enhance the sustainable development of urban areas by merging digital and physical worlds. In smart city contexts, XR has been applied in miscellaneous ways, from supporting urban planning and design through immersive visualization, to improving traffic and navigation services via real-time overlays, and to enhancing public safety and emergency response through simulation and situational support. However, the literature does not clearly categorize XR application domains in smart cities, interaction methods, and types of sensory feedback. This study presents an SLR reported in accordance with the PRISMA 2020 guidelines. We included 92 studies published between 2009 and 2024, proposing a classification of application domains, interaction modalities, and sensory feedback. We searched Scopus, Web of Science, and IEEE Xplore using predefined search terms and eligibility criteria. This review offers a comprehensive overview of nearly 20 years of XR research in smart cities, highlighting established practices and guiding future application development and research directions. Full article
(This article belongs to the Special Issue Extended Reality (XR): Recent Advances and Emerging Trends)
Show Figures

Figure 1

19 pages, 4784 KB  
Article
Deep Learning-Based AIS Signal Collision Detection in Satellite Reception Environment
by Geng Wang, Luming Li, Xin Chen and Zhengning Zhang
Appl. Sci. 2026, 16(2), 643; https://doi.org/10.3390/app16020643 - 8 Jan 2026
Viewed by 122
Abstract
Automatic Identification System (AIS) signals are critical for maritime traffic monitoring and collision avoidance. In satellite reception environments, signal collisions occur frequently due to large coverage areas and high ship density, severely degrading decoding performance. We propose a dual-branch deep learning architecture that [...] Read more.
Automatic Identification System (AIS) signals are critical for maritime traffic monitoring and collision avoidance. In satellite reception environments, signal collisions occur frequently due to large coverage areas and high ship density, severely degrading decoding performance. We propose a dual-branch deep learning architecture that combines precise boundary detection with segment-level classification to address this collision problem. The network employs a multi-scale convolutional backbone that feeds two specialized branches: one detects collision boundaries with sample-level precision, while the other provides semantic context through segment classification. We developed a satellite AIS dataset generation framework that simulates realistic collision scenarios including multiple ships, Doppler effects, and channel impairments. The trained model achieves 96% collision detection accuracy on simulated data. Validation on real satellite recordings demonstrates that our method retains 99.4% of valid position reports compared to direct decoding of the original signal. Controlled experiments show that intelligent collision removal outperforms random segment exclusion by 6.4 percentage points, confirming the effectiveness of our approach. Full article
(This article belongs to the Special Issue Cognitive Radio: Trends, Methods, Applications and Challenges)
Show Figures

Figure 1

39 pages, 3890 KB  
Review
Deep Reinforcement Learning for Sustainable Urban Mobility: A Bibliometric and Empirical Review
by Sharique Jamal, Farheen Siddiqui, M. Afshar Alam, Mohammad Ayman-Mursaleen, Sherin Zafar and Sameena Naaz
Sensors 2026, 26(2), 376; https://doi.org/10.3390/s26020376 - 6 Jan 2026
Viewed by 182
Abstract
This paper provides an empirical basis for a Computational Integration Framework (CIF), a systematic and scientifically supported implementation of artificial intelligence (AI) in smart city applications. This study is a methodological framework-with-validation study, where large-scale bibliometric analysis is used as a justification for [...] Read more.
This paper provides an empirical basis for a Computational Integration Framework (CIF), a systematic and scientifically supported implementation of artificial intelligence (AI) in smart city applications. This study is a methodological framework-with-validation study, where large-scale bibliometric analysis is used as a justification for design in the identification of strategically relevant urban areas rather than a single research study. This evidence determines urban mobility as the most mature and computationally optimal domain for empirical verification. The exploitation of CIF is realized using a DRL-driven traffic signal control system to show that bibliometrically informed domain selection can be put into application by way of an algorithm. The empirical results show that the most traditional control strategies accomplish significant performance gains, such as about 48% reduction in average wait time, over 30% increase in traffic efficiency, and considerable reductions in fuel consumption and CO2 emissions. A federated DRL solution maintains around 96% of central performance while still maintaining data privacy, which suggests that deployment in real-world situations is feasible. The contribution of this study is threefold: evidence-based domain selection through bibliometric analyses; introduction of CIF as an AI decision support bridge between AI techniques and urban application domains; and computational verification of the feasibility of DRL for sustainable urban mobility. These findings reveal policy information relevant to goals governing global sustainability, including the European Green Deal (EGD) and the United Nations Sustainable Development Goals (SDGs), and thus, the paper is a methodological framework paper based on literature and validated through computational experimentation. Full article
(This article belongs to the Special Issue Edge Artificial Intelligence and Data Science for IoT-Enabled Systems)
Show Figures

Figure 1

25 pages, 6071 KB  
Article
Prediction of Rear-End Collision Risk in Urban Expressway Diverging Areas Under Rainy Weather Conditions
by Xiaomei Xia, Tianyi Zhang, Jiao Yao, Pujie Wang, Chenke Zhu and Chenqiang Zhu
Systems 2026, 14(1), 56; https://doi.org/10.3390/systems14010056 - 6 Jan 2026
Viewed by 156
Abstract
To mitigate the frequent occurrence of rear-end collisions on urban expressways under rainy weather conditions, firstly, accident risk levels were classified using traffic conflict indicators. Secondly, three machine learning models were employed to predict the accident severity across different scenarios. Furthermore, key influencing [...] Read more.
To mitigate the frequent occurrence of rear-end collisions on urban expressways under rainy weather conditions, firstly, accident risk levels were classified using traffic conflict indicators. Secondly, three machine learning models were employed to predict the accident severity across different scenarios. Furthermore, key influencing factors of rear-end collisions were identified and analyzed based on SHAP values. Case studies were conducted by simulating vehicle trajectory data under light, moderate, and heavy rain scenarios, using an open urban expressway dataset and car-following parameters for rainy conditions. Next, the Modified Time-to-Collision (MTTC) metric was calculated. Risk thresholds for low-, medium-, and high-risk levels were established for each rainfall category using percentile-based cumulative distribution analysis. Finally, real-time risk prediction under the three rainfall scenarios was conducted using XGBoost, LightGBM, and Random Forest models. The model performances were evaluated in terms of accuracy, recall, precision, and AUC. Overall, the study finds that the LightGBM model achieves the highest predictive capability, with AUC values exceeding 0.78 under all weather conditions. Moreover, the study concludes that factors ranked by SHAP values reveal that the minimum distance has the greatest influence in light rain scenarios. As rainfall intensity increases, the influences of minimum headway time and average vehicle speed are found to grow, highlighting an interaction pattern characterized by “speed-distance-flow” coupling. Full article
Show Figures

Figure 1

30 pages, 13098 KB  
Article
Achieving Isobenefit Urbanism in the Central Urban Area of Megacities, Taking Beijing as a Case Study: The Core Area of the Capital
by Changming Yu, Yuqing Zhang, Zhaoyang Li, Xinyu Wang, Qiuyue Hai and Stephen Siu Yu Lau
Sustainability 2026, 18(1), 542; https://doi.org/10.3390/su18010542 - 5 Jan 2026
Viewed by 185
Abstract
Rapid development and scale expansion of cities are the core characteristics of the urbanization process, which effectively promote the formation of agglomeration economies, infrastructure sharing, and social mobility improvement. However, it also brings various negative effects such as unequal public services, traffic congestion, [...] Read more.
Rapid development and scale expansion of cities are the core characteristics of the urbanization process, which effectively promote the formation of agglomeration economies, infrastructure sharing, and social mobility improvement. However, it also brings various negative effects such as unequal public services, traffic congestion, and environmental pollution. The principle of isobenefit urbanism proposes that walking accessibility of various service facilities is an important indicator for measuring whether a city is livable, fair, and sustainable. This study specifically examines the impacts of environmental factors on the implementation of isobenefit urbanism in the central urban area of Beijing, a megacity. By obtaining open-source data and performing ArcGIS (10.8.1) analysis, using 183 blocks in Beijing’s core area, we normalized Strava pedestrian heat by road area and regressed it on 12 built environment indicators. The final model (R = 0.650, R2 = 0.422, and adjusted R2 = 0.381) identifies five significant predictors: block area (β = 0.215, p = 0.001) and average building height (β = 0.299, p = 0.012) are positively associated with walking heat, while building density (β = −0.235, p = 0.003), intersection density (β = −0.321, p < 0.001), and average distance to bus stop (β = −0.196, p = 0.003) are negatively associated. Land use mix and facility supply show positive but nonsignificant effects after controls. These estimates provide actionable levers for isobenefit urbanism in megacity cores. Full article
(This article belongs to the Section Sustainable Urban and Rural Development)
Show Figures

Figure 1

23 pages, 7137 KB  
Article
Vision-Based People Counting and Tracking for Urban Environments
by Daniyar Nurseitov, Kairat Bostanbekov, Nazgul Toiganbayeva, Aidana Zhalgas, Didar Yedilkhan and Beibut Amirgaliyev
J. Imaging 2026, 12(1), 27; https://doi.org/10.3390/jimaging12010027 - 5 Jan 2026
Viewed by 162
Abstract
Population growth and expansion of urban areas increase the need for the introduction of intelligent passenger traffic monitoring systems. Accurate estimation of the number of passengers is an important condition for improving the efficiency, safety and quality of transport services. This paper proposes [...] Read more.
Population growth and expansion of urban areas increase the need for the introduction of intelligent passenger traffic monitoring systems. Accurate estimation of the number of passengers is an important condition for improving the efficiency, safety and quality of transport services. This paper proposes an approach to the automatic detection and counting of people using computer vision and deep learning methods. While YOLOv8 and DeepSORT have been widely explored individually, our contribution lies in a task-specific modification of the DeepSORT tracking pipeline, optimized for dense passenger environments, strong occlusions, and dynamic lighting, as well as in a unified architecture that integrates detection, tracking, and automatic event-log generation. Our new proprietary dataset of 4047 images and 8918 labeled objects has achieved 92% detection accuracy and 85% counting accuracy, which confirms the effectiveness of the solution. Compared to Mask R-CNN and DETR, the YOLOv8 model demonstrates an optimal balance between speed, accuracy, and computational efficiency. The results confirm that computer vision can become an efficient and scalable replacement for traditional sensory passenger counting systems. The developed architecture (YOLO + Tracking) combines recognition, tracking and counting of people into a single system that automatically generates annotated video streams and event logs. In the future, it is planned to expand the dataset, introduce support for multicamera integration, and adapt the model for embedded devices to improve the accuracy and energy efficiency of the solution in real-world conditions. Full article
(This article belongs to the Section Computer Vision and Pattern Recognition)
Show Figures

Figure 1

19 pages, 4983 KB  
Article
Fluid Flow and Pollutant Dispersion in Naturally Ventilated Traffic Tunnels
by Cunjin Cai, Xinyi Yang, Xitong Yuan, Tianhao Shi, Wenyu Li, Wenting Lin and Tingzhen Ming
Atmosphere 2026, 17(1), 66; https://doi.org/10.3390/atmos17010066 - 4 Jan 2026
Viewed by 234
Abstract
With the rapid expansion of urban areas, short naturally ventilated traffic tunnels (NVTTs) have become prevalent in modern cities. However, their enclosed design and inadequate ventilation often lead to the accumulation of vehicle emissions, especially during peak traffic periods, which poses significant threats [...] Read more.
With the rapid expansion of urban areas, short naturally ventilated traffic tunnels (NVTTs) have become prevalent in modern cities. However, their enclosed design and inadequate ventilation often lead to the accumulation of vehicle emissions, especially during peak traffic periods, which poses significant threats to public health. Previous studies have shown that airflow in such tunnels is caused by ambient crosswinds (ACWs), which contribute to the dilution of pollutants. Based on this, a geometrical model including traffic tunnels belonging to a complex traffic system of the Second Ring Road in Wuhan City was established, followed by a mathematical model describing the fluid flow and pollutant transformation. The current flow characters and pollutant dispersion mechanism of CO and NOX were analyzed. Among them, the number and speeds of vehicles are measured to calculate the strength of the pollutant source. Then, the data was set as the initial contaminant source strength in Ansys Fluent 14.0 to compute the pollutant dispersion of the whole domain. The results indicate the following: (1) The airflow direction inside the tunnel varies with changes in ambient wind direction and wind speed. Specifically, variations in ambient wind direction result in changes in airflow direction in both tunnels. In contrast, changes in wind speed do not affect the airflow direction in both tunnels; only in the downstream tunnel does the airflow direction change with increasing westward wind speed. By comparison, in the upstream tunnel, the airflow direction remains unchanged regardless of the westward wind speed; (2) Pollutant accumulates along the downstream airflow in both the tunnels; (3) The mass fraction level of contaminate stratification differs along the tunnels. The pollutant tends to form y-component layering near the upwind opening and x-component stratification at the downwind opening of the two tunnels. Full article
(This article belongs to the Section Air Quality)
Show Figures

Figure 1

24 pages, 17632 KB  
Article
Renovation Design of an Urban Historic District Based on Space Syntax: A Case Study of the Qianmen Area in Beijing
by Wen Zhang, Pan Wang, Yuhan Chen, Qiang Sheng, Wei Zhang, Jie Zheng and Shisheng Chen
Buildings 2026, 16(1), 226; https://doi.org/10.3390/buildings16010226 - 4 Jan 2026
Viewed by 166
Abstract
Against the background of rapid global urbanization, the renewal and renovation of historic districts have become an increasingly important concern. As a city with a long and rich history, Beijing contains numerous historic districts that are in urgent need of systematic renewal and [...] Read more.
Against the background of rapid global urbanization, the renewal and renovation of historic districts have become an increasingly important concern. As a city with a long and rich history, Beijing contains numerous historic districts that are in urgent need of systematic renewal and renovation. This study proposes a functional enhancement and renovation design methodology for urban historic districts based on space syntax theory and analytical methods, applying it to the Qianmen Historic District in Beijing. Through traffic flow and business format analysis, the research examines traffic patterns and business format distribution characteristics in the Qianmen area and ultimately guides the design based on these findings. Research indicates that restrooms and attractions in Beijing’s Qianmen historic district exhibit dispersed space distribution, broad service coverage, high metric step depth (447 m and 436 m, respectively), and low topological connectivity. In contrast, hotels and restaurants feature smaller service areas, lower metric step depth (395 m and 297 m, respectively), and higher topological connectivity. Based on these findings, this study proposes targeted design recommendations for Qianmen’s street renovations based on traffic flow analysis results. Considering the need for vehicle parking and pedestrian rest demands in urban functional renewal, rest seats and shared charging piles are set up on the streets with big pedestrian flow to meet the needs of pedestrians. Moreover, cycling routes are designed to connect big-traffic-flow streets with small-traffic-flow ones. These renewal measures aim to enhance the overall vitality of the Qianmen district. The renovation approach and methodology proposed in this study can serve as a reference for future updates and renovations of historic districts. Full article
(This article belongs to the Special Issue Future Cities and Their Downtowns: Urban Studies and Planning)
Show Figures

Figure 1

22 pages, 1366 KB  
Systematic Review
Inspection and Evaluation of Urban Pavement Deterioration Using Drones: Review of Methods, Challenges, and Future Trends
by Pablo Julián López-González, David Reyes-González, Oscar Moreno-Vázquez, Rodrigo Vivar-Ocampo, Sergio Aurelio Zamora-Castro, Lorena del Carmen Santos Cortés, Brenda Suemy Trujillo-García and Joaquín Sangabriel-Lomelí
Future Transp. 2026, 6(1), 10; https://doi.org/10.3390/futuretransp6010010 - 4 Jan 2026
Viewed by 170
Abstract
The rapid growth of urban areas has increased the need for more efficient methods of pavement inspection and maintenance. However, conventional techniques remain slow, labor-intensive, and limited in spatial coverage, and their performance is strongly affected by traffic, weather conditions, and operational constraints. [...] Read more.
The rapid growth of urban areas has increased the need for more efficient methods of pavement inspection and maintenance. However, conventional techniques remain slow, labor-intensive, and limited in spatial coverage, and their performance is strongly affected by traffic, weather conditions, and operational constraints. In response to these challenges, it is essential to synthesize the technological advances that improve inspection efficiency, coverage, and data quality compared to traditional approaches. Herein, we present a systematic review of the state of the art on the use of unmanned aerial vehicles (UAVs) for monitoring and assessing pavement deterioration, highlighting as a key contribution the comparative integration of sensors (photogrammetry, LiDAR, and thermography) with recent automatic damage-detection algorithms. A structured review methodology was applied, including the search, selection, and critical analysis of specialized studies on UAV-based pavement evaluation. The results indicate that UAV photogrammetry can achieve sub-centimeter accuracy (<1 cm) in 3D reconstructions, LiDAR systems can improve deformation detection by up to 35%, and AI-based algorithms can increase crack-identification accuracy by 10% to 25% compared with manual methods. Finally, the synthesis shows that multi-sensor integration and digital twins offer strong potential to enhance predictive maintenance and support the transition towards smarter and more sustainable urban infrastructure management strategies. Full article
Show Figures

Figure 1

31 pages, 7679 KB  
Article
Comparing Driver Behaviour with Measured Speed—An Innovative Approach to Designing Transition Zones for Smart Cities
by Stanisław Majer and Alicja Sołowczuk
Sustainability 2026, 18(1), 494; https://doi.org/10.3390/su18010494 - 4 Jan 2026
Viewed by 314
Abstract
Speed limits are widely used in transition zones between rural and urban areas, where road and environmental conditions change and drivers are expected to reduce their speed. These locations often generate particularly complex driver behaviour in response to applied traffic calming measures (TCMs). [...] Read more.
Speed limits are widely used in transition zones between rural and urban areas, where road and environmental conditions change and drivers are expected to reduce their speed. These locations often generate particularly complex driver behaviour in response to applied traffic calming measures (TCMs). Previous studies have mainly focused on the effectiveness of individual TCMs in reducing speed; however, analyses directly comparing drivers’ declared behaviours with actual measured speeds remain limited. The aim of this study was to assess the effectiveness of selected TCMs—chicanes, central island, refuges island, and dynamic speed feedback signs (DSFSs)—across 26 transition zones, taking into account land-use characteristics, driver fixation points, and the road’s visual perspective. To evaluate consistency or discrepancies, the declared behaviours of survey respondents assessing these locations were compared with speed measurements collected from other drivers travelling through the same zones. The analyses help define the relationship between drivers’ perception and their actual behaviour, identifying which TCMs, when combined with specific road-environment features, are most effective in achieving the target speed of 50 km/h in built-up areas. The most effective chicanes proved to be those with the greatest width (2.5 m), i.e., almost equal to the width of a traffic lane, as well as those with a width of 2.0 m combined with a change in pavement surface from asphalt to stone paving, or those located upstream of a road section characterised by high curvature and limited visibility. In contrast, symmetrical islands, even with a width of 3.0 m, were found to be completely ineffective. The findings support the development of more effective transition-zone design principles and provide guidance for future mobility strategies, including the integration of automated vehicles in smart cities. Full article
(This article belongs to the Special Issue Smart Cities with Innovative Solutions in Sustainable Urban Future)
Show Figures

Figure 1

18 pages, 879 KB  
Article
Sensor-Detected Differences in Behaviors of Older Drivers with Pre-MCI and Mild Cognitive Impairment vs. Unimpaired Drivers
by Ruth M. Tappen, David Newman, Mónica Rosselli, Joshua Conniff, Subhosit Ray, Sonia Moshfeghi, Jinwoo Jang, KwangSoo Yang and Borko Furht
Sensors 2026, 26(1), 290; https://doi.org/10.3390/s26010290 - 2 Jan 2026
Viewed by 275
Abstract
Background: Research to identify changes in driving behavior that occur with the onset of Pre-MCI and MCI is an emerging area with many gaps still to be addressed. These gaps include limited use of objective, continuous measurement of driver behavior in real-life [...] Read more.
Background: Research to identify changes in driving behavior that occur with the onset of Pre-MCI and MCI is an emerging area with many gaps still to be addressed. These gaps include limited use of objective, continuous measurement of driver behavior in real-life traffic conditions and comprehensive, biomarker-validated, cognitive evaluation based upon both testing and clinical ratings. Using these strategies, the questions addressed in this exploratory study are whether or not differences in driving behavior are indicative of Pre-MCI/MCI and which behaviors are most predictive of Pre-MCI/MCI. Methods: As part of a naturalistic longitudinal study, older drivers with a Montreal Cognitive Assessment score ≥ 19 had telematic sensors installed in their vehicles and underwent comprehensive cognitive assessment quarterly for three years. Thirty-six participants were classified as Unimpaired (n = 23) or Pre-MCI/MCI (n = 10/3) based upon a neuropsychological battery and diagnostic algorithm. A penalized generalized linear mixed-effects model (GLMM) with a logistic link and LASSO regularization was used to model Pre-MCI/MCI group membership vs. unimpaired as a function of ten trip-level telematic features (trip distance, hard acceleration, hard braking, hard turns, speed average, maximum speed, RPM average, fuel level, throttle average, and throttle variability) at the end of their first 12 months in the study. Results: Higher RPM, shorter average trips, and greater throttle variability predicted higher odds of Pre-MCI/MCI, while more frequent hard braking, hard turns, higher mean speed, and lower average throttle (steadier pedal control) predicted lower odds of Pre-MCI/MCI. Conclusions: The model clearly distinguished unimpaired older drivers from those with MCI or Pre-MCI, suggesting that distinct patterns of driver behavior may be related to levels of cognitive function. Full article
(This article belongs to the Section Vehicular Sensing)
Show Figures

Figure 1

16 pages, 1478 KB  
Article
Assessment of Heavy Metal Soil Contamination and Remediation Strategies in Eastern Slovakia: A Case Study from Dargov
by Ivanna Betušová, Samer Khouri, Marian Šofranko, Andrea Šofranková and Miroslav Betuš
Agriculture 2026, 16(1), 117; https://doi.org/10.3390/agriculture16010117 - 2 Jan 2026
Viewed by 277
Abstract
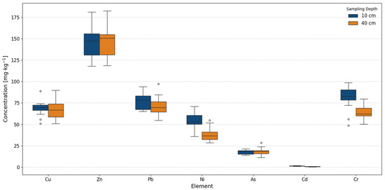
Heavy metal contamination of agricultural soils represents a critical environmental and agronomic challenge, particularly in regions exposed to intensive land use and transport-related emissions. This study presents a detailed assessment of soil contamination in the Dargov cadastral area (Eastern Slovakia), where elevated concentrations [...] Read more.
Heavy metal contamination of agricultural soils represents a critical environmental and agronomic challenge, particularly in regions exposed to intensive land use and transport-related emissions. This study presents a detailed assessment of soil contamination in the Dargov cadastral area (Eastern Slovakia), where elevated concentrations of Cu, Zn, Pb, Ni, As, Cd, and Cr were detected through multi-depth sampling near the I/19 first-class road. Analytical results confirmed exceedances of Slovak regulatory thresholds (Decree No. 59/2013), with persistent contamination observed even in the deepest sampling interval (20–40 cm), indicating vertical migration and long-term accumulation. Concentrations of Pb (85–210 mg·kg−1), Cd (2.1–5.4 mg·kg−1), Zn (120–340 mg·kg−1), and Ni (45–95 mg·kg−1) exceeded Slovak regulatory thresholds. The highest values were consistently detected in the 0–10 cm layer and within 3 m of the I/19 road, with a gradual decline at greater depths and distances. Nevertheless, Cd and Ni remained above permissible limits even in the deepest sampling interval (20–40 cm), confirming vertical migration and long-term persistence of contamination. The spatial distribution of contaminants suggests a dominant influence of road traffic, with implications for crop safety, soil fertility, and rural land management. Based on the findings, the study proposes context-sensitive remediation strategies, including phytoremediation and chemical immobilization, and emphasizes the need for integrated monitoring systems and land-use planning to mitigate risks. The case study contributes to the broader discourse on sustainable soil management in Central European agricultural landscapes affected by diffuse pollution. Full article
Show Figures

Figure 1

18 pages, 4791 KB  
Article
A GIS-Based Approach to Analyzing Traffic Accidents and Their Spatial and Temporal Distribution: A Case Study of the Antalya City Center
by Mehmet Arikan Yalcin, Sevil Kofteci, Bekir Taner San and Halil Ibrahim Burgan
ISPRS Int. J. Geo-Inf. 2026, 15(1), 19; https://doi.org/10.3390/ijgi15010019 - 1 Jan 2026
Viewed by 325
Abstract
This study aims to analyze the spatial and temporal distribution of traffic accidents between 2017 and 2021 and their underlying causes. Antalya (Turkey) was selected as the study area due to its significant seasonal population fluctuations, which influence traffic patterns. Geographic Information Systems [...] Read more.
This study aims to analyze the spatial and temporal distribution of traffic accidents between 2017 and 2021 and their underlying causes. Antalya (Turkey) was selected as the study area due to its significant seasonal population fluctuations, which influence traffic patterns. Geographic Information Systems (GIS) were employed to investigate the spatial and temporal interactions of factors contributing to accidents, categorized as internal (e.g., driver age, driver errors) and external (e.g., road density, holiday periods, and the effects of the COVID-19 pandemic). Accidents were classified by type (e.g., fatal, injury related) to identify critical areas for intervention. The Kernel Density Estimation method was employed to detect accident hotspots, while driver characteristics, accident outcomes, and age distributions were systematically analyzed. The obtained results reveal that most accidents involved drivers aged 20–39 years, primarily due to negligence or failure to adjust speed to road conditions. Seasonal variations and holiday periods were also found to influence the spatial distribution of accidents. A detailed evaluation of high-risk roundabouts using Torus software 6.1 identified a potential design deficiency at one specific roundabout. These results provide valuable insights for improving traffic safety and optimizing road infrastructure in regions experiencing dynamic population changes. Full article
Show Figures

Figure 1

Back to TopTop