Fluid Flow and Pollutant Dispersion in Naturally Ventilated Traffic Tunnels
Abstract
1. Introduction
2. Problem Formulation and Solution Procedures
2.1. Physical Model
2.2. Mathematical Model and Calculation Process
2.3. Boundary Conditions and Domain
2.4. Estimation of Pollutant Source Strength
2.4.1. Pollutant Source Type
2.4.2. Measure of Traffic Flow Rate
2.4.3. Pollutant Source Strength (
2.5. Mesh Skills and Verification
3. Results and Discussion
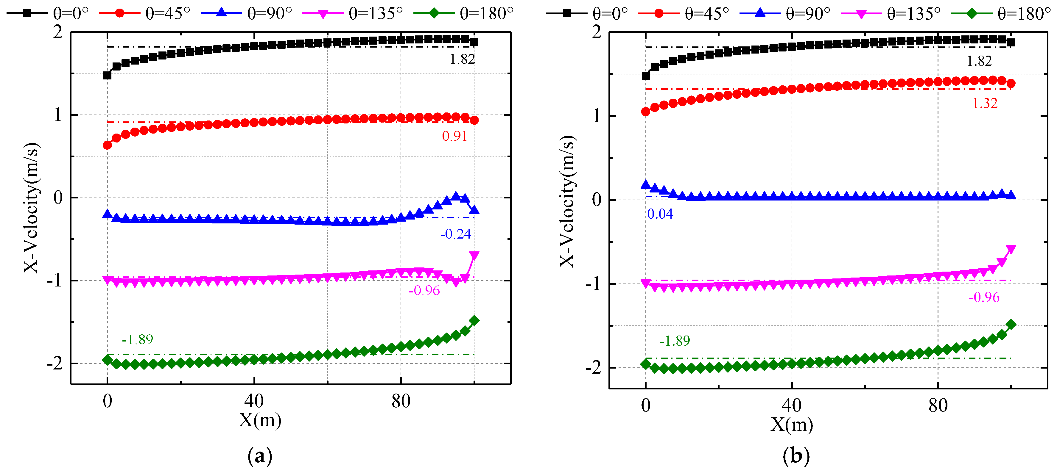
3.1. Influence of Wind Direction
3.2. Influence of Wind Velocity
4. Conclusions
- (1)
- The direction of the approaching wind (ACW) had a significant impact on both airflow characteristics and pollutant distribution. Among all tested cases, ACW = 0° and 180° produced the largest x-component of velocity, followed by ACW = 45° and 135°, while ACW = 90° resulted in the weakest x-component airflow.
- (2)
- The x-component of ACW drove the airflow through the tunnels, determining both pollutant concentrations and migration directions. Pollutant accumulation was most pronounced under ACW = 90°, with CO and NOx concentrations increasing by factors of approximately 3 and 21.8 in the west and east tunnels, respectively, compared to the cases with ACW = 0° or 180°.
- (3)
- Higher ACW velocities led to increased static pressure. In the west tunnel, the airflow consistently moved from south to north regardless of ACW speed. In contrast, the airflow direction in the east tunnel varied with ACW velocity, flowing northward at 0.5 m/s and 3.5 m/s and reversing at other speeds.
Author Contributions
Funding
Institutional Review Board Statement
Informed Consent Statement
Data Availability Statement
Acknowledgments
Conflicts of Interest
Nomenclature
| Latin symbols | |
| diffusion coefficient of the component S | |
| exhaust factor | |
| turbulence viscosity coefficient | |
| Greek symbols | |
| turbulence dissipation rate | |
| Subscripts | |
| eff | effective value |
| s | the sth contaminate |
| gra | gradient |
| m | The frequency distribution in the mth VSP-Bin |
References
- d’Orey, P.M.; Ferreira, M. ITS for Sustainable Mobility: A Survey on Applications and Impact Assessment Tools. IEEE Trans. Intell. Transp. Syst. 2014, 15, 477–493. [Google Scholar] [CrossRef]
- Boikos, C.; Ioannidis, G.; Rapkos, N.; Tsegas, G.; Katsis, P.; Ntziachristos, L. Estimating daily road traffic pollution in Hong Kong using CFD modelling: Validation and application. Build. Environ. 2025, 267, 112168. [Google Scholar] [CrossRef]
- Chen, J.; Wang, W.; Zhang, J.; Liu, H.; Ren, L.; Liu, X.; Zhang, W.; Wang, X. Characteristics of gaseous pollutants near a main traffic line in Beijing and its influencing factors. Atmos. Res. 2009, 94, 470–480. [Google Scholar] [CrossRef]
- Holnicki, P.; Nahorski, Z.; Kałuszko, A. Impact of Vehicle Fleet Modernization on the Traffic-Originated Air Pollution in an Urban Area—A Case Study. Atmosphere 2021, 12, 1581. [Google Scholar] [CrossRef]
- Shima, M. Epidemiological studies on the health impact of air pollution in Japan: Their contribution to the improvement of ambient air quality. Environ. Health Prev. Med. 2025, 30, 30. [Google Scholar] [CrossRef] [PubMed]
- Delfino, R.J.; Wu, J.; Tjoa, T.; Gullesserian, S.K.; Nickerson, B.; Gillen, D.L. Asthma morbidity and ambient air pollution: Effect modification by residential traffic-related air pollution. Epidemiology 2014, 25, 48–57. [Google Scholar] [CrossRef] [PubMed]
- Peterson, S.B.; Michalek, J.J. Cost-effectiveness of plug-in hybrid electric vehicle battery capacity and charging infrastructure investment for reducing US gasoline consumption. Energy Policy 2013, 52, 429–438. [Google Scholar] [CrossRef]
- Cairns, S. Accessing Cars: Different Ownership and Use Choices; Car Sharing; RAC Foundation: London, UK, 2011. [Google Scholar]
- Wang, P.; Zhang, R.; Sun, S.; Gao, M.; Zheng, B.; Zhang, D.; Zhang, Y.; Carmichael, G.R.; Zhang, H. Aggravated air pollution and health burden due to traffic congestion in urban China. Atmos. Chem. Phys. 2023, 23, 2983–2996. [Google Scholar] [CrossRef]
- Lee, H.-W.; Popkov, V.; Kim, D. Two-way traffic flow: Exactly solvable model of traffic jam. J. Phys. A Gen. Phys. 1997, 30, 8497. [Google Scholar] [CrossRef]
- Long, J.; Gao, Z.; Zhao, X.; Lian, A.; Orenstein, P. Urban Traffic Jam Simulation Based on the Cell Transmission Model. Netw. Spat. Econ. 2011, 11, 43–64. [Google Scholar] [CrossRef]
- Shi, J. Analysis and Comprehensive Evaluation on Traffic Pollution at Urban Road Intersection. Ph.D. Thesis, Jilin University, Changchun, China, 2012. [Google Scholar]
- Cao, X.; Yao, Z.; Shen, X.; Ye, Y.; Jiang, X. On-road emission characteristics of VOCs from light-duty gasoline vehicles in Beijing, China. Atmos. Environ. 2015, 124, 146–155. [Google Scholar] [CrossRef]
- Kota, S.H.; Zhang, H.; Chen, G.; Schade, G.W.; Ying, Q. Evaluation of on-road vehicle CO and NO x National Emission Inventories using an urban-scale source-oriented air quality model. Atmos. Environ. 2014, 85, 99–108. [Google Scholar] [CrossRef]
- Pu, Y.; Yang, C.; Liu, H.; Chen, Z.; Chen, A. Impact of license plate restriction policy on emission reduction in Hangzhou using a bottom-up approach. Transp. Res. Part D Transp. Environ. 2015, 34, 281–292. [Google Scholar] [CrossRef]
- Chung, C.Y.; Chung, P.L. A Numerical and Experimental Study of Pollutant Dispersion in a Traffic Tunnel. Environ. Monit. Assess. 2007, 130, 289. [Google Scholar] [CrossRef]
- Chen, K.S.; Chung, C.Y.; Wang, S.W. Measurement and three-dimensional modeling of airflow and pollutant dispersion in an undersea traffic tunnel. J. Air Waste Manag. Assoc. 2002, 52, 349. [Google Scholar] [CrossRef]
- Matbouli, Y.T.; Husain, T. Air Pollution Dispersion in Traffic Tunnels: A Case Study of SOUK SAGHEER Traffic Tunnel, Makkah, Saudi Arabia. In Proceedings of the Air and Waste Management Association 2010, 103rd Conference and Exhibition, Calgary, AB, Canada, 22–25 June 2010; pp. 263–269. [Google Scholar]
- Dong, J.; Tao, Y.; Xiao, Y.; Tu, J. Numerical simulation of pollutant dispersion in urban roadway tunnels. J. Comput. Multiph. Flows 2017, 9, 26–31. [Google Scholar] [CrossRef]
- Li, Q.; Chen, C.; Deng, Y.; Li, J.; Xie, G.; Li, Y.; Hu, Q. Influence of traffic force on pollutant dispersion of CO, NO and particle matter (PM 2.5) measured in an urban tunnel in Changsha, China. Tunn. Undergr. Space Technol. Inc. Trenchless Technol. Res. 2015, 49, 400–407. [Google Scholar] [CrossRef]
- Li, H.C.; Chen, K.S.; Lai, C.H.; Wang, H.K. Measurements of Gaseous Pollutant Concentrations in the Hsuehshan Traffic Tunnel of Northern Taiwan. Aerosol Air Qual. Res. 2011, 11, 776–782. [Google Scholar] [CrossRef]
- Kristensson, A.; Johansson, C.; Westerholm, R.; Swietlicki, E.; Gidhagen, L.; Wideqvist, U.; Vesely, V. Real-world traffic emission factors of gases and particles measured in a road tunnel in Stockholm, Sweden. Atmos. Environ. 2004, 38, 657–673. [Google Scholar] [CrossRef]
- Colberg, C.A.; Tona, B.; Catone, G.; Sangiorgio, C.; Stahel, W.A.; Sturm, P.; Staehelin, J. Statistical analysis of the vehicle pollutant emissions derived from several European road tunnel studies. Atmos. Environ. 2005, 39, 2499–2511. [Google Scholar] [CrossRef]
- Bari, S.; Naser, J. Simulation of airflow and pollution levels caused by severe traffic jam in a road tunnel. Tunn. Undergr. Space Technol. 2010, 25, 70–77. [Google Scholar] [CrossRef]
- Dou, H.; Ming, T.; Li, Z.; Peng, C.; Zhang, C.; Fu, X. Numerical simulation of pollutant dispersion characteristics in a three-dimensional urban traffic system. Atmos. Pollut. Res. 2018, 9, 735–746. [Google Scholar] [CrossRef]
- Wei, L.X.; Liu, F.; Chen, Y.P. Actuality and Prospects of Construction Techniques of Urban Traffic Tunnels in Guangzhou. Tunn. Constr. 2007, 27, 4–8. [Google Scholar]
- Solazzo, E.; Cai, X.; Vardoulakis, S. Modelling wind flow and vehicle-induced turbulence in urban streets. Atmos. Environ. 2008, 42, 4918–4931. [Google Scholar] [CrossRef]
- Kim, J. A numerical study of the effects of ambient wind direction on flow and dispersion in urban street canyons using the RNG k?? turbulence model. Atmos. Environ. 2004, 38, 3039–3048. [Google Scholar] [CrossRef]
- Vidanapathirana, M.; Perera, N.; Emmanuel, R.; Coorey, S. Air pollutant dispersion around high-rise building cluster forms: The case of Port City, Colombo, Sri Lanka. Environ. Sci. Pollut. Res. Int. 2023, 30, 94166–94184. [Google Scholar] [CrossRef]
- Zheng, X.; Yang, J. Impact of moving traffic on pollutant transport in street canyons under perpendicular winds: A CFD analysis using large-eddy simulations. Sustain. Cities Soc. 2022, 82, 103911. [Google Scholar] [CrossRef]
- Gromke, C.; Buccolieri, R.; Di Sabatino, S.; Ruck, B. Dispersion study in a street canyon with tree planting by means of wind tunnel and numerical investigations—Evaluation of CFD data with experimental data. Atmos. Environ. 2008, 42, 8640–8650. [Google Scholar] [CrossRef]
- Zheng, X.; Yang, J. CFD simulations of wind flow and pollutant dispersion in a street canyon with traffic flow: Comparison between RANS and LES. Sustain. Cities Soc. 2021, 75, 103307. [Google Scholar] [CrossRef]
- Ahmadi, M.; Mirjalily, S.A.A.; Oloomi, S.A.A. Simulation of pollutant dispersion in urban street canyons using hybrid rans-les method with two-phase model. Comput. Fluids 2020, 210, 104676. [Google Scholar] [CrossRef]
- Wei, Q.; Chen, H.; Ma, Z. Numerical Simulation of Flow Around Airfoil with Non-Linear RANS Model. In Proceedings of the ASME/JSME/KSME 2015 Joint Fluids Engineering Conference, Seoul, Republic of Korea, 26–31 July 2015. [Google Scholar]
- Zhong, J.; Cai, X.M.; Bloss, W.J. Coupling dynamics and chemistry in the air pollution modelling of street canyons: A review. Environ. Pollut. 2016, 214, 690–704. [Google Scholar] [CrossRef] [PubMed]
- Shi, T.; Ming, T.; Wu, Y.; Peng, C.; Fang, Y.; de_Richter, R. The effect of exhaust emissions from a group of moving vehicles on pollutant dispersion in the street canyons. Build. Environ. 2020, 181, 107120. [Google Scholar] [CrossRef]
- Chen, C. Analysis of variation of wind speed at low-altitude in Wuhan from 1958 to 2013. Resoures Environ. Yangtze Bassize 2015, 24, 30–37. [Google Scholar]
- Li, X.; Li, G.; Pang, S.S.; Yang, X.; Tian, J. Signal timing of intersections using integrated optimization of traffic quality, emissions and fuel consumption: A note. Transp. Res. Part D 2004, 9, 401–407. [Google Scholar] [CrossRef]
- Mensink, C.; Nys, J.D.V.I. An urban transport emission model for the Antwerp area. Atmos Environ. Atmos. Environ. 2000, 34, 4595–4602. [Google Scholar] [CrossRef]
- Alves, C.A.; Barbosa, C.; Rocha, S.; Calvo, A.; Nunes, T.; Cerqueira, M.; Pio, C.; Karanasiou, A.; Querol, X. Elements and polycyclic aromatic hydrocarbons in exhaust particles emitted by light-duty vehicles. Environ. Sci. Pollut. Res. 2015, 22, 11526–11542. [Google Scholar] [CrossRef] [PubMed]
- Jafari, A.J. A Comparison of Major Pollutants Emission from Petrol and Diesel Car Exhaust. Avicenna J. Clin. Med. 2003, 9, 43–49. [Google Scholar]
- Greenwood, S.J.; Coxon, J.E.; Biddulph, T.; Bennett, J. An investigation to determine the exhaust particulate size distributions for diesel, petrol, and compressed natural gas fuelled vehicles. SAE Trans. 1996, 105, 640–646. [Google Scholar]
- Jiménez-Palacios, J.L. Understanding and Quantifying Motor Vehicle Emissions with Vehicle Specific Power and TILDAS Remote Sensing. Ph.D. Thesis, Massachusetts Institute of Technology, Cambridge, MA, USA, 1999. [Google Scholar]
- Xu, J. Emission Factor Model Database of Light-Duty Vehicles. Master’s Thesis, Wuhan University of Technology, Wuhan, China, 2009. [Google Scholar]
- Yu, J.; Xiao, J.; Zhu, Z. Parallel multi-grid algorithm and its performance of fluent software. J. Wuhan Univ. Technol. 2009, 33, 133–136. [Google Scholar]
- Ansys Inc. Ansys Fluent Tutorial Guide; Ansys Inc.: Canonsburg, PA, USA, 2012. [Google Scholar]
- Zhao, Y.; Wang, P.; Ma, L.; Zhang, J. Prediction of pollutants dispersion patterns around two adjacent urban road tunnels. J. Dispers. Sci. Technol. 2018, 40, 82–93. [Google Scholar] [CrossRef]
- Zhang, G. Research on the Diffusion of Pollutantaround the Double Road Tunnel Portal. Master’s Thesis, Tianjin University, Tianjin, China, 2012. [Google Scholar]
- Wen, Y.H.; Xie, Y.L.; Ning-Jun, L.I. 3-D numerical analysis of the flow pattern in the opening area of extra-long highway tunnel. J. Chongqing Jiaotong Univ. 2006, 25, 32–36. [Google Scholar]
- Marshall, J.S. The effect of axial pressure gradient on axisymmetrical and helical vortex waves. Phys. Fluids A Fluid Dyn. 1993, 5, 588–599. [Google Scholar] [CrossRef]











| Position | Type | Condition |
|---|---|---|
| Entrance | Velocity inlet | = const; |
| Exit | Pressure outlet | Gauge pressure = 0 Pa |
| Top side | Symmetry | = 0 Normal to the surface |
| Lateral sides |
| Item | Grid Quantity and Its Rate of Change (Compared with 7,021,280) | |||||
|---|---|---|---|---|---|---|
| 5,628,764 | 7,723,408 | 8,936,275 | ||||
| Mean velocity | 9.69 × 10−1 m/s | −0.51% | 9.47 × 10−1 m/s | −2.77% | 9.88 × 10−1 m/s | +1.44% |
Disclaimer/Publisher’s Note: The statements, opinions and data contained in all publications are solely those of the individual author(s) and contributor(s) and not of MDPI and/or the editor(s). MDPI and/or the editor(s) disclaim responsibility for any injury to people or property resulting from any ideas, methods, instructions or products referred to in the content. |
© 2026 by the authors. Licensee MDPI, Basel, Switzerland. This article is an open access article distributed under the terms and conditions of the Creative Commons Attribution (CC BY) license.
Share and Cite
Cai, C.; Yang, X.; Yuan, X.; Shi, T.; Li, W.; Lin, W.; Ming, T. Fluid Flow and Pollutant Dispersion in Naturally Ventilated Traffic Tunnels. Atmosphere 2026, 17, 66. https://doi.org/10.3390/atmos17010066
Cai C, Yang X, Yuan X, Shi T, Li W, Lin W, Ming T. Fluid Flow and Pollutant Dispersion in Naturally Ventilated Traffic Tunnels. Atmosphere. 2026; 17(1):66. https://doi.org/10.3390/atmos17010066
Chicago/Turabian StyleCai, Cunjin, Xinyi Yang, Xitong Yuan, Tianhao Shi, Wenyu Li, Wenting Lin, and Tingzhen Ming. 2026. "Fluid Flow and Pollutant Dispersion in Naturally Ventilated Traffic Tunnels" Atmosphere 17, no. 1: 66. https://doi.org/10.3390/atmos17010066
APA StyleCai, C., Yang, X., Yuan, X., Shi, T., Li, W., Lin, W., & Ming, T. (2026). Fluid Flow and Pollutant Dispersion in Naturally Ventilated Traffic Tunnels. Atmosphere, 17(1), 66. https://doi.org/10.3390/atmos17010066

