Sign in to use this feature.

Years

Between: -

Subjects

remove_circle_outline
remove_circle_outline
remove_circle_outline
remove_circle_outline
remove_circle_outline
remove_circle_outline
remove_circle_outline

Journals

Article Types

Countries / Regions

Search Results (21)

Search Parameters:
Keywords = tracer virus

Order results
Result details
Results per page
Select all
Export citation of selected articles as:
17 pages, 5355 KB  
Article
Prevention and Control of the Spread of Pathogens in a University of Naples Engineering Classroom through CFD Simulations
by Maria Portarapillo, Salvatore Simioli and Almerinda Di Benedetto
ChemEngineering 2024, 8(2), 37; https://doi.org/10.3390/chemengineering8020037 - 1 Apr 2024
Cited by 1 | Viewed by 2074
Abstract
The design of ventilation and air conditioning systems in university classrooms is paramount to ensure students’ correct number of air changes per hour and an optimal thermal profile for their comfort. With the spread of the COVID-19 virus, these systems will inevitably need [...] Read more.
The design of ventilation and air conditioning systems in university classrooms is paramount to ensure students’ correct number of air changes per hour and an optimal thermal profile for their comfort. With the spread of the COVID-19 virus, these systems will inevitably need to evolve to cope with the current virus and any new airborne pathogens. The aim of this study is to analyze the quality of the ventilation system and the importance of the use of PPE in Lecture Hall C of the University of Naples Federico II compared to the premises in Piazzale Tecchio. After dimensioning the lecture theatre with the Autodesk software AutoCAD 2021, CFD simulations were carried out with the Computational Fluid Dynamics program Ansys 2021 R2. To study the trajectory of virus droplets released by a potentially infected student in the center of the classroom, the multispecies model was used, with carbon dioxide serving as the tracer gas for the virus cloud. After determining the CO2 contour zones at fifteen-minute intervals for a total duration of two hours, the probability of infection was calculated using the Wells–Riley equation. Full article
Show Figures

Figure 1

17 pages, 8110 KB  
Article
Sodium Leak Channel in Glutamatergic Neurons of the Lateral Parabrachial Nucleus Modulates Inflammatory Pain in Mice
by Lin Wu, Yujie Wu, Jin Liu, Jingyao Jiang, Cheng Zhou and Donghang Zhang
Int. J. Mol. Sci. 2023, 24(15), 11907; https://doi.org/10.3390/ijms241511907 - 25 Jul 2023
Cited by 9 | Viewed by 2585
Abstract
Elevated excitability of glutamatergic neurons in the lateral parabrachial nucleus (PBL) is associated with the pathogenesis of inflammatory pain, but the underlying molecular mechanisms are not fully understood. Sodium leak channel (NALCN) is widely expressed in the central nervous system and regulates neuronal [...] Read more.
Elevated excitability of glutamatergic neurons in the lateral parabrachial nucleus (PBL) is associated with the pathogenesis of inflammatory pain, but the underlying molecular mechanisms are not fully understood. Sodium leak channel (NALCN) is widely expressed in the central nervous system and regulates neuronal excitability. In this study, chemogenetic manipulation was used to explore the association between the activity of PBL glutamatergic neurons and pain thresholds. Complete Freund’s adjuvant (CFA) was used to construct an inflammatory pain model in mice. Pain behaviour was tested using von Frey filaments and Hargreaves tests. Local field potential (LFP) was used to record the activity of PBL glutamatergic neurons. Gene knockdown techniques were used to investigate the role of NALCN in inflammatory pain. We further explored the downstream projections of PBL using cis-trans-synaptic tracer virus. The results showed that chemogenetic inhibition of PBL glutamatergic neurons increased pain thresholds in mice, whereas chemogenetic activation produced the opposite results. CFA plantar modelling increased the number of C-Fos protein and NALCN expression in PBL glutamatergic neurons. Knockdown of NALCN in PBL glutamatergic neurons alleviated CFA-induced pain. CFA injection induced C-Fos protein expression in central nucleus amygdala (CeA) neurons, which was suppressed by NALCN knockdown in PBL glutamatergic neurons. Therefore, elevated expression of NALCN in PBL glutamatergic neurons contributes to the development of inflammatory pain via PBL-CeA projections. Full article
(This article belongs to the Special Issue Mechanisms of Neurotoxicity)
Show Figures

Figure 1

15 pages, 5225 KB  
Article
Understanding the Residence Time Distribution in a Transient Inline Spiking System: Modeling, Experiments, and Simulations
by Minsun Hwang, Junsuk Wang and Seon Yeop Jung
Membranes 2023, 13(4), 375; https://doi.org/10.3390/membranes13040375 - 25 Mar 2023
Cited by 3 | Viewed by 2629
Abstract
A transient inline spiking system is a promising tool for evaluating the performance of a virus filter in continuous operation. For better implementation of the system, we performed a systematic analysis to understand the residence time distribution (RTD) of inert tracers in the [...] Read more.
A transient inline spiking system is a promising tool for evaluating the performance of a virus filter in continuous operation. For better implementation of the system, we performed a systematic analysis to understand the residence time distribution (RTD) of inert tracers in the system. We aimed to understand the RTD of a salt spike, not retained onto or within the membrane pore, to focus on its mixing and spreading within the processing units. A concentrated NaCl solution was spiked into a feed stream as the spiking duration (tspike) was varied from 1 to 40 min. A static mixer was employed to mix the salt spike with the feed stream, which then passed through a single-layered nylon membrane inserted in a filter holder. The RTD curve was obtained by measuring the conductivity of the collected samples. An analytical model, the PFR-2CSTR model, was employed to predict the outlet concentration from the system. The slope and peak of the RTD curves were well-aligned with the experimental findings when τPFR = 4.3 min, τCSTR1 = 4.1 min, and τCSTR2 = 1.0 min. CFD simulations were performed to describe the flow and transport of the inert tracers through the static mixer and the membrane filter. The RTD curve spanned more than 30 min, much longer than tspike, since solutes were dispersed within processing units. The flow characteristics in each processing unit correlated with the RTD curves. Our detailed analysis of the transient inline spiking system would be helpful for implementing this protocol in continuous bioprocessing. Full article
Show Figures

Figure 1

20 pages, 3861 KB  
Article
cATR Tracing Approach to Identify Individual Intermediary Neurons Based on Their Input and Output: A Proof-of-Concept Study Connecting Cerebellum and Central Hubs Implicated in Developmental Disorders
by Willem S. van Hoogstraten, Marit C. C. Lute, Hugo Nusselder, Lieke Kros, Arn M. J. M. van den Maagdenberg and Chris I. De Zeeuw
Cells 2022, 11(19), 2978; https://doi.org/10.3390/cells11192978 - 24 Sep 2022
Cited by 1 | Viewed by 4144
Abstract
Over the past decades, it has become increasingly clear that many neurodevelopmental disorders can be characterized by aberrations in the neuro-anatomical connectome of intermediary hubs. Yet, despite the advent in unidirectional transsynaptic tracing technologies, we are still lacking an efficient approach to identify [...] Read more.
Over the past decades, it has become increasingly clear that many neurodevelopmental disorders can be characterized by aberrations in the neuro-anatomical connectome of intermediary hubs. Yet, despite the advent in unidirectional transsynaptic tracing technologies, we are still lacking an efficient approach to identify individual neurons based on both their precise input and output relations, hampering our ability to elucidate the precise connectome in both the healthy and diseased condition. Here, we bridge this gap by combining anterograde transsynaptic- and retrograde (cATR) tracing in Ai14 reporter mice, using adeno-associated virus serotype 1 expressing Cre and cholera toxin subunit B as the anterograde and retrograde tracer, respectively. We have applied this innovative approach to selectively identify individual neurons in the brainstem that do not only receive input from one or more of the cerebellar nuclei (CN), but also project to the primary motor cortex (M1), the amygdala or the ventral tegmental area (VTA). Cells directly connecting CN to M1 were found mainly in the thalamus, while a large diversity of midbrain and brainstem areas connected the CN to the amygdala or VTA. Our data highlight that cATR allows for specific, yet brain-wide, identification of individual neurons that mediate information from a cerebellar nucleus to the cerebral cortex, amygdala or VTA via a disynaptic pathway. Given that the identified neurons in healthy subjects can be readily quantified, our data also form a solid foundation to make numerical comparisons with mouse mutants suffering from aberrations in their connectome due to a neurodevelopmental disorder. Full article
(This article belongs to the Special Issue Cerebellar Development in Health and Disease)
Show Figures

Figure 1

11 pages, 1492 KB  
Article
The Use of Distinctive Monoclonal Antibodies in FMD VLP- and P1-Based Blocking ELISA for the Seromonitoring of Vaccinated Swine
by Heng-Wei Lee, Cheng-Yao Yang, Ming-Chang Lee, Shih-Ping Chen, Hui-Wen Chang and Ivan-Chen Cheng
Int. J. Mol. Sci. 2022, 23(15), 8542; https://doi.org/10.3390/ijms23158542 - 1 Aug 2022
Cited by 6 | Viewed by 2728
Abstract
The serum neutralization (SN) test has been regarded as the “gold standard” for seroconversion following foot-and-mouth disease virus (FMDV) vaccination, although a high-level biosafety laboratory is necessary. ELISA is one alternative, and its format is constantly being improved. For instance, standard polyclonal antisera [...] Read more.
The serum neutralization (SN) test has been regarded as the “gold standard” for seroconversion following foot-and-mouth disease virus (FMDV) vaccination, although a high-level biosafety laboratory is necessary. ELISA is one alternative, and its format is constantly being improved. For instance, standard polyclonal antisera have been replaced by monoclonal antibodies (MAbs) for catching and detecting antibodies, and inactive viruses have been replaced by virus-like particles (VLPs). To the best of current knowledge, however, no researchers have evaluated the performances of different MAbs as tracers. In previous studies, we successfully identified site 1 and site 2 MAbs Q10E and P11A. In this study, following the established screening platform, the VLPs of putative escape mutants from sites 1 to 5 were expressed and used to demonstrate that S11B is a site 3 MAb. Additionally, the vulnerability of VLPs prompted us to assess another diagnostic antigen: unprocessed polyprotein P1. Therefore, we established and evaluated the performance of blocking ELISA (bELISA) systems based on VLPs and P1, pairing them with Q10E, P11A, S11B, and the non-neutralizing TSG MAb as tracers. The results indicated that the VLP paired with S11B demonstrated the highest correlation with the SN titers (R2 = 0.8071, n = 63). Excluding weakly positive serum samples (SN = 16–32, n = 14), the sensitivity and specificity were 95.65% and 96.15% (kappa = 0.92), respectively. Additionally, the P1 pairing with Q10E also demonstrated a high correlation (R2 = 0.768). We also discovered that these four antibodies had steric effects on one another to varying degrees, despite recognizing distinct antigenic sites. This finding indicated that MAbs as tracers could not accurately detect specific antibodies, possibly because MAbs are bulky compared to a protomeric unit. However, our results still provide convincing support for the application of two pairs of bELISA systems: VLP:S11B-HRP and P1:Q10E-HRP. Full article
(This article belongs to the Section Molecular Pathology, Diagnostics, and Therapeutics)
Show Figures

Figure 1

20 pages, 1982 KB  
Article
Readiness of Mozambique Health Facilities to Address Undernutrition and Diarrhea in Children under Five: Indicators from 2018 and 2021 Survey Data
by Júlia Sambo, Adilson Fernando Loforte Bauhofer, Simone S. Boene, Marlene Djedje, António Júnior, Adalgisa Pilale, Luzia Gonçalves, Nilsa de Deus and Sérgio Chicumbe
Healthcare 2022, 10(7), 1200; https://doi.org/10.3390/healthcare10071200 - 27 Jun 2022
Cited by 4 | Viewed by 3741
Abstract
The World Health Organization’s systems framework shows that service delivery is key to addressing pressing health needs. Inadequate healthcare and the lack of healthcare services are factors associated with undernutrition and diarrhea in children under five, two health conditions with high morbi-mortality rates [...] Read more.
The World Health Organization’s systems framework shows that service delivery is key to addressing pressing health needs. Inadequate healthcare and the lack of healthcare services are factors associated with undernutrition and diarrhea in children under five, two health conditions with high morbi-mortality rates in Mozambique. The aim of the analysis was to determine the readiness score of nutrition and diarrhea services for children under five and the influence of malaria and HIV (Human Immunodeficiency Virus) service readiness on the readiness of these two services. A total of 1644 public health facilities in Mozambique were included from the 2018 Service Availability and Readiness Assessment. Additionally, a cross-sectional study was conducted to determine the availability and readiness scores of nutrition services in 2021 in five referral health facilities. The availability of nutrition and diarrhea services for children is low in Mozambique, with both scoring below 75%. Major unavailability was observed for human resources, guidelines, and training dimensions. Diarrhea (median (IQ): 72.2% (66.7 to 83.3)) and nutrition service readiness (median (IQ): 57.1% (52.4 to 57.1)) scores were significantly different (p < 0.001), while it is desirable for both services to be comprehensively ready. Nutrition services are positively associated with diarrhea service readiness and both services are associated with malaria and HIV service readiness (p < 0.05). None of the health facilities had all tracer items available and none of the facilities were considered ready (100%). There is a persisting need to invest comprehensively in readiness dimensions, within and across child health services. Full article
(This article belongs to the Special Issue Access and Healthcare for Disadvantaged Populations)
Show Figures

Figure 1

14 pages, 2039 KB  
Article
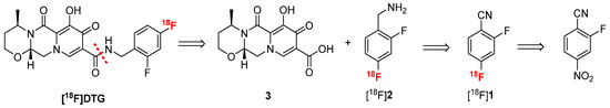
Isotopic Radiolabeling of the Antiretroviral Drug [18F]Dolutegravir for Pharmacokinetic PET Imaging
by Marion Tisseraud, Sébastien Goutal, Thomas Bonasera, Maud Goislard, Delphine Desjardins, Roger Le Grand, Chris M. Parry, Nicolas Tournier, Bertrand Kuhnast and Fabien Caillé
Pharmaceuticals 2022, 15(5), 587; https://doi.org/10.3390/ph15050587 - 10 May 2022
Cited by 4 | Viewed by 3339
Abstract
Deciphering the drug/virus/host interactions at infected cell reservoirs is a key leading to HIV-1 remission for which positron emission tomography (PET) imaging using radiolabeled antiretroviral (ARV) drugs is a powerful asset. Dolutegravir (DTG) is one of the preferred therapeutic options to treat HIV [...] Read more.
Deciphering the drug/virus/host interactions at infected cell reservoirs is a key leading to HIV-1 remission for which positron emission tomography (PET) imaging using radiolabeled antiretroviral (ARV) drugs is a powerful asset. Dolutegravir (DTG) is one of the preferred therapeutic options to treat HIV and can be isotopically labeled with fluorine-18. [18F]DTG was synthesized via a three-step approach of radiofluorination/nitrile reduction/peptide coupling with optimization for each step. Radiofluorination was performed on 2-fluoro-4-nitrobenzonitrile in 90% conversion followed by nitrile reduction using sodium borohydride and aqueous nickel(II) chloride with 72% conversion. Final peptide coupling reaction followed by HPLC purification and formulation afforded ready-to-inject [18F]DTG in 5.1 ± 0.8% (n = 10) decay-corrected radiochemical yield within 95 min. The whole process was automatized using a TRACERlab® FX NPro module, and quality control performed by analytical HPLC showed that [18F]DTG was suitable for in vivo injection with >99% chemical and radiochemical purity and a molar activity of 83 ± 18 GBq/µmol (n = 10). Whole-body distribution of [18F]DTG was performed by PET imaging on a healthy macaque and highlighted the elimination routes of the tracer. This study demonstrated the feasibility of in vivo [18F]DTG PET imaging and paved the way to explore drug/virus/tissues interactions in animals and humans. Full article
(This article belongs to the Section Radiopharmaceutical Sciences)
Show Figures

Graphical abstract

30 pages, 1591 KB  
Article
Modeling Aerial Transmission of Pathogens (Including the SARS-CoV-2 Virus) through Aerosol Emissions from E-Cigarettes
by Roberto A. Sussman, Eliana Golberstein and Riccardo Polosa
Appl. Sci. 2021, 11(14), 6355; https://doi.org/10.3390/app11146355 - 9 Jul 2021
Cited by 7 | Viewed by 4693
Abstract
We examine the plausibility of aerial transmission of pathogens (including the SARS-CoV-2 virus) through respiratory droplets that might be carried by exhaled e-cigarette aerosol (ECA). Given the lack of empiric evidence on this phenomenon, we consider available evidence on cigarette smoking and respiratory [...] Read more.
We examine the plausibility of aerial transmission of pathogens (including the SARS-CoV-2 virus) through respiratory droplets that might be carried by exhaled e-cigarette aerosol (ECA). Given the lack of empiric evidence on this phenomenon, we consider available evidence on cigarette smoking and respiratory droplet emission from mouth breathing through a mouthpiece as convenient proxies to infer the capacity of vaping to transport pathogens in respiratory droplets. Since both exhaled droplets and ECA droplets are within the Stokes regime, the ECA flow acts effectively as a visual tracer of the expiratory flow. To infer quantitatively the direct exposure distance, we consider a model that approximates exhaled ECA flow as an axially symmetric intermittent steady starting jet evolving into an unstable puff, an evolution that we corroborate by comparison with photographs and videos of actual vapers. On the grounds of all this theoretical modeling, we estimate for low-intensity vaping (practiced by 80–90% of vapers) the emission of 6–210 (median 39.9, median deviation 67.3) respiratory submicron droplets per puff and a horizontal distance spread of 1–2 m, with intense vaping possibly emitting up to 1000 droplets per puff in the submicron range with a distance spread over 2 m. The optical visibility of the ECA flow has important safety implications, as bystanders become instinctively aware of the scope and distance of possible direct contagion through the vaping jet. Full article
(This article belongs to the Special Issue Environmental Health and Microbiology)
Show Figures

Figure 1

10 pages, 2660 KB  
Article
Phototoxicities Caused by Continuous Light Exposure Were Not Induced in Retinal Ganglion Cells Transduced by an Optogenetic Gene
by Kitako Tabata, Eriko Sugano, Akito Hatakeyama, Yoshito Watanabe, Tomoya Suzuki, Taku Ozaki, Tomokazu Fukuda and Hiroshi Tomita
Int. J. Mol. Sci. 2021, 22(13), 6732; https://doi.org/10.3390/ijms22136732 - 23 Jun 2021
Cited by 12 | Viewed by 3140
Abstract
The death of photoreceptor cells is induced by continuous light exposure. However, it is unclear whether light damage was induced in retinal ganglion cells with photosensitivity by transduction of optogenetic genes. In this study, we evaluated the phototoxicities of continuous light exposure on [...] Read more.
The death of photoreceptor cells is induced by continuous light exposure. However, it is unclear whether light damage was induced in retinal ganglion cells with photosensitivity by transduction of optogenetic genes. In this study, we evaluated the phototoxicities of continuous light exposure on retinal ganglion cells after transduction of the optogenetic gene mVChR1 using an adeno-associated virus vector. Rats were exposed to continuous light for a week, and visually evoked potentials (VEPs) were recorded. The intensities of continuous light (500, 1000, 3000, and 5000 lx) increased substantially after VEP recordings. After the final recording of VEPs, retinal ganglion cells (RGCs) were retrogradely labeled with a fluorescein tracer, FluoroGold, and the number of retinal ganglion cells was counted under a fluorescent microscope. There was no significant reduction in the amplitudes of VEPs and the number of RGCs after exposure to any light intensity. These results indicated that RGCs were photosensitive after the transduction of optogenetic genes and did not induce any phototoxicity by continuous light exposure. Full article
(This article belongs to the Special Issue Gene Therapy for Neurodegenerative Disease)
Show Figures

Figure 1

21 pages, 907 KB  
Article
A Mathematical Model of Contact Tracing during the 2014–2016 West African Ebola Outbreak
by Danielle Burton, Suzanne Lenhart, Christina J. Edholm, Benjamin Levy, Michael L. Washington, Bradford R. Greening, K. A. Jane White, Edward Lungu, Obias Chimbola, Moatlhodi Kgosimore, Faraimunashe Chirove, Marilyn Ronoh and M. Helen Machingauta
Mathematics 2021, 9(6), 608; https://doi.org/10.3390/math9060608 - 12 Mar 2021
Cited by 9 | Viewed by 5687
Abstract
The 2014–2016 West African outbreak of Ebola Virus Disease (EVD) was the largest and most deadly to date. Contact tracing, following up those who may have been infected through contact with an infected individual to prevent secondary spread, plays a vital role in [...] Read more.
The 2014–2016 West African outbreak of Ebola Virus Disease (EVD) was the largest and most deadly to date. Contact tracing, following up those who may have been infected through contact with an infected individual to prevent secondary spread, plays a vital role in controlling such outbreaks. Our aim in this work was to mechanistically represent the contact tracing process to illustrate potential areas of improvement in managing contact tracing efforts. We also explored the role contact tracing played in eventually ending the outbreak. We present a system of ordinary differential equations to model contact tracing in Sierra Leonne during the outbreak. Using data on cumulative cases and deaths, we estimate most of the parameters in our model. We include the novel features of counting the total number of people being traced and tying this directly to the number of tracers doing this work. Our work highlights the importance of incorporating changing behavior into one’s model as needed when indicated by the data and reported trends. Our results show that a larger contact tracing program would have reduced the death toll of the outbreak. Counting the total number of people being traced and including changes in behavior in our model led to better understanding of disease management. Full article
(This article belongs to the Special Issue Mathematical Biology: Developments in Epidemic and Endemic Models)
Show Figures

Figure 1

18 pages, 12145 KB  
Article
Intrastriatal Administration of AAV5-miHTT in Non-Human Primates and Rats Is Well Tolerated and Results in miHTT Transgene Expression in Key Areas of Huntington Disease Pathology
by Elisabeth A. Spronck, Astrid Vallès, Margit H. Lampen, Paula S. Montenegro-Miranda, Sonay Keskin, Liesbeth Heijink, Melvin M. Evers, Harald Petry, Sander J. van Deventer, Pavlina Konstantinova and Martin de Haan
Brain Sci. 2021, 11(2), 129; https://doi.org/10.3390/brainsci11020129 - 20 Jan 2021
Cited by 39 | Viewed by 8835
Abstract
Huntington disease (HD) is a fatal, neurodegenerative genetic disorder with aggregation of mutant Huntingtin protein (mutHTT) in the brain as a key pathological mechanism. There are currently no disease modifying therapies for HD; however, HTT-lowering therapies hold promise. Recombinant adeno-associated virus serotype [...] Read more.
Huntington disease (HD) is a fatal, neurodegenerative genetic disorder with aggregation of mutant Huntingtin protein (mutHTT) in the brain as a key pathological mechanism. There are currently no disease modifying therapies for HD; however, HTT-lowering therapies hold promise. Recombinant adeno-associated virus serotype 5 expressing a microRNA that targets HTT mRNA (AAV5-miHTT) is in development for the treatment of HD with promising results in rodent and minipig HD models. To support a clinical trial, toxicity studies were performed in non-human primates (NHP, Macaca fascicularis) and Sprague-Dawley rats to evaluate the safety of AAV5-miHTT, the neurosurgical administration procedure, vector delivery and expression of the miHTT transgene during a 6-month observation period. For accurate delivery of AAV5-miHTT to the striatum, real-time magnetic resonance imaging (MRI) with convection-enhanced delivery (CED) was used in NHP. Catheters were successfully implanted in 24 NHP, without neurological symptoms, and resulted in tracer signal in the target areas. Widespread vector DNA and miHTT transgene distribution in the brain was found, particularly in areas associated with HD pathology. Intrastriatal administration of AAV5-miHTT was well tolerated with no clinically relevant changes in either species. These studies demonstrate the excellent safety profile of AAV5-miHTT, the reproducibility and tolerability of intrastriatal administration, and the delivery of AAV5-miHTT to the brain, which support the transition of AAV5-miHTT into clinical studies. Full article
Show Figures

Figure 1

12 pages, 2062 KB  
Article
[68Ga]Ga-Pentixafor for PET Imaging of Vascular Expression of CXCR-4 as a Marker of Arterial Inflammation in HIV-Infected Patients: A Comparison with 18F[FDG] PET Imaging
by Ismaheel O. Lawal, Gbenga O. Popoola, Johncy Mahapane, Jens Kaufmann, Cindy Davis, Honest Ndlovu, Letjie C. Maserumule, Kgomotso M. G. Mokoala, Hakim Bouterfa, Hans-Jürgen Wester, Jan Rijn Zeevaart and Mike M. Sathekge
Biomolecules 2020, 10(12), 1629; https://doi.org/10.3390/biom10121629 - 3 Dec 2020
Cited by 14 | Viewed by 3853
Abstract
People living with human immunodeficiency virus (PLHIV) have excess risk of atherosclerotic cardiovascular disease (ASCVD). Arterial inflammation is the hallmark of atherogenesis and its complications. In this study we aimed to perform a head-to-head comparison of fluorine-18 fluorodeoxyglucose positron emission tomography/computed tomography ([ [...] Read more.
People living with human immunodeficiency virus (PLHIV) have excess risk of atherosclerotic cardiovascular disease (ASCVD). Arterial inflammation is the hallmark of atherogenesis and its complications. In this study we aimed to perform a head-to-head comparison of fluorine-18 fluorodeoxyglucose positron emission tomography/computed tomography ([18F]FDG PET/CT) and Gallium-68 pentixafor positron emission tomography/computed tomography [68Ga]Ga-pentixafor PET/CT for quantification of arterial inflammation in PLHIV. We prospectively recruited human immunodeficiency virus (HIV)-infected patients to undergo [18F]FDG PET/CT and [68Ga]Ga-pentixafor PET/CT within two weeks of each other. We quantified the levels of arterial tracer uptake on both scans using maximum standardized uptake value (SUVmax) and target–background ratio. We used Bland and Altman plots to measure the level of agreement between tracer quantification parameters obtained on both scans. A total of 12 patients were included with a mean age of 44.67 ± 7.62 years. The mean duration of HIV infection and mean CD+ T-cell count of the study population were 71.08 ± 37 months and 522.17 ± 260.33 cells/µL, respectively. We found a high level of agreement in the quantification variables obtained using [18F]FDG PET and [68Ga]Ga-pentixafor PET. There is a good level of agreement in the arterial tracer quantification variables obtained using [18F]FDG PET/CT and [68Ga]Ga-pentixafor PET/CT in PLHIV. This suggests that [68Ga]Ga-pentixafor may be applied in the place of [18F]FDG PET/CT for the quantification of arterial inflammation. Full article
Show Figures

Figure 1

13 pages, 2293 KB  
Review
The Attenuated Pseudorabies Virus Vaccine Strain Bartha K61: A Brief Review on the Knowledge Gathered during 60 Years of Research
by Jonas L. Delva, Hans J. Nauwynck, Thomas C. Mettenleiter and Herman W. Favoreel
Pathogens 2020, 9(11), 897; https://doi.org/10.3390/pathogens9110897 - 27 Oct 2020
Cited by 55 | Viewed by 5580
Abstract
Pseudorabies virus (PRV) is a member of the alphaherpesvirus subfamily of the herpesviruses and is the causative agent of Aujeszky’s disease in pigs, causing respiratory, neurological, and reproductive symptoms. Given the heavy economic losses associated with Aujeszky’s disease epidemics, great efforts were made [...] Read more.
Pseudorabies virus (PRV) is a member of the alphaherpesvirus subfamily of the herpesviruses and is the causative agent of Aujeszky’s disease in pigs, causing respiratory, neurological, and reproductive symptoms. Given the heavy economic losses associated with Aujeszky’s disease epidemics, great efforts were made to develop efficacious vaccines. One of the best modified live vaccines to this day is the attenuated Bartha K61 strain. The use of this vaccine in extensive vaccination programs worldwide has assisted considerably in the eradication of PRV from the domesticated pig population in numerous countries. The Bartha K61 strain was described in 1961 by Adorján Bartha in Budapest and was obtained by serial passaging in different cell cultures. Ever since, it has been intensively studied by several research groups, for example, to explore its efficacy as a vaccine strain, to molecularly and mechanistically explain its attenuation, and to use it as a retrograde neuronal tracer and as a vector vaccine. Given that the Bartha K61 vaccine strain celebrates its 60th birthday in 2021 with no sign of retirement, this review provides a short summary of the knowledge on its origin, characteristics, and use as a molecular tool and as a vaccine. Full article
(This article belongs to the Special Issue Pseudorabies Virus Infections)
Show Figures

Figure 1

7 pages, 346 KB  
Article
Evaluating the Utility of UV Lamps to Mitigate the Spread of Pathogens in the ICU
by Andrew Gostine, David Gostine, Jack Short, Arjun Rustagi, Jennifer Cadnum, Curtis Donskey and Tim Angelotti
Appl. Sci. 2020, 10(18), 6326; https://doi.org/10.3390/app10186326 - 11 Sep 2020
Cited by 4 | Viewed by 3650
Abstract
Contaminated surfaces in a hospital serve as reservoirs for pathogen spread. The aim of this study was to evaluate UV lights in preventing the spread of a DNA tracer in an intensive care unit (ICU) through sterilization of highly touched surfaces. In a [...] Read more.
Contaminated surfaces in a hospital serve as reservoirs for pathogen spread. The aim of this study was to evaluate UV lights in preventing the spread of a DNA tracer in an intensive care unit (ICU) through sterilization of highly touched surfaces. In a prospective trial, a non-pathogenic DNA virus was inoculated onto surfaces in an ICU patient room. Investigators swabbed frequently touched surfaces in non-inoculated ICU rooms at 24, 48, and 96 h post inoculation. Culture specimens were analyzed for the presence of viral DNA via PCR. After baseline data were obtained, UV lights were deployed in a standardized fashion onto vitals monitors, ventilators, keyboards, and intravenous (IV) pumps. Inoculation and culturing were then repeated. Prior to UV implementation, the DNA tracer disseminated to 10.10% of tested surfaces in non-inoculated rooms at 48 h. Post UV light deployment, only 1.20% of surfaces tested positive for the DNA tracer after 48 h. UV decontamination significantly retarded the spread of the virus DNA, with a relative reduction of 90% at 48 h from 10.10% of surfaces pre UV to 1.20% of surfaces post UV (p < 0.0001). UV decontamination holds the potential to confer protection to patients by reducing the number of surfaces that can serve as a nidus for transfer. Full article
(This article belongs to the Special Issue Electromagnetic Radiation in Biology and Health)
Show Figures

Figure 1

23 pages, 7806 KB  
Article
Autophagy Inhibits Grass Carp Reovirus (GCRV) Replication and Protects Ctenopharyngodon idella Kidney (CIK) Cells from Excessive Inflammatory Responses after GCRV Infection
by Pengfei Chu, Libo He, Rong Huang, Lanjie Liao, Yongming Li, Zuoyan Zhu, Wei Hu and Yaping Wang
Biomolecules 2020, 10(9), 1296; https://doi.org/10.3390/biom10091296 - 8 Sep 2020
Cited by 45 | Viewed by 5386
Abstract
Autophagy is an essential and highly conserved process in mammals, which is critical to maintaining physiological homeostasis, including cell growth, development, repair, and survival. However, the understanding of autophagy in fish virus replication is limited. In this study, we found that grass carp [...] Read more.
Autophagy is an essential and highly conserved process in mammals, which is critical to maintaining physiological homeostasis, including cell growth, development, repair, and survival. However, the understanding of autophagy in fish virus replication is limited. In this study, we found that grass carp reovirus (GCRV) infection stimulated autophagy in the spleen of grass carp (Ctenopharyngodon idella). Moreover, both Western blot (WB) analysis and fluorescent tracer tests showed that GCRV infection induced the enhancement of autophagy activation in Ctenopharyngodon idella kidney (CIK) cells. Autophagy inducer rapamycin and autophagy inhibitor 3-MA pretreatment can inhibit and promote the proliferation of GCRV, respectively. In addition, grass carp autophagy-related gene 5 (CiATG5)-induced autophagy, as well as rapamycin, showed effects on GCRV replication in CIK cells. Transcriptome analysis revealed that the total number of differentially expressed genes (DEGs) in CiATG5 overexpression groups was less than that of the control during GCRV infection. Enrichment analysis showed that CiATG5 overexpression induced the enhancement of autophagy, lysosome, phagosome, and apoptosis in the early stage of GCRV infection, which led to the clearance of viruses. In the late stage, steroid biosynthesis, DNA replication, terpenoid backbone biosynthesis, and carbon metabolism were upregulated, which contributed to cell survival. Moreover, signaling pathways involved in the immune response and cell death were downregulated in CiATG5 overexpression groups. Further study showed that CiATG5 repressed the expression of inflammatory response genes, including cytokines and type I interferons. Taken together, the results demonstrate that autophagy represses virus replication and attenuates acute inflammatory responses to protect cells. Full article
Show Figures

Figure 1

Back to TopTop