Sign in to use this feature.

Years

Between: -

Subjects

remove_circle_outline
remove_circle_outline
remove_circle_outline
remove_circle_outline
remove_circle_outline
remove_circle_outline
remove_circle_outline
remove_circle_outline
remove_circle_outline

Journals

remove_circle_outline
remove_circle_outline
remove_circle_outline
remove_circle_outline
remove_circle_outline
remove_circle_outline
remove_circle_outline
remove_circle_outline
remove_circle_outline

Article Types

Countries / Regions

remove_circle_outline
remove_circle_outline
remove_circle_outline
remove_circle_outline

Search Results (599)

Search Parameters:
Keywords = tomato-based products

Order results
Result details
Results per page
Select all
Export citation of selected articles as:
16 pages, 933 KB  
Article
Evaluation of the Chemical Properties of Tomato Products Enriched with Plant-Based Ingredients
by Rose Daphnee Tchonkouang, Dorcas Martekie Martey, Custódia Gago, Adriana Guerreiro, Sara Raposo, Brígida Rodrigues, M. Margarida Cortez Vieira and Maria Dulce Antunes
Horticulturae 2026, 12(2), 129; https://doi.org/10.3390/horticulturae12020129 (registering DOI) - 24 Jan 2026
Abstract
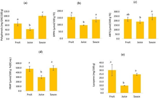
Reformulating tomato-based products with beneficial plant-based ingredients is a promising approach for enhancing dietary quality. In this study, the chemical properties of reformulated tomato products—a juice and a sauce enriched with pea protein, olive powder, and tomato peel powder—were evaluated alongside the tomatoes [...] Read more.
Reformulating tomato-based products with beneficial plant-based ingredients is a promising approach for enhancing dietary quality. In this study, the chemical properties of reformulated tomato products—a juice and a sauce enriched with pea protein, olive powder, and tomato peel powder—were evaluated alongside the tomatoes used as raw material (cultivar ‘H1657’) to determine the changes occurring during their conversion into reformulated products. The chemical properties were assessed by analyzing lycopene, antioxidant capacity (by total phenolic content, DPPH, ABTS, and FRAP), sugars (glucose, fructose, and sucrose), and organic acids (citric, malic, ascorbic, and oxalic acids). The results showed that the fruit had the highest contents of glucose and fructose. Citric, malic, and oxalic acids were lower in the reformulated products than in the fruit sample, while ascorbic acid did not differ significantly. The sauce and fresh fruit exhibited the highest lycopene, ABTS, DPPH, and FRAP, whereas the juice had the lowest. Polyphenol content was highest in the sauce followed by the fruit and then the juice. The results suggest that incorporating plant-based ingredients into the sauce formulation can help compensate for nutrient losses that occur during tomato processing, making it a promising tomato-based product. Full article
(This article belongs to the Section Processed Horticultural Products)
Show Figures

Figure 1

15 pages, 913 KB  
Article
Citrus Waste as a Sustainable Amendment for Tomato Soilless Substrates Under Deficit Irrigation
by Aurora Maio, Tommaso La Malfa, Concetta Condurso, Anthea Miller, Stefania Toscano and Fabio Gresta
Agronomy 2026, 16(3), 288; https://doi.org/10.3390/agronomy16030288 - 23 Jan 2026
Abstract
The citrus processing industry generates large amounts of organic residues whose sustainable management is a major environmental challenge. The aim of this study was to evaluate the effects of incorporating citrus-derived waste (CW) into coconut-coir-based substrates on tomato (Solanum lycopersicum L., cv. [...] Read more.
The citrus processing industry generates large amounts of organic residues whose sustainable management is a major environmental challenge. The aim of this study was to evaluate the effects of incorporating citrus-derived waste (CW) into coconut-coir-based substrates on tomato (Solanum lycopersicum L., cv. Proxy) under different irrigation regimes (I) in a factorial design (CW × I) with three replications. Each replicate consisted of six plants (pots), and the replicate was considered the experimental unit. Plants were grown in substrates amended with 0%, 6.25%, 12.5%, 25.0%, and 37.5% (v/v) citrus waste and subjected to three water regimes (100%, 75%, and 50% of the standard water supply). Plant growth, biomass allocation, yield components, and fruit quality traits were assessed. Results indicate that CW can be incorporated into coconut-coir substrates without detectable penalties in total production at low-to-moderate rates (6.25–12.5%) across all irrigation regimes. Yield reductions of 18% (from 3398 to 2789 g plant−1) attributable to CW were observed mostly at the highest inclusion rates under moderate deficit irrigation (75% water supply), whereas under severe deficit (50% water supply), production declined across all CW rates, including 0%, indicating that water deficit has a dominant limiting effect. Fruit quality parameters were generally maintained or improved in amended substrates, particularly under reduced irrigation with deficit irrigation, generally increasing total soluble solids at 100%, 75%, and 50% WC (+13%, +19%, and +9%, respectively). Overall, these findings support the use of citrus waste at low-to-moderate proportions as a sustainable amendment for soilless tomato cultivation without marked negative effects on yield and fruit quality, enabling its use as a locally sourced substrate component within circular-economy strategies. Full article
(This article belongs to the Section Water Use and Irrigation)
17 pages, 1093 KB  
Article
Boron Toxicity Alters Yield, Mineral Nutrition and Metabolism in Tomato Plants: Limited Mitigation by a Laminaria digitata-Derived Biostimulant
by Valeria Navarro-Perez, Erika Fernandez-Martinez, Francisco García-Sánchez, Silvia Simón-Grao and Vicente Gimeno-Nieves
Agronomy 2026, 16(2), 247; https://doi.org/10.3390/agronomy16020247 - 20 Jan 2026
Viewed by 67
Abstract
The use of unconventional water sources, such as those from marine desalination plants, is challenging for agriculture due to boron concentrations exceeding 0.5 mg L−1, which can impact crop yield and quality. To ensure sustainability, it is crucial to understand crop [...] Read more.
The use of unconventional water sources, such as those from marine desalination plants, is challenging for agriculture due to boron concentrations exceeding 0.5 mg L−1, which can impact crop yield and quality. To ensure sustainability, it is crucial to understand crop responses to high boron levels and to develop strategies to mitigate its toxic effects. This study evaluated the impact of irrigation with a nutrient solution containing 15 mg L−1 of boron on tomato plants (Solanum lycopersicum L.). To modulate the physiological effects of boron toxicity, two biostimulant products based on an extract from the brown alga Laminaria digitata and other active ingredients were applied foliarly. Agronomic, nutritional, and metabolic parameters were analyzed, including total yield, number of fruits per plant, and fruit quality. Additionally, mineral analysis and metabolomic profiling of leaves and fruits were performed, focusing on amino acids, organic acids, sugars, and other metabolites. A control treatment was irrigated with a nutrient solution containing 0.25 mg L−1 of boron. The results showed that a boron concentration of 15 mg L−1 significantly reduced total yield by 45% and significantly decreased fruit size and firmness. Mineral and metabolomic analyses showed significant reductions in Mg and Ca concentrations, significant increases in P and Zn levels, excessive boron accumulation in leaves and fruits, and significant changes in metabolites associated with nitrogen metabolism and the Krebs cycle. Biostimulant application did not significantly improve agronomic performance, likely due to high boron accumulation in the leaves, although significant changes were detected in leaf nutritional status and metabolic profiles. Full article
Show Figures

Figure 1

13 pages, 959 KB  
Article
Can the Application of Microbial Inocula Allow for Reducing Phosphate Fertilisation Rates in Open Field Tomato Crops?
by Artur Kowalski, Paweł Trzciński, Aya el Meziane, Lidia Sas-Paszt and Eligio Malusà
Agronomy 2026, 16(2), 170; https://doi.org/10.3390/agronomy16020170 - 9 Jan 2026
Viewed by 151
Abstract
In addition to its obvious benefits, mineral fertilisation also poses a number of threats to the environment. A four-year study was conducted to verify the possibility of integrating the application of a bacterial consortium to reduce the dose of mineral phosphorus (P) fertilisers [...] Read more.
In addition to its obvious benefits, mineral fertilisation also poses a number of threats to the environment. A four-year study was conducted to verify the possibility of integrating the application of a bacterial consortium to reduce the dose of mineral phosphorus (P) fertilisers in field-grown tomato crops without negative effects on yield. The combination of the microbial consortium with a 60% dose of both simple and complex P fertilisers did not show statistical differences in crop productivity and fruit quality compared to the full dose fertilisation each year, even when considering the cumulative yield. This was paralleled by a similar level of leaf chlorophyll index. Plants grown in rhizoboxes showed that the inoculation favoured, in the case of the complex fertiliser, a modification of the root system architecture, though not confirmed statistically. In the case of this kind of fertiliser, the inoculation induced a significant increase in the rhizospheric bacterial metabolic activity, which could be partly accounted for by the agronomic performance. However, this was not paralleled by a modification of the metabolic biodiversity of the bacterial population. The study demonstrated that, for highly demanding crops such as tomato, a valid agrononomic target for the application of microbial-based products integrated into a reduced mineral P fertilisation strategy could reach crop productivity not different from that obtained without them. Such a strategy could favour the adoption of an integrated nutrient management strategy by farmers, with positive impacts also on the environment. Full article
Show Figures

Figure 1

29 pages, 7801 KB  
Article
YOLOP-Tomato: An End-to-End Model for Tomato Detection and Main Stem–Lateral Branch Segmentation
by Didun Kou, Jiandong Fang and Yudong Zhao
Agronomy 2026, 16(2), 150; https://doi.org/10.3390/agronomy16020150 - 7 Jan 2026
Viewed by 297
Abstract
Tomatoes are a rich source of nutrients that are essential for human health. However, in greenhouse environments, the complex growth patterns of tomatoes and stems often result in mutual obstruction and overlapping, posing significant challenges for accurate ripeness detection and stem segmentation. Furthermore, [...] Read more.
Tomatoes are a rich source of nutrients that are essential for human health. However, in greenhouse environments, the complex growth patterns of tomatoes and stems often result in mutual obstruction and overlapping, posing significant challenges for accurate ripeness detection and stem segmentation. Furthermore, the current detection and segmentation tasks are typically executed in isolation, resulting in suboptimal inference efficiency and substantial computational expenses. To address these issues, this study proposes the YOLOP-Tomato (YOLO-Based Panoptic Perception for Tomato) based on YOLOv8n, enabling simultaneous tomato detection and stem and branch segmentation. Two RSU (ReSidual U-blocks) modules establish feature connection mechanisms between the backbone and head. SPPCTX (SPP Context) was developed at the neck of the model to perform multi-scale contextual feature fusion and enhancement. The SCDown (Spatial-Channel Decoupled downsampling) is employed to lightweight the backbone’s terminal structure. The experimental results demonstrate that YOLOP-Tomato achieves precision, recall, mAP50, and mAP50–95 of 94.9%, 85.0%, 93.6%, and 60.9% for detection, and mIoU of 77.6% for segmentation. These results represent improvements of 2.5%, 0.1%, 0.5%, 1.1%, and 1.4%, over YOLOv8n. The trained model was deployed on the NVIDIA Jetson AGX Orin platform, an efficient inference speed of 5.67 milliseconds was achieved. The proposed YOLOP-Tomato provides reliable and efficient technical support for tomato detection, ripeness identification, stem and branch segmentation in greenhouses, and holds great significance for improving the level of intelligent agricultural production. Full article
(This article belongs to the Section Precision and Digital Agriculture)
Show Figures

Figure 1

16 pages, 5630 KB  
Article
Alternative to Groundwater Drip Irrigation for Tomatoes in Cold and Arid Regions of North China by Rainwater Harvesting from Greenhouse Film
by Mengmeng Sun, Jizong Zhang, Jiayi Qin, Huibin Li and Lifeng Zhang
Agronomy 2026, 16(1), 132; https://doi.org/10.3390/agronomy16010132 - 5 Jan 2026
Viewed by 187
Abstract
Groundwater resources are scarce in the cold and arid regions of north China. Moreover, regional water resource replenishment without external sources remains difficult. This water deficit has become a major factor restricting the sustainable development of regional vegetable production. The effective utilization of [...] Read more.
Groundwater resources are scarce in the cold and arid regions of north China. Moreover, regional water resource replenishment without external sources remains difficult. This water deficit has become a major factor restricting the sustainable development of regional vegetable production. The effective utilization of rainwater harvesting for irrigated agricultural production is necessary to suppress droughts and floods in farming under the semi-arid climate of this area in order to both guarantee a stable supply of vegetables to the market in south and north China and promote the balanced development of regional agriculture–resource–environment integration. In this study, based on continuous simulation and Python modeling, we simulated and analyzed the water supply and production effects of irrigation with harvests and stored rainwater on tomatoes under different water supply scenarios from 1992 to 2023. We then designed and tested a water-saving and high-yield project for rainwater-irrigated greenhouses in 2024 and 2025 under natural rainfall conditions in northwestern Hebei Province based on the reference irrigation scheme. The water supply satisfaction rate, water demand satisfaction rate, and volume of water inventory of tomato fields under different water supply scenarios increased with the rainwater tank size, and the corresponding drought yield reduction rate of tomato decreased. Under the actual rainfall scenarios in 2024 and 2025, a 480 m2 greenhouse with a 14.4 m3 rainwater tank for producing tomatoes irrigated with rainwater drip from the greenhouse film collected 127.7 and 120.5 m3 of rainwater, respectively. The volume of the rainwater tank was exceeded 8.3 and 8.0 times, and up to 93.8% and 95.0% of the irrigated groundwater was replaced; additionally, the average yield of the small-fruited tomato ‘Beisi’ was 50,076.6 kg·hm−2 and 48,110.2 kg·hm−2, reaching 96.1% and 92.3% of the expected yield. Conclusion: The irrigation strategy based on the innovative “greenhouse film–rainwater harvesting–groundwater replenishment” model developed in this study has successfully achieved a high substitution rate of groundwater for greenhouse tomato production in the cold and arid regions of north China while ensuring stable yields by mitigating drought and waterlogging risks. This model not only provides a replicable technical framework for sustainable agricultural water resource management in semi-arid areas but also offers critical theoretical and practical support for addressing water scarcity and ensuring food security under global climate change. Full article
(This article belongs to the Section Water Use and Irrigation)
Show Figures

Figure 1

25 pages, 2640 KB  
Article
Digital Twin Irrigation Strategies to Mitigate Drought Effects in Processing Tomatoes
by Sandra Millán, Jaume Casadesús, Jose María Vadillo and Carlos Campillo
Horticulturae 2026, 12(1), 28; https://doi.org/10.3390/horticulturae12010028 - 26 Dec 2025
Viewed by 285
Abstract
The increasing frequency and intensity of droughts, a direct consequence of climate change, represent one of the main threats to agriculture, especially for crops with a high water demand such as the processing tomato. The objective of this study is to evaluate the [...] Read more.
The increasing frequency and intensity of droughts, a direct consequence of climate change, represent one of the main threats to agriculture, especially for crops with a high water demand such as the processing tomato. The objective of this study is to evaluate the potential of the IrriDesK digital twin (DT) as a tool for automated irrigation management and the implementation of regulated deficit irrigation (RDI) strategies tailored to the crop’s water status and phenological stage. The trial was conducted in an experimental plot over two consecutive growing seasons (2023–2024), comparing three irrigation treatments: full irrigation based on lysimeter measurements (T1) and two RDI strategies programmed through IrriDesK (T2 and T3). The results showed water consumption reductions of 30–45% in treatments T2 and T3 compared to treatment T1, with applied volumes of 277–400 mm versus approximately 570 mm in treatment T1, thus remaining within the sustainability threshold (<500 mm, equivalent to 5000 m3 ha−1). This threshold corresponds to the maximum seasonal allocation typically available for processing tomato under drought conditions in the region and was used to configure the DT’s seasonal irrigation plan. The monitoring of leaf water potential (Ψleaf) and the normalized difference vegetation index (NDVI) confirmed the DT’s ability to dynamically adjust irrigation and maintain an adequate water status during critical crop phases. In terms of productivity, treatment T1 achieved the highest yields (≈135 t ha−1), while RDI strategies reduced production to 90–108 t ha−1, but improved fruit quality, with increases in total soluble solids content of up to 10–15% (°Brix). These results demonstrate that IrriDesK is an effective tool for the optimization of water use while maintaining crop profitability and enhancing the resilience of processing tomatoes to drought scenarios. Full article
Show Figures

Figure 1

23 pages, 1264 KB  
Article
Fermented Kiwifruit By-Product as Experimental Biostimulant for Soilless Mini-Plum Tomato Cultivation
by Anna Agosti, Alessia Levante, Jasmine Hadj Saadoun, Samreen Nazeer, Lorenzo Del Vecchio, Leandra Leto, Massimiliano Rinaldi, Rohini Dhenge, Martina Cirlini, Camilla Lazzi and Benedetta Chiancone
Plants 2026, 15(1), 82; https://doi.org/10.3390/plants15010082 - 26 Dec 2025
Viewed by 313
Abstract
Biostimulants boost plant growth, productivity, and nutrient retention, and can be produced from agri-food waste via microbial fermentation. In this study, undersized and unsold kiwifruits were fermented with Lactiplantibacillus plantarum to produce a fermented kiwifruit-based biostimulant (FKB). FKB was applied to soilless tomato [...] Read more.
Biostimulants boost plant growth, productivity, and nutrient retention, and can be produced from agri-food waste via microbial fermentation. In this study, undersized and unsold kiwifruits were fermented with Lactiplantibacillus plantarum to produce a fermented kiwifruit-based biostimulant (FKB). FKB was applied to soilless tomato plants (cv. Solarino) at two concentrations (50 and 100 mL L−1) at the root level, every two weeks throughout the crop cycle. Fruits were analyzed for technological and chemical parameters, including color, texture, total soluble solids, titratable acidity, sugar/acid ratio, pH, electrical conductivity, total polyphenol content, antioxidant activity, and lycopene concentration. Additionally, metataxonomic analysis characterized the substrate microbial community at the beginning and the end of cultivation. Overall, the results indicate a dose-dependent effect of FKB on fruit quality parameters, with the highest concentration showing the most pronounced effects, specifically for the fruit firmness (8.02 N for FKB at 100 mL L−1 vs. 7.25 N for the Control). Moreover, both tested concentrations were associated with increased antioxidant activity (on average +28%), and lycopene content (on average +57%) compared with the Control fruits. While overall microbial diversity remained largely unchanged, the relative abundance of bacterial taxa associated with nutrient cycling and plant–microbe interactions was modulated by the biostimulant, indicating subtle but potentially functionally relevant shifts in the rhizosphere microbiota. These findings suggest that fermented kiwifruit biomass can serve as an effective biostimulant, improving both fruit quality and the functional structure of the rhizosphere microbial community in soilless tomato cultivation. Full article
Show Figures

Graphical abstract

31 pages, 2497 KB  
Review
Production of Kefir and Kefir-like Beverages: Fundamental Aspects, Advances, and Future Challenges
by Marta Abajo Justel, Eduardo Balvis Outeiriño and Nelson Pérez Guerra
Processes 2026, 14(1), 73; https://doi.org/10.3390/pr14010073 - 25 Dec 2025
Viewed by 1142
Abstract
Nowadays, consumer demand for functional foods with health benefits has grown significantly. In response to this trend, a variety of potentially probiotic foods have been developed—most notably kefir and kefir-like beverages, which are highly appreciated for their tangy flavor and health-promoting properties. Traditionally, [...] Read more.
Nowadays, consumer demand for functional foods with health benefits has grown significantly. In response to this trend, a variety of potentially probiotic foods have been developed—most notably kefir and kefir-like beverages, which are highly appreciated for their tangy flavor and health-promoting properties. Traditionally, kefir is made by fermenting cow’s milk with milk kefir grains, although milk from other animals—such as goats, ewes, buffalo, camels, and mares—is also used. Additionally, non-dairy versions are made by fermenting plant-based milks (such as coconut, almond, soy, rice, and oat) with the same type of grains, or by fermenting fruit and vegetable juices (e.g., apple, carrot, fennel, grape, tomato, prickly pear, onion, kiwifruit, strawberry, quince, pomegranate) with water kefir grains. Despite their popularity, many aspects of kefir production remain poorly understood. These include alternative production methods beyond traditional batch fermentation, kinetic studies of the process, and the influence of key cultivation variables—such as temperature, initial pH, and the type and concentration of nutrients—on biomass production and fermentation metabolites. A deeper understanding of the fermentation process can enable the production of kefir beverages tailored to meet diverse consumer preferences. Full article
(This article belongs to the Section Food Process Engineering)
Show Figures

Graphical abstract

28 pages, 2084 KB  
Article
A Multimodal Deep Learning Framework for Intelligent Pest and Disease Monitoring in Smart Horticultural Production Systems
by Chuhuang Zhou, Yuhan Cao, Bihong Ming, Jingwen Luo, Fangrou Xu, Jiamin Zhang and Min Dong
Horticulturae 2026, 12(1), 8; https://doi.org/10.3390/horticulturae12010008 - 21 Dec 2025
Viewed by 415
Abstract
This study addressed the core challenge of intelligent pest and disease monitoring and early warning in smart horticultural production by proposing a multimodal deep learning framework based on multi-parameter environmental sensor arrays. The framework integrates visual information with electrical signals to overcome the [...] Read more.
This study addressed the core challenge of intelligent pest and disease monitoring and early warning in smart horticultural production by proposing a multimodal deep learning framework based on multi-parameter environmental sensor arrays. The framework integrates visual information with electrical signals to overcome the inherent limitations of conventional single-modality approaches in terms of real-time capability, stability, and early detection performance. A long-term field experiment was conducted over 18 months in the Hetao Irrigation District of Bayannur, Inner Mongolia, using three representative horticultural crops—grape (Vitis vinifera), tomato (Solanum lycopersicum), and sweet pepper (Capsicum annuum)—to construct a multimodal dataset comprising illumination intensity, temperature, humidity, gas concentration, and high-resolution imagery, with a total of more than 2.6×106 recorded samples. The proposed framework consists of a lightweight convolution–Transformer hybrid encoder for electrical signal representation, a cross-modal feature alignment module, and an early-warning decision module, enabling dynamic spatiotemporal modeling and complementary feature fusion under complex field conditions. Experimental results demonstrated that the proposed model significantly outperformed both unimodal and traditional fusion methods, achieving an accuracy of 0.921, a precision of 0.935, a recall of 0.912, an F1-score of 0.923, and an area under curve (AUC) of 0.957, confirming its superior recognition stability and early-warning capability. Ablation experiments further revealed that the electrical feature encoder, cross-modal alignment module, and early-warning module each played a critical role in enhancing performance. This research provides a low-cost, scalable, and energy-efficient solution for precise pest and disease management in intelligent horticulture, supporting efficient monitoring and predictive decision-making in greenhouses, orchards, and facility-based production systems. It offers a novel technological pathway and theoretical foundation for artificial-intelligence-driven sustainable horticultural production. Full article
(This article belongs to the Special Issue Artificial Intelligence in Horticulture Production)
Show Figures

Figure 1

18 pages, 1552 KB  
Article
Humic Substances from Different Sources Modulate Salicylic Acid-Mediated Defense in Plants Infected by Powdery Mildew
by Rakiely M. Silva, Vicente Mussi-Dias, Fábio L. Olivares, Lázaro E. P. Peres and Luciano P. Canellas
Plants 2025, 14(24), 3854; https://doi.org/10.3390/plants14243854 - 17 Dec 2025
Viewed by 462
Abstract
Modern agriculture relies heavily on chemical inputs to sustain productivity, yet their intensive use poses environmental and health risks. Sustainable strategies based on biostimulants have emerged as promising alternatives to reduce agrochemical dependence. Among these compounds, humic substances (HS) stand out for their [...] Read more.
Modern agriculture relies heavily on chemical inputs to sustain productivity, yet their intensive use poses environmental and health risks. Sustainable strategies based on biostimulants have emerged as promising alternatives to reduce agrochemical dependence. Among these compounds, humic substances (HS) stand out for their ability to modulate plant growth and activate defense responses. This study aimed to evaluate the effects of HS from different sources—vermicompost (Vc) and peat (Pt)—on the salicylic acid (SA)-mediated defense pathway in tomato plants (Solanum lycopersicum cv. Micro-Tom) infected with Oidium sp. The HS were characterized by solid-state 13C CPMAS NMR to determine the relative distribution of carbon functional groups and structural domains, including alkyl, O-alkyl, aromatic, and carbonyl carbon fractions, as well as hydrophobicity-related indices. Enzymatic activities of lipoxygenase, peroxidase, phenylalanine ammonia lyase, and beta 1,3-glucanase were determined spectrophotometrically, and RT-qPCR quantified gene transcription levels involved in SA signaling and defense (MED25, MED16, MED14, NPR1, ICS, PAL, LOX1.1, MYC2, JAZ, jar1, CAT, POX, SOD, APX, ERF, PR-1, PR-2, PR-4 e PR-5). Both HS significantly reduced disease severity and activated key SA-related defense genes, including the regulatory gene NPR1 and the effector genes PR1, PR2 and PR5, with Pt providing greater protection. Notably, HS amplified defense-related gene expression and enzymatic activities specifically under infection, showing a stronger induction than in non-infected plants. These results demonstrate that structural differences among HS drive distinct and enhanced defense responses under pathogen challenge, highlighting their potential as sustainable tools for improving plant immunity in agricultural systems. Full article
(This article belongs to the Section Plant Protection and Biotic Interactions)
Show Figures

Figure 1

23 pages, 2763 KB  
Article
Clinical Implementation of Sustainable Functional Foods and Nutraceuticals in Metabolic Health: A Feasibility Study
by Francesca Scionti, Samantha Maurotti, Elisa Mazza, Angela Mirarchi, Raffaella Russo, Paola Doria, Rosario Mare, Giuseppe Marafioti, Yvelise Ferro, Tiziana Montalcini and Arturo Pujia
Nutrients 2025, 17(24), 3858; https://doi.org/10.3390/nu17243858 - 10 Dec 2025
Viewed by 764
Abstract
Background: Diet quality significantly influences metabolic health, obesity, and non-communicable disease risk. Functional foods and nutraceuticals, rich in bioactive compounds, may enhance health outcomes beyond basic nutrition, particularly when combined with Mediterranean-style dietary patterns. Objectives: This feasibility study evaluated the integration of functional [...] Read more.
Background: Diet quality significantly influences metabolic health, obesity, and non-communicable disease risk. Functional foods and nutraceuticals, rich in bioactive compounds, may enhance health outcomes beyond basic nutrition, particularly when combined with Mediterranean-style dietary patterns. Objectives: This feasibility study evaluated the integration of functional foods and nutraceuticals into a Mediterranean-based dietary intervention in adults with metabolic risk factors, focusing on feasibility, tolerability, and preliminary clinical effects. Methods: Functional food prototypes, including Calabrian tomato, pomegranate, bergamot, blueberry, and hazelnut products, along with two nutraceutical formulations, were developed, characterized for bioactive content, and assessed for palatability, bioavailability, and safety. Adults aged ≥50 years participated in a 4-week intervention, consuming daily servings of functional foods and either a whey protein-based or essential amino acid-based nutraceutical. Compliance, acceptability, anthropometry, body composition, muscle strength, and biochemical markers were assessed pre- and post-intervention. Results: Functional foods and nutraceuticals were well-tolerated, with high adherence (>80%). Bioactive compounds were detectable in serum post-consumption, confirming bioavailability. Preliminary findings suggested that integrating functional foods and nutraceuticals into a Mediterranean-style dietary intervention is feasible, safe, and acceptable in older adults with metabolic risk factors. These results support the potential clinical benefit of combined dietary strategies and provide a rationale for a larger randomized controlled trial to evaluate efficacy on metabolic, musculoskeletal, and hepatic outcomes. Full article
(This article belongs to the Special Issue Effects of Dietary Polyphenols on Metabolic Syndrome)
Show Figures

Graphical abstract

33 pages, 5719 KB  
Article
Transparent PEDOT:PSS/PDMS Leaf Tattoos for Multiplexed Plant Health Monitoring and Energy Harvesting
by Antonio Ruiz-Gonzalez, Harriet Kempson and Jim Haseloff
Biosensors 2025, 15(12), 805; https://doi.org/10.3390/bios15120805 - 9 Dec 2025
Viewed by 572
Abstract
The development of non-invasive sensors for individualised plant monitoring has become essential in smart farming to increase crop production. However current approaches are focused on the measurement of soil parameters instead, which cannot provide direct information about plant health. Moreover, equipment used for [...] Read more.
The development of non-invasive sensors for individualised plant monitoring has become essential in smart farming to increase crop production. However current approaches are focused on the measurement of soil parameters instead, which cannot provide direct information about plant health. Moreover, equipment used for the direct monitoring of plant health are costly with complex operation, hindering their use by the wider community of farmers. This work reports for the first time the development of a flexible and highly transparent sensor, based on thin conductive PEDOT:PSS/PDMS hybrid films directly deposited onto leaves. The films were fabricated by aerosol deposition and could operate under two different modes. The first mode is used for the determination of plant dryness and concentration of ions. The second mode is used as a triboelectric generator to generate up to 7.2 µW cm−2 electrical power through the friction of the sensors with a leaf. The device was assembled using a low-cost (GBP < 70) microcontroller incorporating environmental sensors, and an intuitive interface was designed for operation. The final sensor could determine the ionic strength at the millimolar level by means of the impedance of electrodes. This performance allowed the study of differences in ionic content and water availability in tomato leaves during day–night cycles. The high stability of the sensors also allowed the long-term monitoring of plant health. Using this technology, a decrease in the leaf ionic strength due to the lack of electrolytes was observed after watering with deionised water for 2 days. Upon supplementation with fertiliser, the recorded ionic strength and leaf water content were similar to the original values prior to the use of DI water, demonstrating the applicability of the device in the early detection of stress factors that could decrease crop production. Full article
(This article belongs to the Section Environmental, Agricultural, and Food Biosensors)
Show Figures

Figure 1

19 pages, 2200 KB  
Article
Biocontrol and Microscopic Observations of Bacillaceae Strains Against Root-Knot Nematodes on Cotton, Soybean and Tomato: A Brazilian Experience
by Vanessa S. Mattos, Caio A. R. Torres, Marcilene F. A. Santos, Ana C. M. M. Gomes, Nanci A. Ribeiro, Lívia M. L. Hoepers, Barbara Eckstein and Regina M. D. G. Carneiro
Agronomy 2025, 15(12), 2828; https://doi.org/10.3390/agronomy15122828 - 9 Dec 2025
Viewed by 405
Abstract
Root-knot nematodes (RKNs), Meloidogyne spp., are the most economically important plant parasites with a worldwide distribution and a very wide host spectrum. The use of rhizobacteria for biocontrol has seen a marked increase in recent years, with particular emphasis on members of the [...] Read more.
Root-knot nematodes (RKNs), Meloidogyne spp., are the most economically important plant parasites with a worldwide distribution and a very wide host spectrum. The use of rhizobacteria for biocontrol has seen a marked increase in recent years, with particular emphasis on members of the Bacillaceae family in Brazil. This work reports on five years of experience using Bacillus-based products as nematicides, including both commercial and experimental formulations. Trials on cotton (200–300 mL/100 kg of seeds) against M. incognita race 3 produced inconsistent results: one trial achieved approximately 50% control, while another showed no significant effect. In soybean, Bacillus-based biological products (200–300 mL/100 kg) were able to reduce the final population of M. javanica and M. incognita by an average of approximately 30%, although in some cases, no effect was observed. The use of different doses of a product containing the RTI 545 strain (B. thuringiensis) resulted in control efficiencies of approximately 60–80% at a dose of 500 mL/100 kg, when applied as a seed treatment in soybean. This dose is too high to employ in field conditions. In tomato crop, strain S2538 of Priestia aryabhattai and strain RTI 545 (150 mL/100 kg) reduced the final population of M. incognita by 45–50%, confirming the results obtained in previous trials. Additionally, microscopic observations of Bacillus spp. against Meloidogyne spp. in soybean were made during histopathological studies. The bacteria were found to colonize root tissues early, including the cortex and vascular cylinder, probably producing chemical compounds and later disrupting giant cells. This microscopic observation suggests a mechanism aligned with induced resistance. Currently, biological products must be used in integrated management, such as resistant varieties, crop rotation, and other agronomic practices that aim to balance the physical, chemical and biological conditions of soils. Full article
Show Figures

Figure 1

10 pages, 2427 KB  
Article
A Scheme for Speed Breeding of Tomato Through Modification of the Light Environment
by Youzhi Hu, Xinyang He, Jun Ju, Minggui Zhang, Xiaolong Yang, Jiali Song and Houcheng Liu
Horticulturae 2025, 11(12), 1488; https://doi.org/10.3390/horticulturae11121488 - 9 Dec 2025
Viewed by 407
Abstract
This study aimed to determine optimal light recipes for speed breeding of tomato (Solanum lycopersicum L.) in a plant factory. Two tomato cultivars, Zuanhongmeili and Xiaokeai, were investigated. In Experiment 1, conducted under a 12 h photoperiod, both cultivars showed accelerated [...] Read more.
This study aimed to determine optimal light recipes for speed breeding of tomato (Solanum lycopersicum L.) in a plant factory. Two tomato cultivars, Zuanhongmeili and Xiaokeai, were investigated. In Experiment 1, conducted under a 12 h photoperiod, both cultivars showed accelerated development with increasing light intensity. The optimal light intensity range of 300–400 μmol·m−2·s−1 promoted development and seed maturation. Under these conditions, Zuanhongmeili and Xiaokeai achieved flower bud emergence in the shortest times, at 24.91 ± 0.13 and 24.91 ± 0.12 days after sowing (DAS), respectively. Furthermore, for the two cultivars, anthesis initiation occurred at 39.08 ± 0.62 and 35.78 ± 0.19 DAS, fruit setting at 41.31 ± 0.61 and 38.54 ± 0.24 DAS, and the breaker stage at 83.05 ± 1.05 and 69.78 ± 0.29 DAS, respectively, under these conditions. Critically, germinable seeds were harvested from each cultivar as early as 63 and 60 DAS, projecting a theoretical annual generational turnover of up to six cycles. Based on these results, a baseline irradiance of 350 μmol·m−2·s−1 was selected for Experiment 2, which independently assessed the impact of photoperiod. Zuanhongmeili and Xiaokeai both showed accelerated development with increases in photoperiod. The optimal photoperiod of 20 h promoted development and seed maturation. Under a 20 h photoperiod, Zuanhongmeili and Xiaokeai achieved flower bud emergence in the shortest times, at 25.12 ± 0.09 and 23.76 ± 0.13 DAS, respectively. Furthermore, anthesis initiation occurred at 41.21 ± 0.66 and 37.27 ± 0.34 DAS, fruit setting at 44.51 ± 0.15 and 40.25 ± 0.08 DAS, and the breaker stage at 91.19 ± 0.59 and 77.47 ± 0.36 DAS, respectively, under these conditions. The shortest times to harvest of germinable seeds from the two cultivars in this experiment were 76 and 72 DAS. Overall, this study demonstrates that tailored light environments, particularly the light intensity regime identified in Experiment 1, can dramatically accelerate tomato growth and development, enabling production of six generations per year in a controlled environment. Full article
(This article belongs to the Special Issue Multi-Omics-Driven Breeding for Tropical Horticultural Crops)
Show Figures

Figure 1

Back to TopTop