Sign in to use this feature.

Years

Between: -

Subjects

remove_circle_outline
remove_circle_outline
remove_circle_outline
remove_circle_outline
remove_circle_outline
remove_circle_outline
remove_circle_outline
remove_circle_outline

Journals

Article Types

Countries / Regions

Search Results (16)

Search Parameters:
Keywords = three-phase attacking strategy

Order results
Result details
Results per page
Select all
Export citation of selected articles as:
32 pages, 12133 KB  
Article
Modified Black-Winged Kite Optimization Algorithm with Three-Phase Attacking Strategy and Lévy–Cauchy Migration Behavior to Solve Mathematical Problems
by Yunpeng Ma, Wanting Meng, Ruixue Gu and Xinxin Zhang
Biomimetics 2025, 10(10), 707; https://doi.org/10.3390/biomimetics10100707 - 17 Oct 2025
Viewed by 244
Abstract
The Black-winged Kite Algorithm (BKA) is a novel heuristic optimization algorithm proposed in 2024, which has demonstrated superior optimization performance on most CEC benchmark functions and several engineering problems. To further enhance its convergence accuracy and solution quality, this paper proposes a Modified [...] Read more.
The Black-winged Kite Algorithm (BKA) is a novel heuristic optimization algorithm proposed in 2024, which has demonstrated superior optimization performance on most CEC benchmark functions and several engineering problems. To further enhance its convergence accuracy and solution quality, this paper proposes a Modified Black-winged Kite Algorithm (MBKA). First, a three-phase attacking strategy is designed to replace the original BKA’s attacking mechanism, thereby enhancing population diversity and improving solution quality. Additionally, a Lévy–Cauchy migration strategy is incorporated to achieve a more effective balance between exploration and exploitation. The effectiveness of MBKA is assessed through extensive experiments on 18 classical benchmark functions, the CEC-2017 and CEC-2022 test suites, and two real-world engineering optimization problems. The results indicate that MBKA consistently outperforms the original BKA and several state-of-the-art algorithms in both convergence accuracy and convergence speed across most test cases. Full article
(This article belongs to the Section Biological Optimisation and Management)
Show Figures

Figure 1

14 pages, 287 KB  
Review
NET Formation Drives Tophaceous Gout
by Yuqi Wang, Jinshuo Han, Jasmin Knopf, Lingjiang Zhu, Yi Zhao, Lei Liu and Martin Herrmann
Gout Urate Cryst. Depos. Dis. 2025, 3(3), 16; https://doi.org/10.3390/gucdd3030016 - 29 Aug 2025
Viewed by 644
Abstract
Gout is a chronic inflammatory disease characterized by the deposition of monosodium urate (MSU) crystals within joints, leading to recurrent acute flares and long-term tissue damage. While various hypotheses have been proposed to explain the self-limiting nature of acute gout attacks, we posit [...] Read more.
Gout is a chronic inflammatory disease characterized by the deposition of monosodium urate (MSU) crystals within joints, leading to recurrent acute flares and long-term tissue damage. While various hypotheses have been proposed to explain the self-limiting nature of acute gout attacks, we posit that aggregated neutrophil extracellular traps (aggNETs) play a central role in this process. This review focuses on the mechanisms underlying MSU crystal-induced formation of neutrophil extracellular traps (NETs) and explores their dual role in the clinical progression of gout. During the initial phase of acute flares, massive NET formation is accompanied by the release of preformed inflammatory mediators, which is a condition that amplifies inflammatory cascades. As neutrophil recruitment reaches a critical threshold, the NETs tend to form high-order aggregates (aggNETs). The latter encapsulate MSU crystals and further pro-inflammatory mediators within their three-dimensional scaffold. High concentrations of neutrophil serine proteases (NSPs) within the aggNETs facilitate the degradation of soluble inflammatory mediators and eventually promote the resolution of inflammation in a kind of negative inflammatory feedback loop. In advanced stages of gout, MSU crystal deposits are often visible via dual-energy computed tomography (DECT), and the formation of palpable tophi is frequently observed. Based on the mechanisms of resolution of inflammation and the clinical course of the disease, building on the traditional static model of “central crystal–peripheral fibrous encapsulation,” we have expanded the NETs component and refined the overall concept, proposing a more dynamic, multilayered, multicentric, and heterogeneous model of tophus maturation. Notably, in patients with late-stage gout, tophi exist in a stable state, referred to as “silent” tophi. However, during clinical tophus removal, the disruption of the structural or functional stability of “silent” tophi often leads to the explosive reactivation of inflammation. Considering these findings, we propose that future therapeutic strategies should focus on the precise modulation of NET dynamics, aiming to maintain immune equilibrium and prevent the recurrence of gout flares. Full article
Show Figures

Graphical abstract

17 pages, 2087 KB  
Article
Distributed Power Sharing Control Strategy for Interconnected AC and DC Microgrids Based on Event-Triggered Control Under Denial-of-Service Attack
by Zhiheng Zhao, Qi Jia, Siyu Lyu, Xinwei Li, Xiaoheng Zhang and Chuanyu Jiang
Mathematics 2025, 13(9), 1499; https://doi.org/10.3390/math13091499 - 30 Apr 2025
Viewed by 469
Abstract
Although the problem of power sharing in interconnected AC and DC microgrids formed through interlinking converters (ICs) has been extensively studied, the problem of active power sharing under the extreme conditions of three-phase imbalance/nonlinear loads and Denial-of-Service (DoS) attack has not yet been [...] Read more.
Although the problem of power sharing in interconnected AC and DC microgrids formed through interlinking converters (ICs) has been extensively studied, the problem of active power sharing under the extreme conditions of three-phase imbalance/nonlinear loads and Denial-of-Service (DoS) attack has not yet been resolved. Based on this, this paper proposes an event-triggered distributed consensus control method to achieve active power sharing under such extreme conditions. Firstly, aiming at the active power sharing problem in interconnected microgrids under DoS attack, this paper proposes a distributed power sharing control strategy based on event-triggered control under DoS attack. Each IC is defined as an agent, and its first-order agent dynamics are constructed. Secondly, a stability criterion and proof of asymptotic stability considering DoS attack are provided. Finally, simulation and experimental results verify the effectiveness of the proposed method. Full article
Show Figures

Figure 1

14 pages, 914 KB  
Article
Identifying Key Factors for Securing a Champions League Position in French Ligue 1 Using Explainable Machine Learning Techniques
by Spyridon Plakias, Christos Kokkotis, Michalis Mitrotasios, Vasileios Armatas, Themistoklis Tsatalas and Giannis Giakas
Appl. Sci. 2024, 14(18), 8375; https://doi.org/10.3390/app14188375 - 18 Sep 2024
Cited by 8 | Viewed by 3112
Abstract
Introduction: Performance analysis is essential for coaches and a topic of extensive research. The advancement of technology and Artificial Intelligence (AI) techniques has revolutionized sports analytics. Aim: The primary aim of this article is to present a robust, explainable machine learning (ML) model [...] Read more.
Introduction: Performance analysis is essential for coaches and a topic of extensive research. The advancement of technology and Artificial Intelligence (AI) techniques has revolutionized sports analytics. Aim: The primary aim of this article is to present a robust, explainable machine learning (ML) model that identifies the key factors that contribute to securing one of the top three positions in the standings of the French Ligue 1, ensuring participation in the UEFA Champions League for the following season. Materials and Methods: This retrospective observational study analyzed data from all 380 matches of the 2022–23 French Ligue 1 season. The data were obtained from the publicly-accessed website “whoscored” and included 34 performance indicators. This study employed Sequential Forward Feature Selection (SFFS) and various ML algorithms, including XGBoost, Support Vector Machine (SVM), and Logistic Regression (LR), to create a robust, explainable model. The SHAP (SHapley Additive Explanations) model was used to enhance model interpretability. Results: The K-means Cluster Analysis categorized teams into groups (TOP TEAMS, 3 teams/REST TEAMS, 17 teams), and the ML models provided significant insights into the factors influencing league standings. The LR classifier was the best-performing classifier, achieving an accuracy of 75.13%, a recall of 76.32%, an F1-score of 48.03%, and a precision of 35.17%. “SHORT PASSES” and “THROUGH BALLS” were features found to positively influence the model’s predictions, while “TACKLES ATTEMPTED” and “LONG BALLS” had a negative impact. Conclusions: Our model provided satisfactory predictive accuracy and clear interpretability of results, which gave useful information to stakeholders. Specifically, our model suggests adopting a strategy during the ball possession phase that relies on short passes (avoiding long ones) and aiming to enter the attacking third and the opponent’s penalty area with through balls. Full article
Show Figures

Figure 1

18 pages, 1703 KB  
Article
Hybrid Encryption Model for Secured Three-Phase Authentication Protocol in IoT
by Amr Munshi and Bandar Alshawi
J. Sens. Actuator Netw. 2024, 13(4), 41; https://doi.org/10.3390/jsan13040041 - 17 Jul 2024
Cited by 5 | Viewed by 2421
Abstract
The Internet of things (IoT) has recently received a great deal of attention, and there has been a large increase in the number of IoT devices owing to its significance in current communication networks. In addition, the validation of devices is an important [...] Read more.
The Internet of things (IoT) has recently received a great deal of attention, and there has been a large increase in the number of IoT devices owing to its significance in current communication networks. In addition, the validation of devices is an important concern and a major safety demand in IoT systems, as any faults in the authentication or identification procedure will lead to threatening attacks that cause the system to close. In this study, a new, three-phase authentication protocol in IoT is implemented. The initial phase concerns the user registration phase, in which encryption takes place with a hybrid Elliptic Curve Cryptography (ECC)–Advanced Encryption Standard (AES) model with an optimization strategy, whereby key generation is optimally accomplished via a Self-Improved Aquila Optimizer (SI-AO). The second and third phases include the login process and the authentication phase, in which information flow control-based authentication is conducted. Finally, decryption is achieved based on the hybrid ECC–AES model. The employed scheme’s improvement is established using various metrics. Full article
Show Figures

Figure 1

20 pages, 10725 KB  
Article
AARF: Autonomous Attack Response Framework for Honeypots to Enhance Interaction Based on Multi-Agent Dynamic Game
by Le Wang, Jianyu Deng, Haonan Tan, Yinghui Xu, Junyi Zhu, Zhiqiang Zhang, Zhaohua Li, Rufeng Zhan and Zhaoquan Gu
Mathematics 2024, 12(10), 1508; https://doi.org/10.3390/math12101508 - 11 May 2024
Cited by 1 | Viewed by 2562
Abstract
Highly interactive honeypots can form reliable connections by responding to attackers to delay and capture intranet attacks. However, current research focuses on modeling the attacker as part of the environment and defining single-step attack actions by simulation to study the interaction of honeypots. [...] Read more.
Highly interactive honeypots can form reliable connections by responding to attackers to delay and capture intranet attacks. However, current research focuses on modeling the attacker as part of the environment and defining single-step attack actions by simulation to study the interaction of honeypots. It ignores the iterative nature of the attack and defense game, which is inconsistent with the correlative and sequential nature of actions in real attacks. These limitations lead to insufficient interaction of the honeypot response strategies generated by the study, making it difficult to support effective and continuous games with attack behaviors. In this paper, we propose an autonomous attack response framework (named AARF) to enhance interaction based on multi-agent dynamic games. AARF consists of three parts: a virtual honeynet environment, attack agents, and defense agents. Attack agents are modeled to generate multi-step attack chains based on a Hidden Markov Model (HMM) combined with the generic threat framework ATT&CK (Adversarial Tactics, Techniques, and Common Knowledge). The defense agents iteratively interact with the attack behavior chain based on reinforcement learning (RL) to learn to generate honeypot optimal response strategies. Aiming at the sample utilization inefficiency problem of random uniform sampling widely used in RL, we propose the dynamic value label sampling (DVLS) method in the dynamic environment. DVLS can effectively improve the sample utilization during the experience replay phase and thus improve the learning efficiency of honeypot agents under the RL framework. We further couple it with a classic DQN to replace the traditional random uniform sampling method. Based on AARF, we instantiate different functional honeypot models for deception in intranet scenarios. In the simulation environment, honeypots collaboratively respond to multi-step intranet attack chains to defend against these attacks, which demonstrates the effectiveness of AARF. The average cumulative reward of the DQN with DVLS is beyond eight percent, and the convergence speed is improved by five percent compared to a classic DQN. Full article
(This article belongs to the Special Issue Advanced Research on Information System Security and Privacy)
Show Figures

Figure 1

30 pages, 1765 KB  
Review
Immune Escape Strategies in Head and Neck Cancer: Evade, Resist, Inhibit, Recruit
by Kourtney L. Kostecki, Mari Iida, Bridget E. Crossman, Ravi Salgia, Paul M. Harari, Justine Y. Bruce and Deric L. Wheeler
Cancers 2024, 16(2), 312; https://doi.org/10.3390/cancers16020312 - 11 Jan 2024
Cited by 15 | Viewed by 6448
Abstract
Head and neck cancers (HNCs) arise from the mucosal lining of the aerodigestive tract and are often associated with alcohol use, tobacco use, and/or human papillomavirus (HPV) infection. Over 600,000 new cases of HNC are diagnosed each year, making it the sixth most [...] Read more.
Head and neck cancers (HNCs) arise from the mucosal lining of the aerodigestive tract and are often associated with alcohol use, tobacco use, and/or human papillomavirus (HPV) infection. Over 600,000 new cases of HNC are diagnosed each year, making it the sixth most common cancer worldwide. Historically, treatments have included surgery, radiation, and chemotherapy, and while these treatments are still the backbone of current therapy, several immunotherapies have recently been approved by the Food and Drug Administration (FDA) for use in HNC. The role of the immune system in tumorigenesis and cancer progression has been explored since the early 20th century, eventually coalescing into the current three-phase model of cancer immunoediting. During each of the three phases—elimination, equilibrium, and escape—cancer cells develop and utilize multiple strategies to either reach or remain in the final phase, escape, at which point the tumor is able to grow and metastasize with little to no detrimental interference from the immune system. In this review, we summarize the many strategies used by HNC to escape the immune system, which include ways to evade immune detection, resist immune cell attacks, inhibit immune cell functions, and recruit pro-tumor immune cells. Full article
(This article belongs to the Special Issue Head and Neck Cancers—Novel Approaches and Future Outlook)
Show Figures

Figure 1

16 pages, 12794 KB  
Article
Unsteady Cloud Cavitation on a 2D Hydrofoil: Quasi-Periodic Loads and Phase-Averaged Flow Characteristics
by Elizaveta Ivashchenko, Mikhail Hrebtov, Mikhail Timoshevskiy, Konstantin Pervunin and Rustam Mullyadzhanov
Energies 2023, 16(19), 6990; https://doi.org/10.3390/en16196990 - 7 Oct 2023
Cited by 1 | Viewed by 1979
Abstract
We perform large-eddy simulations to study a cavitating flow over a two-dimensional hydrofoil section—a scaled-down profile (1:13.26) of guide vanes of a Francis turbine—using the Schnerr–Sauer cavitation model with an adaptive mesh refinement in intensive phase transition flow areas. In the test case, [...] Read more.
We perform large-eddy simulations to study a cavitating flow over a two-dimensional hydrofoil section—a scaled-down profile (1:13.26) of guide vanes of a Francis turbine—using the Schnerr–Sauer cavitation model with an adaptive mesh refinement in intensive phase transition flow areas. In the test case, the guide vane is tilted at an angle of attack of 9° to the direction of the flow, in which the Reynolds number, based on the hydrofoil chord length, equals 1.32×106, thus providing a strong adverse pressure gradient along the surface. The calculated time-averaged turbulence characteristics are compared with those measured by particle image velocimetry to verify that the flow is correctly reproduced in numerical simulations using the procedure of conditional averaging proposed and tested in our previous investigation. A re-entrant jet is identified as the primary source of vapor cloud shedding, and a spectral analysis of the cavitating flow over the profile midsection is conducted. Two characteristic frequencies corresponding to the cases, when an attached cavity detaches completely (as a whole) and two partially from the hydrofoil, are found in the flow. The study reveals that the natural frequency of partial cavity shedding is three times higher than that of full detachments. The examined regime exhibits an oscillatory system with two oscillation zones related to cavitation surge instability and unsteady cloud cavitation resulting from the re-entrant jet. Conditional averaging correlates cavitation structures with pressure distributions, forces, and torque on the guide vane. This modeling approach captures the fine details of quasi-periodic cavitation dynamics, providing insights into unsteady sheet/cloud cavitation and offering a method for developing control strategies. Full article
Show Figures

Figure 1

22 pages, 2333 KB  
Review
Forging New Therapeutic Targets: Efforts of Tumor Derived Exosomes to Prepare the Pre-Metastatic Niche for Cancer Cell Dissemination and Dormancy
by Ranvir Bhatia, Joanna Chang, Jessian L. Munoz and Nykia D. Walker
Biomedicines 2023, 11(6), 1614; https://doi.org/10.3390/biomedicines11061614 - 1 Jun 2023
Cited by 24 | Viewed by 4771
Abstract
Tumor-derived exosomes play a multifaceted role in preparing the pre-metastatic niche, promoting cancer dissemination, and regulating cancer cell dormancy. A brief review of three types of cells implicated in metastasis and an overview of other types of extracellular vesicles related to metastasis are [...] Read more.
Tumor-derived exosomes play a multifaceted role in preparing the pre-metastatic niche, promoting cancer dissemination, and regulating cancer cell dormancy. A brief review of three types of cells implicated in metastasis and an overview of other types of extracellular vesicles related to metastasis are described. A central focus of this review is on how exosomes influence cancer progression throughout metastatic disease. Exosomes are crucial mediators of intercellular communication by transferring their cargo to recipient cells, modulating their behavior, and promoting tumor pro-gression. First, their functional role in cancer cell dissemination in the peripheral blood by facilitating the establishment of a pro-angiogenic and pro-inflammatory niche is described during organotro-pism and in lymphatic-mediated metastasis. Second, tumor-derived exosomes can transfer molecular signals that induce cell cycle arrest, dormancy, and survival pathways in disseminated cells, promoting a dormant state are reviewed. Third, several studies highlight exosome involvement in maintaining cellular dormancy in the bone marrow endosteum. Finally, the clinical implications of exosomes as biomarkers or diagnostic tools for cancer progression are also outlined. Understanding the complex interplay between tumor-derived exosomes and the pre-metastatic niche is crucial for developing novel therapeutic strategies to target metastasis and prevent cancer recurrence. To that end, several examples of how exosomes or other nanocarriers are used as a drug delivery system to inhibit cancer metastasis are discussed. Strategies are discussed to alter exosome cargo content for better loading capacity or direct cell targeting by integrins. Further, pre-clinical models or Phase I clinical trials implementing exosomes or other nanocarriers to attack metastatic cancer cells are highlighted. Full article
(This article belongs to the Special Issue Nanomedicine in Cancer: Therapy and Drug Discovery)
Show Figures

Graphical abstract

34 pages, 11344 KB  
Article
Short Landing for Flying-Wing Unmanned Aircraft with Thrust Vector
by Huitao Lyu, Yong Yin, Zheng Gong, Yongliang Chen, Yalei Bai and Xueqiang Liu
Appl. Sci. 2023, 13(6), 3518; https://doi.org/10.3390/app13063518 - 9 Mar 2023
Cited by 1 | Viewed by 2874
Abstract
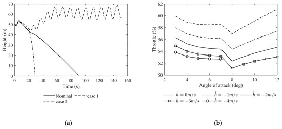
The task of achieving a safe and short landing for a flying-wing unmanned aircraft with a three-bearing-swivel thrust vector is highly challenging. The process is further complicated due to the need to switch between multiple control modes, while also ensuring the protection of [...] Read more.
The task of achieving a safe and short landing for a flying-wing unmanned aircraft with a three-bearing-swivel thrust vector is highly challenging. The process is further complicated due to the need to switch between multiple control modes, while also ensuring the protection of the flight boundaries from environmental disturbances and model uncertainties to ensure flight safety. To address this challenge, this paper proposes a short-landing strategy that employs mixed control using lift fans, thrust vectors, and aerodynamic control surfaces. The extended state observer (ESO) is integrated into the inner angular rate control and outer sink rate control to account for environmental disturbances and model uncertainties. To ensure flight safety, the attainable linear and angular acceleration is calculated through a trim analysis to determine the command value of velocity and angle of attack during a short landing. Additionally, a flight boundary protection method is employed which includes an additional command value of the angle of attack, resulting in a higher probability of a successful landing. This paper provides a detailed description of the short-landing strategy, including the control objectives for each phase. Finally, a Monte Carlo simulation is conducted to evaluate the effectiveness and robustness of the short-landing strategy, and the landing accuracy is assessed using the circular error probability metric. Full article
(This article belongs to the Section Aerospace Science and Engineering)
Show Figures

Figure 1

28 pages, 1891 KB  
Review
ML-Based 5G Network Slicing Security: A Comprehensive Survey
by Ramraj Dangi, Akshay Jadhav, Gaurav Choudhary, Nicola Dragoni, Manas Kumar Mishra and Praveen Lalwani
Future Internet 2022, 14(4), 116; https://doi.org/10.3390/fi14040116 - 8 Apr 2022
Cited by 86 | Viewed by 13982
Abstract
Fifth-generation networks efficiently support and fulfill the demands of mobile broadband and communication services. There has been a continuing advancement from 4G to 5G networks, with 5G mainly providing the three services of enhanced mobile broadband (eMBB), massive machine type communication (eMTC), and [...] Read more.
Fifth-generation networks efficiently support and fulfill the demands of mobile broadband and communication services. There has been a continuing advancement from 4G to 5G networks, with 5G mainly providing the three services of enhanced mobile broadband (eMBB), massive machine type communication (eMTC), and ultra-reliable low-latency services (URLLC). Since it is difficult to provide all of these services on a physical network, the 5G network is partitioned into multiple virtual networks called “slices”. These slices customize these unique services and enable the network to be reliable and fulfill the needs of its users. This phenomenon is called network slicing. Security is a critical concern in network slicing as adversaries have evolved to become more competent and often employ new attack strategies. This study focused on the security issues that arise during the network slice lifecycle. Machine learning and deep learning algorithm solutions were applied in the planning and design, construction and deployment, monitoring, fault detection, and security phases of the slices. This paper outlines the 5G network slicing concept, its layers and architectural framework, and the prevention of attacks, threats, and issues that represent how network slicing influences the 5G network. This paper also provides a comparison of existing surveys and maps out taxonomies to illustrate various machine learning solutions for different application parameters and network functions, along with significant contributions to the field. Full article
(This article belongs to the Section Network Virtualization and Edge/Fog Computing)
Show Figures

Figure 1

8 pages, 860 KB  
Article
Dynamical Recovery of Complex Networks under a Localised Attack
by Fan Wang, Gaogao Dong and Lixin Tian
Algorithms 2021, 14(9), 274; https://doi.org/10.3390/a14090274 - 21 Sep 2021
Cited by 5 | Viewed by 2868
Abstract
In real systems, some damaged nodes can spontaneously become active again when recovered from themselves or their active neighbours. However, the spontaneous dynamical recovery of complex networks that suffer a local failure has not yet been taken into consideration. To model this recovery [...] Read more.
In real systems, some damaged nodes can spontaneously become active again when recovered from themselves or their active neighbours. However, the spontaneous dynamical recovery of complex networks that suffer a local failure has not yet been taken into consideration. To model this recovery process, we develop a framework to study the resilience behaviours of the network under a localised attack (LA). Since the nodes’ state within the network affects the subsequent dynamic evolution, we study the dynamic behaviours of local failure propagation and node recoveries based on this memory characteristic. It can be found that the fraction of active nodes switches back and forth between high network activity and low network activity, which leads to the spontaneous emergence of phase-flipping phenomena. These behaviours can be found in a random regular network, Erdős-Rényi network and Scale-free network, which shows that these three types of networks have the same or different resilience behaviours under an LA and random attack. These results will be helpful for studying the spontaneous recovery real systems under an LA. Our work provides insight into understanding the recovery process and a protection strategy of various complex systems from the perspective of damaged memory. Full article
(This article belongs to the Special Issue Advances in Complex Network Models and Random Graphs)
Show Figures

Figure 1

19 pages, 351 KB  
Review
NTD Diagnostics for Disease Elimination: A Review
by Emma Michelle Taylor
Diagnostics 2020, 10(6), 375; https://doi.org/10.3390/diagnostics10060375 - 5 Jun 2020
Cited by 20 | Viewed by 5662
Abstract
Neglected Tropical Diseases (NTDs) marked out for disease elimination provide a lens through which to explore the changing status of diagnosis in global health. This paper reports on the findings of a scoping review, which set out to explore the main debates around [...] Read more.
Neglected Tropical Diseases (NTDs) marked out for disease elimination provide a lens through which to explore the changing status of diagnosis in global health. This paper reports on the findings of a scoping review, which set out to explore the main debates around diagnosis for the elimination of NTDs, including the multiple roles diagnostic technologies are being ascribed and the ideal characteristics of tests. It also attempts to summarise the state of diagnosis for three NTDs with elimination goals. The review places special emphasis on point-of-care testing in acknowledgement of the remote and underserved areas where NTDs proliferate. Early NTD campaigns were largely focused on attack phase planning, whereby a similar set of interventions could be transplanted anywhere. Now, with elimination goals in sight, strategies must be tailored to local settings if they are to attain and sustain success. Diagnostic data helps with local adaptation and is increasingly used for programmatic decision-making. The review finds that elimination goals reframe whom diagnosis is for and the myriad roles diagnostics can play. The exigencies of elimination also serve to highlight deficiencies in the current diagnostic arsenal and development pipeline for many NTDs. Moving forward, a guiding framework is needed to drive research and stimulate investment in diagnosis to support NTD goals. Full article
(This article belongs to the Section Point-of-Care Diagnostics and Devices)
16 pages, 12005 KB  
Article
Measuring Initial Attack Suppression Effectiveness through Burn Probability
by Jonathan Reimer, Dan K. Thompson and Nicholas Povak
Fire 2019, 2(4), 60; https://doi.org/10.3390/fire2040060 - 7 Dec 2019
Cited by 30 | Viewed by 7279
Abstract
Most wildfires in North America are quickly extinguished during initial attack (IA), the first phase of suppression. While rates of success are high, it is not clear how much IA suppression reduces annual fire risk across landscapes. This study introduces a method of [...] Read more.
Most wildfires in North America are quickly extinguished during initial attack (IA), the first phase of suppression. While rates of success are high, it is not clear how much IA suppression reduces annual fire risk across landscapes. This study introduces a method of estimating IA effectiveness by pairing burn probability (BP) analysis with containment probability calculations based on initial fire intensity, spread rate, and crew response time. The method was demonstrated on a study area in Kootenay National Park, Canada by comparing burn probabilities with and without modeled IA suppression. Results produced landscape-level analyses of three variables: burn probability, suppression effectiveness, and conditional escape probability. Overall, IA reduced mean study area BP by 78% as compared to a no-suppression scenario, but the primary finding was marked spatial heterogeneity. IA was most effective in recently burned areas (86% reduction), whereas mature, contiguous fuels moderated its influence (50%). Suppression was least effective in the designated wildfire exclusion zone, suggesting supplementary management approaches may be appropriate. While the framework includes assumptions about IA containment, results offer new insight into emergent risk patterns and how management strategies alter them. Managers can adopt these methods to anticipate, quantify, and compare fine-scale policy outcomes. Full article
Show Figures

Graphical abstract

19 pages, 2618 KB  
Article
A Hierarchical Mission Planning Method for Simultaneous Arrival of Multi-UAV Coalition
by Fei Yan, Xiaoping Zhu, Zhou Zhou and Jing Chu
Appl. Sci. 2019, 9(10), 1986; https://doi.org/10.3390/app9101986 - 15 May 2019
Cited by 24 | Viewed by 4139
Abstract
A hierarchical mission planning method was proposed to solve a simultaneous attack mission planning problem for multi-unmanned aerial vehicles (UAVs). The method consisted of three phases aiming to decouple and solve the mission planning problem. In the first phase, the Pythagorean hodograph (PH) [...] Read more.
A hierarchical mission planning method was proposed to solve a simultaneous attack mission planning problem for multi-unmanned aerial vehicles (UAVs). The method consisted of three phases aiming to decouple and solve the mission planning problem. In the first phase, the Pythagorean hodograph (PH) curve was used in the path estimation process for each UAV, which also served as the input for the task allocation process. In the second phase, a task allocation algorithm based on a negotiation mechanism was proposed to assign the targets. Considering the resource requirement, time-dependent value of targets and resource consumption of UAVs, the proposed task allocation algorithm can generate a feasible allocation strategy and get the maximum system utility. In the last phase, a path planning method was proposed to generate a simultaneous arrival PH path for each UAV considering UAV’s kinematic constraint and collision avoidance with obstacles. The comparison simulations showed that the path estimation process using the PH curve and the proposed task allocation algorithm improved the system utility, and the hierarchical mission planning method has potential in a real mission. Full article
(This article belongs to the Special Issue Unmanned Aerial Vehicles (UAVs))
Show Figures

Figure 1

Back to TopTop