Dynamical Recovery of Complex Networks under a Localised Attack
Abstract
:1. Introduction
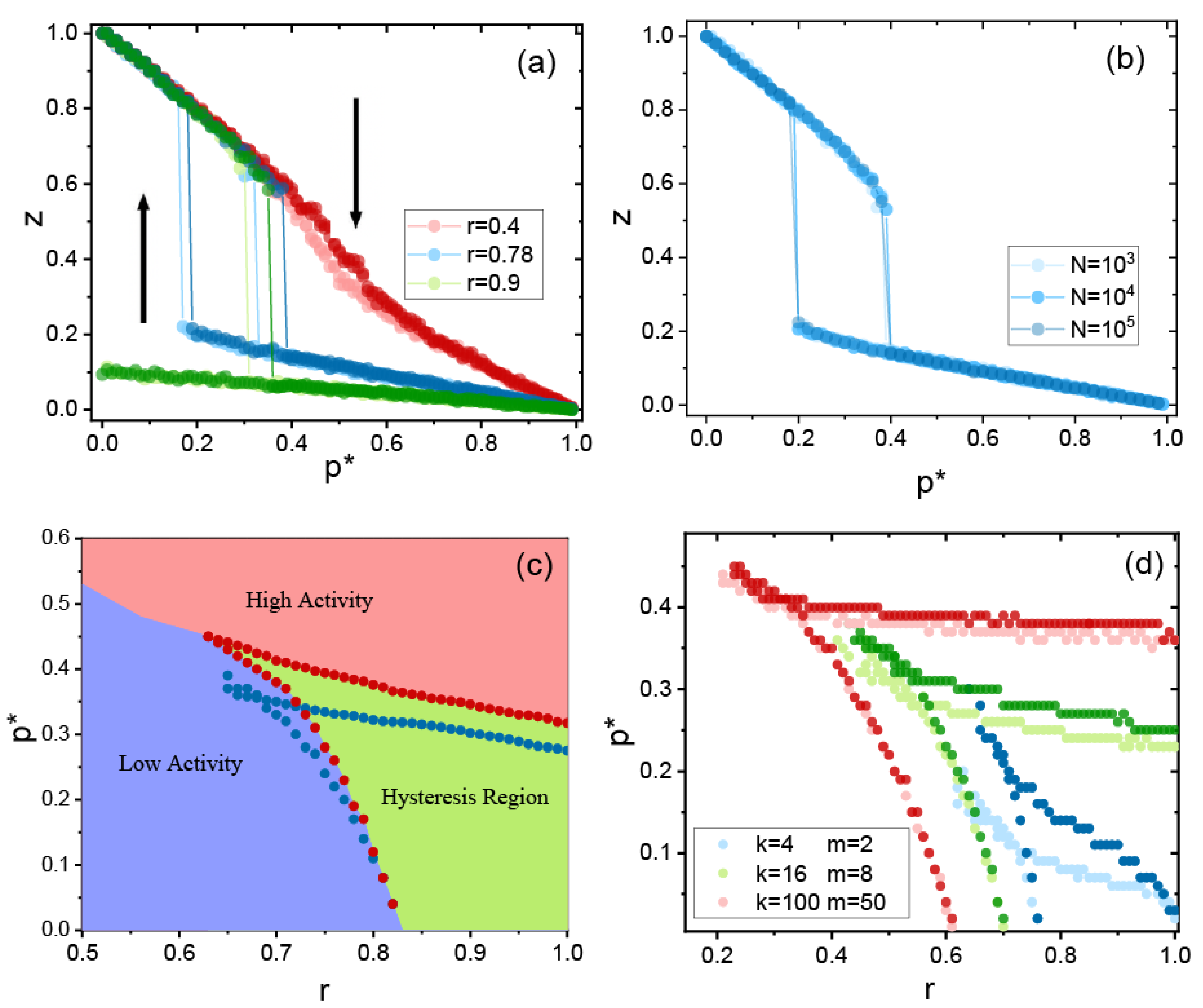
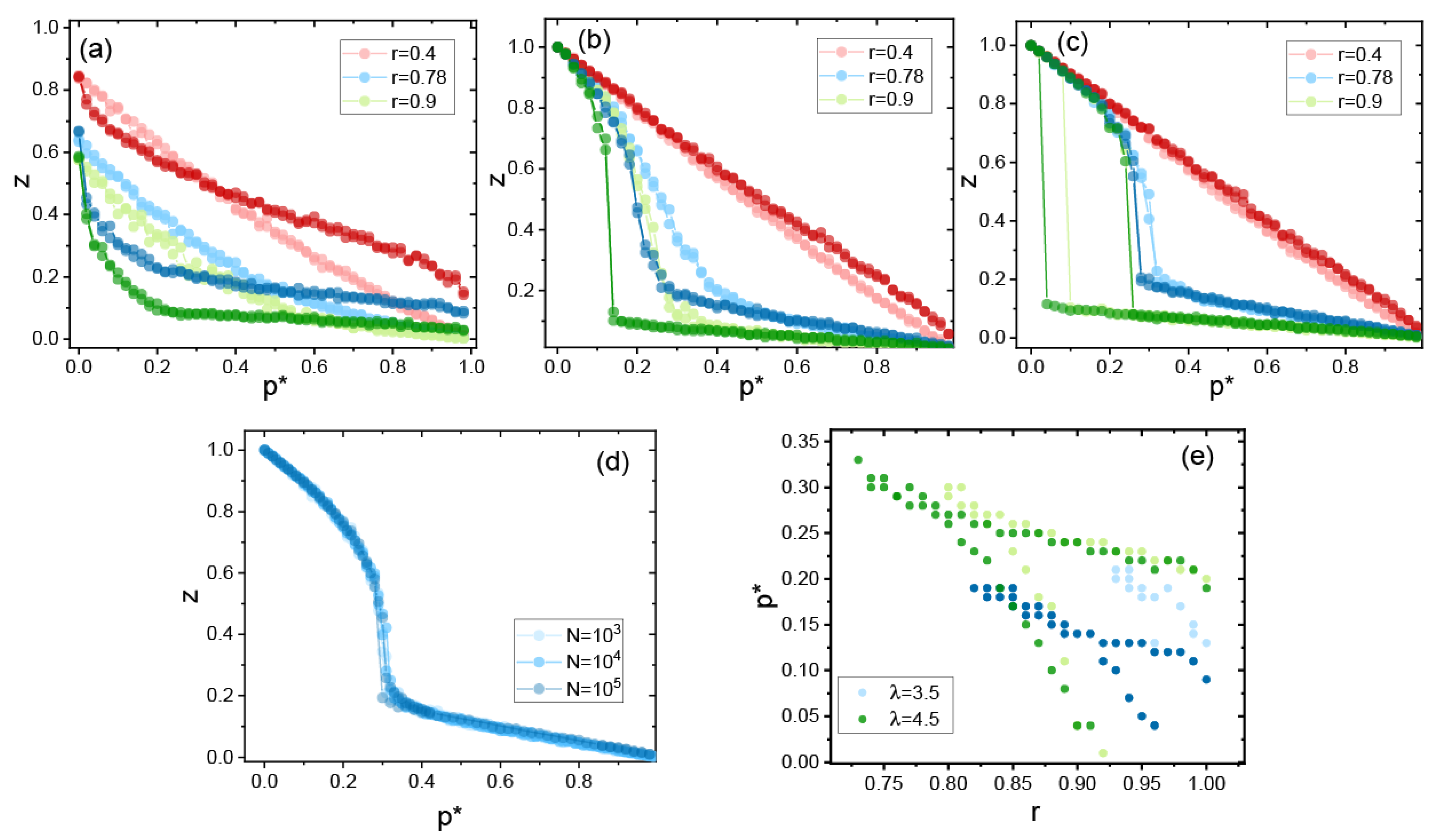
2. Model and Results
3. Conclusions
Author Contributions
Funding
Acknowledgments
Conflicts of Interest
References
- Borgatti, S.P.; Mehra, A.; Brass, D.J.; Labianca, G. Network analysis in the social sciences. Science 2009, 323, 892–895. [Google Scholar] [CrossRef] [Green Version]
- Colizza, V.; Barrat, A.; Barthélemy, M.; Vespignani, A. The role of the airline transportation network in the prediction and predictability of global epidemics. Proc. Natl. Acad. Sci. USA 2006, 103, 2015–2020. [Google Scholar] [CrossRef] [PubMed] [Green Version]
- Cohen, R.; Erez, K.; Ben-Avraham, D.; Havlin, S. Breakdown of the internet under intentional attack. Phys. Rev. Lett. 2001, 86, 3682. [Google Scholar] [CrossRef] [PubMed] [Green Version]
- Cohen, R.; Erez, K.; Havlinl, S.; Newman, M.; Barabási, A.-L.; Watts, D.J. Resilience of the internet to random breakdowns. In The Structure and Dynamics of Networks; Princeton University Press: Princeton, NJ, USA, 2011; pp. 507–509. [Google Scholar]
- Callaway, D.S.; Newman, M.E.; Strogatz, S.H.; Watts, D.J. Network robustness and fragility: Percolation on random graphs. Phys. Rev. Lett. 2000, 85, 5468. [Google Scholar] [CrossRef] [Green Version]
- Gallos, L.K.; Cohen, R.; Argyrakis, P.; Bunde, A.; Havlin, S. Stability and topology of scale-free networks under attack and defense strategies. Phys. Rev. Lett. 2005, 94, 188701. [Google Scholar] [CrossRef] [Green Version]
- Dong, G.; Wang, F.; Shekhtman, L.M.; Danziger, M.M.; Fan, J.; Du, R.; Liu, J.; Tian, L.; Stanley, H.E.; Havlin, S. Optimal resilience of modular interacting networks. Proc. Natl. Acad. Sci. USA 2021, 118, e1922831118. [Google Scholar] [CrossRef]
- Li, D.; Fu, B.; Wang, Y.; Lu, G.; Berezin, Y.; Stanley, H.E.; Havlin, S. Percolation transition in dynamical traffic network with evolving critical bottlenecks. Proc. Natl. Acad. Sci. USA 2015, 112, 669–672. [Google Scholar] [CrossRef] [Green Version]
- Dickison, M.; Havlin, S.; Stanley, H.E. Epidemics on interconnected networks. Phys. Rev. E 2012, 85, 066109. [Google Scholar] [CrossRef] [Green Version]
- Shang, Y. Attack robustness and stability of generalized k-cores. New J. Phys. 2019, 21, 093013. [Google Scholar] [CrossRef]
- Liu, Y.; Sanhedrai, H.; Dong, G.; Shekhtman, L.M.; Wang, F.; Buldyrev, S.V.; Havlin, S. Efficient network immunization under limited knowledge. Natl. Sci. Rev. 2021, 8, nwaa229. [Google Scholar] [CrossRef]
- Majdandzic, A.; Podobnik, B.; Buldyrev, S.V.; Kenett, D.Y.; Havlin, S.; Stanley, H.E. Spontaneous recovery in dynamical networks. Nat. Phys. 2014, 10, 34–38. [Google Scholar] [CrossRef]
- Shang, Y. Percolation of attack with tunable limited knowledge. Phys. Rev. E 2021, 103, 042316. [Google Scholar] [CrossRef] [PubMed]
- Majdandzic, A.; Braunstein, L.A.; Curme, C.; Vodenska, I.; Levy-Carciente, S.; Stanley, H.E.; Havlin, S. Multiple tipping points and optimal repairing in interacting networks. Nat. Commun. 2016, 7, 1–10. [Google Scholar] [CrossRef] [Green Version]
- Dong, G.; Fan, J.; Shekhtman, L.M.; Shai, S.; Du, R.; Tian, L.; Chen, X.; Stanley, H.E.; Havlin, S. Resilience of networks with community structure behaves as if under an external field. Proc. Natl. Acad. Sci. USA 2018, 115, 6911–6915. [Google Scholar] [CrossRef] [Green Version]
- Zeng, G.; Gao, J.; Shekhtman, L.; Guo, S.; Lv, W.; Wu, J.; Liu, H.; Levy, O.; Li, D.; Gao, Z.; et al. Multiple metastable network states in urban traffic. Proc. Natl. Acad. Sci. USA 2020, 117, 17528–17534. [Google Scholar] [CrossRef] [PubMed]
- Yang, Z.; Su, Z.; Liu, S.; Liu, Z.; Ke, W.; Zhao, L. Evolution features and behavior characters of friendship networks on campus life. Expert Syst. Appl. 2020, 158, 113519. [Google Scholar] [CrossRef]
- Muro, M.A.D.; Rocca, C.E.L.; Stanley, H.E.; Havlin, S.; Braunstein, L.A. Recovery of interdependent networks. Sci. Rep. 2016, 6, 1–11. [Google Scholar]
- Podobnik, B.; Jusup, M.; Tiganj, Z.; Wang, W.-X.; Buldú, J.M.; Stanley, H.E. Biological conservation law as an emerging functionality in dynamical neuronal networks. Proc. Natl. Acad. Sci. USA 2017, 114, 11826–11831. [Google Scholar] [CrossRef] [PubMed] [Green Version]
- Böttcher, L.; Andrade, J.; Herrmann, H.J. Targeted recovery as an effective strategy against epidemic spreading. Sci. Rep. 2017, 7, 1–7. [Google Scholar] [CrossRef] [PubMed] [Green Version]
- Shang, Y. Localized recovery of complex networks against failure. Sci. Rep. 2016, 6, 1–10. [Google Scholar] [CrossRef] [Green Version]
- Shao, S.; Huang, X.; Stanley, H.E.; Havlin, S. Percolation of localized attack on complex networks. New J. Phys. 2015, 17, 023049. [Google Scholar] [CrossRef]
- Liu, Y.; Zhao, C.; Yi, D.; Stanley, H.E. Robustness of partially interdependent networks under combined attack. Chaos Interdiscip. Nonlinear Sci. 2019, 29, 021101. [Google Scholar] [CrossRef] [PubMed] [Green Version]
- Yuan, X.; Shao, S.; Stanley, H.E.; Havlin, S. How breadth of degree distribution influences network robustness: Comparing localized and random attacks. Phys. Rev. E 2015, 92, 032122. [Google Scholar] [CrossRef] [PubMed] [Green Version]
- Yuan, X.; Dai, Y.; Stanley, H.E.; Havlin, S. k-core percolation on complex networks: Comparing random, localized, and targeted attacks. Phys. Rev. E 2016, 93, 062302. [Google Scholar] [CrossRef] [Green Version]
- Gilbert, E.N. Random graphs. Ann. Math. Stat. 1959, 30, 1141–1144. [Google Scholar] [CrossRef]
- Albert, R.; Barabási, A.-L. Statistical mechanics of complex networks. Rev. Mod. Phys. 2002, 74, 47. [Google Scholar] [CrossRef] [Green Version]





Publisher’s Note: MDPI stays neutral with regard to jurisdictional claims in published maps and institutional affiliations. |
© 2021 by the authors. Licensee MDPI, Basel, Switzerland. This article is an open access article distributed under the terms and conditions of the Creative Commons Attribution (CC BY) license (https://creativecommons.org/licenses/by/4.0/).
Share and Cite
Wang, F.; Dong, G.; Tian, L. Dynamical Recovery of Complex Networks under a Localised Attack. Algorithms 2021, 14, 274. https://doi.org/10.3390/a14090274
Wang F, Dong G, Tian L. Dynamical Recovery of Complex Networks under a Localised Attack. Algorithms. 2021; 14(9):274. https://doi.org/10.3390/a14090274
Chicago/Turabian StyleWang, Fan, Gaogao Dong, and Lixin Tian. 2021. "Dynamical Recovery of Complex Networks under a Localised Attack" Algorithms 14, no. 9: 274. https://doi.org/10.3390/a14090274
APA StyleWang, F., Dong, G., & Tian, L. (2021). Dynamical Recovery of Complex Networks under a Localised Attack. Algorithms, 14(9), 274. https://doi.org/10.3390/a14090274

