Modified Black-Winged Kite Optimization Algorithm with Three-Phase Attacking Strategy and Lévy–Cauchy Migration Behavior to Solve Mathematical Problems
Abstract
1. Introduction
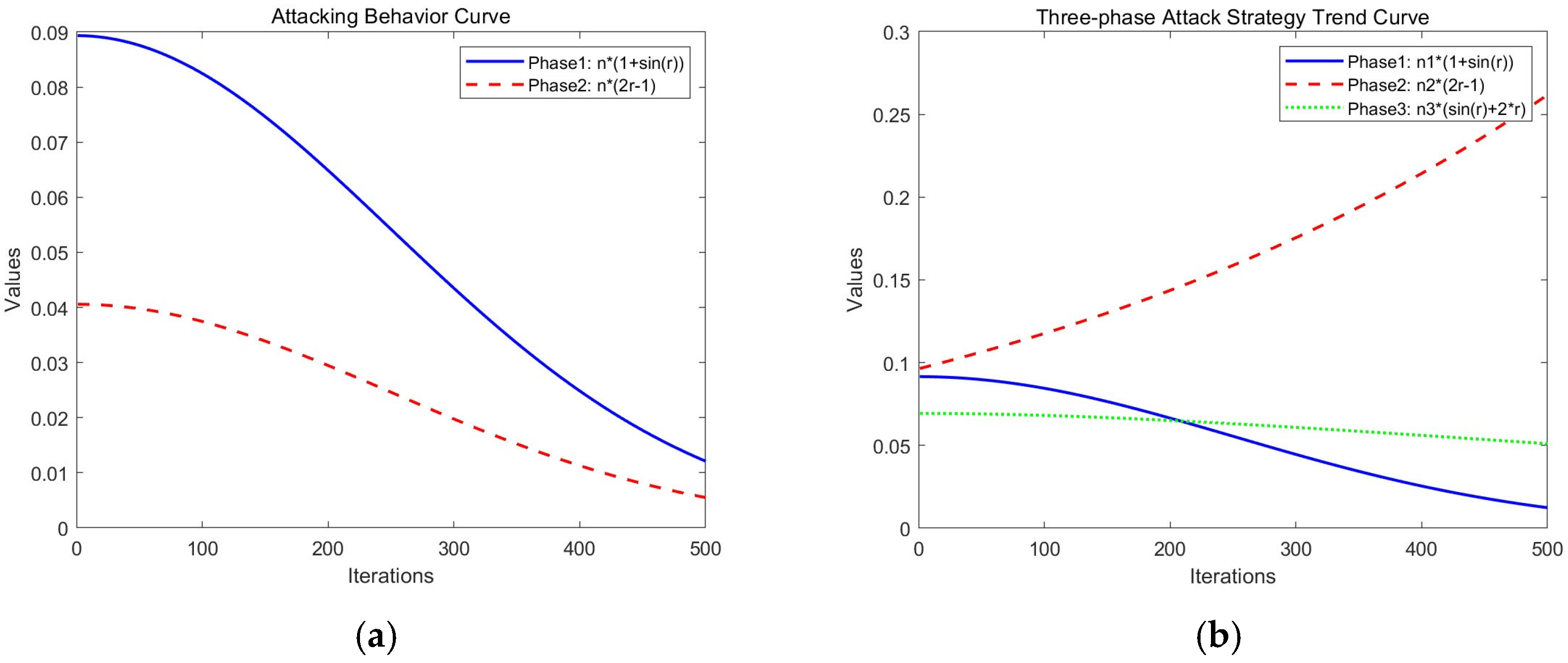
- Three-phase attacking strategy: A novel three-phase attacking strategy is proposed and integrated into the attacking behavior phase of the original BKA. Simultaneously, three adaptive parameters (n1, n2, and n3) are designed for predatory, defensive, and competitive attacking behavior, respectively. The proposed strategy increases individual diversity and balances exploration and exploitation capabilities.
- Lévy–Cauchy migration behavior: A Lévy–Cauchy migration behavior is designed to improve BKA’s global search capabilities and facilitate escape from local optima, thereby enhancing solution quality.
2. Materials and Methods
2.1. Black-Winged Kite Optimization Algorithm
2.1.1. Initialization Phase
2.1.2. Attacking Behavior
2.1.3. Migration Behavior
2.2. Modified Black-Winged Kite Algorithm
2.2.1. Three-Phase Attacking Strategy
2.2.2. Lévy–Cauchy Migration Behavior
2.3. Pseudo-Code of MBKA
| Algorithm 1: Pseudo-code of MBKA |
| Input:: the maximum iterations : variable dimensions of the problem to be addressed : the constant value in attack behavior Establish an objective function ,where variable . Initialize a population of black-winged kites using a random initialization method. Output: , 1: while the maximum iterations is not met do 2: Rank the fitness values, identify the current best individual and worst individuals , and simultaneously calculate the average fitness of the population . 3: for 4: Update the position of the black-winged kites population through enhanced attack by Equations (8)–(11) and migration behaviors by Equations (12) and (13) 5: end for 3: Get the current new location; 4: If the current new location is better than before, update it; 5: 6: edge detection 7: end while 8: return , . |
2.4. Complexity Analysis
3. Results
3.1. Experimental Evaluation
3.2. Performance Testing on Benchmark Functions
3.3. Performance Testing on CEC-2017
3.4. Performance Testing on CEC-2022
3.5. Engineering Optimization Problem
3.5.1. Compression Spring Design Problem
3.5.2. Gear Train Design Problem
4. Discussion
4.1. Alignment with Prior Research and Hypothesis Validation
4.2. Theoretical and Practical Implications
4.3. Limitations
5. Conclusions
Author Contributions
Funding
Institutional Review Board Statement
Informed Consent Statement
Data Availability Statement
Conflicts of Interest
References
- Wang, J.; Wang, W.C.; Hu, X.X.; Qiu, L.; Zang, H.F. Black-winged kite algorithm: A nature-inspired meta-heuristic for solving benchmark functions and engineering problems. Artif. Intell. Rev. 2024, 57, 98. [Google Scholar] [CrossRef]
- Fathy, A.; Bouaouda, A.; Hashim, F.A. Optimal arrangement of shaded photovoltaic array using new modified black-winged kite algorithm. Expert Syst. Appl. 2025, 289, 128375. [Google Scholar] [CrossRef]
- Nie, J.; Wu, C.; Liu, D.; Zhou, S. Enhanced Black-Winged Kite Algorithm for Agile Software Project Scheduling Optimization. In Proceedings of the 2025 8th International Conference on Advanced Algorithms and Control Engineering (ICAACE), Shanghai, China, 21–23 March 2025; pp. 286–294. [Google Scholar]
- Lin, G.; Zhou, Z.; Chiu, K.H.; Lin, H.; Shi, X.; Ma, H. Improved Black-winged Kite Algorithm for Welded Beam Structural Optimization and Cost Management. In Proceedings of the 2025 5th International Symposium on Computer Technology and Information Science (ISCTIS), Xi’an, China, 16–18 May 2025; pp. 229–232. [Google Scholar]
- Mansouri, H.; Elkhanchouli, K.; Elghouate, N.; Bencherqui, A.; Tahiri, M.A.; Karmouni, H.; Sayyouri, M.; Moustabchir, H.; Askar, S.S.; Abouhawwash, M. A modified black-winged kite optimizer based on chaotic maps for global optimization of real-world applications. Knowl.-Based Syst. 2025, 318, 113558. [Google Scholar] [CrossRef]
- Li, G.; Zhu, K.; Li, Z.; Chen, H.; Zhang, W.; Chen, J. Multi-Parameter Optimization of VIV Energy Harvesting System Based on Black-winged Kite Algorithm. In Proceedings of the 2024 8th International Symposium on Computer Science and Intelligent Control (ISCSIC), Zhengzhou, China, 6–8 September 2024; pp. 376–384. [Google Scholar]
- Lin, M.; Qiu, Z.; Dai, Z.; Luo, Y. Erythemato-Squamous Diseases Diagnosis Based on Support Vector Machine Optimized by Black-Winged Kite Algorithm. In Proceedings of the 2024 5th International Conference on Intelligent Computing and Human-Computer Interaction (ICHCI), Nanchang, China, 27–29 September 2024; pp. 86–89. [Google Scholar]
- Huang, S.; Xing, Y.; Cao, J.; Zhang, X.; Wang, Y. Identification of optimal parameters of PEMFC steady-state model using improved black kite algorithm. Int. J. Hydrogen Energy 2025, 106, 1302–1321. [Google Scholar] [CrossRef]
- Wang, L.; Xu, L.; Fan, S.; Zhang, Y. An optimized multi-source feature extraction model with black-winged kite algorithm for hourly seamless PM2.5 estimation. Swarm Evol. Comput. 2025, 97, 102069. [Google Scholar] [CrossRef]
- Zhou, M.; Shi, C.; Hu, F.; Zhu, Z.; Wang, K.; Sun, X.; Zhang, Y.; Zhou, M.; Zhang, L.; Zhang, Y. RC parameter identification and load aggregation analysis of air-conditioning systems: A multi-strategy improved black-winged kite algorithm. Energy Build. 2025, 337, 115641. [Google Scholar] [CrossRef]
- Rani, S.J.; Santhakumar, D. Black-winged kite algorithm-based energy efficient Clustering Protocol for Internet of Things. In Proceedings of the 2024 IEEE 16th International Conference on Computational Intelligence and Communication Networks (CICN), Indore, India, 22–23 December 2024; pp. 1052–1057. [Google Scholar]
- Sun, H.; Yang, S. Range-free localization algorithm based on modified distance and improved black-winged kite algorithm. Comput. Netw. 2025, 259, 111091. [Google Scholar] [CrossRef]
- Gupta, S.; Gupta, S.; Sunil, G.; Kant, V.; Bharany, S. Path Planning Optimization for Four-Wheeled Mobile Robots Using the Black-Winged Kite Algorithm. In Proceedings of the 2025 4th OPJU International Technology Conference (OTCON) on Smart Computing for Innovation and Advancement in Industry 5.0, Raigarh, India, 9–11 April 2025; pp. 1–6. [Google Scholar]
- Ma, H.; Azizan, A.; Feng, Y.; Cheng, L.; Delgoshaei, A.; Ismail, M.I.S.; Ramli, H.R. Improved black-winged kite algorithm and finite element analysis for robot parallel gripper design. Adv. Mech. Eng. 2024, 16, 1–16. [Google Scholar] [CrossRef]
- Du, C.; Zhang, J.; Fang, J. An innovative complex-valued encoding black-winged kite algorithm for global optimization. Sci. Rep. 2025, 15, 932. [Google Scholar] [CrossRef] [PubMed]
- Wang, S.; Xu, B.; Zheng, Y.; Yue, Y.; Xiong, M. Path Optimization Strategy for Unmanned Aerial Vehicles Based on Improved Black Winged Kite Optimization Algorithm. Biomimetics 2025, 10, 310. [Google Scholar] [CrossRef]
- Mohapatra, S.; Kaliyaperumal, D.; Gharehchopogh, F.S. A revamped black winged kite algorithm with advanced strategies for engineering optimization. Sci. Rep. 2025, 15, 17681. [Google Scholar] [CrossRef] [PubMed]
- Li, Y.; Shi, B.; Qiao, W.; Du, Z. A black-winged kite optimization algorithm enhanced by osprey optimization and vertical and horizontal crossover improvement. Sci. Rep. 2025, 15, 6737. [Google Scholar] [CrossRef]
- Wan, H.; Wu, Q.; Peng, Z.; Lu, Z. Direction-assisted enhanced black-winged kite algorithm for mobile robot path planning. J. King Saud Univ. Comput. Inf. Sci. 2025, 37, 121. [Google Scholar] [CrossRef]
- Li, C.; Zhang, K.; Zheng, B.; Chen, Y. Path planning problem solved by an improved black-winged kite optimization algorithm based on multi-strategy fusion. Int. J. Mach. Learn. Cybern. 2025, 16, 7859–7895. [Google Scholar] [CrossRef]
- Li, J.; Fu, S.; Zhang, W.; Fu, H.; Fang, X.; Li, Z. Enhanced Black-Winged Kite Algorithm for Drone Coverage in Complex Fruit Farms. Agriculture 2025, 15, 1044. [Google Scholar] [CrossRef]
- Liu, X.; Wang, F.; Liu, Y.; Li, L. A Multi-Objective Black-Winged Kite Algorithm for Multi-UAV Cooperative Path Planning. Drones 2025, 9, 118. [Google Scholar] [CrossRef]
- Xue, R.; Zhang, X.; Xu, X.; Zhang, J.; Cheng, D.; Wang, G. Multi-strategy Integration Model Based on Black-Winged Kite Algorithm and Artificial Rabbit Optimization. In International Conference on Swarm Intelligence; Springer Nature: Singapore, 2024; pp. 197–207. [Google Scholar]
- Nagarajan, K.; Rajagopalan, S. A Novel Black-Winged Kite Algorithm with Deep Learning for Autism Detection of Privacy Preserved Data. J. Bionic Eng. 2025, 22, 1985–2011. [Google Scholar] [CrossRef]
- Yu, Q.; He, X.; Chen, Y.; Jiang, Z.; Tan, Y.; Liu, L.; Xie, B.; Wen, C. Multi-objective optimization for energy-efficient management of electric Tractors via hybrid energy storage systems and scenario recognition. Appl. Energy 2025, 391, 125898. [Google Scholar] [CrossRef]
- Chen, H.; Zheng, Y.; Huang, H.; Wang, Z.; Yang, B.; Ni, J. A point-interval prediction framework for minimum miscibility pressure of CO2-crude oil systems. Fuel 2025, 381, 133573. [Google Scholar] [CrossRef]
- She, L.; Hu, C.C.; Li, Y.L.; Li, Z.Y.; Song, Q.; Zhang, Y.; He, M.M. Intelligent decision of TBM operating parameters: A multi-objective optimization approach based on tabular deep learning. Adv. Eng. Inform. 2025, 68, 103573. [Google Scholar] [CrossRef]
- Zhang, S.; Fu, Z.; An, D.; Yi, H. Network security situation assessment based on BKA and cross dual-channel. J. Supercomput. 2025, 81, 461. [Google Scholar] [CrossRef]
- Yang, J.; Wan, L.; Qian, J.; Li, Z.; Mao, Z.; Zhang, X.; Lei, J. An Innovative Indoor Localization Method for Agricultural Robots Based on the NLOS Base Station Identification and IBKA-BP Integration. Agriculture 2025, 15, 901. [Google Scholar] [CrossRef]
- Zhao, H.; Li, P.; Duan, S.; Gu, J. Inversion of image-only intrinsic parameters for steel fibre concrete under combined rate-temperature conditions: An adaptively enhanced machine learning approach. J. Build. Eng. 2024, 94, 109836. [Google Scholar] [CrossRef]
- Zhang, C.; Cheng, J.; Guo, Z.; Li, J. Unraveling surface roughness variations in SLM-GH4169 alloy polishing: A synergistic approach combining mechanistic modeling and machine learning algorithms. Mater. Today Commun. 2025, 46, 112505. [Google Scholar] [CrossRef]
- Shu, B.; Hu, G.; Cheng, M.; Zhang, C. MSFPSO: Multi-algorithm integrated particle swarm optimization with novel strategies for solving complex engineering design problems. Comput. Methods Appl. Mech. Eng. 2025, 437, 117791. [Google Scholar] [CrossRef]
- Li, N.; Liu, J.; Wang, L.; Dai, B.; Zhao, S.; Chang, J.; Ye, H.; Yan, D. A hybrid intelligent optimization algorithm for long-term production planning of open-pit mine considering carbon reduction plan. Swarm Evol. Comput. 2025, 98, 102078. [Google Scholar] [CrossRef]
- Wu, G.; Mallipeddi, R.; Suganthan, P. Problem Definitions and Evaluation Criteria for the CEC 2017 Competition and Special Session on Constrained Single Objective Real-parameter Optimization; South Korea and Nanyang Technological University: Singapore, 2016. [Google Scholar]
- Yazdani, D.; Branke, J.; Omidvar, M.N.; Li, X.; Li, C.; Mavrovouniotis, M.; Nguyen, T.; Yao, X. IEEE CEC 2022 competition on dynamic optimization problems generated by generalized moving peaks benchmark. arXiv 2021, arXiv:2106.06174. [Google Scholar]
- Faramarzi, A.; Heidarinejad, M.; Mirjalili, S.; Gandomi, A.H. Marine Predators Algorithm: A nature-inspired metaheuristic. Expert Syst. Appl. 2020, 152, 113377. [Google Scholar] [CrossRef]
- Mafarja, M.; Mirjalili, S. Antlion optimizer: “The ant lion optimizer”. Adv. Eng. Softw. 2015, 83, 80–98. [Google Scholar]
- Mirjalili, S.; Lewis, A. The grey wolf optimizer. Adv. Eng. Softw. 2014, 69, 46–61. [Google Scholar] [CrossRef]
- Zhao, S.; Zhang, T.; Ma, S.; Chen, M. Dandelion Optimizer: A nature-inspired metaheuristic algorithm for engineering applications. Eng. Appl. Artif. Intell. 2022, 114, 105075. [Google Scholar] [CrossRef]
- Rather, S.A.; Bala, P.S. Swarm-based chaotic gravitational search algorithm for solving mechanical engineering design problems. World J. Eng. 2020, 17, 97–114. [Google Scholar] [CrossRef]



















| Function | Range | Optima |
|---|---|---|
| [−100, 100]n | 0 | |
| [−10, 10]n | 0 | |
| [−100, 100]n | 0 | |
| [−10, 10]n | 0 | |
| [−1.28, 1.28]n | 0 | |
| [−1, 1]n | 0 | |
| [−10, 10]n | 0 | |
| [−5, 10]n | 0 | |
| [−1.28, 1.28]n | 0 |
| Function | Range | Optima |
|---|---|---|
| [−5.12, 5.12]n | 0 | |
| [−5.12, 5.12]n | 0 | |
| [−50, 50]n | 0 | |
| [−600, 600]n | 0 | |
| [−10, 10]n | 0 | |
| [−1, 1]n | 0 | |
| [−100, 100]n | 0 | |
| [−10, 10]n | 0 | |
| [−100, 100]n | 0 |
| Index | MBKA | BKA | MBKA1 | MBKA2 | |
|---|---|---|---|---|---|
| Mean | 1.349 × 10−177 | 2.345 × 10−74 | 4.742 × 10−181 | 8.254 × 10−186 | |
| SD | 0 | 1.048 × 10−73 | 0 | 0 | |
| runtime | 0.9268 | 0.0255 | 0.9221 | 0.9133 | |
| Mean | 1.205 × 10−94 | 1.697 × 10−37 | 6.721 × 10−94 | 2.269 × 10−95 | |
| SD | 6.473 × 10−94 | 9.284 × 10−37 | 3.662 × 10−93 | 1.233 × 10−94 | |
| runtime | 0.9139 | 0.0254 | 0.9078 | 0.9111 | |
| Mean | 3.549 × 10−178 | 3.067 × 10−75 | 1.642 × 10−177 | 2.149 × 10−178 | |
| SD | 0 | 1.357 × 10−74 | 0 | 0 | |
| runtime | 0.9875 | 0.0638 | 0.9832 | 0.9796 | |
| Mean | 6.198 × 10−92 | 6.399 × 10−50 | 1.244 × 10−88 | 2.337 × 10−87 | |
| SD | 2.800 × 10−91 | 2.573 × 10−49 | 4.957 × 10−88 | 1.279 × 10−86 | |
| runtime | 0.9155 | 0.0243 | 0.9119 | 0.9103 | |
| Mean | 1.757 × 10−4 | 3.679 × 10−4 | 1.167 × 10−4 | 1.264 × 10−4 | |
| SD | 1.074 × 10−4 | 2.987 × 10−4 | 8.388 × 10−5 | 8.811 × 10−5 | |
| runtime | 1.2435 | 0.0757 | 1.2570 | 1.2567 | |
| Mean | 1.323 × 10−278 | 5.382 × 10−122 | 1.532 × 10−274 | 2.659 × 10−277 | |
| SD | 0 | 2.010 × 10−121 | 0 | 0 | |
| runtime | 1.0066 | 0.0446 | 1.0059 | 1.0052 | |
| Mean | 3.667 × 10−184 | 2.881 × 10−84 | 4.284 × 10−177 | 1.448 × 10−185 | |
| SD | 0 | ×10− | 0 | 0 | |
| runtime | 0.9877 | 0.0241 | 0.9790 | 0.9864 | |
| Mean | 4.772 × 10−183 | 6.402 × 10−76 | 8.967 × 10−185 | 1.509 × 10−181 | |
| SD | 0 | 3.507 × 10−75 | 0 | 0 | |
| runtime | 1.0377 | 0.0608 | 1.0378 | 1.0381 | |
| Mean | 1.542 × 10−4 | 3.835 × 10−4 | 2.146 × 10−4 | 1.854 × 10−4 | |
| SD | 1.132 × 10−4 | 3.085 × 10−4 | 1.618 × 10−4 | 1.489 × 10−4 | |
| runtime | 1.4517 | 0.0832 | 1.4617 | 1.4541 | |
| Mean | 0 | 0 | 0 | 0 | |
| SD | 0 | 0 | 0 | 0 | |
| runtime | 1.3702 | 0.0385 | 1.3686 | 1.3780 | |
| Mean | 0 | 0 | 0 | 0 | |
| SD | 0 | 0 | 0 | 0 | |
| runtime | 1.3520 | 0.0392 | 1.3514 | 1.3490 | |
| Mean | 4.441 × 10−16 | 4.441 × 10−16 | 4.441 × 10−16 | 4.441 × 10−16 | |
| SD | 0 | 0 | 0 | 0 | |
| runtime | 1.0762 | 0.0318 | 1.0903 | 1.0939 | |
| Mean | 0 | 0 | 0 | 0 | |
| SD | 0 | 0 | 0 | 0 | |
| runtime | 1.0188 | 0.0426 | 1.0144 | 1.0148 | |
| Mean | 6.941 × 10−97 | 1.872 × 10−38 | 1.327 × 10−97 | 2.695 × 10−95 | |
| SD | 3.379 × 10−96 | 1.021 × 10−37 | 5.999 × 10−97 | 1.022 × 10−94 | |
| runtime | 0.9932 | 0.0284 | 0.9849 | 0.9917 | |
| Mean | 0 | 0 | 0 | 0 | |
| SD | 0 | 0 | 0 | 0 | |
| runtime | 2.8541 | 1.6083 | 2.8462 | 2.8825 | |
| Mean | 6.774 × 10−176 | 5.147 × 10−63 | 5.168 × 10−177 | 1.322 × 10−184 | |
| SD | 0 | ×10−62 | 0 | 0 | |
| runtime | 0.9556 | 0.0281 | 0.9487 | 0.9508 | |
| Mean | 0 | 0 | 0 | 0 | |
| SD | 0 | 0 | 0 | 0 | |
| runtime | 0.9264 | 0.0264 | 0.9201 | 0.9235 | |
| Mean | 3.999 × 10−1 | 3.979 × 10−1 | 3.997 × 10−1 | 3.992 × 10−1 | |
| SD | 1.999 × 10−3 | 0 | 2.911 × 10−3 | 1.793 × 10−3 | |
| runtime | 0.7129 | 0.0253 | 0.7155 | 0.7142 |
| Index | MBKA | BKA | MPA | ALO | GWO | DO | |
|---|---|---|---|---|---|---|---|
| Mean | 7.89 × 10−185 | 3.74 × 10−81 | 5.59 × 10−30 | 8.04 × 10−9 | 9.94 × 10−57 | 1.46 × 10−11 | |
| SD | 0 | 2.05 × 10−80 | 1.21 × 10−29 | 4.45 × 10−9 | 3.65 × 10−56 | 2.27 × 10−11 | |
| p | NA | 1.73 × 10−6 | 1.73 × 10−6 | 1.73 × 10−6 | 1.73 × 10−6 | 1.73 × 10−6 | |
| Fri | 1 | 2 | 4 | 6 | 3 | 5 | |
| Mean | 1.46 × 10−94 | 2.24 × 10−47 | 5.69 × 10−17 | 3.76 | 5.23 × 10−33 | 1.00 × 10−6 | |
| SD | 7.63 × 10−94 | 1.17 × 10−46 | 5.41 × 10−17 | 9.94 | 7.67 × 10−33 | 7.34 × 10−7 | |
| p | NA | 1.73 × 10−6 | 1.73 × 10−6 | 1.73 × 10−6 | 1.73 × 10−6 | 1.73 × 10−6 | |
| Fri | 1 | 2 | 4 | 6 | 3 | 5 | |
| Mean | 7.45 × 10−172 | 7.64 × 10−77 | 2.89 × 10−16 | 1.00 × 10−3 | 1.43 × 10−27 | 6.85 × 10−8 | |
| SD | 0 | 4.19 × 10−76 | 4.25 × 10−16 | 3.29 × 10−3 | 6.24 × 10−27 | 1.66 × 10−7 | |
| p | NA | 1.73 × 10−6 | 1.73 × 10−6 | 1.73 × 10−6 | 1.73 × 10−6 | 1.73 × 10−6 | |
| Fri | 1 | 2 | 4 | 6 | 3 | 5 | |
| Mean | 2.93 × 10−90 | 9.61 × 10−39 | 1.01 × 10−13 | 3.61 × 10−4 | 1.69 × 10−19 | 1.13 × 10−5 | |
| SD | 1.52 × 10−89 | 5.05 × 10−38 | 1.01 × 10−13 | 7.67 × 10−4 | 2.35 × 10−19 | 1.28 × 10−5 | |
| p | NA | 1.73 × 10−6 | 1.73 × 10−6 | 1.73 × 10−6 | 1.73 × 10−6 | 1.73 × 1065 | |
| Fri | 1 | 2 | 4 | 6 | 3 | 5 | |
| Mean | 1.49 × 10−4 | 3.18 × 10−4 | 8.12 × 10−4 | 3.03 × 10−2 | 5.93 × 10−4 | 2.70 × 10−3 | |
| SD | 1.18 × 10−4 | 2.24 × 10−4 | 5.11 × 10−4 | 1.77 × 10−2 | 4.45 × 10−4 | 1.82 × 10−3 | |
| p | NA | 5.29 × 10−4 | 1.73 × 10−6 | 1.73 × 10−6 | 1.24 × 10−5 | 1.73 × 10−6 | |
| Fri | 1.3 | 2.47 | 3.67 | 6 | 2.8 | 4.77 | |
| Mean | 5.46 × 10−283 | 6.81 × 10−114 | 1.34 × 10−61 | 2.42 × 10−7 | 1.28 × 10−120 | 6.09 × 10−15 | |
| SD | 0 | 3.47 × 10−113 | 3.21 × 10−61 | 1.59 × 10−7 | 4.39 × 10−120 | 7.11 × 10−5 | |
| p | NA | 1.73 × 10−6 | 1.73 × 10−6 | 1.73 × 10−6 | 1.73 × 10−6 | 1.73 × 10−6 | |
| Fri | 1 | 2 | 4 | 6 | 2 | 5 | |
| Mean | 1.89 × 10−182 | 1.34 × 10−89 | 2.65 × 10−31 | 1.24 × 10−7 | 6.76 × 10−58 | 2.74 × 10−12 | |
| SD | 0 | 7.35 × 10−89 | 4.24 × 10−31 | 1.68 × 10−7 | 2.69 × 10−57 | 3.33 × 10−12 | |
| p | NA | 1.73 × 10−6 | 1.73 × 10−6 | 1.73 × 10−6 | 1.73 × 10−6 | 1.73 × 10−6 | |
| Fri | 1 | 2 | 4 | 6 | 3 | 5 | |
| Mean | 5.87 × 10−184 | 1.15 × 10−75 | 4.82 × 10−31 | 1.29 × 10−10 | 2.18 × 10−58 | 5.87 × 10−13 | |
| SD | 0 | 6.29 × 10−75 | 1.09 × 10−30 | 4.82 × 10−11 | 5.98 × 10−58 | 6.02 × 10−13 | |
| p | NA | 1.73 × 10−6 | 1.73 × 10−6 | 1.73 × 10−6 | 1.73 × 10−6 | 1.73 × 10−6 | |
| Fri | 1 | 2 | 4 | 6 | 3 | 5 | |
| Mean | 1.73 × 10−4 | 2.39 × 10−4 | 7.24 × 10−4 | 1.46 × 10−2 | 7.74 × 10−4 | 1.14 × 10−2 | |
| SD | 1.75 × 10−4 | 2.33 × 10−4 | 4.45 × 10−4 | 8.75 × 10−3 | 4.21 × 10−4 | 6.72 × 10−3 | |
| p | NA | 1.47 × 10−1 | 2.59 × 10−5 | 1.73 × 10−6 | 3.88 × 10−6 | 1.73 × 10−6 | |
| Fri | 1.67 | 1.7 | 3.2 | 5.63 | 3.43 | 5.37 | |
| Mean | 0 | 0 | 2.66 × 10−13 | 23.55 | 8.16 × 10−1 | 2.65 | |
| SD | 0 | 0 | 1.12 × 10−12 | 10.08 | 1.91 | 2.78 | |
| p | NA | 1 | 0.5 | 1.73 × 10−6 | 1.56 × 10−2 | 1.73 × 10−6 | |
| Fri | 2.35 | 2.35 | 2.48 | 6 | 2.98 | 4.83 | |
| Mean | 0 | 0 | 0.60 | 27.33 | 2.17 | 1.23 | |
| SD | 0 | 0 | 1.01 | 11.85 | 2.52 | 1.43 | |
| p | NA | 1 | 8.29 × 10−6 | 1.73 × 10−6 | 2.93 × 10−4 | 1.44 × 10−6 | |
| Fri | 1.78 | 1.79 | 3.78 | 6 | 3.55 | 4.1 | |
| Mean | 4.44 × 10−16 | 4.44 × 10−16 | 1.57 × 10−14 | 4.01 × 10−1 | 2.69 | 11.32 | |
| SD | 0 | 0 | 1.63 × 10−14 | 1.12 | 6.98 | 10.06 | |
| p | NA | 1 | 1.49 × 10−6 | 8.29 × 10−6 | 5.08 × 10−7 | 1.73 × 10−6 | |
| Fri | 1.57 | 1.57 | 3.62 | 4.83 | 3.92 | 5.5 | |
| Mean | 0 | 0 | 1.73 × 10−11 | 2.14 × 10−1 | 3.08 × 10−2 | 1.02 × 10−1 | |
| SD | 0 | 0 | 8.54 × 10−11 | 1.35 × 10−1 | 4.15 × 10−2 | 9.43 × 10−2 | |
| p | NA | 1 | 0.13 | 1.73 × 10−6 | 2.74 × 10−5 | 1.73 × 10−6 | |
| Fri | 2.05 | 2.05 | 2.25 | 5.87 | 3.82 | 4.97 | |
| Mean | 2.59 × 10−95 | 2.90 × 10−39 | 7.22 × 10−8 | 4.53 × 10−1 | 1.19 × 10−4 | 1.26 × 10−1 | |
| SD | 1.41 × 10−94 | 1.16 × 10−38 | 3.95 × 10−7 | 5.77 × 10−1 | 2.38 × 10−4 | 2.56 × 10−1 | |
| p | NA | 1.73 × 10−6 | 1.73 × 10−6 | 1.73 × 10−6 | 1.73 × 10−6 | 1.73 × 10−6 | |
| Fri | 1 | 2 | 3.4 | 5.8 | 3.9 | 4.9 | |
| Mean | 0 | 0 | 0 | 0 | 1.74 | 3.88 × 10−1 | |
| SD | 0 | 0 | 0 | 0 | 1.12 | 2.89 | |
| p | NA | 1 | 1 | 1 | 3.79 × 10−6 | 2.56 × 10−6 | |
| Fri | 2.55 | 2.55 | 2.55 | 2.55 | 5.73 | 5.07 | |
| Mean | 1.37 × 10−177 | 1.63 × 10−54 | 9.95 × 10−2 | 6.79 × 10−1 | 9.95 × 10−2 | 1.39 × 10−1 | |
| SD | 0 | 8.9 × 10−54 | 5.53 × 10−17 | 2.51 × 10−1 | 3.77 × 10−10 | 1.03 × 10−1 | |
| p | NA | 1.73 × 10−6 | 6.79 × 10−8 | 1.25 × 10−6 | 1.73 × 10−6 | 1.72 × 10−6 | |
| Fri | 1 | 2 | 3.07 | 5.93 | 4.87 | 4.13 | |
| Mean | 0 | 0 | 0 | 2.15 | 0 | 2.12 × 10−13 | |
| SD | 0 | 0 | 0 | 1.19 | 0 | 2.32 × 10−13 | |
| p | NA | 1 | 1 | 1.73 × 10−6 | 1.73 × 10−6 | 1.73 × 10−6 | |
| Fri | 2.5 | 2.5 | 2.5 | 6 | 2.5 | 5 | |
| Mean | 3.99 × 10−1 | 3.98 × 10−1 | 3.98 × 10−1 | 3.98 × 10−1 | 3.98 × 10−1 | 3.98 × 10−1 | |
| SD | 2.83 × 10−3 | 0 | 9.75 × 10−15 | 1.04 × 10−13 | 6.76 × 10−6 | 3.22 × 10−11 | |
| p | NA | 1.73 × 10−6 | 1.73 × 10−6 | 1.73 × 10−6 | 1.73 × 10−6 | 1.73 × 10−6 | |
| Fri | 6 | 1.35 | 1.72 | 2.93 | 5 | 4 |
| Function | MBKA | BKA | |||||||
|---|---|---|---|---|---|---|---|---|---|
| Max | Mean | Min | SD | Max | Mean | Min | SD | p-Values | |
| 2.13 × 109 | 1.05 × 109 | 6.44 × 107 | 5.59 × 108 | 2.15 × 109 | 4.27 × 107 | 1.01 × 107 | 5.25 × 108 | 2.41 × 10−4 | |
| 5.19 × 103 | 2.92 × 103 | 8.73 × 102 | 1.19 × 103 | 9.71 × 103 | 3.14 × 103 | 7.72 × 102 | 1.91 × 103 | 8.93 × 10−1 | |
| 5.4 × 102 | 4.79 × 102 | 4.31 × 102 | 2.49 × 101 | 8.75 × 102 | 5.42 × 102 | 4.14 × 102 | 9.82 × 101 | 5.67 × 10−3 | |
| 5.68 × 102 | 5.53 × 102 | 5.28 × 102 | 8.29 | 5.92 × 102 | 5.59 × 102 | 5.33 × 102 | 1.8 × 101 | 2.8 × 10−1 | |
| 6.37 × 102 | 6.23 × 102 | 6.12 × 102 | 6.33 | 6.45 × 102 | 6.31 × 102 | 6.16 × 102 | 7.29 | 6.16 × 10−4 | |
| 7.85 × 102 | 7.71 × 102 | 7.59 × 102 | 7.92 | 8.09 × 102 | 7.72 × 102 | 7.33 × 102 | 21.75 | 8.94 × 101 | |
| 8.56 × 102 | 8.43 × 102 | 8.19 × 102 | 8.38 | 8.5 × 102 | 8.31 × 102 | 8.13 × 102 | 9.49 | 1.36 × 104 | |
| 1.28 × 103 | 1.06 × 103 | 9.32 × 102 | 8.41 × 101 | 1.77 × 103 | 1.28 × 103 | 9.53 × 102 | 1.88 × 102 | 3.41 × 10−2 | |
| 2.49 × 103 | 2.23 × 103 | 1.74 × 103 | 1.56 × 102 | 3.01 × 103 | 2.3 × 103 | 1.44 × 103 | 3.76 × 102 | 3.82 × 10−1 | |
| 2.14 × 103 | 1.62 × 103 | 1.23 × 103 | 2.17 × 102 | 1.49 × 103 | 1.26 × 103 | 1.13 × 103 | 1.04 × 102 | 3.88 × 10−6 | |
| 1.03 × 108 | 2.89 × 107 | 1.52 × 106 | 2.84 × 107 | 1.22 × 107 | 2.49 × 106 | 1.71 × 104 | 3.42 × 106 | 3.52 × 10−2 | |
| 1.67 × 105 | 5.51 × 104 | 7.01 × 103 | 4.43 × 104 | 1.74 × 104 | 4.82 × 103 | 1.56 × 102 | 4.26 × 103 | 1.92 × 10−6 | |
| 2.83 × 103 | 1.85 × 103 | 1.53 × 103 | 2.64 × 102 | 1.59 × 103 | 1.5 × 103 | 1.44 × 103 | 4.18 × 102 | 1.73 × 10−6 | |
| 1.28 × 104 | 5.98 × 103 | 2.58 × 103 | 2.61 × 103 | 7.23 × 103 | 2 × 103 | 1.53 × 103 | 1.02 × 103 | 7.69 × 10−6 | |
| 1.99 × 103 | 1.83 × 103 | 1.65 × 103 | 8.13 × 101 | 2.07 × 103 | 1.88 × 103 | 1.72 × 103 | 8.84 × 101 | 1.32 × 102 | |
| 1.81 × 103 | 1.45 × 105 | 1.76 × 103 | 1.17 × 101 | 1.94 × 103 | 1.79 × 103 | 1.74 × 103 | 4.37 × 101 | 7.19 × 10−1 | |
| 5.34 × 105 | 3.24 × 103 | 2.28 × 104 | 1.39 × 105 | 2.56 × 104 | 5.88 × 103 | 1.97 × 103 | 4.55 × 103 | 1.73 × 10−6 | |
| 1.18 × 105 | 2.11 × 104 | 2.83 × 103 | 2.32 × 104 | 7.29 × 103 | 2.34 × 103 | 1.92 × 103 | 1.05 × 103 | 1.73 × 10−6 | |
| 2.24 × 103 | 2.15 × 103 | 2.07 × 103 | 4.26 × 101 | 2.26 × 103 | 2.16 × 103 | 2.08 × 103 | 5.51 × 101 | 6.88 × 10−1 | |
| 2.35 × 103 | 2.25 × 103 | 2.22 × 103 | 3.45 × 101 | 2.38 × 103 | 2.29 × 103 | 2.2 × 103 | 6.56 × 101 | 1.11 × 10−2 | |
| 2.52 × 103 | 2.44 × 103 | 2.28 × 103 | 4.27 × 101 | 3.45 × 103 | 2.48 × 103 | 2.29 × 103 | 1.74 × 102 | 2.06 × 10−1 | |
| 2.67 × 103 | 2.65 × 103 | 2.63 × 103 | 8.35 | 2.73 × 103 | 2.65 × 103 | 2.62 × 103 | 2.92 × 101 | 9.59 × 10−1 | |
| 2.79 × 103 | 2.77 × 103 | 2.59 × 103 | 4.25 × 101 | 2.84 × 103 | 2.78 × 103 | 2.54 × 103 | 6.12 × 101 | 1.85 × 10−1 | |
| 3.11 × 103 | 3.01 × 103 | 2.95 × 103 | 4.21 × 101 | 3.25 × 103 | 3.04 × 103 | 2.92 × 103 | 8.34 × 101 | 2.45 × 10−1 | |
| 3.4 × 103 | 3.16 × 103 | 3.04 × 103 | 8.83 × 101 | 4.55 × 103 | 3.56 × 103 | 2.75 × 103 | 4.87 × 102 | 2.41 × 10−4 | |
| 3.11 × 103 | 3.11 × 103 | 3.1 × 103 | 1.76 | 3.31 × 103 | 3.14 × 103 | 3.09 × 103 | 4.34 × 101 | 1.49 × 10−5 | |
| 3.42 × 103 | 3.31 × 103 | 3.23 × 103 | 5.21 × 101 | 3.79 × 103 | 3.42 × 103 | 3.18 × 103 | 1.71 × 102 | 6.04 × 10−3 | |
| 3.33 × 103 | 3.24 × 103 | 3.17 × 103 | 4.05 × 101 | 3.44 × 103 | 3.29 × 103 | 3.17 × 103 | 5.81 × 101 | 4.89 × 10−4 | |
| 8.86 × 105 | 8.37 × 105 | 4.72 × 104 | 1.64 × 105 | 1.88 × 107 | 3 × 106 | 4.16 × 103 | 4.07 × 106 | 5.47 × 10−3 | |
| Function | MBKA | BKA | |||||||
|---|---|---|---|---|---|---|---|---|---|
| Max | Mean | Min | SD | Max | Mean | Min | SD | p-Values | |
| 30,001.25 | 13,103.73 | 7063.04 | 4069.28 | 7625.07 | 3190.79 | 573.08 | 1865.35 | 1.73 × 10−6 | |
| 580.19 | 498.35 | 464.34 | 23.56 | 811.28 | 534.48 | 422.29 | 109.14 | 3.82 × 10−1 | |
| 635.67 | 623.88 | 608.88 | 5.72 | 654.09 | 633.69 | 615.77 | 10.78 | 3.07 × 10−4 | |
| 852.79 | 839.36 | 822.40 | 5.97 | 850.10 | 831.89 | 815.09 | 7.70 | 3.24 × 10−5 | |
| 160.79 | 1031.04 | 937.67 | 50.66 | 1633.73 | 1197.97 | 939.72 | 160.79 | 5.31 × 10−5 | |
| 23.52 × 106 | 9.54 × 105 | 1.34 × 105 | 5.09 × 106 | 8234.00 | 3342.08 | 1884.13 | 1777.41 | 7.57 × 10−10 | |
| 2086.97 | 2061.5 | 2044.87 | 9.75 | 2103.23 | 2064.31 | 2027.78 | 20.29 | 5.04 × 10−1 | |
| 2239.44 | 2233.49 | 2226.33 | 3.39 | 2354.19 | 2235.17 | 2222.92 | 24.22 | 1.25 × 10−2 | |
| 2720.43 | 2636.31 | 2576.15 | 33.05 | 2727.31 | 2642.85 | 2540.98 | 50.17 | 4.53 × 10−1 | |
| 2642.09 | 2505.59 | 2500.89 | 25.23 | 3053.04 | 2563.00 | 2500.64 | 114.74 | 1.66 × 10−2 | |
| 3420.09 | 2845.97 | 2769.09 | 121.70 | 4069.56 | 3156.64 | 2770.26 | 381.55 | 2.61 × 10−4 | |
| 2873.43 | 2871.17 | 2867.99 | 1.46 | 2973.33 | 2902.04 | 2868.23 | 30.22 | 6.98 × 10−6 | |
| Algorithms | Optimal Values for Variables | Best | Avg. | Std. | ||
|---|---|---|---|---|---|---|
| MBKA | 5.43 × 10−2 | 0.4220 | 8.2968 | 1.28 × 10−2 | 1.978 × 10−2 | 1.6658 × 10−4 |
| BKA | 5.91 × 10−2 | 0.5633 | 4.9074 | 1.36 × 10−2 | 1.3329 × 10−2 | 9.2757 × 10−4 |
| WOA | 5.85 × 10−2 | 0.5463 | 5.2335 | 1.35 × 10−2 | 1.3917 × 10−2 | 1.5035 × 10−3 |
| ALO | 5.70 × 10−2 | 0.4995 | 6.0958 | 1.32 × 10−2 | 1.36 × 10−2 | 1.421 × 10−3 |
| DO | 5.51 × 10−2 | 0.4447 | 7.5292 | 1.29 | 1.4021 × 10−2 | 1.2076 × 10−3 |
| Algorithms | Optimal Values for Variables | Best | Avg. | Std. | |||
|---|---|---|---|---|---|---|---|
| MBKA | 51.439 | 26.283 | 14.938 | 52.745 | 2.3078 × 10−11 | 1.4425 × 10−9 | 1.649 × 10−9 |
| BKA | 47.367 | 12.558 | 12.485 | 22.823 | 9.9216 × 10−10 | 1.8605 × 10−9 | 3.7157 × 10−9 |
| WOA | 46.758 | 12.193 | 12.519 | 23.109 | 9.9216 × 10−10 | 3.7376 × 10−9 | 6.3414 × 10−9 |
| ALO | 42.759 | 12.000 | 14.563 | 29.113 | 4.5033 × 10−9 | 6.8496 × 10−9 | 7.7234 × 10−9 |
| DO | 55.567 | 13.366 | 22.582 | 37.081 | 6.6021 × 10−10 | 1.6529 × 10−9 | 1.2562 × 10−9 |
Disclaimer/Publisher’s Note: The statements, opinions and data contained in all publications are solely those of the individual author(s) and contributor(s) and not of MDPI and/or the editor(s). MDPI and/or the editor(s) disclaim responsibility for any injury to people or property resulting from any ideas, methods, instructions or products referred to in the content. |
© 2025 by the authors. Licensee MDPI, Basel, Switzerland. This article is an open access article distributed under the terms and conditions of the Creative Commons Attribution (CC BY) license (https://creativecommons.org/licenses/by/4.0/).
Share and Cite
Ma, Y.; Meng, W.; Gu, R.; Zhang, X. Modified Black-Winged Kite Optimization Algorithm with Three-Phase Attacking Strategy and Lévy–Cauchy Migration Behavior to Solve Mathematical Problems. Biomimetics 2025, 10, 707. https://doi.org/10.3390/biomimetics10100707
Ma Y, Meng W, Gu R, Zhang X. Modified Black-Winged Kite Optimization Algorithm with Three-Phase Attacking Strategy and Lévy–Cauchy Migration Behavior to Solve Mathematical Problems. Biomimetics. 2025; 10(10):707. https://doi.org/10.3390/biomimetics10100707
Chicago/Turabian StyleMa, Yunpeng, Wanting Meng, Ruixue Gu, and Xinxin Zhang. 2025. "Modified Black-Winged Kite Optimization Algorithm with Three-Phase Attacking Strategy and Lévy–Cauchy Migration Behavior to Solve Mathematical Problems" Biomimetics 10, no. 10: 707. https://doi.org/10.3390/biomimetics10100707
APA StyleMa, Y., Meng, W., Gu, R., & Zhang, X. (2025). Modified Black-Winged Kite Optimization Algorithm with Three-Phase Attacking Strategy and Lévy–Cauchy Migration Behavior to Solve Mathematical Problems. Biomimetics, 10(10), 707. https://doi.org/10.3390/biomimetics10100707

