Sign in to use this feature.

Years

Between: -

Subjects

remove_circle_outline
remove_circle_outline
remove_circle_outline
remove_circle_outline
remove_circle_outline
remove_circle_outline
remove_circle_outline
remove_circle_outline
remove_circle_outline

Journals

remove_circle_outline
remove_circle_outline
remove_circle_outline
remove_circle_outline
remove_circle_outline
remove_circle_outline
remove_circle_outline
remove_circle_outline
remove_circle_outline
remove_circle_outline
remove_circle_outline
remove_circle_outline
remove_circle_outline
remove_circle_outline
remove_circle_outline

Article Types

Countries / Regions

remove_circle_outline
remove_circle_outline
remove_circle_outline
remove_circle_outline
remove_circle_outline
remove_circle_outline

Search Results (1,017)

Search Parameters:
Keywords = three-parameter curve model

Order results
Result details
Results per page
Select all
Export citation of selected articles as:
27 pages, 5265 KB  
Article
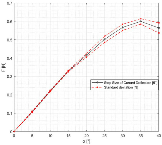
Experimental and Numerical Determination of Aerodynamic Characteristics of an Ogive with Canards
by Teodora Đilas, Dunja Ukšanović, Jelena Svorcan and Boško Rašuo
Aerospace 2026, 13(4), 377; https://doi.org/10.3390/aerospace13040377 - 16 Apr 2026
Viewed by 114
Abstract
This work presents an integrated experimental and numerical determination of the aerodynamic (lift) characteristics of an ogive forebody equipped with all moving canards. Experimental testing was conducted in the subsonic custom-made wind tunnel of the Vlatacom Institute at a nominal free stream velocity [...] Read more.
This work presents an integrated experimental and numerical determination of the aerodynamic (lift) characteristics of an ogive forebody equipped with all moving canards. Experimental testing was conducted in the subsonic custom-made wind tunnel of the Vlatacom Institute at a nominal free stream velocity of 32 m/s (and Mach number M = 0.09). Aerodynamic loads on the canards were measured using a custom one-component force balance, while free stream flow properties were obtained via a calibrated Pitot–Prandtl probe on the full-scale geometry model. On the numerical side, RANS simulations were performed in ANSYS Fluent using the k-ω SST turbulence model. Two geometric representations were considered: (a) a high-fidelity configuration explicitly resolving the physical gap between the canard and ogive, and (b) a simplified configuration with the gap removed. Boundary conditions, Reynolds number, and operating parameters were matched to the wind tunnel conditions to enable a strict one-to-one comparison. Particular emphasis was placed on examining the effect of geometric simplification on the predicted lift characteristics. The gap-resolved configuration reproduces the experimentally measured lift curve within approximately 10% across the investigated angle-of-attack range, satisfying conventional aerodynamic validation criteria. The results confirm both the robustness of the applied RANS approach for highly three-dimensional separated flows often found in engineering applications, as well as the reliability of the experimental measurement system. Full article
(This article belongs to the Special Issue Recent Advances in Applied Aerodynamics (2nd Edition))
Show Figures

Figure 1

16 pages, 1283 KB  
Article
Making Sense of Developmental Kinetics Under High-Sugar Stress: Mathematical Modeling of Phenotypic Plasticity in Drosophila melanogaster
by Bence Pecsenye, Maha Rockaya, Tünde Pacza, Zibuyile Mposula and Endre Máthé
Nutrients 2026, 18(8), 1255; https://doi.org/10.3390/nu18081255 - 16 Apr 2026
Viewed by 225
Abstract
Background/Objectives: Although Drosophila melanogaster is widely used in genetics and nutrition research, developmental kinetics are rarely analyzed using formal mathematical modeling. Most dietary studies present developmental curves without rigorous fitting, limiting quantitative interpretation. This study applies and compares three primary models, as well [...] Read more.
Background/Objectives: Although Drosophila melanogaster is widely used in genetics and nutrition research, developmental kinetics are rarely analyzed using formal mathematical modeling. Most dietary studies present developmental curves without rigorous fitting, limiting quantitative interpretation. This study applies and compares three primary models, as well as develops secondary models, to characterize the effects of high-sugar diets on egg-to-adult (life cycle) development. Methods: Standardized husbandry and an embryo-to-pupa feeding assay were performed across 11 sucrose concentrations. Synchronized embryo collection and high-resolution monitoring were used for this assay. Three primary models—dose–response, Gompertz, and logit-based linearization—were fitted to developmental curves to extract timing (tmid) and synchrony (sdvp) parameters. Secondary modeling was used to evaluate how these parameters change with respect to sucrose concentration. Results: Increasing sucrose concentration markedly delayed pupariation and reduced viability at the highest levels. All models showed increasing tmid and decreasing sdvp with rising sugar concentration, with the Gompertz model providing the best overall performance. Secondary modeling revealed a consistent bilinear response with a breakpoint at 0.52–0.62 M, separating low-, medium-, and high-sucrose conditions. Reduced sampling frequency decreased model robustness, while twice-daily observations remained sufficient. Conclusions: Mathematical modeling provides a robust, practical framework for quantifying the effects of diet on D. melanogaster development. The Gompertz model provided the best fit and yielded biologically interpretable parameters. The bilinear secondary model effectively captured sucrose-dependent stress responses and quantified plasticity through environment-dependent changes in developmental timing and synchrony. Overall, this work establishes a quantitative practical framework for modeling developmental kinetics under nutritional perturbations, and the approach can be extended with additional secondary environmental factors to improve predictive analyses of nutritional effects. Full article
(This article belongs to the Topic The Link Between Dietary Patterns and Health Outcomes)
Show Figures

Figure 1

23 pages, 7162 KB  
Article
Causal Interpretation of DBSCAN Algorithm: A Dynamic Modeling for Epsilon Estimation
by K. Garcia-Sanchez, J.-L. Perez-Ramos, S. Ramirez-Rosales, A.-M. Herrera-Navarro, H. Jiménez-Hernández and D. Canton-Enriquez
Entropy 2026, 28(4), 452; https://doi.org/10.3390/e28040452 - 15 Apr 2026
Viewed by 223
Abstract
DBSCAN is widely used to identify structured regions in unlabeled data, but its performance depends critically on the selection of the neighborhood parameter ε. Traditional heuristics for estimating ε often become unreliable in high-dimensional or varying-density settings because they rely heavily on [...] Read more.
DBSCAN is widely used to identify structured regions in unlabeled data, but its performance depends critically on the selection of the neighborhood parameter ε. Traditional heuristics for estimating ε often become unreliable in high-dimensional or varying-density settings because they rely heavily on local geometric criteria and may fail under smooth transitions or topological ambiguity. This work presents a three-level perspective on DBSCAN hyperparameter selection. At the algorithmic level, ε controls neighborhood connectivity and structural transitions in clustering. At the modeling level, the ordered k-distance signal is approximated through a surrogate dynamical estimation framework inspired by a mass–spring–damper system. At the causal level, the resulting estimator is interpreted through interventions on its internal threshold-selection mechanism. The proposed method models the variation of ε using ordinary differential equations defined on the ordered k-distance signal, enabling analysis of structural transitions in density organization via a surrogate dynamical representation. System identification is performed using L-BFGS-B optimization on the smoothed k-distance curve, while the system dynamics are solved with the fourth-order Runge–Kutta method. The resulting estimator identifies transition regions that are structurally informative for ε selection in DBSCAN. To analyze the estimator at the intervention level, Pearl’s do-calculus is used to compute the Average Causal Effect (ACE). The method was evaluated on synthetic benchmarks and on the Covtype dataset, including scenarios with multi-density overlap and dimensionality up to R10. The resulting ACE values, +0.9352, +0.5148, and +0.9246, indicate that the proposed estimator improves intervention-based ε selection relative to the geometric baseline across the evaluated datasets. Its practical computational cost is dominated by nearest-neighbor search, behaving approximately as O(NlogN) under favorable indexing conditions and degrading toward O(N2) in high-dimensional or weak-pruning regimes. Full article
(This article belongs to the Special Issue Causal Graphical Models and Their Applications, 2nd Edition)
Show Figures

Figure 1

13 pages, 476 KB  
Article
Albedo-Induced Perturbation in the Sitnikov Three-Body Problem
by M. Shahbaz Ullah, M. Javed Idrisi and Sergey Ershkov
Physics 2026, 8(2), 41; https://doi.org/10.3390/physics8020041 - 13 Apr 2026
Viewed by 236
Abstract
In this paper, the circular Sitnikov three-body problem is studied under the combined influence of radiation pressure and albedo. The model consists of two equal-mass primaries moving in circular orbits about their center of mass and an infinitesimal body constrained to oscillate along [...] Read more.
In this paper, the circular Sitnikov three-body problem is studied under the combined influence of radiation pressure and albedo. The model consists of two equal-mass primaries moving in circular orbits about their center of mass and an infinitesimal body constrained to oscillate along the perpendicular axis. The radiative emission from one primary and the reflected radiation from the other are incorporated into the effective potential through radiation and reflectivity parameters. Using the Jacobi integral, we determine the energetically admissible region for vertical motion and examine how radiative effects modify the accessible phase space. The study shows that the system admits a single vertical equilibrium point at the origin, which remains linearly stable within the physically admissible parameter range. Radiation and albedo reduce the effective restoring force and increase the oscillation period, producing a measurable rescaling of the physical time without altering the geometrical structure of the phase trajectories. The phase-space dynamics are further explored by means of Poincare (first-return) maps obtained from numerical integration of the nonlinear equation of motion. The resulting invariant curves confirm that the motion remains regular and bounded, while their progressive contraction reflects the reduction in the oscillation amplitude with increasing radiative effects. Overall, the results show that albedo acts as a quantitative modifier of the vertical Sitnikov dynamics by changing the effective potential, the admissible energy domain, and the observable time scale, without generating new qualitative phase-space structures. Full article
(This article belongs to the Section Mathematical Physics and Mathematical Methods)
Show Figures

Figure 1

29 pages, 5626 KB  
Article
High-Efficiency Synthetic Natural Gas and Decarbonised Power Production from Biogenic Waste: Simulation, Energy Analysis and Thermal Optimisation of the Integrated System
by Juan D. Palacios, Alessandro A. Papa, Armando Vitale, Emanuele Di Bisceglie, Andrea Di Carlo and Enrico Bocci
Energies 2026, 19(8), 1887; https://doi.org/10.3390/en19081887 - 13 Apr 2026
Viewed by 392
Abstract
This study presents a fully integrated process for the flexible conversion of biogenic waste into synthetic natural gas (bio-SNG) and electricity centred on a 100 kWth dual concentric bubbling fluidised bed steam gasifier. The raw syngas is processed in a high-temperature gas cleaning [...] Read more.
This study presents a fully integrated process for the flexible conversion of biogenic waste into synthetic natural gas (bio-SNG) and electricity centred on a 100 kWth dual concentric bubbling fluidised bed steam gasifier. The raw syngas is processed in a high-temperature gas cleaning section, and the resulting clean, H2-rich syngas is directed to three alternative downstream configurations: (i) conventional methanation, (ii) enhanced methanation with external H2 supplied by a reversible solid oxide cell (rSOC), and (iii) electricity generation via the same rSOC operating in fuel cell mode. The overall process is modelled in Aspen Plus, in which the gasification section is constrained by experimentally derived syngas data, while downstream units are described through thermodynamic and kinetics-based models. Methanation is simulated using a plug-flow reactor model based on validated kinetic expressions, while the rSOC operating in electrolysis and fuel cell mode is modelled using performance parameters of commercial stacks. A plant-wide heat integration strategy based on composite curve analysis is implemented to maximise internal heat recovery and minimise external utilities. The enhanced methanation configuration enables the production of bio-SNG with high methane content (up to 93.3 vol.% dry, N2-free), with a yield 0.72 kg/kgBiomass and a fuel efficiency of 70.1%. In electricity production mode, the system reaches an electrical efficiency of 43.1% with complete elimination of auxiliary fuel through thermal integration. These results demonstrate the capability of a single integrated plant to flexibly switch between fuel synthesis and power generation, enhancing adaptability to fluctuating electricity and methane market conditions while maintaining high efficiency. Full article
(This article belongs to the Special Issue Recent Advances in Biomass Energy Utilization and Conversion)
Show Figures

Figure 1

21 pages, 4492 KB  
Article
Effects of Extracellular Resistance on Neuronal Sensitivity Under Weak Alternating Electric Field Stimulation: A Computational Study
by Xiangyu Li, Shuaikang Zheng, Chunhua Yuan and Xianwen Gao
Biomimetics 2026, 11(4), 264; https://doi.org/10.3390/biomimetics11040264 - 10 Apr 2026
Viewed by 288
Abstract
Weak alternating electric fields are widely used in neuromodulation techniques such as transcranial alternating current stimulation (tACS), yet the precise biophysical mechanisms underlying neuronal responses remain incompletely understood. Current computational models often neglect the electrical properties of the extracellular microenvironment, limiting their predictive [...] Read more.
Weak alternating electric fields are widely used in neuromodulation techniques such as transcranial alternating current stimulation (tACS), yet the precise biophysical mechanisms underlying neuronal responses remain incompletely understood. Current computational models often neglect the electrical properties of the extracellular microenvironment, limiting their predictive accuracy. Motivated by experimentally observed frequency-dependent modulation of neuronal activity, we developed a two-compartment model of hippocampal CA3 pyramidal neurons in which extracellular resistance is explicitly parameterized and systematically examined as a key factor influencing neuronal response properties under external electric fields. Within a dual-compartment Hodgkin–Huxley framework, the neuron is divided into a “soma–basal dendrite unit” and an “apical dendrite unit,” accounting for voltage polarization induced by external fields. Using phase-locking ratio curves and three-dimensional parameter response surface, we systematically characterized neuronal sensitivity to field parameters and examined how potassium equilibrium potential (VK) and extracellular resistance (Rout) modulate these responses. Our results demonstrate that increasing Rout enhances neuronal responsiveness to external fields, while VK variations primarily regulate intrinsic excitability. These findings provide mechanistic insights into the frequency-dependent modulation of neuronal responses under weak electric fields, consistent with phenomena observed in biological neural systems, and provide a mechanistic and theoretical framework for understanding the joint effects of electric field amplitude and frequency on neuronal sensitivity to weak electric fields, which may help inform future neuromodulation strategies. Full article
(This article belongs to the Section Bioinspired Sensorics, Information Processing and Control)
Show Figures

Graphical abstract

27 pages, 6721 KB  
Article
Seven-Parameter Polynomial Fits Better to the Moisture Sorption Isotherms of Oil-Type Peony Seeds and Cake
by Xingjun Li, Bing Dai, Chang Liu and Qingyan Shu
Foods 2026, 15(8), 1298; https://doi.org/10.3390/foods15081298 - 9 Apr 2026
Viewed by 228
Abstract
As an emerging oilseed crop in China, peony seed oils account for 0.41% of the annual production of Chinese edible vegetable oils, and the oil-type peony seed is rich in alpha-linolenic acid (ALA). Moisture content and temperature are key factors in the storage [...] Read more.
As an emerging oilseed crop in China, peony seed oils account for 0.41% of the annual production of Chinese edible vegetable oils, and the oil-type peony seed is rich in alpha-linolenic acid (ALA). Moisture content and temperature are key factors in the storage of oilseeds. In this study, the adsorption and desorption isotherms of ten species of peony seeds and one species of cake were determined in the range of 20–30 °C and 10–90% equilibrium relative humidity (ERH). The adsorption and desorption isotherms of peony seeds and cake were type II (sigmoidal) or type III curves. Nine equilibrium moisture content (EMC) equations were used to fit the isotherms of peony samples, with the optimal equations being our developed 7-parameter polynomial (Poly), modified Halsey equation (MHAE), and modified Oswin equation (MOE). For Poly, the fitting parameter determination coefficient (R2) was 0.9816–0.9986, and the mean relative error (MRE) was 0.83–6.52%; for MHAE, R2 was 0.7815–0.9973, and MRE was 4.18–17.84%. Poly contains the terms of temperature and ERH interaction; therefore, Poly could analyze the safe moisture content of peony seeds and cake during storage and transportation, and the three-parameter reversible MHAE could be used for calculating the sorption isosteric heats. The adsorption monolayer moisture content (M0) in peony seeds and cake estimated by MGAB were 3.64 ± 0.42% and 4.28%, respectively, while their desorption M0 values, respectively, were 6.21 ± 0.47% and 4.83%. At ERH ≤ 65%, for preventing the growth of storage pests and fungi, the absolutely safe storage moisture content (MC) predicted by Poly at 25 °C and 65% ERH was 12.48% wet basis (w.b.) for seeds and 11.92% for cake. The heat of sorption of peony seeds and cake approached that of pure water at about 11% and 15% w.b. MC estimated by the MHAE model, respectively. Microstructure analysis showed that the rich liposomes in peony seeds were attached to the inner surface of the cell wall and the outer surface of the protein storage vacuole, and the rich protein bodies and hydrophilic polysaccharides explained why the safe storage moisture for yellow peony seeds was higher than for Ziyan Feishuang seeds. This study provides the basic data for drying simulation, and the safe storage and transportation of peony seed and cake products. Full article
Show Figures

Figure 1

25 pages, 8514 KB  
Article
Fatigue Life Evaluation and Structural Optimization of Rubber Damping Components in Metro Resilient Wheels
by Qiang Zhang, Zhiming Liu, Yiliang Shu, Guangxue Yang and Wenhan Deng
Polymers 2026, 18(8), 915; https://doi.org/10.3390/polym18080915 - 9 Apr 2026
Viewed by 351
Abstract
Resilient wheels are widely employed in metro vehicles to mitigate vibration and noise, in which rubber damping components play a critical role in load transmission and fatigue resistance. However, stress concentration and cyclic loading can significantly compromise their durability and service life. In [...] Read more.
Resilient wheels are widely employed in metro vehicles to mitigate vibration and noise, in which rubber damping components play a critical role in load transmission and fatigue resistance. However, stress concentration and cyclic loading can significantly compromise their durability and service life. In this study, the structural optimization and fatigue life of rubber damping components in resilient wheels are systematically investigated based on finite element analysis and in-service metro operational data. A three-dimensional finite element model incorporating hyperelastic material behavior is developed to evaluate stress distributions under three representative conditions: press-fit assembly, straight-line operation, and curved-track operation. Based on the resulting stress fields, critical high-stress regions within the rubber component are identified and selected as targets for structural optimization. The Design of Experiments (DOE) methodology, integrated with the Isight 2022 optimization platform, is employed to determine the optimal geometric parameters that minimize the von Mises equivalent stress. Furthermore, a fatigue life prediction framework is established using actual metro service mileage data. Fatigue performance is assessed using Fe-safe 2022 software in conjunction with rubber fatigue crack propagation theory, and the results before and after optimization are systematically compared. This study demonstrates that stress concentrations in resilient wheel rubber damping components predominantly occur at fillet transition regions, governed by load transfer characteristics under press-fitting and service conditions. Through DOE-based structural optimization, the critical geometric parameters are effectively refined, leading to a significant reduction in stress levels in key regions. As a result, the proposed approach markedly improves fatigue performance, extending the minimum fatigue life from 1300 days to 24,322 days, thereby substantially enhancing the durability and reliability of the resilient wheel system. Full article
(This article belongs to the Section Polymer Processing and Engineering)
Show Figures

Figure 1

24 pages, 3818 KB  
Article
A Method for Estimating the State of Health of Aviation Lithium-Ion Batteries Based on an IPSO-ELM Model
by Zhaoyang Zeng, Qingyu Zhu, Changqi Qu, Yan Chen, Zhaoyan Fang, Haochen Wang and Long Xu
Energies 2026, 19(7), 1797; https://doi.org/10.3390/en19071797 - 7 Apr 2026
Viewed by 283
Abstract
Accurate assessment of the State of Health (SOH) is critical for battery management systems in aviation. As a step towards this goal, this study presents a proof-of-concept for a novel SOH estimation method based on an Improved Particle Swarm Optimization-Extreme Learning Machine (IPSO-ELM) [...] Read more.
Accurate assessment of the State of Health (SOH) is critical for battery management systems in aviation. As a step towards this goal, this study presents a proof-of-concept for a novel SOH estimation method based on an Improved Particle Swarm Optimization-Extreme Learning Machine (IPSO-ELM) model, validated under controlled laboratory cycling conditions. Although traditional Extreme Learning Machines (ELM) are widely used due to their fast computation and good generalization, their random parameter initialization often leads to unstable convergence and limited accuracy. To address these limitations, this paper proposes a novel SOH estimation method based on an Improved Particle Swarm Optimization (IPSO) algorithm to optimize the key parameters of ELM. Three health indicators (HI)—constant-current charging time, equal-voltage-drop discharge time, and average discharge voltage—were extracted from charge–discharge curves as model inputs. The IPSO algorithm dynamically adjusts the inertia weight, introduces a constriction factor and a termination counter to enhance global search capability and avoid local optima. Experimental results on open-source datasets (B005, B007, B0018) and laboratory datasets (A001, A002) demonstrate that the proposed IPSO-ELM model achieves a Root-Mean-Square Error (RMSE) below 0.7% and a Mean Absolute Percentage Error (MAPE) below 0.5%. Compared with standard ELM and PSO-ELM models, it significantly outperforms them in accuracy (e.g., for B0018, RMSE is reduced to 0.21% and MAPE to 0.14%), convergence speed, and robustness, establishing a foundation for future development of aviation-ready SOH estimators. Full article
Show Figures

Figure 1

24 pages, 4258 KB  
Article
Axial Hysteretic Mechanical Characteristics of Wire Rope Isolators and Parameter Identification with a Novel Algebraic Closed-Form Model
by Gangwei Mei, Yongsheng He, Mengnan Dai, Longyun Zhou, Xiongliang Yao, Jun Shen and Chunhai Li
Materials 2026, 19(7), 1452; https://doi.org/10.3390/ma19071452 - 5 Apr 2026
Viewed by 209
Abstract
Wire rope isolators (WRIs) exhibit typical nonlinear and asymmetric hysteretic behavior, with their mechanical performance being significantly influenced by the coupled effects of multiple parameters. This study investigates the dynamic response of large-sized spiral WRIs under axial loading. Within the framework of an [...] Read more.
Wire rope isolators (WRIs) exhibit typical nonlinear and asymmetric hysteretic behavior, with their mechanical performance being significantly influenced by the coupled effects of multiple parameters. This study investigates the dynamic response of large-sized spiral WRIs under axial loading. Within the framework of an asymmetric hysteresis model, a novel algebraic closed-form formulation is adopted for parameter identification and numerical simulation. Furthermore, a characteristic parameter, A, is introduced to quantify the unique mechanical behavior induced by the structural configuration of WRIs. Five types of large-sized spiral WRIs are selected as test specimens. For each WRI, tests are conducted under 30 distinct working conditions, yielding a total of 150 cyclic loading tests across all scenarios. By systematically varying the displacement amplitude, loading frequency, and preloading pressure, the influences of these key parameters on the dynamic characteristics of WRIs are comprehensively analyzed. These characteristics encompass the axial hysteresis loop shape, energy dissipation capacity, equivalent viscous damping, and average secant stiffness. The results indicate that these three loading parameters exert substantial effects on the mechanical properties of large-sized WRIs. Additionally, the simulated hysteresis curves derived from the identified parameters exhibit excellent agreement with the experimental observations. Compared with conventional mechanical models, the proposed algebraic closed-form model demonstrates slightly higher fitting accuracy, thereby validating its effectiveness and applicability in characterizing the mechanical behavior of large-sized WRIs. This research provides a crucial reference for the engineering application of large-sized spiral WRIs and facilitates the broader adoption of the proposed modeling approach. Full article
(This article belongs to the Section Mechanics of Materials)
Show Figures

Graphical abstract

23 pages, 10082 KB  
Article
WQI–Machine Learning Integration with Spatial Data Augmentation for Robust Groundwater Quality Assessment in Data-Limited Arid Regions
by Nezha Farhi, Motrih Al-Mutiry, Ahmed Bennia, Sarah Kreri, Achraf Djerida, Lahsen Wahib Kebir, Hussein Almohamad and Abdessamed Derdour
Sustainability 2026, 18(7), 3493; https://doi.org/10.3390/su18073493 - 2 Apr 2026
Viewed by 520
Abstract
Sustainable groundwater management in hyper-arid regions requires accurate water quality assessments, yet remote desert environments present major challenges due to data scarcity, high sampling costs, and limited laboratory infrastructure. This study proposes a framework integrating the Water Quality Index (WQI) with Inverse Distance [...] Read more.
Sustainable groundwater management in hyper-arid regions requires accurate water quality assessments, yet remote desert environments present major challenges due to data scarcity, high sampling costs, and limited laboratory infrastructure. This study proposes a framework integrating the Water Quality Index (WQI) with Inverse Distance Weighting (IDW)-based spatial data augmentation and machine learning classification for groundwater quality assessment in the Tabelbala region, southwestern Algeria. Three classifiers were evaluated, Random Forest (RF), Support Vector Machines (SVMs), and Artificial Neural Networks (ANNs), and trained on an augmented dataset generated from 178 original groundwater samples using IDW interpolation with a sensitivity-optimized 150 m radius, producing 2779 augmented training points. RF achieved the highest predictive accuracy (85.9%), followed by ANNs (84.7%) and SVMs (83.1%), with all models demonstrating excellent discriminative performances (area under the receiver operating characteristic curve > 0.96). Permutation Feature Importance analysis identified total dissolved solids (TDS), sulfates (SO42−), total hardness (TH), and chlorides (Cl) as the most influential parameters, consistent with World Health Organization (WHO) guidelines. Spatial distribution maps revealed that the majority of groundwater sources exhibited poor to very poor quality, highlighting the urgent need for local water management interventions. The proposed framework offers a replicable decision-support tool for water resource managers in data-scarce arid environments, supporting SDG 6 (Clean Water and Sanitation) and SDG 13 (Climate Action). Full article
(This article belongs to the Special Issue Groundwater Resources and Sustainable Water Management)
Show Figures

Figure 1

31 pages, 11054 KB  
Article
Study on P-Y Curve Parameters of Large-Diameter Rock-Socketed Pile Under Lateral Load
by Feng Xu, Guoliang Dai, Weiming Gong, Xueying Yang and Lei Xia
Buildings 2026, 16(7), 1352; https://doi.org/10.3390/buildings16071352 - 29 Mar 2026
Viewed by 237
Abstract
Response of large-diameter rock-socketed piles subjected to lateral loads is a critical issue in foundation design for bridges, high-rise buildings, and offshore platforms. Although the p-y curve method is commonly used for pile analysis in soil, its direct application to rock-socketed piles remains [...] Read more.
Response of large-diameter rock-socketed piles subjected to lateral loads is a critical issue in foundation design for bridges, high-rise buildings, and offshore platforms. Although the p-y curve method is commonly used for pile analysis in soil, its direct application to rock-socketed piles remains challenging due to the significant differences in mechanical properties between rock and soil. This study investigates the initial stiffness and stress distribution around the large-diameter rock-socketed piles under lateral loads. Based on the Serrano method, the Hoek–Brown strength criterion is extended to derive calculation formulas for rock cohesion and internal friction angle considering confining pressure effects. A three-dimensional numerical model was established using FLAC3D to analyze stress distribution, pile displacement, and p-y curves at different depths. Distribution functions for normal stress and shear stress around the pile were developed. Parameter sensitivity analysis reveals that the initial stiffness of p-y curves is primarily influenced by rock deformation modulus and pile diameter, while rock strength parameters and pile length effects are negligible. Empirical formulas for predicting initial stiffness of p-y curves were proposed through regression analysis. These results serve as both a theoretical basis and an engineering reference for the design and analysis of large-diameter rock-socketed piles under lateral loading. Full article
(This article belongs to the Section Building Structures)
Show Figures

Figure 1

28 pages, 10295 KB  
Article
Experimental Research on the Bending Constitutive Model of Cold-Formed Steel Structural Panels at Elevated Temperatures
by Jie Li, Long Xu, Yutong Dong, Wenwen Chen, Xiaotian Zhang and Jiankang Lin
Buildings 2026, 16(7), 1338; https://doi.org/10.3390/buildings16071338 - 27 Mar 2026
Viewed by 255
Abstract
During fires, the temperature difference between indoor and outdoor environments induces out-of-plane deformation in steel studs. Due to the differential coefficients of thermal expansion between panels and steel, the panels exert a restraining effect on the studs. However, there remains a lack of [...] Read more.
During fires, the temperature difference between indoor and outdoor environments induces out-of-plane deformation in steel studs. Due to the differential coefficients of thermal expansion between panels and steel, the panels exert a restraining effect on the studs. However, there remains a lack of systematic experimental and theoretical models addressing the failure modes, restraining mechanisms, and synergistic effects of various panels on steel studs. This study conducted high-temperature bending tests to compare the failure modes, load–displacement curves, and key mechanical parameters (peak load, elastic stiffness) of connections combining steel studs with three types of panels: autoclaved lightweight concrete (ALC) panels, fire-resistant gypsum boards, and medium-density calcium silicate board. The research clarifies the constraining effect and temperature sensitivity of different panels. Based on experimental data, a bending constitutive model was developed to quantify the attenuation of the out-of-plane constraining effect at elevated temperatures. The results indicate that the load–displacement curves exhibit three distinct stages: Elastic Ascending Stage, Elastoplastic Ascending Stage, and Post-Peak Stage. A two-stage bending constitutive model was proposed and formulated. Comparison between numerical simulations and experimental specimens in terms of failure modes and characteristic parameters demonstrated that simplifying the panels as spring elements, with stiffness defined by the proposed bending constitutive model, yields errors within 15%, confirming the accuracy of the model. This study systematically investigates the influence of sheathing panels on the high-temperature out-of-plane mechanical behavior of cold-formed steel studs, innovatively proposes a two-stage bending constitutive model, provides theoretical and data support for cold-formed steel structural fire-resistant design, and offers new perspectives and methodologies for future research. Full article
(This article belongs to the Special Issue Large-Span, Tall and Special Steel and Composite Structures)
Show Figures

Figure 1

25 pages, 19957 KB  
Article
Experimental Characterization and a Machine Learning Framework for FDM-Fabricated Biocomposite Lattice Structures
by Md Mazedur Rahman, Md Ahad Israq, Szabolcs Szávai, Saiaf Bin Rayhan and Gyula Varga
Fibers 2026, 14(4), 41; https://doi.org/10.3390/fib14040041 - 27 Mar 2026
Viewed by 572
Abstract
The present study investigates simple cubic lattice structures fabricated through an FDM-based three-dimensional (3D) printing method using wood–polylactic acid (wood–PLA) bio-composite filament and develops a data-driven framework to predict their mechanical response. The design of experiments (DOE) was developed using a response surface [...] Read more.
The present study investigates simple cubic lattice structures fabricated through an FDM-based three-dimensional (3D) printing method using wood–polylactic acid (wood–PLA) bio-composite filament and develops a data-driven framework to predict their mechanical response. The design of experiments (DOE) was developed using a response surface methodology (RSM) based on a central composite design (CCD) that was implemented in Design-Expert software (Version 13). During fabrication, four different manufacturing parameters—the layer height, the printing speed, the nozzle temperature, and the infill density—were considered. The compressive strength and compressive modulus were evaluated experimentally, and the corresponding stress–strain responses were examined. The results reveal that the layer height is the most influential parameter, where lower layer heights (0.06–0.1 mm) significantly improve both the compressive strength and the modulus due to enhanced interlayer bonding and reduced void formation. The printing speed and the nozzle temperature also play critical roles, where lower printing speeds (≈40 mm/s) and moderate nozzle temperatures (≈195–205 °C) promote more uniform material deposition and improved interlayer bonding, while higher speeds (≥60 mm/s) and excessive temperatures (≈225 °C) lead to reduced bonding quality and a deterioration in mechanical performance. In contrast, the infill density exhibited a non-monotonic influence, where intermediate levels (around 70%) provided an improved performance under combinations of the low layer height (≈0.1 mm), the low printing speed (≈40 mm/s), and the moderate nozzle temperature (≈195–215 °C), suggesting an interaction-driven effect rather than a purely density-dependent trend. To complement the experimental findings, a machine learning model based on eXtreme Gradient Boosting (XGBoost) was developed using 12,000 data points that were derived from stress–strain curves. The model successfully predicted continuous mechanical responses with errors in the range of 2–8% for unseen specimens, suggesting its capability to capture the relationship between printing parameters and mechanical behavior within the studied design space. Overall, the study highlights that the mechanical properties of wood–PLA lattice structures can be effectively tailored by choosing an appropriate printing parameter control and demonstrates the feasibility of using machine learning to estimate mechanical performance without additional physical testing within the defined parameter domain. Full article
Show Figures

Figure 1

17 pages, 3950 KB  
Article
Triaxial Creep Behavior of Gangue–Gypsum Cemented Backfill and Applicability Verification of the Burgers Model
by Jingduo Liu, Xinguo Zhang, Jingjing Jiao, Zhongying Zhang, Pengkun Wang and Youpeng Li
Minerals 2026, 16(4), 353; https://doi.org/10.3390/min16040353 - 26 Mar 2026
Viewed by 359
Abstract
Gangue backfilling has become an important technique for promoting environmentally friendly and low-carbon coal mining. The long-term creep behavior of cemented backfill plays a critical role in maintaining stope stability and controlling surface subsidence during long-term service. Although considerable research has been conducted [...] Read more.
Gangue backfilling has become an important technique for promoting environmentally friendly and low-carbon coal mining. The long-term creep behavior of cemented backfill plays a critical role in maintaining stope stability and controlling surface subsidence during long-term service. Although considerable research has been conducted on cemented tailings backfill, systematic investigations on the triaxial creep evolution, long-term strength characteristics, confining pressure effects, and the applicability of the classical Burgers model for gangue–gypsum cemented backfill under engineering-relevant confining pressures remain limited. In this study, the experimental scheme was designed based on field monitoring data from practical backfill mining operations, which indicate that the in situ backfill generally remains stable without significant deformation or instability under normal working conditions. Multi-stage loading triaxial creep tests were conducted on gangue–gypsum cemented backfill under confining pressures of 1, 2, 3, and 4 MPa. The creep deformation characteristics were analyzed using Chen’s superposition method, while the long-term strength was computed via inflection point method of isochronous stress–strain curves. The parameters of the Burgers creep model were identified using the Levenberg–Marquardt optimization algorithm, and numerical verification was performed using FLAC3D. Our findings demonstrate that the creep deformation process of the backfill consists of three typical stages: instantaneous deformation, attenuated creep, and steady-state creep, and no accelerated creep was observed within the applied stress range. The absolute creep strain surges nonlinearly with increasing stress level (SL), whereas higher confining pressure significantly suppresses the creep response of the material. Within the investigated stress range, the backfill exhibits mainly linear viscoelastic behavior, and its critical long-term strength is not less than 0.9 times the failure deviatoric stress (qf). Although confining pressure enhances the long-term strength, the strengthening effect weakens as the confining pressure increases. Model fitting outcomes imply that Burgers model precisely describes the creep behavior of gangue–gypsum cemented backfill under all test conditions, with correlation coefficients (R2) exceeding 0.97. The identified parameters show systematic variation with SL, reflecting stiffness degradation and viscous evolution during loading. Numerical simulation results agree well with the experimental data, providing theoretical guidance for mixture proportion optimization, long-term stability evaluation, and stope support parameter design in gangue backfill mining engineering. Full article
Show Figures

Figure 1

Back to TopTop